侧移曲线对基于位移设计的多层自复位摩擦耗能支撑钢框架抗震性能影响研究

徐龙河,杨雪飞

(北京交通大学土木建筑工程学院,北京 100044)

摘 要:采用直接基于位移的抗震设计方法时需预先确定结构的侧移曲线,但侧移曲线对设计结果和结构抗震性能的影响有待研究,为此该文以自复位摩擦耗能支撑钢框架为例,考虑结构非线性程度和层数,分析了3种典型侧移曲线对结构抗震性能的影响,为该类支撑钢框架结构的侧移曲线选择提供依据。结果表明:侧移曲线对3层支撑框架的基底剪力设计值影响不大,但对6层支撑框架的基底剪力有明显影响;楼层设计位移角随设计侧移曲线变化而变化,最终导致楼层设计刚度差别较大;3层以下低层自复位摩擦耗能支撑钢框架结构的实际侧移表现为线型,设计时建议采用线型侧移曲线,6层左右的多层结构的实际侧移表现为弯曲型,建议采用弯曲型侧移曲线进行设计。

关键词:直接基于位移的抗震设计;侧移曲线;自复位支撑结构;性能水平;时程分析

近年来强调结构在地震作用下不仅能保证生命安全,而且能在震后快速修复、减小对正常使用影响的可恢复功能结构成为我国地震工程研究的新趋势。结构震后能否正常使用或快速修复主要取决于两个位移指标——位移角和残余位移角,当位移角不超过1.0%时非结构构件基本可用,残余位移角小于0.2%时结构构件无需修复,而当残余位移角大于0.5%时结构丧失修复价值[1]。支撑是一种常用的抗侧力构件,较普通支撑而言,防屈曲支撑具有饱满的滞回曲线和较好的耗能能力[2],其滞回曲线如图1所示,但是该类支撑卸载时会出现较大残余变形,不利于结构的震后修复。为减少支撑结构的残余变形,提高结构的功能可恢复性,国内外学者提出了具有旗形滞回特点的自复位耗能支撑[3―5],滞回曲线如图2所示,该类支撑卸载后的残余变形得到大幅减小。

图1 防屈曲支撑滞回曲线
Fig.1 Hysteretic curve of buckling-restrained brace

图2 自复位耗能支撑滞回曲线
Fig.2 Hysteretic curve of self-centering energy dissipation brace

目前各国规范普遍采用基于强度的抗震设计方法进行结构设计,但是近年来的数次地震导致了巨大的经济损失,基于强度的抗震设计已不能满足要求,强调结构在不同水准地震作用下达到预期损伤或破坏程度的基于性能的抗震设计理念日益得到重视[6―7]。由于结构的破坏状态主要与结构变形相关,所以用变形(位移)作为设计指标能更好地实现基于性能的抗震设计理念[8]。在各类基于位移的抗震设计(Displacement-based design, DBD)方法中,直接基于位移的抗震设计(Direct displacementbased design, DDBD)通过结构在一定水准地震作用下的位移需求确定结构构件的强度和刚度需求,设计过程无需迭代,所以更适合可恢复功能结构的设计[9]。周颖等[10]提出了自复位剪力墙结构的DDBD法,并通过一算例验证了方法的有效性;楚留声等[11]研究了型钢混凝土柱-钢梁混合框架结构的DDBD法,结果表明该方法能使结构实现预期的抗震性能目标。在支撑结构的DDBD法研究方面,Wijesundara等[12]和Della等[13]提出了考虑普通支撑屈曲影响的DDBD法,Zhu等[14]采用DDBD法对一自复位摩擦耗能支撑结构进行设计,结果表明所设计的结构具有较好的抗震性能。

本文基于预压碟簧自复位摩擦耗能(Prepressed spring self-centering energy dissipation,PS-SCED)支撑[4],以PS-SCED支撑钢框架结构为对象,采用DDBD法进行设计,考虑结构非线性和结构层数等因素,研究了不同设计侧移曲线对设计结果和结构抗震性能的影响,通过对比结构实际侧移曲线与设计侧移曲线以及结构实际抗震性能与预期性能目标,给出了设计侧移曲线的选取建议。

