采用电动式激振器的混合试验系统设计

郭迎庆1,3,李 阳1,徐赵东2,陈 笑3,王军建3

(1.南京林业大学机械电子工程学院,南京210037;2.东南大学土木工程学院,南京211189 3.南京东瑞减震控制科技有限公司,南京210033;)

摘 要:混合试验是一种将数值模拟与物理试验相结合的新兴结构抗震试验方法,是一种评估非线性结构和系统性能的先进试验方法。该文提出了一种采用电动式激振器的混合试验系统设计方法。该方法以电动式激振器为作动器,并采用MATLAB软件、STM32系列单片机、串口通信技术、等效力控制方法以及位移传感器、力传感器等构建了一套包含硬件和软件的完整的混合试验系统。为了检验所设计混合试验系统的性能,选用粘弹性阻尼器作为试验子结构,对加入粘弹性阻尼器的单自由度框架结构进行了混合试验分析,结果表明:该文设计的混合试验系统数据通信可靠,整个系统可行、有效。

关键词:防灾减灾工程;混合试验;等效力控制;电动式激振器;粘弹性阻尼器

结构混合试验(hybrid testing),又称拟动力试验(pseudo-dynamictesting)或联机实验[1-2]。它通过数值计算来考虑结构惯性力和阻尼力作用,而恢复力通过对结构试验加载获取,是研究结构动力反应的有效方法之一[3]

日本学者Nakashima等[4]于1992年将振动台试验技术、拟动力试验技术和子结构技术相结合,提出了混合试验方法,并进行了速度相关型试件的混合试验,验证了其方法的可行性。之后,Nakashima和Masaoka[5]又于1999年设计了基于DSP(数字信号处理器)的实时混合试验系统,并对5层附加粘滞型阻尼器的隔震建筑模型进行地震模拟混合试验研究,验证该系统的可行性。2006年,Nakata等[6]提出了一种可用于空间多自由度混合试验的多轴作动器耦合的力位移混合控制方法,该方法采用Broyden增量迭代方法更新试件的Jacobian刚度矩阵,将力命令变换为位移命令,最终实现作动器的加载。2008年,Baradaran和Charlet[7]采用OpenSees和电液伺服系统,对单层2跨钢筋混凝土框架结构进行了地震模拟混合试验,并将试验结果与振动台试验结果进行了对比分析。2017年,Fermandois和Spencer[8]提出了一个多轴实时混合试验架构,该方法核心是设计一个具有多作动器的“计算机-物理”系统,对加快推进实时混合试验的发展具有重要意义。2018年,Guo等[9]提出了一种消除作动器时滞对数值积分算法的影响的全局迭代实时混合试验方法,并通过理论分析与对装配24个非线性连杆和粘滞阻尼器的大型非线性斜拉桥系统进行混合试验,验证了该方法的可行性、稳定性和有效性。

相对于国外对混合试验时间,我国起步较晚,但经过我国科研工作者的不懈努力和刻苦钻研,我国已在混合试验方面有突出进展,并建立起一批由国家或省、部级重点实验室为主的结构试验设施[10],对国内抗震试验的研究起到了积极推动作用。2007年,Wu等[11]提出了等效力控制方法,并将平均加速度法假定带入混合试验求解结构的离散运动方程,该方法速度快、无须迭代求解隐式积分方程,为混合试验方法的研究提供新的思路。2012年,王贞[12]采用dSpace DS1103控制板与四个电磁作动器组成的TT1试验系统,提出了一种基于简化作动器模型的在线时滞估计方法及两种时滞补偿策略。2013年,许国山等[13]采用有限元软件OpenSees、接口程序OpenFresc和试验控制LabVIEW/dSPACE完成了一层框架结构混合试验,试验结果表明两套混合试验系统具有较好的稳定性和精度。2014年,蒋建波等[14]利用一款S7-300PLC系统以及smith补偿策略设计出一种能实现被控对象与控制系统数据互联传输的混合实验平台。2016年,Xu等[15]利用伺服电动机为动力源,高性能STM32单片机为控制芯片,初步搭建起了电动式疲劳机系统环境模拟的方法。2019年,杜春波等[16]采用交替协调的边界近似协调方法搭建出新型混合试验平台,并通过数值混合模拟与混合试验验证了试验方法的有效性。

