组合材料加固砖砌体的有限元模拟方法

陈再现,杨续波

(哈尔滨工业大学(威海)土木工程系,威海 264209)

摘 要基于ABAQUS有限元软件,提出了组合材料加固砌体数值建模方法。该方法是在未加固砌体整体式模型的基础上,结合分离式思想建立组合材料加固砌体模型。通过对8片采用粘钢-聚合物砂浆组合材料加固的砖砌体墙体(其中,4片采用粘贴正交钢片,4片采用粘贴斜撑钢片)的拟静力试验结果进行了数值模拟对比分析,结果显示:模拟所得墙体滞回、骨架及刚度退化曲线与试验曲线基本吻合;仿真破坏形态与试验现象一致;计算所得荷载、位移、延性和耗能等全部指标中有81%的误差在20%以内。

关键词:砌体加固;抗震性能;低周往复;有限元;非线性

砌体结构以其成本低、材源广、耐久性和耐火性好、施工方便等优点,在我国工业与民用建筑领域得到广泛应用。但砌体结构自重大、抗剪性能差,导致其在地震中损坏严重[1]。加固是目前提高既有砌体结构性能的主要手段,国内外学者对其进行了大量试验研究,部分学者对砌体有限元编程作了有益尝试。

戴如之[2]利用ANSYS建立分离式砌体模型对水平嵌筋加固砌体墙的开裂性能进行研究;朱成成等[3]利用ABAQUS建立水平嵌筋加固砌体模型,通过弹塑性动力分析研究嵌筋间距对加固效果的影响。上述有限元模型均基于理论分析阐述其可行性,缺乏试验数据,有待进一步研究。另有学者基于试验数据,建立砌体有限元验证模型,来评估加固砌体抗震性能。黄斌和阿肯江·托呼提 提出等效体积单元(RVE)法,利用ANSYS建立整体式砌体模型,对钢丝网水泥砂浆加固方法进行研究;Garofano等[5]利用 DIANA软件建立聚合物面层加固砌体有限元模型,并就砌体强度、墙体形状、砂浆强度等因素进行变参数分析;杜德润等[6]运用ABAQUS建立型钢加固砌体墙模型,研究钢材最佳布置方案;Lignola等[7]通过DIANA软件建立二维有限元模型以模拟分析纤维增强水泥基质加固砌体(FRCM)对角压缩试验。此类有限元模型是将验证后的未加固砌体模型直接用于加固砌体变参数分析,加固砌体缺少试验数据,有待深入研究。还有一些学者基于大量试验,分别建立了未加固砌体和加固砌体有限元验证模型,对砌体加固性能进行系统研究。张斯等[8]利用ABAQUS零厚度Cohesive单元考虑砌筑形式建立纤维布加固砌体分离式模型,进行低周往复加载下性能的研究;Susila等[9]考虑砂浆界面滑移效应,采用ABAQUS建模研究竹竿穿孔加固砌体性能、破坏形态及承载力拟合良好;王亭等[10]基于RVE法,运用ANSYS建立砌体整体式模型来研究钢筋网水泥砂浆抹面加固砌体试件的抗震性能。褚少辉等[11]运用ABAQUS研究应力比、高宽比、纤维布层数等因素对碳纤维布加固砌体性能的影响;Dolatshahi等[12]采用ABAQUS/Explicit模块来研究墙体变形能力的主要影响因素,破坏形态模拟良好;陈莹等[13]基于玻璃纤维复合材料加固砌体,提出了考虑粘结剥离效应的数值建模方法,并从块体层面验证了其可行性。Ombres和Verre[14]运用ABAQUS建立宏观模型对水泥基质(FRCM)约束砌体柱进行结构性能分析。

上述有限元模型建模方法尚存在如下不足:一方面,模型仅含有单一加固材料,对于组合材料加固模型的建模研究相对较少,通常忽略加固材料失效以及同砌体间的滑移剥离效应;另一方面,加固模型普遍缺乏必要的试验组验证,验证指标偏少,缺乏普适性,用于加固砌体变参数分析需作进一步优化。为此,本文依托内置钢板聚合物砂浆面层砌体加固法[15]相关试验,基于ABAQUS有限元软件建立加固砌体模型,探讨建模方法和计算效果。

1 砌体数值模拟原理与建模方法

对于砌体数值分析方法的研究,在于寻求最佳建模方法,实现在节约计算资源和时耗的同时提高分析精度,主要包括基本假定选取、建模方法选取、本构关系的选取三个部分。

1.1 建模思路与基本假定

砌体结构的基本组分是砖块体和砂浆,因此砌体有限元模型的建模方法一般分为分离式和整体式两大类。本文综合考虑计算精度和计算效率因素,以未加固砌体整体式模型为基础,结合分离式思想建立加固砌体有限元模型。