1 PS-SCED支撑钢框架结构的DDBD法设计步骤

PS-SCED支撑钢框架结构的抗侧能力主要由支撑提供,其设计步骤如下:

1) 根据结构平面布置和荷载初选梁柱截面;

2) 选择抗震性能目标,确定结构在某一地震动水准下的损伤或破坏等级并采用量化的位移指标予以量化。抗震规范依据破坏等级给出了可供参考的性能目标,如表1所示,钢结构竖向构件对应不同破坏等级的最大位移角参考值如表2所示[15]

3) 将多自由度结构转化为等效单自由度(Single degree of freedom,SDOF)体系。等效单自由度体系的参数按下式计算:

式中:δeqmeq分别为等效单自由度体系的等效位移和等效质量;miδi分别为多自由度结构第i层楼层质量和楼层设计位移。

表1 结构性能目标
Table 1 Target performance of structure

地震水准 性能1 性能2 性能3 性能4多遇地震 完好 完好 完好 完好设防地震完好,正常使用基本完好,检修后继续使用轻微损坏,简单修理后继续使用轻微至接近中等破坏罕遇地震基本完好,检修后继续使用轻微至中等破坏,修复后使用其破坏需加固后继续使用接近严重破坏,大修后继续使用

表2 层间位移角参考值
Table 2 Reference value of inter-story drift ratio

结构类型 完好 轻微损坏 中等破坏 不严重破坏钢结构 1/300 1/200 1/100 1/55

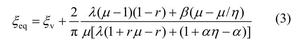
4) 确定框架的延性需求μ,计算结构等效阻尼比ξeqμ由结构的设计需求决定,ξeq按下式计算[16]

式中:ξv为结构初始粘滞阻尼比,对钢结构取0.02;μ由框架极限位移δu与屈服位移δy之比确定;λ为框架屈服力Fy与支撑激活力水平分量Fa之比,初步设计时可取1/3;r为框架屈服后刚度与弹性抗侧刚度kf之比,一般取0.05;β为PS-SCED支撑摩擦力与激活力之比,β越大则支撑耗能能力越强但复位能力降低,综合考虑支撑的复位能力和耗能能力,β一般取0.5;η为支撑极限位移水平分量(等于δu)与激活位移水平分量δa之比,即支撑的延性系数,为使支撑的激活位移与框架屈服位移之比不大于2/3[15],要求(μ/η)≤(2/3);α为支撑刚度比。支撑与框架的骨架曲线如图3所示,其中为支撑轴向刚度kb的水平分量。

图3 支撑和框架的骨架曲线
Fig.3 Skeleton curves of brace and frame

5) 建立设计位移需求谱。位移需求谱可由加速度设计反应谱或实际地震波生成,建立位移谱时应考虑ξeq的影响,对位移谱进行折减;

6) 由设计位移谱和δeq确定结构的等效周期Teq,如图4所示,由式(4)确定结构等效刚度keq

图4 设计位移谱
Fig.4 Design displacement spectra

7) 由keqδeq按式(5)计算基底剪力设计值Vb,并按式(6)求解各楼层地震作用Fi和层剪力;

8) 校核梁柱承载力。根据计算层剪力和支撑参数校核梁柱,确保梁柱能使支撑充分发挥作用。

2 结构侧移形状影响

2.1 侧移形状选择

目前用于衡量结构性能水平的位移指标多为层间位移角[2,15],尚未有合适的整体位移指标能够描述结构层间破坏程度。由设计步骤3)可看出,求解等效单自由度参数时需要先计算结构第i层的位移δi,而δi取决于所选择的层间位移角指标的大小和结构侧移形状。Priestley等[17]建议支撑框架的侧移形状可按下式计算:

式中:φi为结构第i层与顶层的相对位移之比,式(7)仅是采用层高进行计算的一种方法;Hi为结构第i层高度;Ht为结构顶层高度。

当层高相同时,由式(7)得到的侧移形状为线型,且各层层间位移角均相等。与线型侧移曲线不同,Sullivan [18]在用DDBD法设计偏心支撑结构时采用类似于剪切型的侧移曲线,即层间位移角由下而上逐渐减小。Krawinkler等[19]和简斌等[20]则提出采用结构的1阶振型作为简化的侧移曲线。此外,Chen等[21]也按框架的1阶振型将多自由度的屈曲约束支撑框架转化为等效单自由度体系,其给出的解释是侧移形状均是经过假定给出的,并且无理论依据作为支撑。然而钱稼茹等[22]指出支撑框架的侧移主要由杆件的轴向变形引起,其侧移形状类似于剪力墙的弯曲型侧移形状,即层间位移角由下而上逐渐增大。线型、剪切型和弯曲型侧移曲线对比如图5所示。

图5 侧移曲线对比
Fig.5 Comparison of lateral displacement curves

以上分析表明不同研究者采用的侧移曲线有所差异,目前尚无统一的侧移曲线用于支撑结构的DDBD法。

2.2 侧移形状对结构设计的影响

2.2.1 对等效SDOF体系参数的影响

层高相同时,按式(7)计算的δi为:

式中:n为结构层数;δt为结构顶层设计位移。

按非线性侧移形状计算的δi为:

式(8)、式(9)说明按不同侧移形状计算的δi不同。而δi直接影响了等效SDOF的δeqmeq的取值。

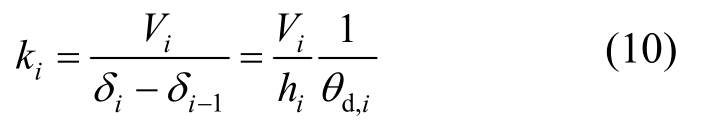
2.2.2 对楼层设计刚度的影响

楼层设计刚度ki取决于楼层设计剪力和设计层间位移(角),可由下式求出:

式中,Vihiθd,i分别为结构第i层设计层剪力、层高和设计位移角。不同侧移曲线下θd,i不同,若假定Vi不变,则采用弯曲型侧移曲线设计得到的结构底层刚度将大于采用线性侧移曲线的设计结果,由线性侧移曲线设计得到的结构上部楼层刚度将小于采用剪切型侧移曲线的设计结果。

3 自复位支撑框架设计与分析

分析表明侧移曲线会影响DDBD法的设计结果。而支撑结构侧移曲线的影响因素包括支撑是否屈曲、结构层数、高阶振型、结构非线性发展程度等。PS-SCED支撑不存在屈曲,中低层结构可以不考虑高阶振型的影响[19],所以结构非线性和层数是中低层PS-SCED支撑框架结构侧移曲线的主要影响因素,而结构非线性可以认为与地震水平正相关,故本节采用3种侧移曲线,考虑结构层数和地震水平的影响,对PS-SCED支撑框架基于DDBD法设计,通过对比结构实际侧移曲线与设计侧移曲线以及结构实际抗震性能与预期性能目标的差异,给出设计侧移曲线的选取建议。

3.1 结构设计信息

选取3层和6层钢结构,楼面恒载5 kN/m2,活载2 kN/m2,其平面布置如图6(a)所示,抗侧力体系仅有布置在四周的PS-SCED支撑框架,除与支撑相连的柱外,其余柱均为重力柱,不提供抗侧。由于平面布置规则对称,故仅取①轴BC跨的支撑框架进行分析,支撑人字形布置,跨度6 m,层高4 m,梁柱刚接,其立面如图6(b)所示。为考虑支撑框架的实际水平惯性力,在每层柱顶施加67.5 t的附加质量,该附加质量不提供重力。梁柱考虑材料和几何非线性,并且梁上施加9 kN/m的竖向均布荷载,每层柱顶施加81 kN的竖向集中力。8度抗震设防,设计基本加速度0.20 g,II类场地。3层和6层结构的设计地震分组分别为第1组和第3组,设计特征周期Tg分别为0.35 s和0.45 s。

图6 结构平立面
Fig.6 Plan and elevation of the structure

选取表1的性能2作为设计目标,基于中震和大震对结构进行设计,量化的位移角指标根据表2确定,最终选择的性能目标汇于表3。基于中震和大震设计时,框架的延性系数μ分别取1和1.25。

