一种通用高层建筑模型烟囱效应的数值模拟分析

解学峰,杨 易

(华南理工大学亚热带建筑科学国家重点实验室 广东,广州 510641)

摘 要:超高层建筑的烟囱效应问题, 是由室内外环境和建筑设计等多种因素引起的一种室内外非受控空气渗透现象。强烈的烟囱效应可能导致电梯营运故障、电梯井道气动噪声及空调能源浪费等问题,当前对于该问题的研究进度远滞后于建设速度。在对10余栋超高层建筑烟囱效应实测研究的基础上,提炼总结其共同建筑设计特征,基于结构风工程中标准高层建筑模型,设计了一种分析室内外空气渗透作用的高层建筑烟囱效应通用高层建筑模型,采用多区域网络模型数值模拟方法进行数值仿真,分析了围护结构气密性等级、首层门厅设计、建筑内部空间分割、外部环境等主要影响因素对电梯门压差分布的影响规律,得出如下结论:相较于短程电梯,通高电梯的电梯门受烟囱效应影响程度最大;除室外环境和电梯井道高度外,建筑幕墙气密性等级、建筑内部隔断设计等因素也影响电梯压差分布;提高幕墙围护结构的密封等级,能有效地削弱烟囱效应的作用强度,降低各层电梯门的压差;首层厅门的设计和状态对烟囱效应影响显著,其开闭状态对首层电梯门压差影响较大;在建筑首层或顶层电梯厅设置前室门后,电梯门压差明显降低;烟囱效应还受室外风场作用的影响,相较于热压作用,风速和风向对建筑烟囱效应压差的影响相对复杂,不同风向和风速的作用规律不同,需要结合实际工程的风气象条件进行具体研究。基于通用高层建筑模型烟囱效应的详细参数分析得出的一般规律,对实际超高层建筑的烟囱效应特性分析以及强烟囱效应的缓解措施具有一定的参考价值。

关键词:超高层建筑;烟囱效应;通用高层建筑模型;数值模拟;参数分析

现代超高层建筑广泛采用核心筒结构体系,位于建筑中央的核心筒集合了数量众多的高大垂直井道,如电梯井、通风井、管道井;在建筑室内外温差和高差形成的热压以及风压作用下,空气透过门窗幕墙等围护结构缝隙,从室外向建筑内部渗入或从建筑室内向室外渗出,并在电梯井道汇聚,形成一种特殊的空气渗透运动现象——“烟囱效应”,它主要和室内外温差、电梯井道高度、建筑构件的渗透特性以及风压作用等因素有关。加拿大Tamura和Wilson[1-3]曾提出,超高层建筑烟囱效应压差与建筑高度和室内外温差有关,可用下述公式表示:

式中:ΔPS/Pa为烟囱效应作用下的压差;ρo/(kg/m3)为室外空气密度;Ti/K、To/ K为室内外绝对温度;HNPL/m为中性面高度;H/m为计算高度;g为重力加速度,取9.8 m/s2

近年,随着国内外特别是我国超高层建筑的高度和数量快速增长,超高层建筑的烟囱效应问题日益突出,国内外相关研究也随之增多。如采用数值模拟研究高层建筑内压分布,并提出缓解烟囱效应问题的技术措施[4];通过现场实测方式验证数值模拟结果的合理性,并对几种可行的节能策略进行数值模拟[5];通过对多栋高层建筑烟囱效应的实测研究,指出烟囱效应除了井道高度和温差外还需要考虑风压、建筑布局和通风系统的影响[6];利用数值模拟和风洞试验结合的方法研究烟囱效应与风压联合作用[7-9];研究模拟不同地貌风场改进的数值模拟方式[10];研究通过机械增压/井道冷却的方式定量控制作用在横向隔断上压差的方法[11-13];通过数值模拟的方式研究建筑高度、围护结构气密性、旋转门的应用位置等因素定量分析旋转门对建筑楼层和建筑整体烟囱效应衰减特性的影响[14]等。

根据作者近年对我国东北、华东以及华南10多栋超高层商业建筑和住宅建筑的实地调研和冬季烟囱效应现场实测,强烟囱效应形成的室内外渗透气流将导致电梯故障、气动噪声超标、能源浪费等问题,如长沙国金中心主塔(452 m)、广州东塔(530 m)等地标性建筑。当前由于国内外建筑规范中关于烟囱效应的规定不完善,多数超高层建筑设计时,并未考虑烟囱效应问题,导致建成后不得不改建。