对于加固砌体的建模,通常思路是选用实体部件建立砌体墙片;线性部件或壳体部件模拟加固钢材和加固面层。但此类建模方法,所用单元类型多,维度不一,单元连接处理不理想;且线形部件无法模拟钢板屈曲与焊口断裂现象。基于上述原因,文中砌体及各类加固材料均选用实体部件建立。

模型建立所用到的基本假定包括连续性假定、匀质性假定与各向同性假定。其中,连续性假定要求宏观构件尺寸比块体大五倍以上[16],砌体、钢板及聚合砂浆面层均符合条件。其次,砌体虽然由块体、砂浆组成,但考虑到各组分空间排布均匀,这里假设其同加固钢板、砂浆一样为单一材质,即满足匀质性假定。此外,鉴于砌体弹性模量在水平、垂直方向上的差异较小,泊松比影响不大,因此在宏观分析中可将其视作各向同性匀质体。对于钢板、聚合物砂浆而言,它们的物理力学特性在各方向亦无显著差异,基本满足各向同性假定。

1.2 单元选取与建模方法

所涉及的单元类型包括实体单元、接触单元和生死单元三类。其中各类材料部件的主体部分均采用八节点六面体线性减缩积分实体单元(C3D8R),砂浆面层与砌体连接部分采用零厚度的Surface Cohesive接触单元;加固钢板焊缝引入生死单元进行模拟。

C3D8R单元优点是位移求解精确、单元扭曲稳定性好、适于接触分析、不易发生“剪切自锁”[17]。对于C3D8R单元不适于模拟应力集中及产生“沙漏”数值问题,ABAQUS引入“沙漏刚度”来限制沙漏的扩展,模型中的单元越多限制作用越有效[17]。因此,文中通过细化网格来解决“沙漏”问题。Surface Cohesive单元的特点是能够同时满足相对位移和应力传递要求,单元厚度为零,适于模拟粘结滑移。钢板焊缝处生死单元通过对 C3D8R单元材性赋予断裂判据来完成单元的移除,即“杀死”失效单元。

未加固砌体模型由砌体墙片、加载顶梁及底梁三部分组成,通过Tie命令绑定连接,加载底梁底面设置为完全固定约束,竖向荷载以压强形式施加于加载顶梁顶面;为确保加载梁在侧向加载过程中保持水平,在加载顶梁顶面施加竖向位移限制;在加载梁左侧面心处设置参考点 FXB作为侧向位移加载点,并通过位移 Amp表控制施加与真实试验相同的位移加载历程,最后由Coupling命令将二者建立运动(六自由度)耦合关系。

加固砌体模型建立在未加固砌体模型基础之上。具体建模步骤如下:

1) 创建部件。分别创建聚合物砂浆面层及各类加固钢板部件,之后将加固扁钢、包角角钢及连接角钢依照试验墙体构造完成墙面布置,采用Merge命令合并形成加固钢骨架部件。

2) 划分单元。将各部件划分成规则几何集合体,然后采用结构化网格技术划分单元,见图 1,其中单元划分尺度控制系数设置为0.2。

图1 各材料部件单元划分
Fig.1 Breakdown of material components

3) 赋予材性。输入各类材料的材性数据,生成各自的材料截面属性,然后将材料截面属性分别赋予到相应的材料部件实体上。

4) 装配部件。通过平移、旋转等操作,将加固钢骨架部件紧贴砌体墙面布置,然后将聚合物砂浆面层部件包裹在砌体墙部件和加固钢骨架部件外围,装配形成如图2所示的加固砌体。

图2 加固砌体模型装配
Fig.2 Assembly of reinforced masonry model

5) 创建分析步。在Initial分析步后增设VVV、HHH、FXB三个分析步。分别用于施加竖向荷载,控制加载顶梁水平度和墙体U1方向的侧向位移加载;三者依次生效,并继承至后续分析步。

6) 创建相互作用。首先通过Tie命令将包角角钢四端分别与顶、底梁相连。然后经面-面Tie命令完成加固钢骨架与聚合物砂浆面层的连接。最后由点-面接触将聚合物砂浆面层与砌体建立连接。

7) 处理边界条件。考虑到对拉螺栓及试验墙体侧向支撑的作用,通过对加固钢板对拉螺栓连接处设置边界条件来限制平面外位移,见图3。

图3 加固砌体边界条件设置
Fig.3 Conditions for reinforcement of masonry boundary

8) 提交分析。模型数值计算由ABAQUS软件Standard静力分析模块完成。分析流程详见图 4,本文砌体有限元模型的计算终点取荷载下降至极限荷载85% [18]以下的时刻。

图4 模型数值分析流程图
Fig.4 Flow chart for numerical analysis of model

1.3 材料本构与破坏准则

砌体和聚合物砂浆面层为基于混凝土塑性损伤模型(CDP)建立,包含屈服函数、流动准则和本构关系三部分。其中前两部分需要指定屈服函数和D-P流动准则中偏平面上的剪胀角ψ、偏心率e、双轴受压强度与单轴受压强度比σ b 0c0、拉压子午线上第二应力不变量的比值K和材料粘滞系数μ等。粘滞系数主要影响计算收敛性与计算精度,取值不宜过大。上述各参数取值参见表1。

