钢套管再生混凝土加固柱抗震性能及影响参数研究

陈庆军1,2,梁竣杰1,蔡 健1,2,黎 哲1,何 岸1,左志亮1,3

(1.华南理工大学土木与交通学院,广东,广州 510641;2.华南理工大学亚热带建筑科学国家重点试验室,广东,广州 510641;3.代尔夫特理工大学土木工程与地球科学学院,荷兰代尔夫特市)

摘 要:通过1个未加固的钢筋混凝土柱和9个钢套管加固钢筋混凝土柱的低周反复加载试验,研究了钢套管加固柱的抗震性能。随后在ABAQUS中,利用经试验校验的纤维梁模型,进行钢套管再生混凝土柱的数值模拟,并对相关影响因素进行参数化分析。结果表明:经钢套管再生混凝土加固后,钢筋混凝土柱的抗震性能显著提升;在所研究的参数范围内,轴压比小于0.58时,加固柱抗侧承载力随轴压比的增大而提高,但轴压比大于0.58时,加固柱抗侧承载力随轴压比的增大显著下降,且损伤发展速度加快;钢套管厚度能提升加固柱的抗震性能,但提升幅度随厚度的增加而减缓;原柱轴压比对加固柱的力学性能和破坏模式有较大影响,且初始压弯组合应力显著降低高轴压比加固柱的压弯承载力;在钢套管的有效约束下,再生混凝土对构件整体承载力的影响不明显,但使得构件的抗震性能有所下降。

关键词:钢套管;再生混凝土;低周反复加载试验;纤维梁模型;参数化分析

钢套管加固具有加固效果好、减少模板搭设、施工简便等优点,在工程中得到较广的应用。国外方面,Chai和Priestley等[1-3]最早采用钢套管对桥梁进行加固,并提出加固柱的力学模型。Xiao等[4]在Chai和Priestley的基础上,提出了局部约束方形或矩形钢套管的加固方法。国内方面,蔡健等[5]进行了圆钢套管加固方柱的受压性能试验,试验中考虑了方柱的初始应力,并提出简化计算公式。卢亦焱等[6-8]利用高流态自密实混凝土以改善浇筑质量,并进行了一系列外套钢管自密实混凝土加固柱的轴压、偏压试验及分析。以上研究成果表明,利用钢套管加固能有效提高待加固柱的极限承载力、刚度和变形能力。

再生混凝土是绿色处理废弃混凝土的有效途径,但掺入再生骨料后,混凝土的强度和弹性模量较低、收缩性和徐变较大[9-10]。杨有福等[11]进行的钢管再生混凝土柱的试验结果表明,钢管再生混凝土柱相较于钢管普通混凝土,承载力稍有下降。吴波等[12]对通过一系列试验和理论研究,探究了薄壁钢管再生混合柱的力学性能。Xiao等[13]的试验结果表明钢管约束下再生混凝土的峰值强度和变形性能明显提升,但随着再生粗骨料取代率的提高,试件的峰值承载力降低。Wang等[14]的研究成果表明钢管再生混凝土柱的峰值承载力比钢管普通混凝土柱最多降低10%。陈宗平等[15-16]进行了钢管再生混凝土柱的力学研究,结果表明钢管再生混凝土与钢管普通混凝土柱力学性能相近。可见,在钢管的约束下,核心再生混凝土的力学性能有了明显提高。然而目前将再生混凝土应用到结构加固领域的研究成果仍较少。

He等[17]基于“以废补旧、绿色环保”的概念,提出了钢套管再生混凝土柱的加固方法,如图1所示,并对加固柱的轴压性能进行试验研究。本文将探索进一步通过低周反复加载试验研究该新型加固柱的抗震性能,并利用ABAQUS纤维梁模型和自主开发的用户材料子程序,对钢套管再生混凝土柱进行数值模拟和参数化分析。

图1 钢套管再生混凝土加固柱截面图
Fig.1 Typical section of steel-jacket strengthened column with recycled aggregate concrete

1 试验研究

1.1 试验概况

试验共设计了10个试件,包括未加固钢筋混凝土柱编号为C0,钢套管再生混凝土加固钢筋混凝土柱编号为C1~C9。其中,C8由经历低周反复加载试验后的C0加固形成,作为考虑原柱震损的加固柱试件;而C9通过无粘结后张预应力法施加轴压,作为考虑原柱初始轴力的加固柱试件。各试件钢套管外径均为320 mm,原柱截面尺寸均为200 mm×200 mm,具体参数取值及试件大样图详见表1和图2。其中,C0、C8研究加固前后抗震性能的变化;C1、C2、C3研究轴压比的影响;C1、C4、C5研究钢管厚度的影响;C3、C6、C7研究再生粗骨料取代率的影响;C2、C8研究原柱是否受损的影响;C3、C9研究原柱是否带有原柱轴压力的影响。

试验时,柱顶竖向轴压力在达到预定值N0后,由MTS伺服作动器施加水平荷载。水平荷载的加载制度为位移控制,各级位移循环加载3次,位移幅值分别为L/500、L/300、L/150、L/75、L/50、L/30、L/20(其中L为加载点到基座表面的距离,对于C0,L=1080 mm,对于C1~C9,L=1320 mm)。当试件的水平承载力开始下降,并低于峰值承载力85%时,试验停止。

表1 试件参数
Table 1 Specimen parameters

注:t0t分别为钢套管名义厚度和实际厚度;ξ为钢套管再生混凝土加固柱的套箍系数,式中,As/mm2Ac/mm2分别为钢管、管内混凝土的面积,f/MPa为钢材的抗压强度设计值,fc/MPa为混凝土的抗压强度设计值;η为再生粗骨料取代率;fcu1fcu2分别是原柱混凝土和加固混凝土的立方体抗压强度;Ec为加固混凝土的弹性模量;NpreN0分别为原柱轴压力和试验轴压力;n0为试验轴压比,n0=N0/(0.76fcu1Ac1+0.76fcu2Ac2+fyAs),式中,Ac1Ac2分别为原柱和加固混凝土的截面面积,fy为钢管屈服强度,As为钢管截面面积;C7的再生粗骨料取代率为100%,其混凝土弹性模量数值偏小的原因可能是由于再生粗骨料吸水率的差异引起的。