总体而言,混合实验方法在近年来得到了飞速发展,但是由于实验设备成本过高,大多数科研工作者很难真正运用这一科学方法。本文提出了一种采用电动式激振器的混合试验系统设计方法。该方法主要采用MATLAB软件、STM32系列单片机、串口通信技术、等效力控制方法以及电动式激振器、位移传感器、力传感器等搭建了一套完整的包含硬件和软件的混合试验系统,为非线性结构及构件的测试提供试验平台。为了检验所设计混合试验系统的性能,选用粘弹性阻尼器作为试验子结构,对加入粘弹性阻尼器的单自由度框架结构进行了混合试验分析。试验结果表明,本文设计的混合试验系统数据通信可靠,整个系统可行、有效。

1 激振器混合试验系统

1.1 混合试验系统介绍

采用电动式激振器的混合试验系统包括上位机与下位机两部分,如图1所示。上位机部分主要是采用MATLAB软件编写上、下位机串口通信程序和数值子结构程序,实现给下位机发送命令信号,同时接收下位机传递的位移和力信号,完成数值子结构的模拟与计算。下位机部分主要由控制系统、激振器系统、传感器系统及试验子结构组成。其中控制系统以STM32单片机为主控制器,编写上、下位机串口通信程序、激振器控制程序和传感器数据采集程序。下位机部分主要实现上、下位机的数据通信、对激振器的驱动控制以及传感器的数据采集等功能。

图1 混合试验系统示意图
Fig.1 Hybrid testing system schematics diagram

1.2 混合试验系统设计方案与工作流程

混合试验系统是以电动式激振器作为作动器(即整个系统的动力源),实现对试验子结构振动力的加载;以试验子结构为试验负载,实现在振动力加载下的力响应和位移响应,并采用力传感器与位移传感器测量;以STM32单片机为控制核心,实现上、下位机的数据通信,传感器的数据采集以及采用PID控制算法对激振器驱动控制;以MATLAB软件完成整个试验系统数值子结构设计,实现房屋结构数值模型的搭建,上、下位机的数据通信以及处理下位机反馈回来的力信号与位移信号;以STM32单片机的USART接口与MATLAB软件串口通信外部接口连接,实现上、下位机的串口通信,建立起数值子结构与试验子结构联系。整个混合试验系统结构框图,如图2所示。

图2 混合试验系统结构框图
Fig.2 The structure diagram of the hybrid testing system

图3 混合试验系统工作流程图
Fig.3 The workflow diagram of the hybrid testing system

混合试验系统的工作流程如图3所示。首先,由上位机MATLAB通过串口发送初始控制信号,STM32单片机接收上位机传来的初始控制信号,转化为电压控制信号,给出初始电压激励,继而带动激振器工作产生激振力;然后,激振器带动试验子结构工作,传感器测量试验子结构的力和位移数据;接着,STM32单片机根据采集到的力和位移数据进行PID反馈算法调节,改变输出电压;最后,将反馈调节后激振器产生的力信号通过USART传递至上位机,上位机根据已经建立的数值子结构计算给出下一个加载周期的目标信号,最后进入下一个循环,直到达到预定周期数,试验停止。

2 混合试验系统硬件及软件设计

2.1 硬件设计

本文设计的混合试验系统的硬件部分主要包括电动式激振器、功率放大器、STM32控制器、位移传感器、拉压力传感器等,混合试验系统实物图如图4所示。其中,电动式激振器选用KDJ-100型100 kg的电动式激振器;力传感器为量程1 kN的KD4010A荷重传感器,并配备KD6201变送器;位移传感器为量程50 mm的5.1-1-0050-1V10型磁致伸缩位移传感器;STM32控制器选用STM32F103ZET6型单片机。

图4 混合试验系统实物图
Fig.4 Hybrid testing system physical diagram

本文设计的混合试验系统所涉及的位移传感器与拉压力传感器输出信号都是电压信号,具体大小分别是0 V~10 V,-5 V~5 V;电动式激振器通过输入正负电压来控制拉压两个方向的运动。但是,STM32单片机能够采集与输出的电压信号都在0 V~3.3 V,因此对传感器信号采集需要先进行电压转换处理(即利用外围电路把传感器的输出电压转化成STM32单片机能够进行采集的电压范围),然后再进行采集。同时,STM32单片机对激振器的控制信号是无法直接输出负电压的,因此需要对单片机的输出信号通过外围电路做反向放大处理。因此本文设计了一个外围电路,如图5所示,实现了对激振器驱动信号和传感器数据采集信号的转换。该外围电路主要采用LM358运算放大器设计,包括反相放大电路、求和运算电路和降压电路等。

