部分预制装配型钢混凝土柱火灾后偏压试验研究

杨 勇1,魏 博1,薛亦聪1,于云龙1,2,龚志超1

(1.西安建筑科技大学土木工程学院,陕西,西安 710055;2.结构工程与抗震教育部重点实验室,陕西,西安 710055)

摘 要:通过6个试件的火灾后偏压试验以及1个试件的常温下偏压试验,对配置活性粉末混凝土外壳的部分预制装配型钢混凝土(Partially Precast Steel Reinforced Concrete,PPSRC)柱和空心预制装配型钢混凝土(Hollow Precast Steel Reinforced Concrete,HPSRC)柱的火灾及火灾后偏压性能进行了对比分析。研究了受火时间、偏心率和核心混凝土强度对PPSRC柱及HPSRC柱的火灾下内部温度分布及火灾后剩余承载力、变形能力等方面的影响,并基于试验结构,对火灾下试件截面温度场进行了数值模拟分析。试验结果表明:火灾升温过程中试件截面测点温度存在明显的温度平台,火灾后试件的活性粉末混凝土外壳未发生爆裂现象,混凝土对型钢具有较好保护作用;模拟结果表明,截面温度及温度变化幅度由表及里逐渐降低,核心混凝土受到良好保护作用,温度相对较低;在偏压荷载下,火灾后试件的偏心受压破坏过程以及破坏形态和常温下类似,剩余承载力随火灾升温时间的增长和偏心率的增大而降低,随核心混凝土强度的增大而升高,试件的延性随核心混凝土的强度增大而增大。

关键词:装配式结构;型钢混凝土柱;火灾试验;火灾后偏压试验;截面温度场模拟

型钢混凝土(Steel Reinforced Concrete,SRC)结构具有承载力高、延性和抗震性能好等特点,在大跨重载结构和超高层建筑中被广泛应用。同时,因其施工复杂,SRC结构在量大面广的民用建筑中受到制约[1-3]。本课题组结合预制混凝土结构和SRC结构的优势,提出部分预制装配型钢混凝土(Partially Precast Steel Reinforced Concrete,PPSRC)结构体系。PPSRC结构由PPSRC梁柱构件及钢-混凝土组合楼面板组成,PPSRC梁柱构件的设计思路是在工厂预制生产SRC构件的外壳部分,待养护完成运输至施工现场安装后,再根据工程实际需求选择浇筑构件的核心部分,形成部分预制、部分现浇的SRC结构形式。这种结构形式实现了构件工厂化预制生产,也提升了结构的整体抗震性能,同时降低了构件的运输吊装成本,具有较好的社会、经济效益,并拥有广阔的使用空间[4-7]。基于此,课题组提出两种部分预制装配型钢混凝土柱构件,即PPSRC柱和空心预制装配型钢混凝土(Hollow Precast Steel Reinforced Concrete,HPSRC)柱,截面形式如图1所示,并对其抗震性能进行了试验研究[8]

火灾会对结构构件造成不同程度的损伤,目前,国内外学者对型钢混凝土柱在高温火灾下的性能开展了较多的研究。李俊华等[9]对5个火灾后型钢混凝土柱进行了轴压试验研究,结果表明,火灾后型钢混凝土柱在轴压荷载作用下的破坏形态与常温下基本相同,且柱火灾后轴压承载力随混凝土强度增大而增大,随长细比增大而减小。谭清华和韩林海[10]采用有限元方法对火灾后及修复加固后型钢混凝土柱的力学性能进行分析,获得了承载能力和抗弯刚度在火灾后降低及加固后提高程度。王广勇等[11]进行了5个高温作用后型钢混凝土柱力学性能试验,并在试验的基础上提出了考虑升温、降温及高温作用后3个阶段影响的型钢混凝土柱力学性能的分析方法。韩林海等[12-14]对钢管混凝土叠合柱的受火性能进行了试验与数值研究,并提出了其火灾后剩余承载力计算方法。