试件 t0/mm t/mm ξ H/(%) fcu1/MPafcu2/MPaEc/MPaNpre/kNN0/kN n0 备注C0 — — — — 34.2 — — — 300 0.29 原钢筋混凝土柱C1 4 3.82 1.3 50 34.2 29.4 20459 0 2667 0.79 钢套管加固柱C2 4 3.82 1.3 50 34.2 29.4 20459 0 800 0.24 钢套管加固柱C3 4 3.82 1.3 50 34.2 29.4 20459 0 1600 0.47 钢套管加固柱C4 6 5.83 2.0 50 34.2 29.4 20459 0 2667 0.69 钢套管加固柱C5 2 1.81 0.6 50 34.2 29.4 20459 0 2667 0.99 钢套管加固柱C6 4 3.82 1.3 0 34.2 32.4 23136 0 1600 0.46 钢套管加固柱C7 4 3.82 1.3 100 34.2 27.8 14296 0 1600 0.48 钢套管加固柱C8 4 3.82 1.3 50 34.2 30.5 26160 0 800 0.23 考虑原柱震损的钢套管加固柱C9 4 3.82 1.3 50 34.2 29.4 20459358.4 1600 0.47 考虑初始应力的钢套管加固柱

图2 试件大样图
Fig.2 Details of specimens

1.2 试验结果

1) 破坏过程及模式

对于未加固的钢筋混凝土柱C0,水平位移为L/300时,第一条裂缝出现,位置为柱底距基座200 mm处;水平位移为L/150时,靠近基座一端的部分受拉纵筋屈服;水平位移为L/50时,在受压侧的混凝土保护层出现轻微脱落,且此时承载力已低于峰值的85%,试验停止。

对于除C5外的钢套管加固柱,即C1~C4、C6~C9,破坏过程及模式较为相似。在加载初期,试件变形较小;水平位移为L/150时,受拉区的钢管开始脱离基座,且随着加载的进行,脱离的距离不断增大;在水平位移加载至L/100~L/50时,试件均达到承载力。可以测得,柱底钢套管与基座的脱离距离在接近或达到破坏时可达10 mm (图3(a))。在加载过程中,钢管均未出现鼓起。

对于轴压比很大(n0=0.99)的加固柱C5,水平位移达L/75时,柱底钢管有明显的剪切滑移线,受压区钢管出现鼓起现象(图3(b)),且随水平位移的增加,鼓起程度不断加剧;水平位移为L/50时,试件承载力低于峰值的85%,试验停止。在加载过程中,柱底钢管与基座没有出现脱离现象,接触紧密。

图3 试验现象
Fig.3 Experimental phenomena

在试验结束后,切开钢套管观察加固柱内部混凝土的试验情况,图4为典型的破坏形态。结合上述破坏过程,加固柱破坏时可分为两种破坏形态:1) 受压破坏(C1/C4/C5),混凝土破坏形态可参考图4(a)~图4(b),这类破坏的试件试验轴压比较大(n0=0.69~0.99),柱底受压区混凝土被压溃;2) 受拉破坏(C2、C3、C6、C7、C8、C9),混凝土破坏形态可参考图4(c),这类破坏的试件试验轴压比较小(n0=0.23~0.48),柱底混凝土损伤程度较轻,试件中的受拉纵筋达到屈服强度。

图4 加固柱试件内部混凝土的典型破坏形态
Fig.4 Typical failure modes of concrete inside reinforced columns

2) 荷载-位移曲线

图5展示了部分试件的荷载-位移曲线,可见,未加固柱C0的滞回环在加载后期呈反S形,包络面积较小;而加固柱试件的滞回环在加载后期仍较饱满,呈现良好的耗能能力。其中,对于发生受压破坏的试件(图5(b)),其滞回环在加载后期呈弓形;而对于发生受拉破坏的试件(图5(c)~图5(d)),其滞回环在加载后期更接近反S形或Z形。

图5 荷载-位移滞回曲线
Fig.5 Hysteretic loops of lateral load-displacem ent relationship

将各试件的正向骨架曲线汇总于图6中,并计算其延性系数。可见:1) 未加固柱C0达到承载力时,水平位移仅为L/100,此后骨架曲线便明显下降,延性较差;而经钢套管加固后,各加固柱试件的承载力相较于原柱可提升1.86倍~3.44倍,达到峰值承载力后,骨架曲线在稍有平移后略微下降,表现出较好的延性;2) 随试验轴压力和钢套管厚度的增大,钢套管再生混凝土加固柱的初始刚度、承载力和延性均有提高,但达到一定程度后,这两个参数的增大对加固柱初始刚度和承载力的提高作用减弱;3) 再生粗骨料取代率变化时,钢套管加固柱的骨架曲线较为相似,再生混凝土加固柱具有和普通混凝土加固柱相当的抗侧承载力,但若取代率对弹性模量有较大影响时(如C7),其延性也会受到影响;4) 原柱初始应力对骨架曲线初始刚度的影响较小。不考虑原柱初始应力的试件C3的峰值承载力与考虑原柱初始应力的试件C9的峰值承载力差别不大;5) 原柱震损的加固柱承载力比原柱完好的加固柱承载力略有降低,降幅大约为7%。

图6 荷载-位移骨架曲线
Fig.6 Skeleton curves of lateral load-displacement relationship

2 纤维梁模型及材料本构模型

已有研究成果表明[18-19],采用实体单元建模的有限元数值分析能精确模拟加固柱在不同受力状态下的响应。不过工程结构的构件数量巨大,完全采用实体单元进行整体结构的数值分析既不经济也不现实。

