含脱层单向铺设层合梁非线性后屈曲分析

李 萍,金福松,简 方,夏 飞,薛江红,熊 颖

(暨南大学力学与建筑工程学院应用力学研究所“重大工程灾害与控制”教育部重点实验室,广东,广州510632)

摘 要:采用四分区模型,将含脱层单向铺设复合材料层合板梁分为4个子梁,根据复合材料层合理论,考虑后屈曲路径上位于脱层界面上、下子梁之间的局部受力与变形机制,建立了子梁之间接触力与变形之间的非线性定量关系。在此基础上,结合可伸长梁的几何非线性理论,推导出了计及接触效应的各子梁的非线性后屈曲控制方程。设定简支板梁的边界条件以及脱层前沿处各子梁之间力和位移的连续性条件,通过对控制方程和定解条件归一化,采用小参数摄动法求解,并根据梁的平衡微分方程的特点,解析其通解与特解的构造,获得了含脱层单向铺设层合梁受轴向压力作用的临界屈曲荷载及后屈曲平衡路径的理论解。通过对含脱层单向铺设的复合材料层合梁进行数值分析,综合讨论了脱层长度和深度等对层合板梁的临界屈曲载荷及接触性能的影响,并将所得的理论解与ABAQUS有限元分析得到的结果进行对比,结果表明二者高度吻合。研究发现梁的屈曲模态包含宏观的整体失效模态和界面的微观屈曲模态。梁的屈曲荷载和接触性能都是其固有属性,前者受梁的几何参数和材料参数的影响较显著,而后者则主要受脱层的位置和大小影响。

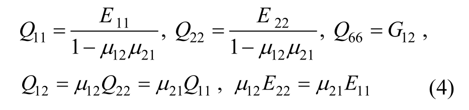
关键词:接触效应;后屈曲;层合梁;摄动法;脱层

复合材料具有显著的优势和较好的综合性能,因其质量轻,具有较高的比强度、较好的延展性以及可设计性好等优点,已被广泛应用于军事和航空航天等领域,现有用于航天设备的复合材料可使质量减少20%~30%,对整体技术的提高和战术水平的提高无疑有着显著的效果。由于层合板是由单层板一层一层地堆叠铺设粘结而成,这种特殊的构造方式使单层板层间的剪切强度和单层板层间的拉伸强度不足,容易引起材料发生破坏,形成分层,亦称为脱层。据目前的研究表明,脱层缺陷是复合材料层合板中一种相当严重却普遍存在的破坏形式。分层屈曲特别是后屈曲行为将导致层间裂纹扩展使复合材料层合结构承载能力迅速下降。因此对分层复合材料层合结构的非线性力学研究,对航空航天及其他基础工程建设具有十分重要的现实意义。

针对复合材料层合板壳的非线性力学性能的研究,白瑞祥等[1]基于剪切理论和大挠度理论,考虑了蒙皮和肋骨中纤维断裂、基体开裂等损伤累积造成的刚度的退化和蒙皮分层子板间的闭合接触效应,研究了冲击后含损伤的复合材料格栅加筋板的后屈曲特性。杨刚等[2]根据改进二维分层模型分析了含有圆形和椭圆形分层的复合材料层合板后屈曲行为。成正爱等[3]基于三维的VCCT方法,加入对层合板的线性屈曲分析来考虑子层屈曲对层合板中分层缺陷扩展的影响。Bruno等[4]从断裂力学和接触力学的角度分析了复合材料层合板的混合模式分层现象。Ma等[5]将二维力学问题简化为一维数学模型,假定屈曲模态函数为横向坐标研究了复合材料层和板的单侧接触屈曲行为。Chen等[6]运用一阶剪切变形理论研究了分层复合材料结构的动力响应的接触效应以及Schwarts-Givli等[7]等研究的的高阶理论。刘述伦等[8]研究了含脱层的纤维增强复合材料层合板的屈曲问题,并考虑了湿度、温度的影响。Xue等[9]考虑脱层界面间的接触效应,研究了含脱层复合材料矩形层合板在面内荷载作用下的脱层扩展问题。Haina等[10]研究了热环境下夹层双曲扁壳在弹性地基上的非线性屈曲和后屈曲问题。文献[11]综述了该领域目前最新的研究成果。