图5 外围电路实物图
Fig.5 Physical peripheral circuit diagram

2.2 软件设计

混合试验系统的软件部分的主要功能是配合硬件系统实现混合试验的试验加载,按照构成可以分为上位机MATLAB程序和下位机STM32程序。上位机MATLAB程序主要是对数值子结构仿真模拟计算,以及与下位机STM32之间的数据通信。下位机STM32程序主要是实现作动器系统的驱动控制和试验子结构的数据采集,以及与上位机MATLAB之间的数据通信。

上位机MATLAB与下位机STM32之间采用RS-232协议进行串口通信。下位机STM32程序的设计主要采用库函数编程,包括串口通信程序、ADC数据采集程序、DAC电压输出程序及PID控制程序等。上位机MATLAB实现对数值子结构仿真模拟计算,完成数值子结构与试验子结构相结合在地震作用下的动力响应运算,从而求解出整体结构在地震作用下动力响应。其主要包括数值子结构建模及初始参数设置、串口中断回执函数和数值积分算法。数值子结构建模包括集中质量矩阵、刚度矩阵和阻尼矩阵的计算;初始参数设置包括串口基本参数设置和数值子结构质量、刚度、初始位移、初始速度、初始加速度设置;串口中断回执函数由串口事件触发运行,进行读取串口数据,再通过数值积分算法计算分析当前时间步长下,结构在地震作用下的响应以及下一时间步长需要发送数据,写入串口数据。

3 混合试验系统控制器设计

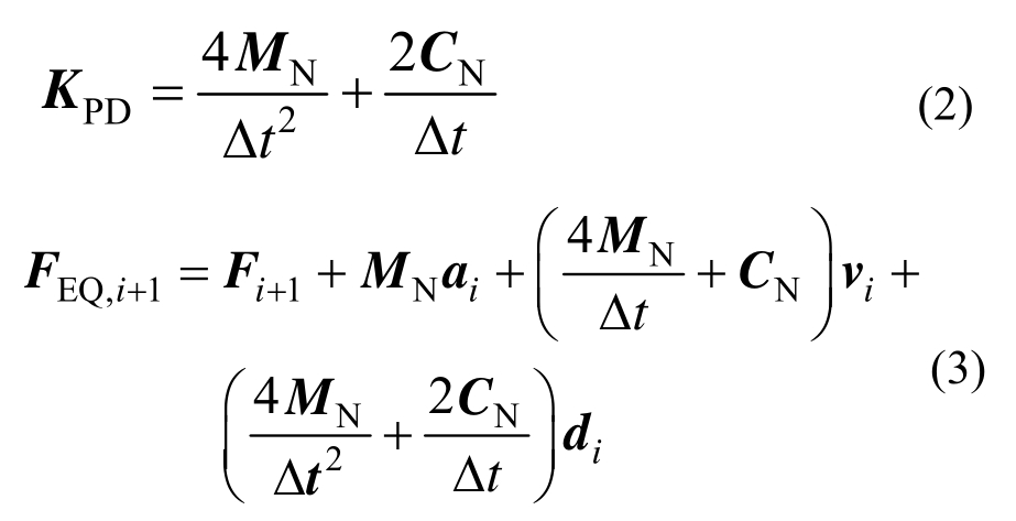
本文的控制对象为电动式激振器,试验子结构为粘弹性阻尼器。就电动式激振器而言,电流信号与激振器的出力是线性关系,本文电动式激振器的采用力加载控制;而试验子结构粘弹性阻尼器的力学特性是非线性的。针对本文混合试验系统采用等效力控制法[17-18]设计控制器,当混合试验的积分算法选用平均加速度法,在离散时间上等效力控制方法的运动方程表达式如下:

其中:

式中:MNCNKN分别为结构的质量矩阵、阻尼矩阵和刚度矩阵,通常为常量;RE为试验子结构反力向量,可由试验测量得到;d、v、a分别为位移向量、速度向量、加速度向量;Δt为积分时间间隔;Fi+1为外荷载向量;下标N表示该变量与数值子结构相关,E表示与试验子结构相关;KPD为拟刚度矩阵;FEQ,i+1为每个加载周期内的等效力命令。