纤维梁模型作为基于材料本构的非线性有限元模型,可沿杆长方向模拟截面刚度的连续变化,以及杆件上任意一点的非线性行为,较好地考虑轴力-弯矩耦合作用,且同时兼顾计算精度和计算效率,因而得到广泛应用。余勋藩[20]的数值模拟结果表明,ABAQUS纤维梁单元能较好地模拟钢筋混凝土柱的滞回性能。聂建国和王宇航[21]开发了一组材料滞回本构,能应用于钢-混凝土组合结构纤维梁单元。王强等[22]基于ABAQUS子程序接口VUMAT,结合单元生死技术,构建了混凝土及钢筋单轴滞回本构模型,可应用于强震作用下的框架结构倒塌全过程分析。雷拓等[23]基于ABAQUS开发了隐式和显式的混凝土与钢材滞回本构模型,并通过与拟静力试验和足尺振动台试验,验证其可靠性。禚一和李忠献[24]在ABAQUS中建立了纤维梁单元模拟平台FENAP,并验证了该平台的计算精度和效率。黎哲[25]开发了基于ABAQUS的钢材和混凝土本构模型,具有较高的分析精度。

本文在有限元软件ABAQUS中,采用B31梁单元建立了如图7所示的钢套管加固柱纤维梁模型,模型沿柱高划分为6个单元。

图7 钢套管加固柱纤维梁模型
Fig.7 Fiber beam model of steel-jacket strengthened column

各单元中,钢管和原柱混凝土部分采用共节点技术,通过关键词*Elcopy创建,分别利用ABAQUS内置的环形截面(pipe)和矩形截面(rectangular)构建;原柱纵筋和加固混凝土部分则通过关键词*Rebar,在上述两种截面中植入积分点创建。

各纤维(即截面积分点)上所赋予的材料单轴滞回本构模型由笔者采用用户自定义材料子程序(UMAT)进行开发,具体如下:

1) 图8(a)所示的普通混凝土本构源自OpenSees程序的Concrete02模型,其中塑性残余应变按文献[23]的建议计算,主要用于模拟未加固试件C0的原柱混凝土材料。

2) 圆钢管内的混凝土,可以分为原柱的普通混凝土部分及填充的再生混凝土部分。这两部分的混凝土在加载后期都会受到圆钢管的有效约束。图8(b)的圆钢管约束混凝土本构关系参考了文献[26-27],考虑了钢套管有效的约束效应和再生粗骨料取代率的影响,同时参考普通混凝土的滞回规则,确定了此约束混凝土的受压本构模型;对于受拉骨架曲线,则与普通混凝土保持一致。

3) 基于文献[28]提出了如图8(c)所示的钢材本构关系,其反映了钢材在反复荷载作用下显著的包兴格效应,并可考虑钢材拉、压方向上不同的屈服强度,主要用于模拟钢管和纵筋。

试验中,在水平荷载作用下,由于钢套管底部未完全锚固,会出现钢套管会与基座脱离的现象,导致无法传递拉力。故为考虑钢材在轴向上的拉压不同性,将纤维梁模型中柱底一个单元中的钢材受拉屈服强度设置为0,不考虑其受拉作用,其余部分的材料参数则按实测值取用。

利用ABAQUS中的生死单元功能来模拟原柱的震损或初始应力,纤维梁模型中的钢套管和填充混凝土部分会在特定的分析步中被分别设为无效或重新激活。

图8 材料单轴滞回本构模型
Fig.8 Material uniaxial hysteretic constitutive model

3 有限元模型验证及参数化分析

3.1 有限元模型的验证

采用纤维梁模型对低周反复加载试验中的试件进行数值模拟,由图9所示的计算滞回曲线与试验曲线的对比可以看出,所建立的纤维梁模型虽然忽略了钢材与混凝土之间的粘结滑移,导致计算曲线在加载后期偏于饱满,但总体而言较为吻合。其中对于试件C2、C8,其滞回曲线较试验曲线过于饱满的主要原因为,二者均是轴压比较低的试件(n=0.23)。在水平荷载作用下,核心混凝土横截面上的受拉区范围较其他试件更大,且由于钢管脱离基座,柱底混凝土受到的套箍约束不如较高轴压比的试件。而本次分析模型中的约束混凝土本构关系主要考虑了钢管套箍系数的影响而尚未考虑轴压比对于约束系数的影响,因而存在模拟偏差。加之试件C8在原柱震损试验后,经历了二次施工、试验,使得试件损伤程度进一步加大。总体而言,结合表2所列的各试件承载力对比结果,可见纤维梁模型对大部分该类型的加固柱的滞回力学性能具有较高的模拟精度。

图9 计算滞回曲线与试验曲线的对比
Fig.9 Comparison of calculated and measured hysteretic curves

表2 计算承载力与试验承载力的对比
Table 2 Comparison of calculated and measured bearing capacity

注:Pt为试验值;Pc为计算值。

正向 负向试件Pt/kN Pc/kN Pc/Pt Pt/kN Pc/kNPc/Pt C0 79 62 0.78 -55 -62 1.12 C1 179 153 0.86 -156 -151 0.97 C2 112 100 0.89 -122 -100 0.82 C3 154 134 0.87 -166 -134 0.81 C4 189 160 0.85 -162 -160 0.99 C5 121 112 0.93 -102 -112 1.10 C6 155 136 0.88 -162 -136 0.84 C7 153 133 0.87 -152 -133 0.87 C8 106 98 0.93 -112 -98 0.88 C9 166 134 0.97 -176 -134 0.91 Pc/Pt平均值 0.91 Pc/Pt标准差 0.09