超高层建筑的烟囱效应问题,是“超高层建筑(设计)-电梯产品(设计)”这一复杂系统产生的问题。作用于建筑内部构件的烟囱效应压强除受温差和高差影响外,还与围护结构气密性等级、首层门厅设计、建筑内部空间分割及外部风环境等因素有关。因此,从建筑设计角度,很有必要系统研究室外气象环境以及建筑内部设计等因素对烟囱效应作用强度的影响,从而为降低烟囱效应的作用强度提出优化设计方案。与此同时,量大面广的建筑设计和电梯产品选型中难以针对每栋建筑详细建模分析,如何提炼和归纳超高层建筑烟囱效应问题的主要影响因素,设计一种通用分析模型,进行系统的参数分析,得到一般性的规律,是进行这一研究需要思考的重要问题之一。

本文基于结构风工程中CAARC高层建筑标准模型(用作评估建筑风洞模拟技术的标准模型)设计了一种分析室内外空气渗透作用的高层建筑烟囱效应的通用高层建筑模型,基于多区域网络模型方法建立通用数值模拟仿真分析模型,分析不同因素如围护结构气密性等级、首层门厅设计、建筑内部空间分割、外部环境等主要因素影响下建筑室内外空气渗透造成的内压分布规律,预测电梯承压状况给出缓解烟囱效应不利影响的合理措施,为分析导致故障原因、缓解烟囱效应以及优化建筑设计和改进电梯产品等提供参考。

1 通用数值模型建立及边界条件设置

1.1 通用高层建筑模型简介

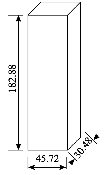
烟囱效应的通用数值模型参考CAARC标准高层建筑模型设计,CAARC标准高层建筑模型广泛应用在建筑结构风工程研究中,被用来检验不同风洞试验机构外覆面风压试验结果的合理性。实尺度CAARC模型尺寸为30.48 m×45.72 m×182.88 m,整体外观如图1所示。

图1 CAARC高层建筑标准模型 /m
Fig.1 CAARC standard high-rise building model

烟囱效应模拟通用模型设计为45层,外围护结构采用3级幕墙,内部有通高电梯和非通高电梯两类电梯,其中,通高电梯井道高度最高为182.88 m,非通高电梯井道高度为121.92 m,共计30层,室内温度设为20℃,室外温度设为−10℃,大厅推拉门闭合。现实情况中,通高电梯有时用作直通电梯在中间楼层不做停留,故通高电梯设计考虑两种类型:一种是停靠各层的通高电梯;另一种是不在中间楼层停靠的直通电梯。其中,将不在中间楼层停靠的直通电梯设计为仅停靠于建筑底部三层和顶部两层。

1.2 通用数值模型建立及构件参数选取

烟囱效应的建模和求解可采用在建筑通风领域使用较广的基于多区域网络模型方法的模拟分析软件CONTAM,它由美国国家标准和技术研究所(NIST)下属的建筑和火灾研究实验室研发的开放性模拟分析工具。利用CONTAM模型进行烟囱效应模拟的可靠性,已经通过标准建筑模型进行了数值验证,详见文献[7]。

通用高层建筑模型首层平面的CONTAM数值分析模型如图2所示。通过在数值模型对应的节点位置定义室内外环境信息如温度、风压,及建筑特征参数如室内面积、建筑渗透构件(如门、窗等)的气密性等,以模拟建筑模型因室内外温差形成的烟囱效应。

图2 基于多区域网络模型方法建立的通用烟囱效应分析数值模型(首层)
Fig.2 General numerical model for stack effect analysis based on multi-zone network model method (the first floor)

参考ASHRAE(American Society of Heating Refrigerating and Air conditioning Engineers,美国采暖、制冷与空调工程师学会)手册[15]和文献[16−17],给出了通用建筑模型各构件包括幕墙、外门、内门和电梯门的气密性参数,见表1和表2。

表1 构件气密性参数
Table 1 Airtightness parameters of building components

建筑构件幕墙大厅推拉门 前室门 电梯门(1.2 m×2.4 m)气密性数据3级430CMH ΔP=50 Pa EqlA10 120 cm2/扇115 L/(s/m2)ΔP=75 Pa

表2 幕墙气密性能分级及指标
Table 2 Classification and index of airtightness performance of curtain wall

注:参考《建筑幕墙》GB/T 21086-2007,“渗透压ΔP=10 Pa”下得到。

分级 1 2 3 4单位面积分级指标值(整体部分)qA/(m3/(m2·h))4≥ qA >22≥qA>1.2 1.2≥qA>0.5qA≤0.5

1.3 风压边界条件

参考在华南理工大学风洞实验室进行的CAARC缩尺刚性模型测压风洞试验(见图3)结果,并结合数值模拟结果,给定建筑围护结构的平均风压边界条件,以分析风压与热压联合作用。

图3 CAARC标准高层建筑模型风洞实验及风向角示意图
Fig.3 Wind tunnel test of CAARC standard high-rise building model and sketch of building wind direction angle