等效力控制方法采用的是闭环控制系统,即反馈控制的方法,控制使反馈力即式(1)左边平稳渐近地趋于等效力即式(1)右边,其作动器采用力加载控制的等效力控制方法[19]实现,原理如图6所示。在每一个积分时间间隔Δt中,等效力命令和等效力反馈值的等效力差通过等效力控制器以及力分配系数Cf得到下一步的力命令在每一次加载周期接近结束时,当等效力反馈值能够无限逼近对应加载周期的等效力命令FEQ,i+1(t)时,实际位移将无限趋近于目标位移di+1(t),将成为式(1)的解[20]。其中,Cf为力分配系数,其作用相当于Newton迭代法中的Jacobian矩阵,力分配系数Cf的取值如下所示:

式中,KNKE分别为数值子结构和试验子结构的初始刚度矩阵。

图6 等效力控制原理图
Fig.6 Equivalent force control schematic diagram

控制器的作用是使等效力反馈值能够准确跟踪等效力命令,控制器分为内环力控制器和外环等效力控制器,外环控制器为等效力控制,通过等效力控制器和力分配系数Cf计算出作动器的力加载命令,内环控制器为作动器的力控制,使作动器能准确达到力命令,本文的控制器选择增量式PID控制器。内环力PID控制器的输入为作动器的目标力与实际力的差值。外环等效力PID控制器的作用是“强迫”式(1)混合试验系统的运动方程成立,以保证整个混合试验系统的稳定性和精度。

4 试验分析

本文对加入粘弹性阻尼器的单自由度框架结构进行混合试验,不考虑试验子结构质量对混合试验的影响,其结构的参数为:MN=500kg,KN=500N/mm,CN=1.6N·s/mm,阻尼比ξ=0.05,试验子结构等效刚度KE=200N/mm,试验子结构等效阻尼CE=2.9N·s/mm,结构的自振周期为0.2 s。经过工程整定法得到:内环力PID控制器的参数分别为Pi=0.2,Ii=20,Di=0;外环等效力PID控制器的参数分别为Po=45,Io=80,Do=0。试验中以El-Centro波作为整个混合试验系统的激励信号,加速度峰值为50 gal,地震作用时间为10 s,时间步长0.02 s,力分配系数Cf=0.0324,将STM32控制器输出信号电压与激振力的增益系数设定为80,混合试验系统的力传感器、位移传感器、粘弹性阻尼器与电动式激振器的结构安装如图7所示,加粘弹性阻尼器的单自由度框架结构的试验结果如图8所示。

从图8(a)和图8(b)可以看出,加粘弹性阻尼器的单自由度框架结构在地震作用下的混合试验位移最大值为0.748 mm,最小值为-0.574 mm,理论解位移最大值为0.558 mm,最小值为-0.432 mm,绝对误差最大值为0.190 mm,位移误差的标准差为0.061 mm;速度最大值为24.0 mm/s,最小值为-22.4 mm/s,理论解速度最大值为16.6 mm/s,最小值为15.8 mm/s,绝对误差最大值为7.4 mm,速度误差的标准差为2.2 mm。从图8(c)可以看出,试验子结构的反力最大值为116.1 N,最小值为-102.4 N;最大位移为0.748 mm,最小位移为-0.574 mm。其力-位移曲线两端棱角分明,是由于地震作用下峰值处力与位移快速变化,同时曲线总体类似于椭圆且较为饱满,能够反映出粘弹性阻尼器耗能效果较好。由上述分析可知,混合试验要略大于理论结果,在峰值处相差比较明显,但混合试验与理论结果基本吻合。试验中误差存在的主要原因是:粘弹性阻尼器是一种非线性减震装置,特别是装置中所采用的粘弹性减震材料具有强非线性特性,其性能受到温度、激励频率和激励幅值的影响。本混合试验未能实时完成,导致试验过程中粘弹性阻尼器刚度偏小,因此试验结果会大于理论结果。此外,整个混合试验系统中所采用的PID控制器的参数一经整定后,在整个试验过程中就固定不变,这样便可保证大部分激励下的控制要求。然而PID参数不随着负载非线性特性的变化而进行实时调整,使得在试验过程中的个别峰值处不能达到最佳的控制效果,而出现了一定误差。从试验结果可以看出,整个混合试验系统在El-Centro波作用下,混合试验与理论结果基本保持一致,且误差的标准差较小,说明了混合试验解与理论解总体偏差较小,验证了本文设计的混合试验系统可行性。

图7 试验子结构
Fig.7 The test substructure

图8 地震激励下的结构反应
Fig.8 Structural responses under seismic stimulation

综上所述,本文所设计的一种采用电动式激振器的混合试验系统总体上是满足要求的,能够实现数值子结构与试验子结构的协调工作,完成对非线性试验结构构件的性能测试,该混合试验系统是可靠的和有效的。