本文中未加固的原柱采用了普通混凝土本构模型,而加固柱试件C1的原柱和填充混凝土均采用约束混凝土本构模型。为了对比原柱混凝土本构模型对数值分析的影响,以C1为基础,建立了补充分析模型C1a,原柱采用普通混凝土本构,而填充混凝土采用约束混凝土本构。整理得到3个模型的滞回曲线如图9(k)所示。由之前的分析结果可知,C0、C1构件的分析结果与试验结果均较为相近,C1较C0有了较大的承载能力及抗震能力的提升;而补充的模型C1a结果较C1构件有一定的差距,这表明试件中的混凝土在加固中得到了较好的约束,除了截面增大会提高构件的承载力及抗震性能外,约束部分的混凝土对构件的承载力和抗震性能也有了相应的提升。

上述试验结果初步揭示了钢套管再生混凝土加固柱的抗震性能,但变化参数的数量有限。为探讨更广泛的参数对构件性能的影响,以下通过参数化分析,分别对试验轴压比、钢管厚度、填充混凝土力学性能、原柱应力状态和震损情况进行分析。模型中基本截面尺寸按图2的试件实际尺寸输入。

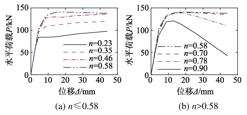
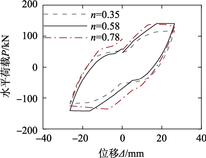
3.2 轴压比的影响

建立一系列轴压比介于0~0.90的钢套管加固柱纤维梁模型,其中钢套管厚度4 mm,再生粗骨料取代率50%,未考虑原柱应力状态和震损情况。图10为各模型的正向骨架曲线,图11则给出了依据修正Kratzig损伤模型[29]计算得到的各模型损伤指数D

图10 轴压比对抗侧承载力的影响
Fig.10 Effect of axial compression ratio on the horizontal bearing capacity

图11 轴压比对损伤发展的影响
Fig.11 Effect of axial compression ratio on damage development

可见,当轴压比小于0.58时,加固柱的抗侧承载力随轴压比的增大而不断提高,而发生相同的水平位移时,损伤指数则稍有降低;在轴压比由0.58提高至0.90的过程中,加固柱抗侧承载力降低了14.2%,而随着轴压比的增大,加固柱的损伤发展加快。

结合试验结果分析,对于轴压比较小的加固柱,由于钢套管的脱离现象,原柱中的纵筋会受拉而屈服,因此在一定的轴压比范围内,轴压比的增大在某种意义上抑制了纵筋受拉屈服的发生,使受压材料得到更充分的利用,从而提高承载力,延缓损伤发展。而轴压比较大时,除轴压比极大的C5(n=0.99)外,外侧钢套管均没有发生鼓起,加固柱中的混凝土压溃时,钢筋仍未屈服,此时若增大轴压力,会加剧混凝土的受压损伤程度,故随着轴压比的提高,加固柱的抗侧承载力下降明显,表现为较差的延性。

图12为3个典型加固柱(n=0.35、n=0.58、n=0.78)在最后一级加载下的滞回环。可见,轴压比较小时,加固柱滞回环表现为滑移段较为明显的弓形或反S形,随着轴压比的增大,滞回环趋于饱满的梭形。分析可知,轴压比较小的情况下,由于钢套管的脱离现象,在反向加载开始时,钢套管仍未接触基座,同时混凝土在正向加载中已经开裂,此时加固柱底部受压一侧完全依靠原柱的纵筋来承担压力,整体刚度较小,在滞回环中出现与横轴几乎平行的滑移段,当钢套管重新与基座接触,或混凝土裂缝闭合时,加固柱整体刚度马上得到增强,滞回环中的捏拢现象由此产生。而轴压比越大,在同一水平位移下柱底钢套管脱离基座的距离越小,甚至没有出现脱离现象,滞回环趋向于饱满的梭形。图13为不同轴压比下加固柱的耗能水平,从中也可看出,随轴压比的增加,加固柱在各级加载下的耗能水平不断提高,但当轴压比为0.9时,由于抗侧承载力出现明显下降,最后两级加载时加固柱的耗能能力大幅减弱。

图12 轴压比对滞回环的影响
Fig.12 Effect of axial compression ratio on hysteresis loop

图13 轴压比对耗能的影响
Fig.13 Effect of axial compression ratio on energy consumption

3.3 钢套管厚度的影响

建立一系列钢套管厚度介于2 mm~10 mm的钢套管加固柱纤维梁模型,其中考虑试验轴压比0.23和0.78两种情况,再生粗骨料取代率50%,未考虑原柱应力状态和震损情况。

由图14~图16所示的加固柱抗侧承载力、刚度以及耗能水平随钢管厚度的变化情况可以看出,总体上,加固柱抗震性能随钢管厚度的增大而提高,具体可总结为以下几点:

1) 轴压比较小(n=0.23)时,各加固柱骨架曲线形态类似,且具有较好的后继承载力,体现出较好的延性;而轴压比较大时(n=0.78),钢管厚度为2 mm的加固柱骨架曲线中存在下降段,且下降明显,说明此模型中钢套管没有足够的约束作用来约束核心混凝土,导致在高轴压比下核心混凝土很快被压坏,因此加固柱后继承载力与轴压比和钢管约束效应相关。参考钢管混凝土结构套箍系数的概念来定义钢管的有效约束程度,其中套箍系数ξ的计算公式见表1中的说明。在本文中,当构件的套箍系数(以加固之后的截面计算)大于1.3时,称之为有效约束。

2) 在所研究的参数范围内,当钢管厚度由2 mm增大至6 mm时,加固柱抗震性能的增幅明显,其中n=0.78的一组加固柱模型,抗侧承载力增大了52.6%;而随着钢套管厚度的增大,加固柱抗震性能不断提高,但提高的幅度逐渐减少。结合试验现象,对于钢管厚度不大于4 mm的加固柱,柱底钢套管在环向上能有效约束核心混凝土,最终达到屈服;但随着钢套管厚度的增加,钢套管的强度和变形性能直到加固柱破坏时仍未被充分利用。可见,提高钢套管厚度可提升加固柱的抗震性能,但并不能无限提升,相反管壁过厚可能会造成浪费。因此,在本节的研究参数范围内,兼顾安全性及经济性,使套箍系数为1.3~2.0是较为合适的选择。