以上研究均针对现浇SRC柱,而在PPSRC及HPSRC柱中,因为预制混凝土采用活性粉末混凝土(Reactive Powder Concrete,RPC),且构件横截面存在两种不同强度混凝土材料,故其受火性能、截面受火损伤演化情况及火灾后剩余承载力需开展进一步试验研究。鉴于此,本文作者开展了3个PPSRC柱试件和3个HPSRC柱试件的火灾试验和火灾后偏压试验,以及1个PPSRC柱试件的常温下偏压试验,以考察受火时间、偏心率和核心混凝土强度这3个关键因素对部分预制装配型钢混凝土柱火灾下内部温度及火灾后剩余承载力、延性等方面的影响。同时基于试验结构对PPSRC与HPSRC柱试件的截面温度场进行了数值分析。

图1 HPSRC柱与PPSRC柱
Fig.1 HPSRC column and PPSRC column

1 试验概况

1.1 试验设计

本试验共设计了7个试件,包括3个HPSRC柱试件和4个PPSRC柱试件,其中1个PPSRC柱试件为常温对比试件。试件横截面尺寸均为300 mm×300 mm,试件高1.5 m,长细比为5。各试件中型钢均采用Q235轧制型钢,型钢规格为HN175×90×5×8,内部十字型钢由两个型钢焊接而成。各试件中纵筋采用直径为20 mm的HRB400级钢筋;箍筋采用直径8 mm的HPB300级矩形螺旋箍筋。为保证型钢与混凝土的粘结性能,分别在柱头与柱底型钢翼缘钻孔,并按间距70 mm布置4排8.8级高强螺栓;为防止柱端局部混凝土压坏,在柱端布置了厚度为20 mm的钢板。试件中型钢相邻翼缘点焊3 mm厚的花纹钢板作为辅助内膜,以实现内部混凝土的二次浇筑,因花纹封板点焊在相邻翼缘间,故其对试件的整体受力影响较小。各试件的主要参数见表1,试件截面尺寸及配筋见图2。

表1 试件主要参数
Table 1 Main test matrix

试件编号 横截面尺寸b×h/mm2 配钢率ρss 配筋率ρsl 配箍率ρs钢筋 混凝土外部混凝土立方体强度fc,out/MPa内部混凝土立方体强度fc, in/MPa偏心率e/h受火时间t/min HPSRC-1— 0.2 120— 0.4 120 HPSRC-3 — 0.6 120 PPSRC-1 23.1 0.2 120 PPSRC-2 23.1 0.2 150 PPSRC-3 96.8 0.2 120 PPSRC-4 HPSRC-2 300×300 2HN175×90×5×8(5.16%)20(1.39%)4 8@65(0.9%) 96.8 23.1 0.2 0

图2 试件截面尺寸及配筋 /mm
Fig.2 Dimensions and details of test specimens

1.2 材料性能

试件外部预制混凝土和内部现浇混凝土分别采用不同的强度等级。外部预制混凝土采用活性粉末混凝土,设计强度等级为C100,主要成分为矿渣粉、石英砂、水泥、硅灰、钢纤维以及减水剂等,具体配比见表2。RPC中钢纤维的体积掺量为2%,钢纤维的力学性能见表3。内部混凝土采用普通强度混凝土或活性粉末混凝土,强度等级为C30和C100。

外部预制RPC实测28 d立方体抗压强度为96.8 MPa;内部现浇混凝土实测28 d立方体抗压强度为23.1 MPa及96.8 MPa。试件中的实测型钢和钢筋材料强度见表4。

表2 RPC配合比
Table 2 Designed mix proportions of RPC

注:钢纤维含量为体积含量,剩余成分均为质量含量。

组分52.5水泥硅灰粉煤灰矿渣石英砂 粗砂 减水剂 水灰比钢纤维配合比10.150.2 0.10.5 0.8 0.003 0.220.02

表3 钢纤维力学性能
Table 3 Mechanical properties of steel fiber

纤维种类 直径/mm 长度/mm 抗拉强度/MPa平直纤维 0.2 13.0 2850

表4 钢材力学性能
Table 4 Mechanical properties of steel reinforcements

名称 种类 强度等级 屈服强度/MPa 抗拉强度/MPa纵筋 ■20 HRB400 460.5 603.8箍筋 ■8 HPB300 405.3 542.3翼缘 309.3 436.5型钢 腹板 Q235 275.4 396.8