需要说明的是,由于缩尺模型风洞实验并非在每层都布置风压测点,因此,可以采取对测点层的风压系数进行线性插值或者采取数值模拟方式得到每层的风压系数,鉴于本文采用的通用数值模型层数较多(45层),而风洞实验模型风压测点层仅布置7层,故考虑采用数值模拟方式获得各层的平均风压系数。

由于本文所介绍的通用数值模拟外部构造是对称布置,故仅考虑在0°、45°、90°、135°和180°风向角下,风压对通用数值模型烟囱效应的影响。本文选用C类地貌的边界层风场特性,建筑表面风压系数采用CFX模拟结果。

1.3.1 风洞试验与数值模拟结果对比

在CAARC标准建筑模型的HFPI风洞试验中,缩尺比均取为1∶400,在试验中采用适当的尖劈和粗糙元来模拟所需要的C类地貌的边界层风场特性。实验中采用离地0.75 m高度处的风速为参考风速,模型的风洞实验和风向角如图3所示,其中,A面为大厅推拉门所处的建筑一侧,0°风向为垂直于A面的方向,90°风向为垂直于B面的方向。

在通用数值模型的风压模拟中,采用结构网格对模型进行网格划分,共计423万网格,采用数值模拟软件CFX进行模拟,数值模型网格划分如图4所示,选用C类地貌的边界层风场,其中参数的选取参考文献[18];国际上通用的标准测点位于2/3H(121.92 m)高度处,本文将CAARC标准建筑模型0°方向角下数值模拟结果与华南理工大学风洞试验结果在标准测点处的风压系数曲线比较,见图5所示。

由图5可得,CAARC标准建筑模型的数值模拟结果与试验结果在正压区贴合较好,在负压区数值模拟结果偏小,但总体存在一致的规律性,即正压区和负压区的覆盖范围基本吻合,故可用模拟的风压系数结果运用于通用数值模型烟囱效应的分析。

图4 通用建筑模型数值模拟
Fig.4 Numerical simulation of general stack effect of high-rise building model

图5 数值模拟和风洞试验风压系数曲线对比
Fig.5 Comparison of wind pressure coefficient between numerical simulation and wind tunnel test

1.3.2 各风向角下建筑表面平均风压系数分布

本文介绍的通用数值模型共计45层,分别将该模型的迎风面、背风面和侧面45等分,各面的每层通过数值模拟取平均风压系数,通用数值模型各表面每层的平均风压系数计算公式如下:

式中:F为目标层建筑表面的风压合力;A为该目标层建筑表面的面积;P0为静压力;ρ为空气密度;v为参考高度处的参考风速。

这里给出0°和45°方向角下每层的平均风压系数散点图如图6~图7所示。

图6 0°方向角风压系数
Fig.6 Building wind pressure coefficient at 0º wind direction angle

图7 45°方向角风压系数
Fig.7 Building wind pressure coefficient at 45° wind direction angle

2 通用数值模型烟囱效应模拟及分析

数值模拟依次考虑了如下6种主要影响因素对电梯门压差分布的影响:1) 室内外温差;2) 电梯竖井高度;3) 幕墙气密性等级;4) 大厅推拉门状态;5) 电梯厅前室门设置;6) 风速和风向。首先模拟了一种基本工况,即当室外温度为−10℃、室内外温差为30℃时,得到停靠各层的通高电梯和非通高电梯压差分布如图8~图9所示。结果显示,通高电梯最大压差绝对值出现顶层,为−49.3 Pa,首层也出现较大的压差,为46 Pa,通高电梯首层和顶层的压差绝对值分别高于非通高电梯首层和顶层的压差绝对值,且通高电梯的空气渗透量为2837.13 L/s,远高于非通高电梯1095.81 L/s的空气渗透量,故通高电梯受烟囱效应影响程度大于非通高电梯受影响程度。在此基础上进行详细参数影响分析。

图8 在−10℃条件下通高电梯压差分布
Fig.8 The pressure distribution of long-distance elevator at −10℃

2.1 室内外温差

针对烟囱效应作用更强烈的通高电梯,通过设置不同的室外温度,考虑不同的室内外温差对电梯门压差的影响,将室外温度分别设为−20℃、−15℃、−10℃、−5℃、0℃、5℃、10℃、15℃和20℃,停靠各层的通高电梯首层和顶层电梯门压差绝对值变化如图10所示。结果显示,其压差绝对值均随室内外温差降低而降低,基本处于线性变化,且顶层电梯门压差绝对值的降低速率略大于首层电梯门压差绝对值的降低速率。在当前设定的参数下,当室内外温差增加5℃,首层电梯门的压差绝对值降低约8.08 Pa,顶层电梯门的压差绝对值降低约8.58 Pa。