表1 屈服函数及流动准则相关参数
Table 1 Correlation parameters of yield function and flow criterion

材料类别 ψ e b0/c0 σ σ K μ砌体 30 0.1 1.16 0.667 0.00015聚合物砂浆 26 0.1 1.16 0.667 0.00001

CDP模型的本构关系设置包括各向同性弹性和各向同性损伤塑性两部分,弹性部分需指定弹性模量与泊松比;损伤塑性部分需指定材料的本构关系及损伤演化规律。

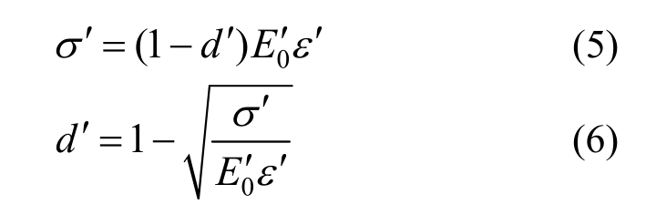
砌体受压本构关系采用杨卫忠模型[19]

式中:σ、fm分别为砌体受压应力值、抗压强度平均值;ε、εm分别为砌体受压应变值、峰值应变值;η为砌体弹性模量与峰值变形模量之比,取1.633。

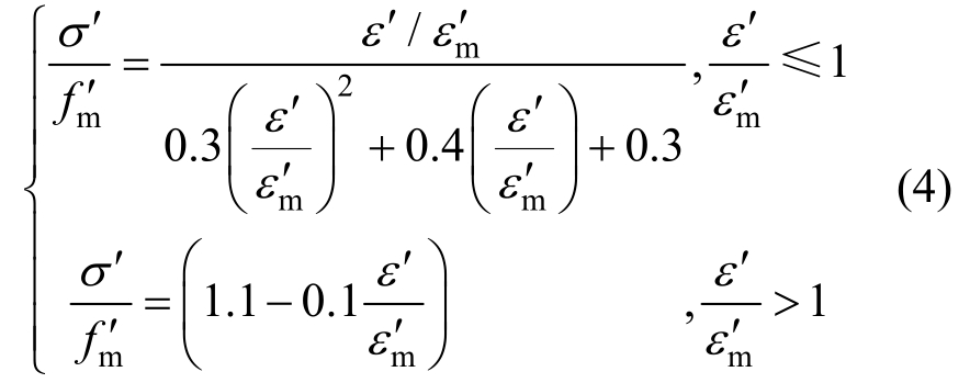
砌体加卸荷过程损伤演化表达式[19]为:

式中:d为砌体受压(受拉)损伤因子;E0为砌体弹性模量。

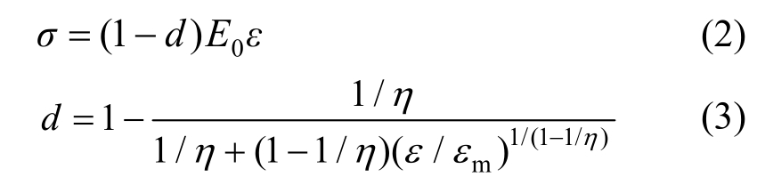
聚合物砂浆受压本构关系选用朱伯龙模型[20]

式中:σ′、分别为聚合物砂浆受压应力值、抗压强度平均值;ε′、εm′分别为聚合物砂浆受压应变、峰值应变。

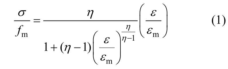
聚合物砂浆加卸荷过程损伤演化表达式[21]为:

式中:d′为聚合物砂浆受压(受拉)损伤因子;′为聚合物砂浆的弹性模量。

鉴于砌体和砂浆面层的抗拉强度均远低于各自抗压强度,为简化分析,可将受拉本构曲线上升段视作直线,即受拉弹性模量取值同受压弹性模量;受拉本构曲线下降段采用规范[22]附录C.2中给出的混凝土受拉本构关系曲线。

钢筋本构采用强化双折线模型,强化段变形模量取弹性模量的0.001;对于各类加固钢材连接处的角焊缝,据文献[23]附表1.3中Q235钢角焊缝与对接焊缝之比,取强度折减系数为0.744;角焊缝材料属性考虑金属柔性损伤,断裂应变设置为 0.033,损伤演化简化为直线,破坏位移假定为0.5 mm。

加固砌体模型中聚合物砂浆面层与砌体间的接触单元考虑界面粘结属性。界面粘结属性包括切向行为和法向行为。其中切向行为采用库伦模型;摩擦系数据规范[24]取钢材、混凝土沿砌体滑动的平均值 μ=0.575;法向通过添加粘性行为来模拟聚合物砂浆面层同砌体间的粘结滑移效应。粘结界面的接触力损伤演化规律参见图5。