1.3 火灾试验装置及测点布置

火灾试验在华南理工大学结构耐火实验室开展。火灾试验系统主要由供气系统、炉体、助燃风系统、排烟系统、冷却系统、点火系统、控制台、操作系统和报警系统等组成。火灾试验炉炉膛长、宽、高分别为4.0 m、3.0 m、1.5 m,炉内交错布置12个喷嘴,通过燃烧天然气对炉内构件进行明火升温,实现对实际火灾燃烧效果及热对流、热辐射的模拟。炉内南北方向各均匀布置了4个镍铬硅-镍硅热电偶,可实时测量调整炉内温度。火灾试验装置如图3(a)所示。

由于火灾会引起混凝土的高温膨胀,在持荷条件下,外部荷载能有效地抑制混凝土内部裂缝的产生和开展,进而能有效降低混凝土的高温损伤;同时,因本试验中采用混凝土强度等级较高,试验设备所提供的轴向荷载与试件轴向设计承载力比值较小,故本次火灾试验采取四面受火方案且不承受外荷载。受火前,用粘钢法对牛腿部位进行加固,在牛腿加固处涂抹20 mm厚的厚涂型防火涂料,并在防火涂料外裹有两层20 mm厚防火棉,以减少牛腿部位在火灾实验过程中收到的影响。试件实际受火高度为600 mm。炉内温度按ISO-834标准升温曲线升温,升温时间分别为120 min和150 min[15]。当升温时间达到设定值后,关闭燃气阀门终止升温。24小时后打开炉盖,使炉内试件自然冷却;48小时后将炉内试件逐个吊出试验炉。为测定试件截面温度,在每个试件柱高1/2处布置4个镍铬-镍硅热电偶,火灾试验测点布置见图4(a)。

1.4 火灾后试验装置及测点布置

火灾后的常温静力加载试验在1.8×104 kN液压伺服试验机上进行。静力试验装置如图3(b)所示。试件上、下部采用水泥砂浆找平,并通过辊轴支座来实现端部铰接约束,然后进行物理对中。试验采用位移控制加载制度进行加载,在达预计极限荷载前,加载速度为0.005 mm/s,到达极限荷载后,加载速度控制在0.003 mm/s。加载至75%极限荷载或者试件整体或局部出现较大变形而无法继续加载时,试验结束。试验中沿试件长度方向布置5个位移计监测试件的侧向变形,并在柱中沿柱截面高度方向布置5个电阻应变计监测试件截面应变。静力试验测点布置如图4(b)所示。

图3 试验装置
Fig.3 Test devices

图4 测点布置
Fig.4 Layout of gauges

2 火灾试验结果与分析

2.1 主要试验结果

火灾试验结束并自然冷却48 h后,将试件吊出试验炉后对试件损伤情况进行观察,各试件受火后损伤情况如图5所示。各试件受火后损伤情况如下:1) HPSRC组试件火灾后形态大致相同。下面以HPSRC-1试件为例说明试件受火后损伤情况,试件表面中部受火区域呈灰褐色并出现宽约0.5 mm,深约3 mm的细微龟裂缝,表面少量裸露钢纤维被烧焦,试件两侧表面距柱底1000 mm处因火焰燃烧不完全而出现深褐色大裂缝,试件表面下部零散分布深褐色区域;2) PPSRC-1试件中部受火区域出现易掉落灰白色起皮物,掉皮之后混凝土呈灰色,表面出现宽约0.3 mm,深约3 mm的细微龟裂缝,试件两侧表面距柱底850 mm、900 mm处因火焰燃烧不完全而出现深褐色大裂缝;3) PPSRC-2试件中部受火区域呈灰褐色,表面出现宽约1 mm,深约5 mm的龟裂缝,试件两侧表面距柱底700 mm、900 mm处因火焰燃烧不完全而出现深褐色“Y”字形裂缝;4) PPSRC-3试件中部受火区域出现易掉落灰白色起皮物,掉皮之后混凝土呈灰色,距柱底600 mm处出现横向贯通裂缝。

由上述各试件火灾后损伤情况可知,因为RPC中钢纤维的桥连作用,高温下PPSRC与HPSRC试件表面均未发生混凝土爆裂现象;受火后试件中部受火区域呈灰褐色,颜色随受火时间加长而加深;试件四周均出现一定程度的龟裂,龟裂程度随受火时间加长而加重。

图5 试件受火后损伤情况
Fig.5 Damage patterns of test specimens after fire

2.2 截面温度

在火灾试验中对试件内部布置的4个热电偶进行测量,以观察截面温度在火灾升降温过程中的变化情况。试件各测点的温度曲线如图6所示,各试件测点历史最高温度及开始降温时间见表5。