图14 钢管厚度对抗侧承载力的影响
Fig.14 Effect of steel tube thickness on the horizontal bearing capacity

图15 钢管厚度对刚度的影响(n=0.78)
Fig.15 Effect of steel tube thickness on stiffness

图16 钢管厚度对耗能的影响(n=0.23)
Fig.16 Effect of steel tube thickness on energy consumption (n=0.23)

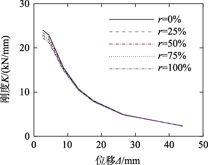
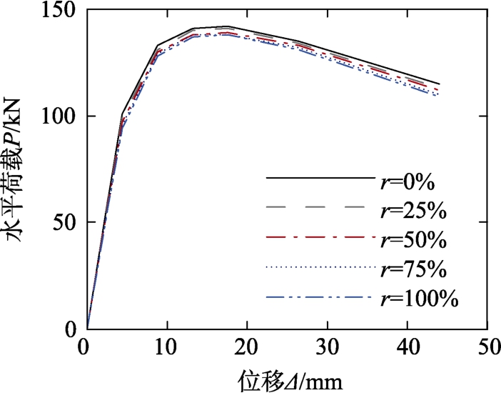
3.4 再生粗骨料取代率(r)的影响

建立一系列再生粗骨料取代率介于0%~100%的钢套管加固柱纤维梁模型,未考虑原柱应力状态和震损情况。在不同的再生粗骨料取代率下,设置不同轴压比和钢套管厚度进行分析,但各组的表现规律大致相同。本文以轴压比0.78、钢套管厚度4 mm的一组加固柱模型为例进行说明。

由图17~图18可知,随再生粗骨料取代率的提高,加固柱无论是刚度还是承载力,都有略微降低的趋势,且此趋势随含钢率的降低,或轴压比的增大而愈加明显。在取代率由0%提高至100%的过程中,承载力略有下降,降幅约为3%;而在前两级加载时,环线刚度出现了约7.5%的降幅,但随后几级加载下,刚度退化曲线大致相同,表明再生骨料取代率对加固柱刚度的影响集中在加载初期阶段。结合试验现象分析,钢套管厚度小或轴压比大,都有使加固柱发生受压破坏的趋势,其特征是混凝土被压溃;此时提高再生骨料的取代率,削弱了填充的再生混凝土的强度和弹性模量,会导致加固柱的抗震性能有所下降。

图17 取代率对承载力的影响(n=0.78,t=4 mm)
Fig.17 Effect of substitution ratio on bearing capacity(n=0.78,t=4 mm)

图18 取代率对刚度的影响(n=0.78,t=4 mm)
Fig.18 Effect of substitution ratio on stiffness (n=0.78,t=4 mm)

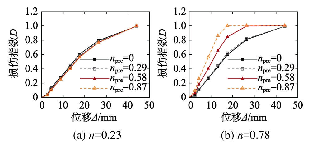
3.5 原柱应力状态的影响

实际应用中需加固的混凝土柱一般处于受力状态,本文探讨其原始应力状态的影响。

1) 原柱初始轴压比(npre)

建立一系列原柱初始轴压比介于0~0.87的钢套管加固柱纤维梁模型,其中钢套管厚度4 mm,再生粗骨料取代率50%。图19~图20展示了加固柱抗侧承载力和损伤指数随原柱轴压比的变化情况。

由图19~图20可知,原柱轴压比对加固柱力学性能的影响与破坏模式有关,具体可总结如下:①当试验轴压比较小时(n=0.23),加固柱倾向于发生受拉破坏,此时原柱初始轴压力的存在有利于延迟其中纵筋的受拉屈服,故加固柱抗侧承载力随原柱轴压比的增加而提高,而同等侧向位移下加固柱的损伤程度则略有降低;②当试验轴压比较大时(n=0.78),加固柱倾向于发生受压破坏,若增大原柱初始轴压力,使原柱混凝土的受压损伤加剧,导致加固柱的抗侧承载力明显降低,骨架曲线呈现明显的下降段,且加固柱损伤指数以更快的速度趋近破坏限值。由图19(d)可见,当原柱轴压比、试验轴压比同时增大时,加固柱的抗侧承载力显著降低。

图19 原柱轴压比对抗侧承载力的影响
Fig.19 Effect of axial compression ratio of original column on the horizontal bearing capacity

图20 原柱轴压比对损伤发展的影响
Fig.20 Effect of axial compression ratio of original column on damage development

2) 原柱初始压弯应力的影响

上述探讨了原柱轴压比的影响,但实际工程的待加固柱只受轴心力的情况较少,大多承受压弯组合应力,本文针对原柱初始压弯组合应力的影响进行相关研究。

首先计算原柱在加固前的M-N曲线,即图21中的RC柱曲线,并从该曲线上选取7组压弯荷载(P1~P7),作为原柱的初始应力。然后建立7个加固柱模型(P1~P7),在各个模型上分别施加上述7组初始压弯应力,此外还有无初始压弯应力的加固柱模型P0,计算P0~P7共8条M-N曲线,亦绘于图21。其中,弯矩方向以原柱初始弯矩方向为正。

从图21可以看出,P0~P7试件的M-N曲线,在下部基本重合,在顶部处存在着一定差异。图21顶部虚框内的L0线,表示的是无初始压弯应力的加固柱P0的M-N极限承载力,而虚框中的其他线,展示的是有初始压弯应力的加固柱P1~P7的M-N极限承载力。由图可见,当加固柱轴压比较大的时候,初始压弯应力的存在对加固柱承载力有影响,尤其表现为轴心受压承载力显著降低。图22为P1~P7的承载力相较于P0的降幅,包括轴心抗压承载力Nu、正向最大受弯承载力、负向最大受弯承载力。可见,无论是正向还是负向的最大受弯承载力,其降幅均在在2%以内,但轴心受压承载力降低了3%~10%,则影响较为明显。在考虑初始压弯组合应力的P1~P7中,原柱接近界限破坏的工况(P4、P5)较为不利。因此,在实际加固前,应准确评估和预测原柱和加固柱应力状态。