5 结论

本文在实验室范围内设计了一种采用电动式激振器作为作动器部分,以粘弹性阻尼器为试验子结构的混合试验系统,并对其中几个关键问题进行了阐述和试验验证,试验结果表明,本文所建立的混合试验系统数据通信可靠,能够较好地完成基于粘弹性阻尼器的混合试验,试验结果和理论分析结果吻合较好,验证了所设计混合试验系统的有效性和可靠性。

参考文献:

[1]Hakuno M, Shidawara M, Hara T.Dynamic destructive test of a cantilever beam, controlled by an analog-computer [J].Transactions of the Japan Society of Civil Engineers, 2010, 1969(171): 1-9.

[2]Takanashi K, Udagawa K, Seki M, et al.Non-linear earthquake response analysis of structures by a computer actuator on-line system (Part Ⅰ details of the system)[J].Transactions of the Architectural Institute of Japan,1975, 229: 77-83.

[3]陈永盛, 王涛, 张令心, 等.结构混合试验新进展:16WCEE相关论文综述[J].地震工程与工程振动,2017, 37(3): 136-143.Chen Yongsheng, Wang Tao, Zhang Lingxin, et al.Advance in hybrid simulation of structures: Review of the papers in 16th World Conference on Earthquake Engineering [J].Earthquake Engineering and Engineering Vibration, 2017, 37(3): 136-143.(in Chinese)

[4]Nakashima M, Kato H, Takaoka E.Development of real-time pseudo dynamic testing [J].Earthquake Engineering & Structural Dynamics, 1992, 21(1): 79-92.

[5]Nakashima M, Masaoka N.Real-time on-line test for MDOF systems [J].Earthquake Engineering & Structural Dynamics, 1999, 28(4): 393-420.

[6]Nakata N, Spencer B F, Elnashai A S.Mixed load/displacement control strategy for hybrid simulation[C]//China Taiwan: 4th International Conference on Earthquake Engineering, 2006: 94-103.

[7]Baradaran S M, Charlet A Y.Hybrid simulation of the gravity load collapse of reinforced concrete frames[C]//Canada: Structures Congress, 2008, 2008: 1-17.

[8]Fermandois G, Spencer B F.Framework development for multi-axial real-time hybrid simulation testing [C]//Chile:16th World Conference on Earthquake Engineering,2017: 1-17.

[9]Guo J, Zhao W, Du Y, et al.New method for real-time hybrid testing with a global iteration strategy [J].Journal of Structural Engineering, 2018, 144(12): 04018218.

[10]茹继平, 肖岩.美国地震工程模拟网系统NEES计划及在我国实现远程协同结构试验的设想[J].建筑结构学报, 2002, 23(6): 91-94.Ru Jiqing, Xiao Yan.The American plan of network for earthquake engineering simulation and the idea of realization of long-distance coordinative structural experiment in china [J].Journal of Building Structures,2002, 23(6): 91-94.(in Chinese)

[11]Wu B, Wang Q, Benson Shing P, et al.Equivalent force control method for generalized real-time substructure testing with implicit integration [J].Earthquake Engineering & Structural Dynamics, 2007, 36(9): 1127-1149.

[12]王贞.实时混合试验的控制和时间积分算法[D].哈尔滨: 哈尔滨工业大学, 2012.Wang Zhen.Control and time integration algorithms for real-time hybrid simulation [D].Harbin: Harbin Institute of Technology, 2012.(in Chinese)

[13]许国山, 郝伟, 陈永盛, 等.基于OpenFresco- LabVIEW-dSpace的混合试验系统研究[J].工程力学, 2013,30(3): 417-423.Xu Guoshan, Hao Wei, Chen Yongsheng, et al.Experimental validation on hybrid testing system based on OpenFresco-LabVIEW-dSpace [J].Engineering Mechanics, 2013, 30(3): 417-423.(in Chinese)

[14]蒋建波, 苗爱敏, 李鹏, 等.双容水箱模糊Smith时滞补偿控制系统混合实验平台设计[J].实验技术与管理,2017, 34(1): 84-89.Jiang Jianbo, Miao Aimin, Li Peng, et al.Design of mixed experimental platform for fuzzy Smith time-delay compensation control system of double-capacity water tank [J].Experimental Technology and Management,2017, 34(1): 84-89.(in Chinese)

[15]Xu Z D, Wang K Y, Guo Y Q, et al.Hybrid test on building structures using electrodynamic fatigue test machine [J].Nondestructive Testing and Evaluation,2016, 32(1): 1-13.