由图6可看出:1) 当各测点温度升至100 ℃左右时,存在一个明显的温度平台,这是因为试件内部的自由水在受热蒸发过程中吸收热量,导致试件内部升温速度略微减缓。同时温度平台的出现存在滞后现象,距离试件表面越远,温度平台出现得越滞后。2) 测点4的历史最高温度最高且显著高于其余测点温度,然后是测点1、测点3、测点2。这是因为测点4处于两面受火位置,且距离受火面较近,受温度影响更大。3) 升温时间对测点4温度影响较大,升温时间越长,测点温度越高。4) 在终止升温后,各测点温度并未随之马上降低,而是继续升温一段时间,测点开始降温时间随截面深度加深而越发滞后。

图6 试件各测点的温度曲线
Fig.6 Temperature curves of test points of specimens

表5 试验结果
Table 5 Test results

试件编号升温时间/min测点编号历史最高温度/(℃)开始降温时间/min屈服位移/mm极限位移/mm位移延性火灾后剩余承载力Nr /kN 1 491.2142 HPSRC-11202 406.117010.38 28.13 2.712378.8 4 664.7132 1 498.1142 HPSRC-21202 410.616510.18 36.63 3.601400.3 4 645.9134 1 427.7147 HPSRC-31202 387.916811.83 37.74 3.19949.7 4 632.1133 1 301.3141 PPSRC-11202 206.9217 3 217.518911.08 37.11 3.352873.0 4 604.2130 1 416.3189 PPSRC-21502 356.1248 3 375.221414.53 48.23 3.322520.0 4 700.9164 1 301.3136 PPSRC-31202 202.3230 3 224.519611.26 40.54 3.603060.3 4 586.4132 PPSRC-40 —— — 7.15 25.95 3.634697.7

3 截面温度场模拟

3.1 热分析原理

在受火高温工况下,构件与周围环境主要以辐射、对流的方式进行热量的传递,构件内部则主要以传导的方式进行热量传递。试件截面温度场在火灾下为瞬态温度场,整个热传导过程呈非线性,且试件内部无热源,其三维瞬态热传导方程为:

试件的边界条件为试件受火面与周围环境介质之间的热交换条件,包括热辐射和热对流,如图7(a)所示,其中综合辐射系数为0.5,对流传热系数为W/(m2·K)。具体表示为:

式中:T/(℃)为测点处的温度;t/h为试件的受火时间;c/(kJ/(kg·℃))为材料比热容;ρ/(kg/m3)为材料的密度;λ/(W/(m·℃))为材料的导热系数;α为对流传热系数;ε为综合辐射系数;σ为玻尔兹曼常数,取值为5.67×10−8Tf /(℃)为构件表面温度;Ts/(℃)为环境介质温度。

3.2 材料热工性能

在火灾高温工况下,钢材和混凝土的热膨胀系数、导热系数和比热容等材料热工性能参数会随着温度的升高而发生变化。本文中钢材的材料热工性能参数采用欧洲规范EC3[16]和EC4[17]中建议的取值,普通混凝土的材料热工性能参数采用欧洲规范EC4中的建议取值,RPC的导热系数和比热容取值采用郑文忠等[18]提出的建议取值。具体热工参数取值如表6所示。

图7 有限元分析及结果
Fig.7 FEM analysis and results

表6 钢材与混凝土热工性能
Table 6 Thermal properties of steel and concrete

材料热工性能 钢材 普通混凝土 活性粉末混凝土RPC混凝土■×Ts ■热膨胀系数/(℃)-s T α■■■×llT-+,℃≤≤℃= ,℃≤℃■-113 6 2.31020 700 Δ9101.810+,℃≤≤℃=--4■×■××s T s<■■×<■1.410700 1200 0.810(20)20 600 1.210 0 750 600 2.010860 1200-8 55,℃≤℃■-TTT■■■-×-2,℃≤℃<T s导热系数/(W/(m·℃))2 λs=45λ■■■■=-+■■■■c0.0120.242 120120 T T -T λ■■■■c1.441.85exp242.95■■=+■■■■T比热容/(J/(kg·℃)) cs=600TT c■■■■2 T■95020100 950(100)100300(300)1150300600 2 1300600900 c c=9004+80 120120 T-■■■■■■■■■+-<■c =■-+■T■■,℃≤≤℃,℃≤℃,℃≤℃,℃≤℃<T T <