图9 在−10℃条件下非通高电梯压差分布
Fig.9 The pressure distribution of short-distance elevator at −10℃

图10 室内外温差对首层和顶层电梯门压差绝对值的影响
Fig.10 Effect of outdoor temperature difference on the absolute value of pressure difference acting on the top and bottom elevator door

2.2 电梯竖井高度

电梯竖井的高度是影响烟囱效应作用强度的一个重要因素,考虑停靠各层的电梯不同电梯竖井高度对电梯门压差的影响,选取不同的电梯竖井高度,分别为5层、10层、15层、……、45层,首层和顶层电梯门压差结果如图11~图12所示,随着电梯竖井高度增加,首层电梯门压差绝对值基本线性增加,当电梯竖井增加5层(20.3 m),首层电梯门压差上升约4.76 Pa;顶层电梯门压差绝对值受其他竖直井道影响较大,当电梯竖井高度从30层增高至35层时,顶层电梯门压差绝对值受非通高电梯井道影响出现激增现象,从15.3 Pa上升至38.3 Pa。将电梯竖井高度提升至45层时,首层和顶层电梯门压差最大,分别为46 Pa和−49.3 Pa,故对于该通用高层建筑模型,竖井高度是影响电梯门压差的重要因素,但在考虑电梯井道高度的同时也需要考虑井道间的相互影响。

图11 电梯竖井高度对首层电梯门压差的影响
Fig.11 Effect of elevator shaft height on pressure difference of elevator door on the first floor

图12 电梯竖井高度对顶层电梯门压差的影响
Fig.12 Effect of elevator shaft height on pressure difference of elevator door on the top floor

2.3 幕墙气密性等级

考虑不同气密性等级的幕墙对电梯门压差的影响,对于停靠各层的通高电梯,当幕墙的气密性等级从3级提升至4级时(取幕墙气密性等级对应范围中的最大值),结果如图13所示,各层电梯门的压差绝对值均有降低,压差绝对值降低的最大量出现在建筑的顶层,为30.5 Pa,相当于比原来压差降低了61.9%,首层电梯门压差降低了22.8%,通高电梯的空气渗透量从2165.62 L/s降为1148.7 L/s,降低了46.96%。

图13 幕墙气密性等级对电梯竖井压差分布的影响
Fig.13 Effect of curtain wall airtightness level on differential pressure distribution acting on elevator shaft

对于仅在竖井两端部分层停靠的直通电梯,当幕墙的气密性等级从3级提升至4级时,压差分布结果如图14所示,首层电梯门压差绝对值从40.17 Pa降低至26.31 Pa,降低了34.5%,顶层电梯门压差绝对值从56.94 Pa降低至23.16 Pa,降低了59.3%,通高电梯的空气渗透量从510.39 L/s降低至284.74 L/s,降低了44.21%。

故对于上述两类通高电梯,采用提升幕墙气密性等级的方法能降低通高电梯的空气渗透量和各层电梯门两侧的压差。

图14 幕墙气密性等级对电梯竖井压差分布的影响
Fig.14 Effect of curtain wall airtightness level on differential pressure distribution acting on elevator shaft

2.4 大厅推拉门状态

许多建成超高层建筑大厅入口设置推拉门,但推拉门开闭不同状态将对电梯门压差产生影响。图15给出了一扇大厅推拉门敞开和闭合时,停靠各层的通高电梯的电梯门压差分布对比,由图可得,大厅推拉门开敞会使通高电梯的首层电梯门压差从原来的46 Pa升高至113.7 Pa,升高了67.7 Pa,但对其余各层电梯门压差影响较小,压差变化量不超过1.8 Pa,且电梯井道的中性层受大厅推拉门敞开和闭合的因素影响不大,基本处于27层不变,通高电梯的空气渗透量从2837.13 L/s上升至2933.41 L/s。当超过一扇大厅推拉门敞开时,分别选取1扇、2扇、……、6扇大厅推拉门敞开,考虑直通电梯的电梯门压差分布,图16给出大厅推拉门的开敞数量对首层电梯门压差的影响,可以看出,若大厅推拉门至少有一扇敞开时,电梯门的压差与大厅推拉门敞开的数目无关。

图15 厅门开闭对电梯竖井压差分布的影响
Fig.15 Effect of opening and closing of lobby door on differential pressure distribution acting on elevator shaft

图16 厅门打开数量对首层电梯门压差的影响
Fig.16 Effect of the number of opening lobby door on differential pressure distribution acting on elevator shaft