表3 选择的结构设计目标
Table 3 The selected target performance of structure

地震水平 中震 大震破坏等级 完好 中等破坏层间位移角限值 1/300 1/100

选取的3种侧移曲线分别为凸型,凹型和式(7)确定的线型。凸型用于近似弯曲型侧移曲线,凹型用于近似剪切型侧移曲线,其分别由铰接和刚接框架的一阶振型确定。图7给出了3层和6层结构3种侧移曲线的对比,凸型和凹型侧移曲线能反映弯曲型和剪切型侧移曲线的特征,表明采用的侧移曲线具有合理性。

图7 设计侧移曲线
Fig.7 The design lateral displacement curves

3.2 设计结果

根据所选的性能目标和侧移曲线,按照前述8个步骤设计PS-SCED支撑框架结构,其中支撑的激活位移和刚度比分别取3.5 mm和0.05。采用文献[23]提出的转换方法将设计加速度谱转换为设计位移谱,按照该方法得到的谱曲线能够反映谱位移在不同周期段的特点。最终设计的梁柱截面尺寸分别为HM300×200×8×12和HM400×300×10×16,3层和6层结构基底剪力设计值和各层支撑第一刚度kb由表4、表5给出。

图8、图9分别给出了3层和6层结构采用3种侧移曲线设计得到的Vb和首层支撑kb的对比。对3层结构,基于中震和大震设计时,不同侧移曲线得到的Vb差别不大,最大与最小相差7%左右;但6层结构不同侧移曲线设计得到的Vb差别较明显,最大与最小相差13%左右。

表4 3层结构Vb和支撑kb设计值
Table 4 Design value of brace kb and Vb of the 3-story structure

设计参数 线型 凸型 凹型地震水平设计参数 楼层中震大震 中震 大震 中震大震3 5558 69 73 6368 kb/(kN/mm)2 9096 107 118 102108 1 108116 125 149 122139 Vb/kN 480625 516 667 517669

表5 6层结构Vb和支撑kb设计值
Table 5 Design value of brace kb and Vb of the 6-story structure

设计参数 线型 凸型 凹型地震水平设计参数 楼层中震 大震 中震 大震 中震大震6 5558 70 75 6474 kb/(kN/mm)5 100106 124 133 117131 4 135145 163 177 159172 3 165175 190 212 189202 2 180195 207 240 209226 1 190202 217 270 226265 Vb/kN 8431096 885 1147 9541239

图8 Vb设计值对比
Fig.8 Comparison of the design value of Vb

图9 首层支撑kb对比
Fig.9 Comparison of kb of the first story

3层结构的Vb虽相差不大,但不同曲线设计得到的底层支撑kb相差较大,中震和大震时分别相差16%和28%,其原因是DDBD法基于层间位移设计支撑刚度,而采用不同侧移曲线时,结构的层间设计位移角不同,线型侧移下的最大,凸型侧移下的最小,由此造成了刚度的偏差,6层结构亦如此。

3.3 结构抗震性能分析

对设计的结构进行时程分析,3层和6层结构所用的地震波见表6,均根据加速度设计反应谱选取。中震和大震的PGA分别为0.2 g和0.4 g

表6 地震波选择
Table 6 Selection of ground motions

结构层数 地震波 地震名称 台站 年份E1 Borrego El Centro#9 1942 3层E2 San Fernando Hemet Fire 1971 E3 人工波1 — —E4 Imperial Valley-05 El Centro#9 1955 6层E5 Lytle Creek Wrightwood 1970 E6 人工波2 — —

3.3.1 3 层结构位移响应分析

3层结构的不利地震动为E1,故对该条地震波下的结构侧移进行分析。中震和大震下,结构实际侧移曲线与设计侧移曲线的对比见图10。实际侧移曲线由时程分析计算的第i层侧移与顶层侧移之比得到。图10表明,在中震和大震下,基于不同侧移曲线设计的结构的实际侧移形状差别不大,且均类似于线型。图11对比了结构各层最大位移角与设计位移角,可以看出,基于3种侧移曲线设计的结构在中震下的位移角均大于相应曲线的设计值,且均大于1/300的限值,原因是中震的位移角限值小于结构屈服位移角,而基于中震设计时仍取μ等于1,使计算的ξeq偏大,从而导致设计基底剪力偏小。如若取表2钢结构发生轻微损坏的1/200作为限值(该种情况下μ也等于1),则结构各层位移角均在该限值附近。以上表明,对于位移角限值小于屈服位移角的情况,按式(3)计算的ξeq应进行修正。基于线型、凸型、凹型曲线设计的结构在大震下的最大位移角分别为1.12%、1.11%、1.12%,与1%的限值接近,基本满足结构在大震下的性能目标,并且结构2层、3层的位移角接近相等,符合线型侧移曲线各层层间位移角相等的特点。综合上述分析及考虑到侧移曲线计算方便的原因,基于DDBD法设计低层自复位摩擦耗能支撑结构时建议采用线型侧移曲线。