3.3 温度场有限元模拟

3.3.1 基本假设

本文采用ABAQUS大型通用有限元分析软件对试件柱进行火灾升温模拟,为便于火灾模拟计算,基于试验结果做如下假定:1) 各试件中型钢与混凝土之间无粘结滑移;2) 试件内部无热源;3)钢筋、型钢以及混凝土均为各向同性材料;4) 不计试件内部封板的影响;5) 不计各材料之间的接触热阻。

3.3.2 建模与计算结果分析

试件型钢及混凝土单元均采用DC3D8(8节点3维实体单元)热分析单元,该分析单元能转化为结构分析单元求解;试件纵筋和箍筋采用DC1D2 (二结点杆单元)热分析单元。受火前试件处于室内环境,初始温度设定为20 ℃。网格划分方面,模型网格的划分直接关系结果计算的精确性,理论上网格划分越密,结果越精确,但同时也增长了计算时间。为获得较理想的结果,本文最终确定网格大小取为20 mm。试件网格划分模型如图7 (b)所示,各试件跨中截面的温度云图如图7 (c)~图7 (f)所示。

由温度云图可知:1) 试件四面受火,截面温度场呈双轴对称分布,外壳部分呈角部浑圆的矩形形状,越往内越趋于圆形;2) 由于型钢导热性能好,核心部分处的温度场呈梅花状分布,核心填充C100级RPC的试件花瓣饱满度高于核心填充C30级混凝土试件;3) 截面温度由表及里逐渐降低,角部温度损伤严重,核心混凝土温度相对较低;4) 越靠近截面边缘温度变化幅度越大,越往试件内部深入,温度变化幅度越小;5) 对比试件PPSRC-1和PPSRC-2可知,随着火灾升温时间的增加,全截面温度越高,温度传递越充分。

4 火灾后偏压试验结果及其分析

4.1 试验现象

受火损伤后的PPSRC及HPSRC试件的偏压试验破坏现象较为相似。对于加载偏心率较小的试件PPSRC-1、PPSRC-2、PPSRC-3、HPSRC-1及HPSRC-2,在加载前期试件未出现新的变形和破坏;当荷载达到极限荷载的50%~55%时,试件内部钢纤维逐渐被拔出;当荷载达到极限荷载的75%~80%时,试件跨中受压区角部混凝土起鼓;当荷载达到极限荷载的82%~88%时,受拉区混凝土出现横向贯通裂缝;随着荷载的继续增大,受压区混凝土不断起鼓剥落,随后压溃,荷载急剧下降,试件破坏。试件破坏后,受压区压溃高度为200 mm~280 mm,破坏类型为小偏心受压破坏。

对于加载偏心率较大的试件,火灾后试件HPSRC-3在加载前期未出现新的变形和破坏;当荷载达到极限荷载的40%时,试件内部钢纤维逐渐被拔出;当荷载达到极限荷载的72%时,试件跨中受压区角部混凝土起鼓;当荷载达到极限荷载的80%时,受拉区混凝土出现横向贯通裂缝;随着荷载的继续增大,受拉区横向贯通裂缝加宽,受压区混凝土不断起鼓剥落,随后压溃,荷载急剧下降,试件破坏后,受压区压溃高度为140 mm,破坏类型为大偏心受压破坏。

对于未受火的试件PPSRC-4,加载前期试件处于弹性状态,表面未出现明显裂缝;当荷载增加至极限荷载的70%时,试件内部钢纤维逐渐被拔出;荷载增加至极限荷载的90%时,试件跨中受压区上、下角部混凝土起鼓开裂;加载至极限荷载的92%时,试件受拉区出现横向贯通裂缝,随后受压区混凝土压溃,试件破坏,但未出现大面积起鼓剥落现象。试件破坏后,受压区压溃高度为320 mm,破坏类型为小偏心受压破坏。试验后各试件的破坏形态见图8,图中从左到右分别为试件的东、西、南、北面破坏形态。