图21 不同原柱初始应力组合下的加固柱M-N曲线
Fig.21 M-N curves of strengthened columns under different initial stress combinations

图22 不同原柱初始应力组合下的加固柱压弯承载力降幅
Fig.22 Reduction of compressive and flexural capacity of strengthened columns under different initial stress combinations

3.6 原柱震损情况的影响

地震发生后,结构的主要受力构件通常会受到不同程度的损伤,为探讨原柱震损情况对加固柱抗震性能的影响,本文设置了3组共9个加固柱模型。其中各组的初始轴压比npre分别为0.29、0.58、0.87,每组内再包含3个不同初始位移角δpre的模型,其中δpre分别为0、1/550、1/50,取值参考了《建筑抗震设计规范》GB 50011―2010中关于层间位移角的弹性限值和塑性限值。在纤维梁模型中,结合ABAQUS生死单元技术,原柱先在初始轴压比下承受反复水平荷载,当位移角达到δpre后卸载,再进行加固柱的滞回分析。

由于3种初始轴压比下的分析结果类似,图23~图25以部分轴压比为例进行说明,其中图25为各级滞回环的耗能水平发展曲线,可以看出,相比于原柱无震损的加固柱,原柱有震损的加固柱在抗侧承载力、刚度和耗能水平等指标上均略有降低,其中原柱轴压比越大,抗侧承载力的降幅越明显,具体如表3所示。同时,由不同震损情况的原柱,经相同措施加固而来的加固柱,其抗震性能差异较小,说明针对不同震损程度的原柱,钢套管可有效地对原柱以及填充混凝土提供套箍约束作用,大幅提高抗震性能。

图23 原柱震损情况对抗侧承载力的影响
Fig.23 Effect of seismic damage of original column on horizontal bearing capacity

图24 原柱震损对刚度的影响(npre=0.87)
Fig.24 Effect of seismic damage of original column on stiffness(npre=0.87)

图25 原柱震损对耗能的影响(npre=0.87)
Fig.25 Effect of seismic damage of original column on energy consumption (npre=0.87)

表3 原柱震损参数化分析结果
Table 3 Parametric analysis results of original columns with seismic damage

注:总滞回耗能Σ为各级滞回环的耗能总和。

承载力P 初始刚度K 总滞回耗能Σ npre δpre 计算结果/kN降幅/(%)计算结果/(kN·mm)降幅/(%)计算结果/(kN·mm)降幅/(%)0 112 — 25.35 — 22905 —0.291/550 111 0.89 24.58 5.77 22344 10.20 1/50 109 2.68 23.92 8.31 22129 11.06 0.58 0 124 — 26.09 — 22559 —1/550 121 2.42 24.87 4.68 22239 10.62 1/50 119 4.03 23.99 8.06 22045 11.40 0.87 0 130 — 26.71 — 24882 —1/550 119 8.46 24.79 4.97 24134 3.00 1/50 117 10.00 24.55 5.91 23998 3.55

4 结论

本文为探讨采用钢套管再生混凝土加固方法的抗震性能,首先对一批钢套管再生混凝土加固柱试件进行低周反复加载试验研究,随后在有限元软件ABAQUS中,利用试验数据对纤维梁模型进行校验,并针对上述加固方法得到的钢筋混凝土柱,研究其影响参数,得出以下几个主要结论:

(1)钢套管再生混凝土加固方法能显著提升钢筋混凝土柱的抗震性能,加固后的构件,其抗侧承载力可达原柱的1.86倍~3.44倍,且延性和耗能水平均有明显改善。

(2)在所研究的参数范围内,当轴压比n≤0.58时,加固柱抗侧承载力随轴压比的增大而提高;当n>0.58时,随轴压比的增大,加固柱抗侧承载力下降显著,且损伤发展速度加快。且当n<0.9时,加固柱的耗能水平随轴压比的增加而提高。

(3)提高钢套管厚度可提升加固柱的抗震性能,但提升幅度逐渐放缓,应兼顾经济效益选择合理的钢套管厚度。

(4)原柱轴压比对加固柱力学性能的影响与破坏模式有关,对于受压破坏的加固柱,原柱初始轴压力对其抗侧承载力有劣化效应;对于受拉破坏的加固柱,若原柱存在初始轴压力则在一定程度上提高其抗侧承载力。此外,初始压弯组合应力主要对高轴压比下的加固柱产生影响,其中使原柱接近界限破坏时最为不利。

(5)在核心混凝土处于钢套管有效约束的前提下,填充的再生混凝土对构件整体承载力的影响不明显,但使得构件的抗震性能有所下降。

综上所述,钢套管再生混凝土加固方法可大幅改善构件抗震性能,并有效减缓损伤发展。在实际工程中,应准确评估和预测原柱和加固柱的应力状态,制定经济可行的加固方案,既保证构件安全,又避免材料浪费。

参考文献:

[1]Chai Y H, Priestley M J N, Seible F.Analytical model for steel-jacketed RC circular bridge columns [J].Journal of Structural Engineering, 1994, 120(8): 2358―2376.

[2]Priestley M J N, Seible F, Xiao Y, et al.Steel jacket retrofitting of reinforced concrete bridge columns for enhanced shear strength-Part 1: Theoretical considerations and test design [J].ACI Structural Journal,1994, 91(5): 394―405.

[3]Priestley M J N, Seible F, Xiao Y, et al.Steel jacket retrofitting of reinforced concrete bridge columns for enhanced shear strength-Part 2: Test results and comparison with theory [J].ACI Structural Journal, 1994,91(5): 537―551.

[4]Xiao Y, Wu H.Retrofit of reinforced concrete columns using partially stiffened steel jackets [J].Journal of Structural Engineering, 2003, 129(6): 725―732.