关于复合材料层合梁的研究,李清禄等[12]考虑轴线伸长和一阶横向剪切变形,采用打靶法研究了功能梯度材料梁在随动分布载荷作用下的后屈曲问题。李世荣等[13]基于轴向可伸长梁的几何非线性理论和线性湿热膨胀假设,采用打靶法着重分析了点间隙约束下弹性梁的湿热后屈曲问题。孙先念等[14]考虑一阶剪切,结合增强体单元对增强层合梁后屈曲分层扩展数值进行模拟研究。胡博海等[15]针对复合材料腹板悬臂梁在弯剪复合载荷作用下的稳定性和破坏强度开展研究。对含损伤层合梁的力学性能,Chai等[16]最先研究这一课题,他们基于梁柱理论分析均匀各向同性层合板中的脱层屈曲问题,并且应用断裂力学的方法研究了脱层的扩展、稳定和止裂问题。傅衣铭等[17]考虑湿热条件、横向剪切变形、几何非线性和压电效应的影响,采用有限差分法和迭代法对湿热条件下具脱层压电层合梁的后屈曲及脱层扩展进行分析。Sheinman等[18]采用非线性理论,对含贯穿脱层的复合材料层合梁在前屈曲和后屈曲过程中的脱层扩展问题进行了分析。Nisson等[19-20]研究了不同脱层深度下脱层的屈曲及扩展。Shen[21-24]用Galerkin摄动法研究了热机械载荷和弹性地基作用下层合板的非线性弯曲问题,随后基于细观力学模型,讨论了湿热环境对层合圆柱薄壳在轴向压缩作用下的屈曲和后屈曲行为的影响。Hong等[25]采用广义微分求积方法研究了具有两个非重叠分层区域的复合材料梁板在轴压作用下的屈曲荷载和后屈曲变形。Akbaş[26-27]研究了含裂纹纤维增强复合材料梁在压缩荷载作用下的后屈曲问题。毛丽娟等[28]基于非线性经典梁理论分析了热载荷作用下梁的屈曲、后屈曲和非线性弯曲等变形现象。钮鹏等[29]考虑轴线可伸长变化及剪切变形等因素影响,研究了热载荷作用下刚度参数对复合材料夹层梁一阶模态的后屈曲平衡变形的影响。

尽管上述文献在研究分层层合梁的力学性能时考虑了接触效应,但没有讨论接触性能和解析解。层合梁上、下部分之间的接触会产生局部压应力,引起沿分层界面的横向变形,并最终改变层合梁的结构特性,故层合梁的后屈曲分析涉及2种力学:板壳力学和接触力学。由于接触性能的隐蔽性,例如接触面的位置和大小,接触力的强度等,使得含分层层合板的大挠度弯曲、后屈曲、分层扩展等非线性问题变得更复杂。因此,许多研究人员通过开发计算程序来计算。这样的分析可能会误导一个论点,即接触属性(如接触区域的位置和大小)是不可预知的。最近薛江红等[30-32]提出了一种多尺度的理论分析模型来研究含脱层复合材料层合板的非线性力学性能。通过分析脱层界面处的变形机制,运用复合材料微观力学,他们建立了脱层界面处上、下子板变形挠度与接触力之间的定量关系,并分解出宏观和微观的多尺度变形模态。运用该项成果,他们分别研究了含脱层层合板的非线性弯曲[30]、非线性后屈曲[31]和非线性振动问题[32]

不同于层合板的后屈曲分析,单向铺设层合梁作为一种一维的力学模型,在后屈曲过程中只需要考虑其面外平衡方程,而无需考虑面内薄膜影响,在用摄动法求解后屈曲平衡路径时,如何从平衡方程入手确定面外挠度与轴力两个变量也是一个难题。

本文研究简支单向铺设复合材料矩形层合梁受轴压作用下的脱层屈曲问题。采用四分区模型,将含脱层单向铺设复合材料层合板梁分为4个子梁,应用复合材料力学,考虑脱层界面上、下子梁的局部变形机制,建立脱层界面上、下子梁之间接触效应的定量关系,以及脱层前沿力和位移的连续性条件。根据可伸长梁的几何非线性理论,推导出计及接触效应的各子梁的非线性后屈曲控制方程,采用小参数摄动法,通过解析各梁平衡微分方程通解与特解的构造特点,求解弯曲位移与后屈曲平衡路径。编写MATLAB程序进行参数分析,讨论脱层情况,梁的几何参数与材料性能等对层合板梁的临界屈曲载荷及接触性能的影响。进行ABAQUS仿真,获得有限元解,将有限元结果与理论解比较,验证理论解。