对于仅在竖井两端部分层停靠的通高电梯,当大厅推拉门敞开(仅一扇敞开)时,压差分布结果如图17所示,首层电梯门压差从40.2 Pa升高至81.3 Pa,升高了41.1 Pa,底部其余各层电梯门压差均有减少,顶部各层电梯门压差绝对值均有增大,建筑整体空气渗透量从510.39 L/s上升至550.19 L/s,故对于该类通高电梯,大厅推拉门的敞开会使首层和顶部各层压差绝对值增大,而底部其余各层电梯门压差可能会出现减小现象。

图17 厅门开闭对电梯竖井压差分布的影响
Fig.17 Effect of opening and closing of lobby door on differential pressure distribution acting on elevator shaft

2.5 电梯厅前室门设置

考虑电梯厅前室门对电梯门压差的影响,对于停靠各层的通高电梯,在首层设置电梯厅前室门,压差分布结果如图18所示,首层电梯门压差从46 Pa降低至10.1 Pa,降低了78.04%,空气渗透量从2837.13 L/s降低至2718.68 L/s,降低了4.17%,其余各层电梯门压差变化量不大,最大变化量不超过1.4 Pa。在顶层设置电梯厅前室门,压差分布结果如图19所示,顶层电梯门压差绝对值从49.3 Pa降低至3.8 Pa,降低了92.29%,通高电梯的空气渗透量从2837.13 L/s降低至2751.24 L/s,降低了3.03%,其余各层电梯门压差变化量不大,最大变化量不超过1.5 Pa。故对于在各层停靠的通高电梯,在首层或顶层电梯厅设置前室门能有效的降低所在层电梯门的压差,但对其余未设置前室门的电梯门压差影响不大。

图18 首层设置前室门对电梯竖井压差分布的影响
Fig.18 Effect on the distribution of pressure difference acting on the elevator shaft after setting elevator lobby door on the first floor

图19 顶层设置前室门对电梯竖井压差分布的影响
Fig.19 Effect on the distribution of pressure difference acting on the elevator shaft after setting elevator lobby door on the top floor

对于仅在竖井两端部分层停靠的直通电梯,在首层设置电梯前室门,压差分布结果如图20所示,首层电梯门压差从40.2 Pa降低至17 Pa,降低了57.7%,底部其余各层电梯门压差增大,顶部各层电梯门压差绝对值降低,空气渗透量从510.39 L/s降低至477.25 L/s,降低了6.49%。在顶层设置电梯前室门,结果如图21所示,顶层电梯门压差绝对值从56.9 Pa降低至5.1 Pa,降低了91.04%,顶部其余层电梯门压差增大,底部各层电梯门压差降低,通高电梯的空气渗透量从510.39 L/s降低至332.63 L/s,降低了34.8%,故对于该类电梯,在首层或顶层电梯厅设置前室门能有效的降低所在层电梯门的压差,但部分层未设置前室门的电梯门压差会出现增大现象。

图20 首层设置前室门对电梯竖井压差分布的影响
Fig.20 Effect on the distribution of pressure difference acting on the elevator shaft after setting elevator lobby door on the first floor

图21 顶层设置前室门对电梯竖井压差分布的影响
Fig.21 Effect on the distribution of pressure difference acting on the elevator shaft after setting elevator lobby door on the top floor

2.6 风速和风向

除温度外,室外风压也将影响建筑内部的烟囱效应表现。设该通用数值模型室内温度为20℃,室外温度为−10℃,大厅推拉门全部处于关闭状态,内部为停靠各层的通高电梯,考虑不同风速和风向即风压对烟囱效应的影响。

2.6.1 风速对电梯井道与室外总压差的影响

首先分析通用数值模型在0º风向角下,4种不同风速(0 m/s、5 m/s、10 m/s、15 m/s)作用下,电梯井道内部与通用数值模型的4个外侧面的压差(ΔPA、ΔPB、ΔPC和ΔPD)的分布特性,图22~图24给出数值模拟结果。

图22 电梯井道与A面间的压差
Fig.22 Pressure difference between elevator shaft and side A

图23 电梯井道与B(D)面间的压差
Fig.23 Pressure difference between elevator shaft and side B(D)

图24 电梯井道与C面间的压差
Fig.24 Pressure difference between elevator shaft and side C

由图22~图24可以看出当风速为0 m/s时即纯热压作用下,ΔPA、ΔPB、ΔPC和ΔPD基本呈线性分布,符合理论热压的分布规律;当风速从0 m/s逐渐增大到15 m/s时,由于A面为迎风面承受正压,B面、C面和D面绝大部分面积承受负压作用,压差ΔP逐渐受风压主导,呈现出风压分布规律,即由线型转向非线型。整体上,迎风面的压差曲线随风速的增加整体逐渐向x轴正向偏移,A面的中性层位置逐渐提高,而B面、C面和D面的压差曲线逐渐向x轴负向偏移,B面、C面和D面的中性层逐渐降低。