图10 3层结构侧移曲线
Fig.10 Lateral displacement curve of 3-story structure

图11 3层结构位移角
Fig.11 Inter-story drift ratios of 3-story structure

3.3.2 6 层结构位移响应分析

6层结构的不利地震动为E4,故对该条地震波下的结构侧移进行分析。结构在中震和大震下的实际侧移与设计侧移曲线的对比如图12所示。与3层结构相同的是,基于不同侧移曲线设计的结构在中震和大震下的实际侧移差别不大,不同的是结构实际侧移均类似于凸型设计曲线。

图13给出了6层结构的位移角分布,基于线型、凸型和凹型曲线设计的结构在中震下的最大位移角分别为0.678%、0.684%、0.721%,均大于1/300的限值,其原因与3层结构类似。基于3种曲线设计的结构在大震下的最大位移角分别为1.130%、0.871%、0.854%,基本满足1%的位移角限值要求。图13还表明,采用凸型和凹型曲线设计的结构在地震作用下的位移角总体小于线型曲线设计的结构,前两种曲线得到的设计基底剪力更大(表5)是原因之一,但主要原因是设计侧移曲线对楼层刚度的影响(式(10)),由凸型和凹型侧移曲线得到的层设计位移角更小,故按这两种曲线设计的楼层刚度更大。

图12 6层结构楼层曲线
Fig.12 Lateral displacement curve of 6-story structure

图13 6层结构位移角
Fig.13 Inter-story drift ratios of 6-story structure

从结构位移角分布趋势看,采用3种曲线设计时,实际位移角都总体呈现出从下到上逐渐增大的特点,与凸型侧移曲线的特点相同,而与凹型设计侧移曲线位移角由下到上先增大后减小和线型设计侧移曲线各层位移角均相同的特点不符。故综合考虑结构设计侧移曲线与实际侧移的差异以及结构位移角分布特点,建议对多层自复位摩擦耗能支撑结构基于DDBD法设计时采用弯曲型设计侧移曲线,在无表达式可确定该曲线取值的情况下可考虑采用本文确定凸型侧移曲线的方法。

4 结论

本文研究了DDBD法中设计侧移曲线对3层和6层自复位摩擦耗能支撑钢框架结构设计的影响,所得结论如下:

(1)设计侧移曲线对3层自复位摩擦耗能支撑钢框架的基底剪力设计值影响不大,对6层支撑框架的基底剪力影响明显;侧移曲线不同则结构的层位移角设计值不同,导致结构楼层刚度设计值差别较大。

(2)基于DDBD法设计自复位摩擦耗能支撑钢框架时,设计侧移曲线对结构的实际侧移形状影响不显著;基于3种侧移曲线设计的3层支撑框架在地震作用下的实际侧移均近似于线型,6层支撑框架的实际侧移则均表现出弯曲型的特点。

(3)3层以下的低层自复位摩擦耗能支撑框架结构的上部楼层位移角分布符合线型侧移曲线的位移角分布特点,建议采用线型侧移曲线进行设计;6层左右的多层自复位摩擦耗能支撑框架的位移角分布具有由下至上逐渐增大的特点,与弯曲型设计侧移曲线的特点相符,设计时建议采用弯曲型设计侧移曲线。

参考文献:

[1]FEMA 356, Prestandard and commentary for the seismic rehabilitation of buildings [S].Washington D.C., USA:Federal Emergency Management Agency, 2000.