图5 粘性行为损伤演化示意图Fig.5 Evolution of viscous behavior injury

ABAQUS接触属性中的粘结属性需要指定弹性刚度矩阵。本文不考虑刚度耦合效应,只需指定三个主应力方向的刚度knn、kss及ktt。关于粘结界面三向刚度的取值,可由式(7)、式(8)[25]确定:

式中:knn、kss、ktt分别为粘结界面法向、第一切向、第二切向刚度;hm为聚合物砂浆面层厚度;Em、G m 分别为聚合物砂浆弹性模量、剪切模量;Eb、Gb分别为砌体弹性模量、剪切模量。

考虑到聚合物砂浆良好的粘结性能及界面剂的使用,认为加固面层损伤起始取决于砌体轴心抗拉、抗剪强度平均值,具体计算公式[24]分别为:

式中:ft,m为砌体轴心抗拉强度平均值;fv0,m为砌体抗剪强度平均值;f2为砌筑砂浆抗压强度平均值。

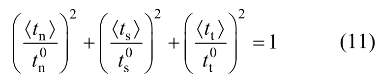
采用二次应力准则[26]作为粘结力损伤起始判据,即满足式(11)条件后时损伤开始。演化规律采用能量定律,其中I型断裂能G11与II型断裂能G12、G21依照砌体轴心抗拉、抗剪强度等比换算[27]得到,指定能量定律指数为3,粘滞系数取0.0001。

式中:〈tn〉、〈ts〉、〈tt〉分别为粘结界面法向、第一切向、第二切向接触应力;分别为粘结界面法向、第一切向、第二切向最大应力。

2 砌体数值模型验证与结果分析

2.1 试验模型简介

选取文献[15]中两类共计八面加固墙体为分析对象,图6为试验加载装置,试验墙体尺寸及构造情况见图7,墙体编号及材性信息见表2。墙体高宽比为0.71,厚度为240 mm。各加固墙的竖向荷载均为600 kN。加固钢材强度等级为Q235级,材性试验结果如表3所示。聚合物砂浆面层性能参数如表4所示。试验加载采用力-位移混合控制的方案进行。即在墙体开裂前采用力控制加载,每级荷载加载一次;墙体开裂后改用位移控制加载每级荷载加载两次,直至荷载下降至极限荷载的85%停止加载。

2.2 破坏形态模拟对比分析

对于砌体开裂位移,试验取墙面首次出现肉眼可见裂缝时刻所处加载级的位移值。数值模拟模型采用式(3)计算所得砌体受拉损伤指标 DAMAGET来表征墙体裂缝分布和开展情况。钢板屈曲根据生死单元状态确定:第一阶段为弹性工作阶段,此时接触界面 Cohesive单元及焊口处生死单元均处于弹性受力状态,对应加固钢板小幅受力变形的弹性阶段;第二阶段为损伤累积阶段,此时接触界面Cohesive单元刚度开始损伤,焊口处生死单元达到折减强度,并开始产生塑性变形,加固钢板受力变形速率加快,但由于加固面层尚未失效剥离,此时钢板挠曲仍受约束;第三阶段进入失效阶段,此时接触界面Cohesive单元失效,粘结界面仅限提供正应力及摩擦力,而不再具有粘结性能,部分焊口处生死单元失效删除,加固钢板在竖向荷载及侧向应力的作用下趋于自由挠曲,并于钢板连接焊缝处进一步产生应力集中,继续引发其余焊口生死单元失效,此时对应加固钢板的挠曲及断裂失效阶段。

图6 试验加载装置布置
Fig.6 Test loading device layout

图7 试验墙体示意
Fig.7 Schematic of wall specimens

表2 墙体材料性能参数
Table 2 Performance parameters of wall materials

墙体编号砌体标准抗压件烧结砖抗压强度/MPa砂浆抗压强度/MPa抗压强度/MPa弹性模量/MPa 泊松比BQ-1 0.6 2.29 1755 BQ-2 1.4 2.51 1928 BQ-3 3.2 2.88 2253 BQ-4 5.0 3.38 2597 7.23 0.15 XBQ-1 0.5 2.26 1736 XBQ-2 1.0 2.39 1832 XBQ-3 2.9 2.88 2196 XBQ-45.3 3.46 2655

表3 加固钢板性能参数
Table 3 Performance parameters of reinforced steel plates

钢材尺寸/mm×mm 屈服强度/MPa 抗拉强度/MPa 弹性模量/GPa泊松比60×5 263 383 246∟50×5 270 392 2470.30∟100×10 276 388 252