1 匀质等效材料本构模型

复合材料层合板梁是将多层复合材料的单层梁板粘合在一起组成的结构体系,其性能主要取决于单层梁板的性能以及单层梁板的铺设方式。而单层梁板的性能主要取决于增强纤维与基体的材料性能和比例。虽然单层梁板在微观上是不均匀的,但由于纤维都是按一个方向整齐排列的,因此单层梁板宏观上呈现方向性,即各向异性。图1为单层梁板的匀质化过程。设纤维的弹性模量、泊松比、剪切模量和体积比分别为EfμfGfvf,基体的弹性模量、泊松比、剪切模量和体积比分别为EmμmGmvm,则匀质化后单层梁板的宏观正交各项异性弹性常数分别为:

若令θ分别表示第k层单层梁板的弹性刚度和该层坐标系与材料主方向的夹角,D为层合梁的等效弯曲刚度,则有:

式中:

如图1所示,层合板梁是将各向异性单层梁板按一定的取向顺序堆垛而成,其中每个单层梁板的取向角只相对于x轴或y轴在平面内倾斜。因此,单向铺设层合板梁的垂直堆垛顺序不影响材料的横向性能。换言之,单向铺设层合梁横向的材料性能对组成基体和纤维的材料性能和体积比是敏感的,但是对各层的排列顺序和取向是不敏感的。据此,得出四个子梁在横向的等效弹性模量与单层板相同,即:

2 分层界面力学特性

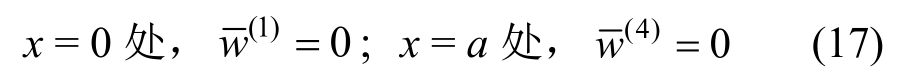
考虑两端简支的单向铺设复合材料矩形层合板梁,其长为a、宽为b、高为h,由厚度为h0的等厚度单层梁板按一定的对称方式铺设而成,受x方向轴向压力作用,在距离其上表面h2处,含有一长度为l2的贯穿宽度方向的脱层,将层合梁分成4块,实际是按照长度分成3段,中间段分成上、下两层,考虑两层初始接触,发生脱粘后分成两个单独的薄层梁,在纵向压缩轴力作用下失稳。层合板梁的4个区域分别记为子板梁Ω(1)、Ω(2)、Ω(3)、Ω(4),子梁2的厚度为h2,子梁3的厚度为h3,研究模型和受力示意图如图2所示。

图1 等效单层板梁本构模型
Fig.1 Equivalent single layer (ESL) constitutive model

图2 含贯穿脱层层合梁分析模型
Fig.2 Composite beam containing a through-width delamination

当外加荷载N达到一定程度时,将使层合梁产生面外弯曲,由于子梁2的厚度h2比子梁3的厚度h3小,弯曲时将在分层界面产生接触效应。设子梁2与子梁3之间的接触力为q*,子板梁Ω(2)受到向上的接触力q*,子板梁Ω(3)受到向下的接触力q*。如图3所示。在接触力q*的作用下,子梁Ω(2)和子梁Ω(3)的厚度改变量分别为[30-31]

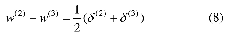
式中,分别为子梁Ω(2)、Ω(3)在横向的等效弹性模量。由于梁被视为一维模型,所以每个截面的弯曲挠度处处相等,且等于其中面的挠度。设子梁2与子梁3的中面相对位移为:

将式(6)和式(7)代入式(8),并运用式(5)中有:

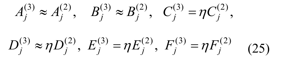
式中,k为接触系数,且有:

图3 接触力图示
Fig.3 Illustration of contact force

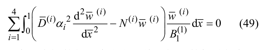
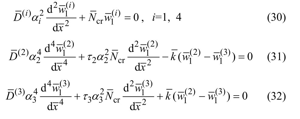
3 基本方程