[2]郭彦林, 童精中, 周鹏.防屈曲支撑的型式、设计理论与应用研究进展[J].工程力学, 2016, 33(9): 1―14.Guo Yanlin, Tong Jingzhong, Zhou Peng.Research progress of buckling restrained braces: types, design methods and applications [J].Engineering Mechanics,2016, 33(9): 1―14.(in Chinese)

[3]Christopoulos C, Tremblay R, Kim H J, et al.Self-centering energy dissipative bracing system for the seismic resistance of structures: development and validation [J].Journal of Structural Engineering, 2008,134(1): 96―107.

[4]Xu L H, Fan X W, Li Z X.Experimental behavior and analysis of self-centering steel brace with pre-pressed disc springs [J].Journal of Constructional Steel Research,2017, 139: 363―373.

[5]Xu L H, Xie X S, Li Z X.Development and experimental study of a self-centering variable damping energy dissipation brace [J].Engineering Structures, 2018, 160:270―280.

[6]熊二刚, 张倩.中心支撑钢框架结构基于性能的塑性抗震设计[J].振动与冲击, 2013, 32(19): 32―38.Xiong Ergang, Zhang Qian.Performance-based plastic design method for steel concentrically braced frames [J].Journal of Vibration and Shock, 2013, 32(19): 32―38.(in Chinese)

[7]梁兴文.结构抗震性能设计理论与方法[M].北京: 科学出版社, 2011: 1―15.Liang Xingwen.Theory and approach of structural performance-based seismic design [M].Beijing: Science Press, 2011: 1―15.(in Chinese)

[8]姚谦峰, 常鹏.工程结构抗震分析[M].北京: 清华大学出版社, 2012: 219―220.Yao Qianfeng, Chang Peng.Seismic analysis of engineering structures [M].Beijing: Tsinghua University Press, 2012: 219―220.(in Chinese)

[9]杨博雅, 吕西林.预应力预制混凝土剪力墙结构直接基于位移的抗震设计方法及应用[J].工程力学, 2018,35(2): 59―66, 75.Yang Boya, Lü Xilin.Direct displacement-based aseismic design and application for prestressed precast concrete shear-wall structures [J].Engineering Mechanics, 2018,35(2): 59―66, 75.(in Chinese)

[10]周颖, 顾安琪.自复位剪力墙结构四水准抗震设防下基于位移抗震设计方法[J].建筑结构学报, 2019, 40(3):118―126.Zhou Ying, Gu Anqi.Displacement-based seismic design of self-centering shear walls under four-level seismic fortifications [J].Journal of Building Structures, 2019,40(3): 118―126.(in Chinese)

[11]楚留声, 刘静, 王伸伟, 等.SRC柱-钢梁混合框架直接基于位移的抗震设计方法研究[J].工程力学, 2018,35(8): 100―110.Chu Liusheng, Liu Jing, Wang Shenwei, et al.Direct displacement-based seismic design method of SRC column-steel beam hybrid frames [J].Engineering Mechanics, 2018, 35(8): 100―110.(in Chinese)

[12]Wijesundara K K, Rajeev P.Direct displacement-based seismic design of steel concentric braced frame structures[J].Australian Journal of Structural Engineering, 2012,13(3): 243―257.

[13]Della Corte G, Mazzolani F M.Theoretical developments and numerical verification of a displacement-based design procedure for steel braced structures [C].Beijing:Proceedings of the 14th World Conference on Earthquake Engineering, 2008: 12―17.

[14]Zhu S, Zhang Y.Performance based seismic design of steel braced frame system with self-centering friction damping brace [C].Canda: Structures Congress 2008:18th Analysis and Computation Specialty Conference,2008: 1―13.

[15]GB50011―2010, 建筑抗震设计规范[S].北京: 中国建筑工业出版社, 2010.GB50011―2010, Seismic design code for buildings [S].Beijing: China Architectural Industry Press, 2010.(in Chinese)

[16]徐龙河, 杨雪飞.自复位支撑-钢框架结构直接基于位移的支撑参数设计与分析[J].工程力学,doi:10.6052/j.issn.1000-4750.2018.07.0406.Xu Longhe, Yang Xuefei.Direct displacement-based brace parameters design and analyses of steel frame with self-centering braces [J].Engineering Mechanics,doi:10.6052/j.issn.1000-4750.2018.07.0406.(in Chinese)

[17]Priestley M J N, Calvi G M, Kowalsky M J.Displacement based seismic design of structures [M].Italy: IUSS Press, 2007: 306―310.