表4 聚合物砂浆面层性能参数
Table 4 Performance parameters of polymer mortar layers

墙体编号 材料型号 抗压强度/MPa 弹性模量/MPa 泊松比BQ-1 32.9 3087 BQ-2 37.4 3198 BQ-3 34.9 3147 BQ-4 31.7 3051 EC2000-RC 0.20 XBQ-1 32.0 3060 XBQ-2 31.3 3039 XBQ-3 31.5 3045 XBQ-431.9 3057

图8给出了加固砌体墙数值模拟与试验墙体主要破坏形态对比情况。由图8可知数值模型能够模拟出正交加固墙和斜撑加固墙的三阶段破坏特征:

1) 墙体中部首先出现斜裂缝,大致沿 45°方向延伸至墙体四角。此时模拟所得云图是据式(2)计算得到的,即采用砌体的受拉损伤值来表征裂缝开展。

2) 连接角钢与包角角钢连接处焊口断裂,加固扁钢产生不同程度屈曲,钢板失效。这一过程中,钢板焊口断裂对应生死单元失效移除时刻,即焊缝处生死单元应力达到文中所述折减强度后,进而产生塑性绝对变形位移达到0.5 mm的时刻。

3) 聚合物砂浆抹面与砌体脱粘,表征面层脱落失效,墙体最终破坏。此处砂浆面层脱粘剥离阶段对应文中所述接触界面处 Cohesive单元刚度开始损伤直至失效删除,此后界面仅存在摩擦力及正应力作用,即对应于文中图5(b)整体混合曲线的下降段,具体表达式参见式(11)。

图8 试验墙体主要破坏形态对比
Fig.8 Comparison of main destruction forms of test walls

2.3 抗震性能模拟对比分析

2.3.1 正交加固墙

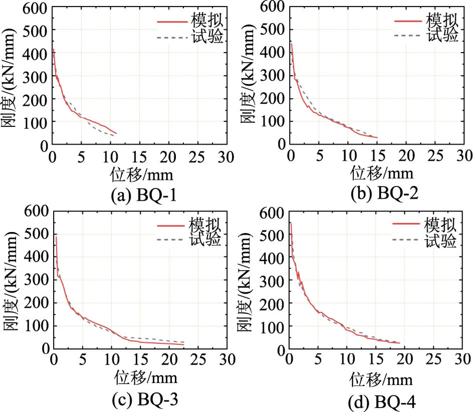
图9、图10和图11给出了不同砂浆强度下正交加固墙体滞回曲线、骨架曲线、刚度退化曲线模拟与试验结果的比较曲线。从图9~图11可以看出,本文数值模拟得到的滞回环、骨架曲线以及刚度退化曲线与试验结果基本一致。其中,对于BQ-3模型,下降段范围内数值模拟所得曲线与试验相应曲线相差较大,主要是荷载进入下降段后测试墙顶的位移计超量程进行更换导致的试验误差引起的。

2.3.2 斜撑加固墙

图12给出了砂浆为M1.0情况下斜撑加固墙体的滞回曲线、骨架曲线以及刚度退化曲线模拟与试验结果的对比曲线。由于各砂浆强度下所得曲线趋势基本一致,这里仅给出M1.0情况。

图9 正交加固墙数值模拟与实际试验滞回对比曲线Fig.9 Comparison of hysteresis curves between numerical simulation and actual test of orthogonally reinforced walls

图10 正交加固墙数值模拟与实际试验骨架对比曲线
Fig.10 Comparison between numerical simulation and actual experimental skeleton curves of orthogonally reinforced walls

图11 正交加固墙数值模拟与实际试验刚度退化对比曲线Fig.11 Comparison curves between numerical simulation and
actual experimental stiffness degradationof orthogonally reinforced walls

图12 XBQ-1数值模拟与实际试验对比曲线
Fig.12 Comparison curves between XBQ-1 numerical
simulation and actual test

2.4 性能指标模拟对比分析

为定量评估本文所述模型的模拟精度,现将加固砌体的有限元计算结果同试验数据作对比分析,抗震性能指标及误差计算结果参见表5。

由表5可知,抗剪承载力和峰值位移两项指标的模拟效果最佳,相对误差绝对值的平均值分别为7.9%和8.6%。其中BQ-1和XBQ-4误差稍大,分别为11.5%和18.5%。能量耗散系数和初始刚度两项指标的相对误差绝对值的平均值分别为10.6%和12.0%。延性系数、极限位移和开裂位移的模拟相对误差绝对值的平均分别为 13.9%、13.9%和16.2%。注意到误差最大的指标位于 BQ-1开裂位移、BQ-3极限位移和 XBQ-3极限位移,分别达34.9%、-48.5%和-33.8%。分析位移相对误差较大的可能原因有两点:一是试件开裂时刻的视觉判定存在误差;二是试验分级加载制度过程中量测器材捕捉开裂和极限位移会存在滞后性。此外,延性系数又由开裂位移和峰值位移计算得出,这一过程中亦会产生误差累积。