4.2 试验结果

4.2.1 火灾后剩余承载力

各试件静力加载试验结果如表5所示。由表5中的试验结果可以看出:1) 试件火灾后剩余承载力受偏心率影响显著,其随偏心率的增大而显著降低。2) 核心混凝土类别对试件剩余承载力的影响相对较小,试件剩余承载力随核心混凝土强度增大而依次增大。3) 试件剩余承载力受火灾升温时间影响明显,其随受火时间增长而降低,受火120 min和150 min时分别为常温对比试件极限承载力的59%和51%。

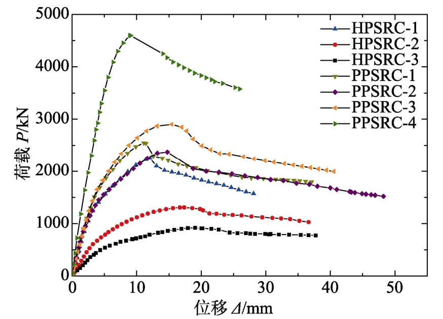
4.2.2 荷载-位移曲线

火灾后偏压试验实测得到的试件的荷载-位移曲线如图9所示。从图9的试验结果可以看出:1)当荷载小于50%极限荷载时,位移与荷载呈线性关系;当荷载大于约50%极限荷载时,试件内部混凝土裂缝在外荷载作用下不断发展,挠度与荷载呈非线性关系曲线;2) 在荷载达到极限荷载之后,各试件的荷载-位移曲线均出现一段快速下降段,在这之后曲线呈现平缓下降趋势;出现这一现象主要是由于在荷载-位移曲线峰值前,外壳混凝土起主要承荷作用,达到峰值时受压区混凝土压溃退出工作,由内部型钢起主要承荷作用;3) 试件跨中截面的位移随荷载偏心率增大而增大,随火灾升温时间增加而增大。

图8 试件破坏形态
Fig.8 Failure modes of test specimens

图9 荷载-位移曲线
Fig.9 Load-deflection curves

4.2.3 截面应变分布

各试件柱中截面的应变分布情况如图10所示。由试件截面应变分布情况可以看出,除试件HPSRC-3外,其余火灾后试件在荷载小于64%极限荷载之前,柱中截面的应变分布基本呈线性变化,能较好地符合平截面假定,试件HPSRC-3偏心率大,混凝土较早开裂,其柱中截面应变只在48%极限荷载前保持线性分布。常温下试件PPSRC-4在荷载小于80%极限荷载之前,柱中截面应变符合平截面假定。试件受压区高度随偏心率增大而降低,随受火升温时间增长而降低;核心混凝土强度等级对试件受压区高度影响不明显。

4.2.4 延性

通常用位移延性系数μ来衡量延性的大小,μ=Δuy。屈服位移Δy可由能量法得出,极限位移Δu取荷载下降至85%极限荷载时所对应的位移,Δm为峰值位移[19],屈服位移的确定如图11所示。所有试件的位移延性系数见表5。由表5可知:各试件的位移延性系数均大于2.7,具有良好的抗震性能;在型钢的约束下,内部浇筑不同强度的混凝土均能表现出较好的变形性能,且内部浇筑的强度最高的RPC为配置了钢纤维的活性粉末混凝土,其受力性能相比于普通高强混凝土有较高提升,在试件内部填充RPC和C30混凝土的试件较HPSRC试件的位移延性系数分别提升了32.8%和23.6%,本试验中火灾后试件的延性随核心混凝土的强度增大而增大。

图10 沿柱高的应变分布
Fig.10 Strain along the column height

图11 屈服位移的确定
Fig.11 Definition of yield displacement

5 结论

为进一步推进建筑工业化进程,本文提出新型部分预制装配型钢混凝土柱 (Partially Precast Steel Reinforced Concrete,PPSRC) 与空心预制装配型钢混凝土 (Hollow Precast Steel Reinforced Concrete,HPSRC) 柱两种新型预制装配SRC柱形式,并对其高温受火及偏心剩余承载力进行了试验研究。试验结果表明:

(1) 火灾升温至100 ℃左右时,部分预制装配型钢混凝土柱截面存在温度平台,内部温度变化存在明显的滞后现象。火灾后,试件表面未发生混凝土爆裂现象,混凝土对型钢具有较好的保护作用,大幅降低了温度对型钢的影响,使其在火灾后仍具有较好的力学性能。