[5]Cai Jian, Xu Jin.Ultimate strength of reinforced concrete columns strengthened by circular steel jacketing [J].Journal of South China University of Technology(Natural Science Edition), 2007, 35(10): 78―83.

[6]卢亦焱, 龚田牛, 张学朋, 等.外套钢管自密实混凝土加固钢筋混凝土圆柱轴压受力分析[J].工程力学,2013, 30(9): 158―165.Lu Yiyan, Gong Tianniu, Zhang Xuepeng, et al.Theoretical analysis of circular RC column strengthened with self-compacting concrete filled circular steel jacket under axial loading [J].Engineering Mechanics, 2013,30(9): 158―165.(in Chinese)

[7]卢亦焱, 薛继锋, 龚田牛, 等.钢管自密实混凝土加固钢筋混凝土圆形短柱偏压性能研究[J].工程力学,2015, 32(8): 164―171, 181.Lu Yiyan, Xue Jifeng, Gong Tianniu, et al.Eccentric-loaded behavior of circular RC columns strengthened with self-compacting concrete filled steel tubes [J].Engineering Mechanics, 2015, 32(8): 164―171, 181.(in Chinese)

[8]卢亦焱, 梁鸿骏, 李杉, 等.方钢管自密实混凝土加固钢筋混凝土方形截面短柱轴压性能试验研究[J].建筑结构学报, 2015, 36(7): 43―50.Lu Yiyan, Liang Hongjun, Li Shan, et al.Experimental study on behavior of square RC columns strengthened with self-compacting concrete filled square steel tubes under axial load [J].Journal of Building Structures, 2015,36(7): 43―50.(in Chinese)

[9]Loo Y H, Tam C T, Ravindrarajah R S.Recycled concrete as fine and coarse aggregate in concrete [J].Magazine of Concrete Research, 1987, 39(141): 214―220.

[10]Ajdukiewicz A, Kliszczewicz A.Influences of recycled aggregates on mechanical properties of HS/HPC [J].Cement & Concrete Composites, 2002, 24(2): 269―279.

[11]Yang Y F, Ma G L.Experimental behaviour of recycled aggregate concrete filled stainless steel tube stub columns and beams [J].Thin-Walled Structures, 2013, 66(3):62―75.

[12]吴波, 刘伟, 刘琼祥, 等.薄壁钢管再生混合短柱轴压性能试验研究[J].建筑结构学报, 2012, 33(9): 22―28.Wu Bo, Liu Wei, Liu Qiongxiang, et al.Axial behavior of thin-walled steel stub columns filled with demolished concrete segment/lump [J].Journal of Building Structures, 2012, 33(9): 22―28.(in Chinese)

[13]Xiao J, Huang Y, Yang J, et al.Mechanical properties of confined recycled aggregate concrete under axial compression [J].Construction & Building Materials,2012, 26(1): 291―295.

[14]Wang Y, Chen J, Geng Y.Testing and analysis of axially loaded normal-strength recycled aggregate concrete filled steel tubular stub columns [J].Engineering Structures,2015, 86(5): 192―212.

[15]张向冈, 陈宗平, 王讲美, 等.钢管再生混凝土长柱偏压性能研究[J].工程力学, 2013, 30(3): 331―340.Zhang Xianggang, Chen Zongping, Wang Jiangmei, et al.Study on eccentric compression behaviors of recycled aggregate concrete filled steel tubular long columns[J].Engineering Mechanics, 2013, 30(3): 331―340.(in Chinese)

[16]陈宗平, 张向冈, 薛建阳, 等.圆钢管再生混凝土柱抗震性能与影响因素分析[J].工程力学, 2016, 33(6):129―137.Chen Zhongping, Zhang Xianggang, Xue Jianyang, et al.Analysis on aseismic performance and influence factors of recycled concrete filled circular steel-tube columns [J].Engineering Mechanics, 2016, 33(6): 129―137.(in Chinese)

[17]He A, Cai J, Chen Q J, et al.Axial compressive behaviour of steel-jacket retrofitted RC columns with recycled aggregate concrete [J].Construction & Building Materials, 2017, 141: 501―516.

[18]胡潇, 钱永久.考虑二次受力圆形钢套管加固钢筋混凝土短柱轴心受压承载力研究[J].工程抗震与加固改造, 2013, 35(5): 36―41.Hu Xiao, Qian Yongjiu.Study of bearing capacity of reinforced concrete short column strengthened by circular steel tube under axial loading considering twice loading[J].Earthquake Resistant Engineering and Retrofitting,2013, 35(5): 36―41.(in Chinese)

[19]权少华.加固钢筋混凝土梁、柱构件的抗震性能研究[D].天津: 天津大学, 2017.Quan Shaohua.Study on seismic behavior of reinforced concrete beams and columns [D].Tianjin: Tianjin University, 2017.(in Chinese)

[20]余勋藩.粘钢加固钢筋混凝土柱有限元分析与参数化研究[D].广州: 华南理工大学, 2015.Yu Xunfan.Parameterization and finite element analysis for RC column strengthening with externally bonded steel frame [D].Guangzhou: South China University of Technology, 2015.(in Chinese)

[21]聂建国, 王宇航.基于ABAQUS的钢-混凝土组合结构纤维梁模型的开发及应用[J].工程力学, 2012,29(1): 70―80.Nie Jian-guo, Wang Yu-hang.Development and application of steel-concrete composite fiber beam model in abaqus platform [J].Engineering Mechanics, 2012,29(1): 70―80.(in Chinese)

[22]王强, 朱丽丽, 李哲, 等.ABAQUS显式分析梁单元的混凝土、钢筋本构模型[J].沈阳建筑大学学报(自然科学版), 2013, 29(1): 56―64.Wang Qiang, Zhu Lili, Li Zhe, et al.Study on the constitutive model of concrete and steel for explicit dynamic beam elements of ABAQUS [J].Journal of Shenyang Jianzhu University (Natural Science), 2013,29(1): 56―64.(in Chinese)