整体来说,本文所述模型各项指标模拟效果良好。虽有个别项偏差稍大,但考虑到砌体材料、试验结果离散性等因素的影响。统计显示所有墙片的全部指标中有81%的误差在20%以内。

表5 墙体性能指标模拟值与试验值对比
Table 5 Comparison of simulated and test values of wall performance indexes

注:Pu表示墙体极限荷载值;Δcr、Δ0、Δu分别表示墙体的开裂位移、极限位移和破坏位移;μ表示墙体延性系数;K0表示墙体初始刚度;Eu表示能量耗散系数,由墙体破坏时刻所对应的滞回环计算得到;δ1~δ7表示相应各指标模拟结果的相对误差值。

墙体编号 类别 Pu/kN δ1/(%) Δ0/mm δ2/(%) Δcr/mm δ3/(%) Δu/mm δ4/(%) μ δ5/(%) K0/(kN/mm) δ6/(%) Eu δ7/(%)BQ-1 模拟 708.8 11.5 8.18 34.9 2.62 45.7 10.9 25.1 3.12 -7.4 415.5 6.8 1.59 -11.4试验 829.5 — 8.85 — 1.96 — 14.0 — 4.52 — 402.2 — 1.64 —BQ-2 模拟 766.3 -7.6 8.38 -5.3 2.09 6.6 11.5 -18.1 4.01 -11.2 438.1 8.9 1.61 -2.1试验 898.8 — 9.19 — 2.17 — 21.8 — 4.24 — 577.0 — 1.81 —BQ-3 模拟 837.5 -6.8 8.17 -11.1 2.45 12.8 11.2 -48.5 3.34 -21.2 486.9 -15.6 1.47 -19.0试验 957.5 — 9.10 — 2.03 — 16.6 — 4.49 — 526.7 — 1.74 —BQ-4 模拟 972.0 1.5 9.17 0.7 2.22 9.7 16.8 1.5 4.13 -8.2 544.0 3.3 2.25 29.4试验 935.7 — 8.92 — 2.05 — 12.2 — 4.35 — 500.1 — 1.86 —XBQ-1 模拟 986.4 5.4 9.00 0.9 2.55 24.3 11.4 -6.2 3.53 -18.8 432.0 -13.6 1.58 -15.0试验 926.3 — 6.99 — 3.04 — 11.4 — 2.30 — 445.8 — 2.42 —XBQ-2 模拟 991.9 7.1 7.05 0.9 2.46 -19.1 11.5 1.3 2.87 24.6 475.9 6.7 2.22 -8.1试验 1041.8 — 12.70 — 2.52 — 16.9 — 5.06 — 558.0 — 1.96 —XBQ-3 模拟 1107.4 6.3 10.50 -18.0 2.37 -5.9 11.2 -33.8 4.40 -12.9 495.5 -11.2 1.94 -0.9试验 975.5 — 10.10 — 2.85 — 15.1 — 3.53 — 399.0 — 1.83 —试验 635.7 — 6.06 — 1.80 — 8.74 — 3.37 — 389.2 — 1.79 —XBQ-4 模拟 1155.7 18.5 9.20 -8.6 2.01 -29.4 12.9 -14.7 4.57 29.3 506.4 26.9 1.88 2.7

3 结论

本文采用 ABAQUS有限元软件,在砌体整体式模型的基础上结合分离式思想提出了组合材料加固砌体的数值建模方法,并与已有试验成果进行了对比分析。现总结如下:

(1) 8片加固砌体墙片数值模拟和试验结果对比分析表明,采用本文提出的数值模拟方法能够很好地模拟出组合加固砖砌体墙片的破坏形态、滞回性能,是可行的,可用于组合材料加固砌体抗震性能的进一步变参数数值模拟研究。

(2) 数值模拟所得加固砌体墙片的滞回曲线、骨架曲线和刚度退化曲线与试验曲线基本吻合,主要破坏形态与试验一致,能够良好模拟出加固墙体的抗震性能和破坏特征。

(3) 数值模拟所得抗剪承载力、峰值位移两项指标的模拟效果最佳,大部分墙体误差在 7.6%以内,只有BQ-1和XBQ-4误差稍大,分别为11.5%和18.5%。能量耗散系数和初始刚度指标的模拟效果良好,相对误差绝对值的平均值分别为10.6%和12.0%。而延性系数、极限位移和开裂位移三项指标模拟误差稍大,相对误差绝对值的平均分别为13.9%、13.9%和16.2%。但总体而言,其具有重要参考价值。

参考文献

[1] 谢礼立, 曲哲. 论土木工程灾害及其防御[J]. 地震工程与工程振动, 2016, 25(1): 1-10.Xie Lili, Qu Zhe. On civil engineering disasters and their defense [J]. Earthquake Engineering and Engineering Vibration, 2016, 25(1): 1-10. (in Chinese)