2.6.2 风速对电梯井道内外压差的影响

对于电梯来说,井道内、外压差分布是更重要的参数,直接关系到电梯能否正常工作。图25给出了通高电梯在0 m/s、5 m/s、10 m/s和15 m/s风速下井道内外压差分布。

结果显示,在0 m/s风速即纯热压作用下,电梯门的最大压差绝对值出现在顶层,达到49.3 Pa,首层电梯门也出现较大的压差,为46 Pa;风速的增加将导致电梯最大压差增大,当风速达到15m/s,最大压差绝对值出现在首层,为70.9 Pa。从图25中还可以看出:1) 电梯井中性面的位置受风速的影响较小,不同的风速作用下中性层位置基本维持在28层不变;2) 井道压差分布特性受风速影响明显,不同风速结果差异显著且在首层等空气渗透量大的楼层的电梯井道压差受风速影响更加明显。

图25 电梯井道内外两侧压差
Fig.25 Pressure difference between inside and outside of elevator shaft

2.6.3 风向对电梯井道与室外总压差的影响

由于该通用数值模型为对称结构,故分析其在15 m/s的风速下,5种不同风向角(0º、45º、90º、135º和180º)作用下,电梯井道内部与通用数值模型的4个建筑外表面的压差(ΔPA、ΔPB、ΔPC和ΔPD)的分布特性,图26~图29给出数值模拟结果。

图26 电梯井道与A面间的压差
Fig.26 Pressure difference between elevator shaft and side A

图27 电梯井道与B面间的压差
Fig.27 Pressure difference between elevator shaft and side B

图28 电梯井道与C面间的压差
Fig.28 Pressure difference between elevator shaft and side C

图29 电梯井道与D面间的压差
Fig.29 Pressure difference between elevator shaft and side D

图26~图29可以看出风向对室内外总压差有较大的影响,且不同风向角对不同面与电梯井道间压差的影响程度是不同的。图中可以看出,通用数值模型的A面与电梯井道间的压差在0º风向角下和在135º风向角下相比变化最大,B面与电梯井道间的压差在180º风向角下和在90º风向角下相比变化最大,C面与电梯井道间的压差在180º风向角下和在45º风向角下相比变化最大,D面与电梯井道间的压差在90º风向角下和在135º风向角下相比变化最大。

2.6.4 风向对电梯井道内外压差的影响

对于电梯来说,井道内、外压差分布是更重要的参数,直接关系到电梯能否正常工作。图30给出了通高电梯在0º、45º、90º、135º和180º风向角下井道内外压差分布。

结果显示,风向的转变对首层和顶层电梯的压差影响较大,当风向角为0º时,首层电梯两侧出现最大压差绝对值,为70.9 Pa,当风向角为45º时,顶层电梯两侧出现最大压差绝对值为92.6 Pa。从图30还可以看出:1) 电梯井中性面的位置受风速的影响较小,不同的风向角作用下基本维持在28层~30层不变;2) 首层和顶层电梯井道压差分布特性受风向影响明显,但其余各层受风向影响不大。

图30 电梯井道内外两侧压差
Fig.30 Pressure difference between inside and outside of elevator shaft

3 烟囱效应缓解措施

烟囱效应问题的防治,理想情况是从建筑初步设计阶段开始介入,通过局部优化设计方案和室内空间布局以避免潜在问题;然而由于设计规范的缺失,往往问题在建筑建成后才暴露,需要通过被动改建方式缓解烟囱效应不利影响。可从建筑和电梯两方面入手缓解烟囱效应问题:

1) 电梯竖井分段设计。如第2节所述,超高层建筑烟囱效应主要与室内外温差和井道高度有关,故可将电梯竖井合理地分段,即通过降低电梯井道高度的方式,缓解烟囱效应问题。

2) 适当增加烟囱效应压差传导路径上的室内空间隔断,采用分级承压的方式分解烟囱效应总压差。如在电梯前室设置前室门,使前室门承担部分压差,从而降低所在层电梯门压差。

3) 提高围护结构的气密性等级。如提高幕墙气密性等级,可整体降低作用于各层电梯门上的压差;将大厅外推拉门更换为旋转门或气密性更好的“气闸门”,避免门的开闭状态影响建筑内压分布,可更好的降低目标层电梯门两侧压差。

4) 增加电梯门闭合力矩。这一措施不能从根本上治理烟囱效应问题,烟囱效应渗风依然存在,电梯门压差不变,但减少了电梯门开闭故障的几率。

5) 在建筑内设置机械增压系统。在建筑上部数层大厅加压,抑制气流从井道的上部渗出,从而缓解烟囱效应不利影响,但这一措施由于技术和成本的原因不常用。

4 结论

本文基于CAARC高层建筑标准模型设计了一种通用高层建筑烟囱效应分析模型,采用多区域网络模型方法,预测分析室外气象环境、建筑内部设计等不同影响因素对通高电梯门压差的影响,结果表明:

(1) 相较于其他类型的电梯,通高电梯更易受烟囱效应影响,在井道底部和顶部产生较大压差,这也是许多建成超高层建筑冬季出现烟囱效应导致电梯故障的原因。

(2) 超高层建筑烟囱效应的影响因素除室外环境和电梯井道的高度外,还与建筑外围护结构的气密性、建筑内部构造有关;提高幕墙围护结构的密封等级能有效的削弱烟囱效应的作用强度,降低各层电梯门的压差。对于本文模型中的两类通高电梯,将幕墙的气密性等级从3级提升至4级,通高电梯空气渗透量的降低率均大于40%,通高电梯顶层电梯门最大压差降低约60%。

(3) 首层厅门的设计和状态对烟囱效应影响显著。对本文设计的通用建筑模型,首层厅门如处于开敞状态使建筑首层电梯门压差升高达87.3 Pa~113.7 Pa。因此对实际建筑,需要做好首层的气密性设计。

(4) 建筑首层或顶层电梯前室设置前室门后,电梯门压差明显降低,降低幅度达58%~92%。因此在实际建筑中,受烟囱效应影响较大的楼层可采用增设电梯前室门的方式缓解。

(5) 分析结果显示,烟囱效应还受室外风场作用的影响。相对热压作用,风压作用效应更复杂,对于实际建筑工程,需要结合实际工程的风气象条件进行具体研究。

以上基于通用高层建筑模型烟囱效应的详细参数分析得出的一般规律,对实际超高层建筑的烟囱效应特性分析,以及强烟囱效应的缓解措施,具有一定的价值参考。

参考文献:

[1]Tamura G T, Wilson A G.Pressure differences caused by chimney effect in tall buildings[J].ASHRAE Transaction, 1967, 73(2): 1―12.

[2]Tamura G T.Pressure differences caused by wind on two tall buildings[J].ASHRAE Transaction, 1968, 74 (2):1―8.

[3]Tamura G T, Wilson A G.Pressure differences caused by wind on two tall buildings[J].ASHRAE Transaction,1969, 74 (2): 170―181.

[4]周晅毅, 李景, 孙鲁鲁, 等.超高层建筑电梯热压分布特性模拟研究[J].建筑结构, 2018, 48(9): 67―71.Zhou Xuanyi, Li Jing, Sun Lulu, et al.Simulation study on characteristics of thermal pressure distribution of elevators in super high-rise buildings[J].Building Structure, 2018, 48(9): 67―71.(in Chinese)

[5]向伊依, 潘嵩, 张健宸, 等.北方地区高层建筑在“烟囱效应”作用下的不同竖井区域压差分布特性及节能策略[J].建筑技术开发, 2016, 43(10): 41―45.Xiang Yiyi, Pan Song, Zhang Jianchen, et al.Characteristic of pressure distribution in various vertical shafts in high-rise buildings caused by stack effect and energy saving strategies[J].Building Technology Development, 2016, 43(10): 41―45.(in Chinese)

[6]Strege S, Ferreira M.Characterization of stack effect in high-rise buildings under winter conditions, including the impact of stairwell pressurization[J].Fire Technology,2016, 79(4): 1―16.

[7]Yang Yi, Yin Huabin, Xie Zhuangning.Evaluation of the stack effect on the elevator shaft of high-rise building[C]// 14th International Conference on Wind Engineering.Porto Alegre, Brazil, 2015.

[8]殷华斌.超高层建筑烟囱效应模拟与风压联合作用分析[D].广州:华南理工大学, 2015, 43―86.Yin Huabin.Numerical simulation of the stack effect and the combinations of the wind pressure analysis on super high-rise building[D].Guangzhou: South China University of Technology, 2015, 43―86.(in Chinese)

[9]杨易, 万腾骏, 王葵, 等.高层建筑烟囱效应及风压联合作用的模拟研究[J].湖南大学学报(自然科学版),2018, 45(11): 10―19.Yang Yi, Wan Tengjun, Wang Kui, et al.Numerical simulation research on combined wind and stack effects of a super high-rise building[J].Journal of Hunan University (Natural Sciences), 2018, 45(11): 10―19.(in Chinese)

[10]Yu Yuanlin, Yang Yi, Xie Zhuangning.A new inflow turbulence generator for large eddy simulation evaluation of wind effects on a standard high-rise building[J].Building & Environment, 2018, 138(15): 300―313.