[18]Sullivan T J.Direct displacement-based seismic design of steel eccentrically braced frame structures [J].Bulletin of Earthquake Engineering, 2013, 11(6): 2197―2231.

[19]Krawinkler H, Seneviratna G.Pros and cons of a pushover analysis of seismic performance evaluation [J].Engineering structures, 1998, 20(4/5/6): 452―464.

[20]简斌, 翁健, 金云飞.直接基于位移的预应力混凝土框架结构抗震设计方法[J].工程力学, 2010, 27(7): 205―211, 225.Jian Bin, Weng Jian, Jin Yunfei.Direct displacement-based seismic design for prestressed concrete frame structures [J].Engineering Mechanics,2010, 27(7): 205―211, 225.(in Chinese)

[21]Chen Z Y, Ge H B, Kasai A, et al.Simplified seismic design approach for steel portal frame piers with hysteretic dampers [J].Earthquake Engineering and Structural Dynamics, 2007, 36(4): 541―562.

[22]钱稼茹, 赵作周, 纪晓东, 等.高层建筑结构设计[M].北京: 中国建筑工业出版社, 2018: 31―36.Qian Jiaru, Zhao Zuozhou, Ji Xiaodong, et al.Design of high-rise building structure [M].Beijing: China Architectural Industry Press, 2018: 31―36.(in Chinese)

[23]吕洋, 熊峰, 葛琪.基于非弹性位移的土-结构相互作用的抗震设计方法[J].工程科学与技术, 2018, 50(3):142―148.Lü Yang, Xiong Feng, Ge Qi.Inelastic displacementbased seismic design method for soil-structure interaction systems [J].Advanced Engineering Sciences.2018, 50(3):142―148.(in Chinese)

INFLUENCE OF LATERAL DISPLACEMENT CURVE ON THE SEISMIC PERFORMANCE OF MULTI-STORY SELF-CENTERING FRICTION ENERGY DISSIPATION BRACED STEEL FRAMES BASED ON DISPLACEMENT DESIGN

XU Long-he , YANG Xue-fei
(School of Civil Engineering, Beijing Jiaotong University, Beijing 100044, China)

Abstract: The lateral displacement curve needs to be defined in advance when employing the direct displacement-based seismic design method, and the influence of the curve on the design results and the seismic performance of the structure require further study.Taking the self-centering friction energy dissipation braced steel frames as examples, and considering the structural nonlinearity and the number of stories, the influence of three typical lateral displacement curves on the seismic performance of the structures was analyzed.Results showed that the lateral displacement curve had little effect on the design base shear force of the 3-story braced frame, but had a noticeable effect on the base shear force of the 6-story structure.The design values of inter-story drift ratio varied with the lateral displacement curve, resulting in a great change in story design stiffness.The actual lateral displacement curve was linear-type and bending-type for 3-story braced frame and the 6-story structure, respectively.It is recommended that the linear-type displacement curve could be used for the low-story structure below 3-story and the bending-type displacement curve for the multi-story structure about 6-story.This study is expected to provide a reference for the selection of lateral displacement curves of this type of braced steel frame structures.

Key words: direct displacement-based seismic design; lateral displacement curve; self-centering braced structure;performance level; time history analysis

中图分类号:TU318;TU352.1

文献标志码:A doi: 10.6052/j.issn.1000-4750.2019.01.0014

文章编号:1000-4750(2019)12-0198-08

收稿日期:2019-01-19;修改日期:2019-03-15

基金项目:国家自然科学基金项目(51578058);北京市自然科学基金项目(8172038)

通讯作者:徐龙河(1976―),男,黑龙江人,教授,博士,博导,从事结构抗震与健康监测研究(E-mail: lhxu@bjtu.edu.cn).

作者简介:杨雪飞(1993―),男,江西人,硕士生,从事结构抗震研究(E-mail: 16121136@ bjtu.edu.cn).