[2] 戴如之. 水平嵌筋加固砌体墙开裂性能的有限元分析[D]. 青岛: 中国海洋大学, 2014.Dai Ruzhi. Finite element analysis of cracking performance of masonry wall reinforced by horizontal inlay [D].Qingdao: Ocean University of China, 2014. (in Chinese)

[3] 朱成成, 李莉, 李海宏. 基于 ABAQUS砌体结构水平嵌筋加固动力分析[J]. 价值工程, 2018, 37(12): 122-124.Zhu Chengcheng, Li Li, Li Haihong. Dynamic analysis of horizontal inlay reinforcement based on ABAQUS masonry structure [J]. Value Engineering, 2018, 37(12):122-124. (in Chinese)

[4] 黄斌, 阿肯江·托呼提. 基于RVE的钢丝网砂浆加固土坯砌体力学性能研究[J]. 防灾减灾工程学报, 2015,35(5): 659-665.Huang Bin, Akenjiang·Tuohuti. Research on mechanical properties of adobe masonry reinforced by steel mesh mortar based on RVE [J]. Journal of Disaster Prevention and Mitigation Engineering, 2015, 35(5): 659-665. (in Chinese)

[5] Garofano A, Ceroni F, Pecce M. Modelling of the in-plane behaviour of masonry walls strengthened with polymeric grids embedded in cementitious mortar layers[J]. Composites Part B, 2016, 85: 243-258.

[6] 杜德润, 许云龙, 蒋济同, 等. 型钢加固既有砖墙的抗震性能有限元分析[J]. 工程抗震与加固改造, 2018,40(2): 115-121.Du Derun, Xu Yunlong, Jiang Jitong, et al. Finite element analysis of seismic performance of existing brick walls with steel reinforcement [J]. Engineering Seismic and Reinforcement, 2018, 40(2): 115-121. (in Chinese)

[7] Lignola G P, Bilotta A, Ceroni F. Assessment of the effect of FRCM materials on the behaviour of masonry walls by means of FE models [J]. Engineering Structures, 2019,184: 145-157. (in Chinese)

[8] 张斯, 徐礼华, 杨冬民, 等. 纤维布加固砖砌体墙平面内受力性能有限元模型[J]. 工程力学, 2015, 32(12):233-242.Zhang Si, Xu Lihua, Yang Dongmin, et al. Finite element model of mechanical behavior of brick masonry walls strengthened with fiber reinforced concrete [J].Engineering Mechanics, 2015, 32(12): 233-242. (in Chinese)

[9] Susila G A, Mandal P, Swailes T. Strengthening and retrofitting strategy for masonry (new build construction in Indonesia) [J]. Applied Mechanics & Materials, 2016,845: 181-187.

[10] 王亭, 姜忻良, 李茂鋆. 历史风貌建筑砖砌体加固试验及模拟计算分析[J]. 工程力学, 2012, 29(A01): 92-96.Wang Ting, Jiang Xinliang, Li Maoyun. Reinforcement experiment and simulation analysis on brick masonry of historical buildings [J]. Engineering Mechanics, 2012,29(A01): 92-96. (in Chinese)

[11] 褚少辉, 赵士永, 赵存宝, 等. 碳纤维布加固砌体墙有限元分析[J]. 工程抗震与加固改造, 2017, 39(1): 122-127.Chu Shaohui, Zhao Shiyong, Zhao Cunbao, et al. Finite element analysis of masonry wall strengthened with carbon fiber sheet [J]. Engineering Journal of Seismic Strengthening and Reconstruction, 2017, 39(1): 122-127. (in Chinese)

[12] Dolatshahi K M, Nikoukalam M T, Beyer K. Numerical study on factors that influence the in-plane drift capacity of unreinforced masonry walls [J]. Earthquake Engineering & Structural Dynamics, 2018, 47(6): 1440-1459.

[13] 陈莹, 王全凤, 黄奕辉, 等. GFRP复合材料与砖界面粘结性能的数值模拟[J]. 工程力学, 2007, 24(5): 119-124.Chen Ying, Wang Quanfeng, Huang Yihui, et al.Numerical analysis for bonding in the interface between GFRP and clay brick [J]. Engineering Mechanics, 2007,24(5): 119-124. (in Chinese)

[14] Ombres L, Verre S. Masonry columns strengthened with steel fabric reinforced cementitious matrix (S-FRCM)jackets: Experimental and numerical analysis [J].Measurement Volume, 2018, 127: 238-245.

[15] 陈再现, 孙凯林. 低强度砖砌体粘钢-聚合物砂浆加固抗震性能试验[J]. 建筑结构学报, 2018, 39(12): 153-158.Chen Zaixian, Sun Kailin. Experimental study on seismic behavior of low-strength brick masonry bonded steel-polymer mortar [J]. Journal of Building Structures,2018, 39(12): 153-158. (in Chinese)

[16] Cerrolaza M, Sulem J, Elbied A. A cosserat non-linear finite element analysis software for blocky structures [J].Advances in Engineering Software, 1999, 30: 69-83.