[11]Lee J, Song D, Park D.A study on the development and application of the E/V shaft cooling system to reduce stack effect in high-rise buildings[J].Building &Environment, 2010, 45(2): 311―319.

[12]Yu Jung-yeon, Song kyoo-dong, Cho Dong-woo.Resolving stack effect problems in a high-rise office building by mechanical pressurization[J].Sustainability, 2017, 9(10): 1731―1747.

[13]Kim J, Lee S,Jeon S.Field experiment of the measures to control the stack effect in stairwell of building[C]//Proceedings of the 3rd World Congress on Mechanical,Chemical and Material Engineering (MCM'17), Rome,2017.

[14]Lee J, Go B, Hwang T.Characteristics of revolving door use as a countermeasure to the stack effect in buildings[J].Journal of Asian Architecture and Building Engineering, 2017, 16(2): 417―424.

[15]ASHRAE.2009 ASHRAE Handbook—Fundamentals[S].Atlanta: American Society of Heating, Refrigerating and Air-Conditioning Engineers, 2009.

[16]Jo J H, Lim J H, Song S Y, et al.Characteristics of pressure distribution and solution to the problems caused by stack effect in high-rise residential buildings[J].Building & Environment, 2007, 42(1): 263―277.

[17]王葵.高层建筑烟囱效应的模拟与实测研究[D].广州:华南理工大学, 2017.Wang Kui.Numerical simulation and experimental study of the stack effect on high-rise buildings[D].Guangzhou:South China University of Technology, 2017.(in Chinese)

[18]Yang Yi, Xie Zhuangning, Gu Ming.Consistent inflow boundary conditions for modelling the neutral equilibrium atmospheric boundary layer for the SST k-ω model[J].Wind and Structures, 2017, 24(5): 465―480.

NUMERICAL INVESTIGATION ON THE STACK EFFECT OF A GENERAL HIGH-RISE BUILDING MODEL

XIE Xue-feng , YANG Yi
(State Key Laboratory of Subtropical Building Science, South China University of Technology, Guangzhou, Guangdong 510641, China)

Abstract: The stack effect of super high-rise buildings is a phenomenon of uncontrolled indoor and outdoor air infiltrations caused by certain factors such as the indoor and outdoor environmental conditions and the architectural features as well.Strong stack effect may lead to the operation failure of the elevator, the aerodynamic noise in elevator shaft and the energy waste of air conditioning etc.Currently, the research on this issue is far behind the construction of high-rise buildings.Based on the field investigations on the stack effects of more than 10 super high-rise buildings, their common architectural features were summarized and a general high-rise building model for the analysis of stack effect was designed, which was based on the standard high-rise building model usually used in structural wind engineering field.A multi-zone network model method was employed to analyze the influences of several important factors on the pressure distributions of the elevators, i.e., the airtightness level of building envelope, the design of the entrance door, the indoor space division and the outdoor meteorological condition etc.The following conclusions were finally obtained: comparatively, doors of the shuttle elevators were most likely affected by strong stack effect; in addition to the outdoor meteorological conditions and the height of the elevator shaft, other factors such as the airtightness of the curtain wall and the indoor space divisions would affect the pressure distributions of the elevator doors as well, improving the airtightness of the curtain wall could effectively reduce the strength of the stack effect and the pressure difference on the elevator doors; the design and the status of the entrance door on the first floor would play an important role for the whole stack effect performance, and the opening and closing process of the sliding door would have a great influence on the pressure differences acting on the elevator doors on the first floor; when the elevator lobby door was either installed in the first or the top floor, the pressure difference acting on the elevator doors would significantly decrease; the stack effect would be affected by the outdoor wind conditions as well, and the influences of the wind speed and the wind direction on the stack effect were relatively more complex than those of the thermal pressure.Different wind conditions would bring different results, thereby, it was necessary to perform individual investigation combined with the local meteorological conditions.Results obtained from the detail parameter analyses based on the general high-rise building model in this paper could provide a useful reference for investigating the stack effect phenomena of real super high-rise buildings,as well as the mitigation measures for strong stack effects.

Key words: high-rise buildings; stack effect; general high-rise building model; numerical simulation; parameter analyses

中图分类号:TU973.32;TU976

文献标志码:A

doi: 10.6052/j.issn.1000-4750.2019.05.0251

文章编号:1000-4750(2020)03-0217-11

收稿日期:2019-05-06;修改日期:2019-09-25

基金项目:国家自然科学基金项目(51478194)

通讯作者:杨 易(1975-),男,湖北武汉人,研究员,工学博士,主要从事结构风工程研究(E-mail: ctyangyi@scut.edu.cn).

作者简介:解学峰(1994-),男,安徽合肥人,硕士生,主要从事结构风工程研究(E-mail: 1710459024@qq.com).