(2) 火灾后部分预制装配型钢混凝土柱偏心受压破坏过程以及破坏形态和常温下类似,在荷载小于64%极限荷载之前,柱跨中截面的应变分布基本呈线性,平截面假定仍然适用。

(3) 部分预制装配型钢混凝土柱火灾后剩余承载力随偏心率的增大而降低,随核心混凝土强度增大而提高;且随受火升温时间增长而降低,受火120 min和150 min时PPSRC柱的剩余承载力分别为常温下极限承载力的59%和51%。

(4) 火灾后PPSRC柱的延性较好,在型钢约束下,内部浇筑不同强度的混凝土均能表现出较好的变形性能,且强度最高的RPC受力性能比普通高强混凝土有较高提升,在试件内部填充RPC和C30混凝土的试件较HPSRC试件的位移延性系数分别提升了32.8%和23.6%,本试验中火灾后试件的延性随核心混凝土的强度增大而增大。

参考文献:

[1]薛建阳.组合结构设计原理[M].北京:中国建筑工业出版社, 2010.Xue Jianyang.Principle of composite structure design[M].Beijing: China Architecture & Building Press, 2010.(in Chinese)

[2]Chen S, Jia Y.Required and available moment redistribution of continuous steel-concrete composite beams[J].Journal of Constructional Steel Research,2008, 64(2): 167―175.

[3]Hajjar J F.Composite steel and concrete structural systems for seismic engineering[J].Journal of Constructional Steel Research, 2008,58(5/6/7/8): 703―723.

[4]于云龙.部分预制装配型钢混凝土梁基本性能及设计方法研究[D].西安: 西安建筑科技大学, 2017.Yu Yunlong.Study on mechanical performance and design method on partially precast steel reinforced concrete beams[D].Xi’an: Xi’an University of Architecture and Technology, 2017.(in Chinese)

[5]杨勇, 薛亦聪, 于云龙, 等.部分预制装配型钢混凝土梁受力性能试验研究[J].土木工程学报, 2018, 51(4):1―9, 19.Yang Yong, Xue Yicong, Yu Yunlong, et al.Experimental research on mechanical performance of partially precast steel reinforced concrete beams[J].China Civil Engineering Journal, 2018, 51(4): 1―9, 19.(in Chinese)

[6]Yang Y, Xue Y, Yu Y, et al.Experimental study on flexural performance of partially precast steel reinforced concrete beams[J].Journal of Constructional Steel Research, 2017, 133: 192―201.

[7]Yang Y, Yu Y, Guo Y, et al.Experimental study on shear performance of partially precast castellated steel reinforced concrete (CPSRC) beams[J].Steel and Composite Structures, 2016, 21(2): 289―302.

[8]Yang Y, Xue Y, Yu Y, et al.Experimental study on seismic performance of partially precast steel reinforced concrete columns[J].Engineering Structures, 2018, 175: 63―75.

[9]李俊华, 赵银海, 唐跃锋, 等.火灾后型钢混凝土轴压柱剩余承载力试验[J].工程力学, 2012,29(增刊1):86―91.Li Junhua, Zhao Yinhai, Tang Yuefeng, et al.Experimental study on residual load bearing capacity of SRC columns under axial force after exposure to fire[J].Engineering Mechanics, 2012, 29(Suppl1): 86―91.(in Chinese)

[10]谭清华, 韩林海.火灾后和加固后型钢混凝土柱的力学性能分析[J].清华大学学报(自然科学版), 2013,53(1): 12―17.Tan Qinghua, Han Linhai.Post-fire and post-strengthening analysis of steel reinforced concrete columns subjected to fire[J].Journal of Tsinghua University (Science and Technology), 2013, 53(1): 12―17.(in Chinese)

[11]王广勇, 张东明, 郑婵婵, 等.考虑受火全过程的高温作用后型钢混凝土柱力学性能研究及有限元分析[J].建筑结构学报, 2016, 37(3): 44―50.Wang Guangyong, Zhang Dongming, Zheng Chanchan,et al.Post fire performance of steel reinforced concrete columns subjected to fire including cooling phase[J].Journal of Building Structures, 2016, 37(3): 44―50.(in Chinese)

[12]Han L H, Zhou K, Tan Q H, et al.Performance of steel-reinforced concrete column after exposure to fire:FEA model and experiments[J].Journal of Structural Engineering, 2016, 142(9): 04016055.