[16]杜春波, 王涛, 郄毅.交替协调子结构混合试验方法研究[J].工程力学, 2019, 36(增刊1): 54-58.Du Chunbo, Wang Tao, Qie Yi.Research on staggered coordination application in hybrid test methods [J].Engineering Mechanics, 2019, 36(Suppl1): 54-58.(in Chinese)

[17]Wu B, Wang Q, Shing P B, et al.Equivalent force control method for generalized real-time substructure testing with implicit integration [J].Earthquake Engineering and Structural Dynamics, 2007, 39(9): 1127-1149.

[18]许国山, 吴斌.等效力控制方法在拟动力试验中的应用[J].地震工程与工程振动, 2010, 30(2): 79-85.Xu Guoshan, Wu Bin.Application of equivalent force control method to pseudo-dynamic testing [J].Earthquake Engineering and Engineering Dynamics,2010, 30(2): 79-85.(in Chinese)

[19]谭晓晶, 吴斌, 王贞.采用力控制加载的拟动力试验等效力控制方法[J].振动工程学报, 2013, 26(3): 451-458.Tan Xiaojing, Wu Bin, Wang Zhen.Pseudo-dynamic tests with effective force control method based on force-loading control strategy [J].Journal of Vibration Engineering, 2013, 26(3): 451-458.(in Chinese)

[20]周惠蒙, 吴斌, 王涛, 等.基于速度的显式等效力控制方法的研究[J].工程力学, 2016, 33(6): 15-22, 33.Zhou Huimeng, Wu Bin, Wang Tao, et al.Explicit equivalent force control method based on velocity [J].Engineering Mechanics, 2016, 33(6): 15-22, 33.(in Chinese)

DESIGN OF HYBRID TESTING SYSTEM USING ELECTRIC EXCITER

GUO Ying-qing1,3 , LI Yang1 , XU Zhao-dong2 , CHEN Xiao3 , WANG Jun-jian3
(1.College of Mechanical and Electronic Engineering, Nanjing Forestry University, Nanjing 210037, China;2.College of Civil Engineering, Southeast University, Nanjing 211189, China 3.Nanjing Dongrui Damping Control Technology Co., Ltd., Nanjing 210033, China;)

Abstract: Hybrid testing is an emerging structural aseismic testing method that combines numerical simulation and physical tests, and it is an advanced test method for evaluating nonlinear structures as well as system performance.It presents a design method for a hybrid testing system using an electric exciter.In this method, the electric exciter is used as an actuator, and MATLAB software, STM32 series MCU, serial communication technology, the equivalent force control method, a displacement sensor, and a force sensor are used to build a complete hybrid testing system including hardware and software.In order to test the performance of the designed hybrid testing system, aviscoelastic damper is selected as the test substructure, and the hybrid testing analysis of a single-degree-of-freedom frame structure with the viscoelastic damper iscarried out.The test results show that the data communication of the designed hybrid testing system is reliable, and the whole system is feasible and effective.

Key words: disaster prevention and mitigation engineering; hybrid testing; equivalent force control; electric exciter; viscoelastic damper

中图分类号:TU317;TP23

文献标志码:A

doi: 10.6052/j.issn.1000-4750.2019.01.0041

文章编号:1000-4750(2020)01-0108-07

收稿日期:2019-01-24;修改日期:2019-07-15

基金项目:国家重点研发计划“政府间国际科技创新合作”重点专项(2016YFE0119700);国家重点研发计划“战略性国际合作”重点专项(2016YFE0200500); 江苏省国际科学技术合作项目(BZ2018058)

通信作者:郭迎庆(1975-),女,山西人,副教授,博士,主要从事智能材料与结构及其减振控制研究(E-mail: gyingqing@njfu.edu.cn).

作者简介:

李 阳(1993-),男,江苏人,硕士,主要从事智能控制与嵌入式系统研究(E-mail: leon9306@163.com);

徐赵东(1975-),男,安徽人,教授,博士,博导,主要从事结构抗震与振动控制等方面研究(E-mail: zhdxu@163.com);

陈 笑(1992-),男,江苏人,硕士,主要从事智能控制和嵌入式系统研究(E-mail: xiao2.chen@aptiv.com);

王军建(1992-),男,安徽人,硕士,主要从事建筑结构抗震研究(E-mail: wangjunjian976@163.com).