[17] 石亦平, 周玉蓉. ABAQUS有限元分析实例详解[M].北京: 机械工业出版社, 2006.Shi Yiping, Zhou Yurong. Detailed explanation of ABAQUS finite element analysis [M]. Beijing:Mechanical Industry Press, 2006. (in Chinese)

[18] 张望喜, 岳风华, 刘杰. 多参数影响下的砌体墙体抗震性能分析[J]. 湖南大学学报, 2017, 44(3): 45-54.Zhang Wangxi, Yue Fenghua, Liu Jie. Analysis of seismic behavior of masonry walls under the influence of multiple parameters [J]. Journal of Hunan University,2017, 44(3): 45-54. (in Chinese)

[19] 杨卫忠. 砌体受压本构关系模型[J]. 建筑结构, 2008,38(10): 80-82.Yang Weizhong. Model of compressive constitutive relations of masonry [J]. Building Structure, 2008, 38(10):80-82. (in Chinese)

[20] 朱伯龙. 砌体结构设计原理[M]. 上海: 同济大学出版社, 1991.Zhu Bolong. Principles of masonry structure design [M].Shanghai: Tongji University Press, 1991. (in Chinese)

[21] 孙雷, 崔兆彦, 王少杰, 等. 砌块墙体开裂过程数值模型及模拟分析[J]. 防灾减灾工程学报, 2013, 33(增刊1): 78-82.Sun Lei, Cui Zhaoyan, Wang Shaojie, et al. Numerical model and simulation analysis of cracking process of block wall [J]. Journal of Disaster Prevention and Mitigation Engineering, 2013, 33(Suppl 1): 78-82. (in Chinese)

[22] GB 50010-2011, 混凝土结构设计规范[S]. 北京: 中国建筑工业出版社, 2011.GB 50010-2011, Code for design of concrete structures[S]. Beijing: China Building Industry Press, 2011. (in Chinese)

[23] 张耀春, 周绪红. 钢结构设计原理[M]. 北京: 高等教育出版社, 2011.Zhang Yaochun, Zhou Xuhong. Principles of steel structure design [M]. Beijing: Higher Education Press,2011. (in Chinese)

[24] GB 50003-2011, 砌体结构设计规范[S]. 北京: 中国建筑工业出版社, 2011.GB 50003-2011, Code for design of masonry structures[S]. Beijing: China Building Industry Press, 2011. (in Chinese)

[25] Shrestha K C, Nagae T, Araki Y. Finite element modeling of cyclic out-of-plane response of masonry walls retrofitted by inserting inclined stainless steel bars [J].Journal of Disaster Research, 2011, 6(1): 36-43.

[26] Dassault Systemes. Abaqus 6.14 Documentation[DB/OL]. http: //wufengyun.com:888/, 2014.

[27] 丁瑞彬. 砌体精细化建模方法及砌体拟静力试验的数值模拟分析[D]. 太原: 太原理工大学, 2016.Ding Ruibin. Numerical modeling analysis of masonry refinement modeling method and masonry quasi-static test [D]. Taiyuan: Taiyuan University of Technology,2016. (in Chinese)

FINITE ELEMENT SIMULATION METHOD FOR BRICK MASONRY REINFORCED WITH COMPOSITE MATERIALS

CHEN Zai-xian , YANG Xu-bo
(Department of Civil Engineering, Harbin Institute of Technology at Weihai, Weihai 264209, China)

Abstract: A numerical modeling method for masonry reinforced with composite materials is proposed based on the ABAQUS finite element software. This method combines the idea of the discrete model with the smeared model for unreinforced masonry walls to establish the numerical model for masonry walls strengthened with composite materials. The quasi-static test results of eight brick walls reinforced by steel plates and polymer mortar are employed to verify the feasibility of the proposed numerical model. The comparison between the numerical and test results shows that the failure patterns, hysteresis curves, skeleton curves and stiffness degradation curves are close to the corresponding experimental results. The simulation errors of 81% seismic parameters including the key loads, displacements, ductility factor and energy dissipation index are less than 20%.

Key words: masonry reinforcement; seismic performance; low cycle reciprocating; finite element; nonlinear

中图分类号:TU364

文献标志码:A

doi: 10.6052/j.issn.1000-4750.2019.06.0298

文章编号:1000-4750(2020)04-0096-09

收稿日期:2019-06-03;修改日期:2019-08-15

基金项目:国家自然科学基金面上项目(51678199);乌鲁木齐市建委科技项目(WJ2016-1)

通讯作者:陈再现(1981-),男,河南平顶山人,教授,博士,全国砌体结构标准技术委员会委员,主要从事结构抗震设计及加固理论、结构试验方法与技术研究(E-mail: zaixian_chen@sina.com).

作者简介:杨续波(1994-),男,山东临沂人,硕士生,主要从事砌体加固研究(E-mail: yangbo199410@126.com).