[23]雷拓, 刘伯权, 刘锋.基于ABAQUS隐式分析的梁单元材料模型开发应用[J].中南大学学报(自然科学版),2013(8): 3503―3511.Lei Tuo, Liu Boquan, Liu Feng.Development and application of material constitutive models based on ABAQUS/Standard beam elements[J].Journal of Central South University (Science and Technology), 2013(8):3503―3511.(in Chinese)

[24]禚一, 李忠献.精细化纤维梁柱单元模拟分析平台FENAP的开发[J].震灾防御技术, 2010, 5(2): 242―247.Zhuo Yi, Li Zhongxian, Li Ning.FENAP simulation platform for refined beam-column fiber element [J].Technology for Earthquake Disaster Prevention, 2010,5(2): 242―247.(in Chinese)

[25]黎哲.基于ABAQUS纤维梁单元的钢套管加固柱抗震性能研究[D].广州: 华南理工大学, 2018.Li Zhe.Research on seismic behavior of RC column strengthened with steel-jacket based on ABAQUS fiber beam element [D].Guangzhou: South China University of Technology, 2018.(in Chinese)

[26]韩林海.钢管混凝土结构: 理论与实践[M].北京: 科学出版社, 2007.Han Linhai.Concrete filled steel tube structure: Theory and practice [M].Beijing: Science Press, 2007.(in Chinese)

[27]杨有福.钢管再生混凝土构件荷载-变形关系的理论分析[J].工业建筑, 2007, 37(12): 1―6.Yang Youfu.Theoretical research on load-deformation relations of recycled aggregate concrete-filled steel tubular members [J].Industrial Construction, 2007,37(12): 1―6.(in Chinese)

[28]Menegotto M.Method of analysis for cyclically loaded R.C.plane frames including changes in geometry and non-elastic behavior of elements under combined normal force and bending [C]// Cosandey M.Resistance and Ultimate Deformability of Structures Acted on by Well Defined Repeated Loads.Zurich: International Association for Bridge and Structural Engineering, 1973:15―22.

[29]何铭基.带转换高层框架结构基于变形和损伤的抗震性能评估方法研究[D].广州: 华南理工大学, 2013.He Mingji.Methodology study on seismic performance assessment based on deformation and damage for frame structure with transfer story [D].Guangzhou: South China University of Technology, 2013.(in Chinese)

INVESTIGATION ON SEISMIC BEHAVIOR AND INFLUENCING PARAMETERS OF STEEL-JACKET STRENGTHENED COLUMNS WITH RECYCLED AGGREGATE CONCRETE

CHEN Qing-jun1,2 , LIANG Jun-jie1 , CAI Jian1,2 , LI Zhe1 , HE An1 , ZUO Zhi-liang1,3
(1.School of Civil Engineering and Transportation, South China University of Technology, Guangzhou, Guangdong 510641, China 2.State Key Laboratory of Subtropical Building Science, South China University of Technology, Guangzhou, Guangdong 510641, China 3.Faculty of Civil Engineering and Geosciences, Delft University of Technology, Delft, The Netherlands)

Abstract: To investigate the aseismic behavior of steel-jacket strengthened columns with recycled aggregate concrete, low-cycle reversed loading tests were conducted on one normal reinforced concrete column and nine steel-jacket strengthened columns with recycled aggregate concrete.Then in ABAQUS, using the fiber beam model verified by experiments, the numerical simulation on steel-jacket strengthened columns was conducted, and the related influencing factors were analyzed by parametric analysis.The results show that the aseismic behavior of columns is significantly improved by taking this strengthen scheme.Based on the range of parameters adopted in this research, the lateral resistance capacity increases with the increase of axial compression ratio in a range less than 0.58, but it decreases obviously and the degree of damage develops faster with the increase of axial compression ratio in a range larger than 0.58.The aseismic performance can be improved by increasing the thickness of steel-jacket, but the effect gradually decreases with the increase of thickness.The axial compression ratio of the original column has a great influence on the mechanical properties and failure modes of the strengthened column, and the initial compressive-bending stress significantly reduces the flexural capacity of the strengthened columns which have high axial compression ratio.When the strengthened column is under the effective constraint of steel-jacket, the influence of recycled aggregate concrete on the overall bearing capacity of columns is not obvious, but it would lead to the decrease of aseismic performance.

Key words: steel jacket; recycled aggregate concrete; low-cycle reversed loading test; fiber beam model;parametric analysis

中图分类号:TU398

文献标志码:A doi: 10.6052/j.issn.1000-4750.2019.01.0015

文章编号:1000-4750(2019)12-0206-12

收稿日期:2019-01-19;修改日期:2019-06-10

基金项目:国家自然科学基金项目(51578246);广东省自然科学基金项目(2017A030313263);华南理工大学亚热带建筑科学国家重点实验室自主研究课题项目(2018ZC11)

通讯作者:蔡 健(1959―),男,广东潮州人,教授,博士,主要从事混凝土结构、组合结构、结构抗震等研究(E-mail: cvjcai@scut.edu.cn).

作者简介:

陈庆军(1975―),男,广东潮州人,副教授,博士,主要从事钢-混凝土组合结构、结构仿真分析等研究(E-mail: qjchen@scut.edu.cn);

梁竣杰(1994―),男,广东广州人,硕士生,主要从事结构仿真分析研究(E-mail: journal@junjie.im);

黎 哲(1993―),女,广西玉林人,硕士,主要从事结构仿真分析研究及结构设计(E-mail: lizhe_0326@163.com);

何 岸(1989―),男,广东揭阳人,博士,主要从事钢-混凝土组合结构研究(E-mail: an.he@mail.scut.edu.cn);

左志亮(1982―),男,广东广州人,副教授,博士,主要从事钢-混凝土组合结构研究(E-mail: ctzlzuo@scut.edu.cn).