[13]Han L H, Tan Q H, Song T Y.Fire performance of steel reinforced concrete columns[J].Journal of Structural Engineering, 2015, 141(4): 04014128.

[14]Zhou K, Han L H.Experimental performance of concrete-encased CFST columns subjected to full-range fire including heating and cooling[J].Engineering Structures, 2018, 165: 331―348.

[15]ISO-834, Fire-resistance tests-elements of building construction, Part 1: General requirements[S].Geneva:International Standards Organization,1999.

[16]ENV 1993-1-2, Eurocode 3, Design of steel structures,Part1.2: Structural fire design[S].Brussels: European Committee for Standardization, 1993.

[17]ENV 1994-1-2, Eurocode 4, Design of steel structures,Part1.2: Structural fire design[S].Brussels: European Committee for Standardization, 1994.

[18]郑文忠, 王睿, 王英.活性粉末混凝土热工参数试验研究[J].建筑结构学报, 2014, 35(9): 107―114.Zheng Wenzhong, Wang Rui, Wang Ying.Experimental study on thermal parameter of reactive powder concrete[J].Journal of Building Structures, 2014, 35(9): 107―114.(in Chinese)

[19]冯鹏, 强翰霖, 叶列平.材料、构件、结构的“屈服点”定义与讨论[J].工程力学, 2017, 34(3): 41―51.Feng Peng, Qiang Hanlin, Ye Lieping.Discussion and definition on yield points of materials, members and structures[J].Engineering Mechanics, 2017, 34(3): 41―51.(in Chinese)

EXPERIMENTAL STUDY ON POST-FIRE PERFORMANCE OF PARTIALLY PRECAST STEEL REINFORCED CONCRETE COLUMNS SUBJECTED TO ECCENTRIC COMPRESSION

YANG Yong1 , WEI Bo1 , XUE Yi-cong1 , YU Yun-long1,2 , GONG Zhi-chao1

(1.School of Civil Engineering, Xi’an University of Architecture & Technology, Xi’an, Shaanxi 710055, China;2.Key Lab of Structure and Earthquake Resistance, Xi’an, Shaanxi 710055, China)

Abstract: To investigate the post-fire performance of eccentrically loaded partially precast steel reinforced concrete (PPSRC) columns and hollow precast steel reinforced concrete (HPSRC) columns, fire test and post-fire eccentric compression test of six specimens together with one control specimen unexposed to fire were carried out.Both PPSRC columns and HPSRC columns were fabricated with high-performance outer shells made of reactive powder concrete.The effects of fire time, eccentricity and strength of inner concrete on the internal temperature distribution under fire and the residual bearing capacity and deformability post fire were studied.Meanwhile, the temperature field of the specimens under fire was modelled.The test results indicated that the fire-damaged specimens experienced a similar failure mode compared with the control specimen unexposed to fire during the post-fire eccentric compression.The residual bearing capacity decreased with the increasing of fire heating time and eccentricity, and both the deformability and residual bearing capacity increased with the increasing of core concrete strength.

Key words: prefabricated structure; steel-reinforced concrete column; fire test; post-fire eccentric compression;section temperature field simulation

中图分类号:TU398

文献标志码:A

doi: 10.6052/j.issn.1000-4750.2019.04.0174

文章编号:1000-4750(2020)03-0108-12

收稿日期:2019-04-10;修改日期:2019-08-15

基金项目:国家自然科学基金项目(51978565,51778525);国家重点研发计划项目(2017YFC0703404)

通讯作者:于云龙(1989―),男,陕西人,工程师,博士,主要从事钢与混凝土组合结构研究(E-mail: yyllyp126@sina.com).

作者简介:

杨 勇(1976―),男,江西人,教授,博士,主要从事钢与混凝土组合结构研究(E-mail: yyhhp2004@163.com);

魏 博(1994―),男,陕西人,硕士生,主要从事钢与混凝土组合结构研究(E-mail: weibo941115@163.com);

薛亦聪(1992―),男,陕西人,博士生,主要从事钢与混凝土组合结构研究(E-mail: xjdxyc@foxmail.com);

龚志超(1992―),男,江西人,硕士生,主要从事钢与混凝土组合结构研究(E-mail: 759845026@qq.com).