由材料力学,当含脱层单向铺设层合梁在轴力作用下产生面外变形时其平衡方程为:

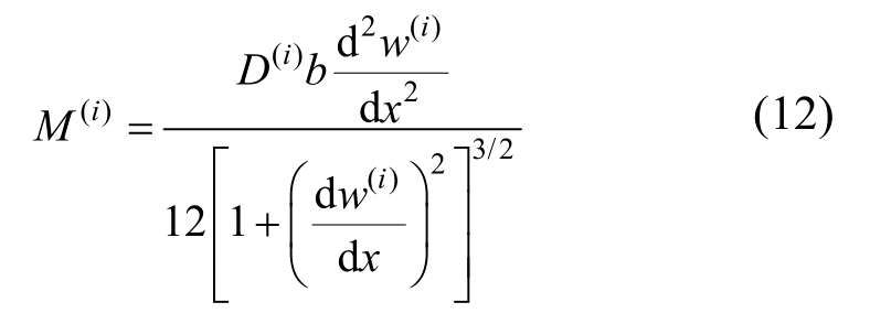
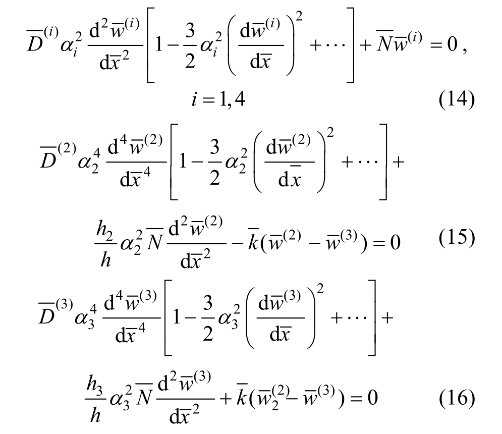
式中:N(i) = (hi/h)N为第i个子梁所受的轴力;M(i)为各子梁的弯矩。由于后屈曲为大变形问题,基于小变形的弯矩与挠度的二阶导数的线性关系不再适用,据可伸长梁的几何非线性理论有:

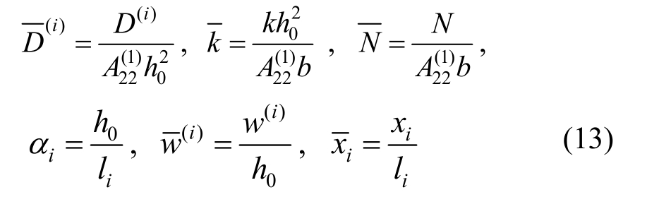
式中,D(i)为各子梁的抗弯刚度。引入无量纲参数:

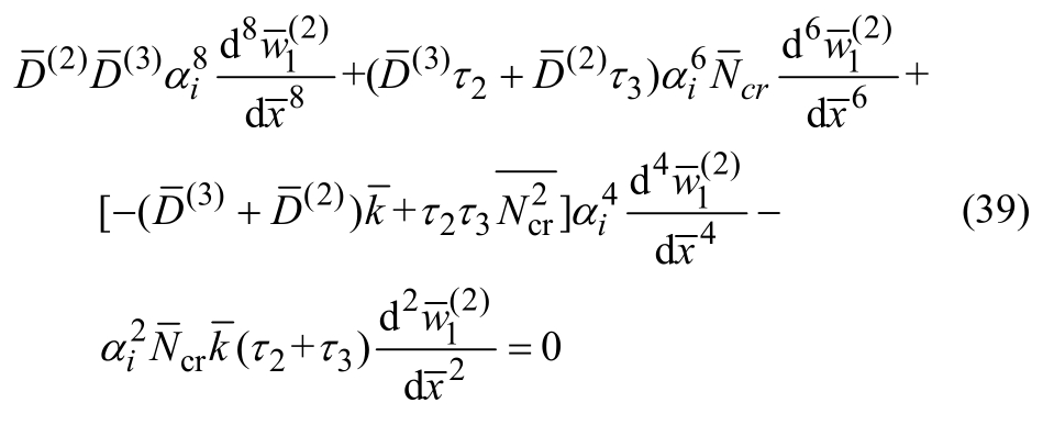
将式(9)和式(12)代入式(11),并引入上述无量纲参数,进行泰勒展开,得到考虑界面接触性能的含脱层单向铺设层合梁的无量纲后屈曲控制方程:

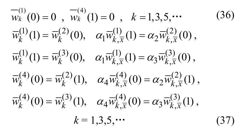
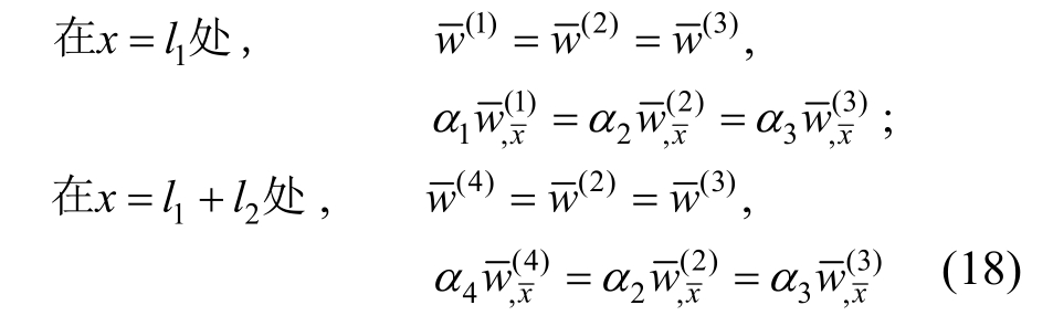
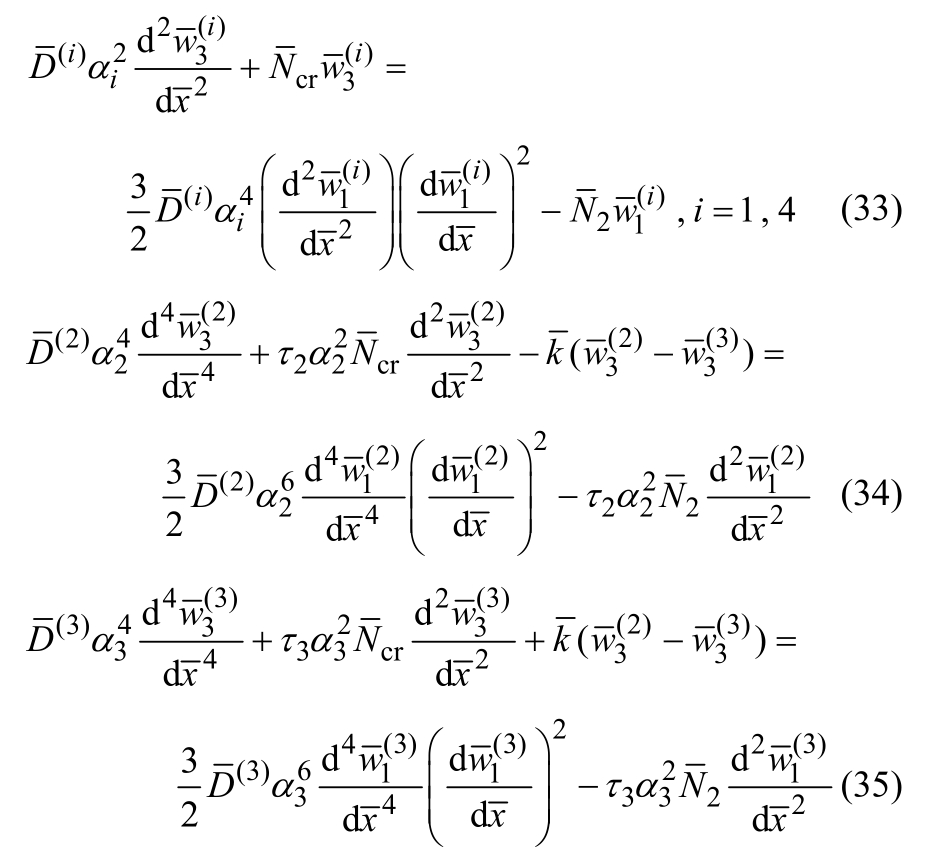
对上述控制方程求解,除了需要两端简支的边界条件,还需要考虑脱层前沿挠度与转角的位移连续性条件。引入无量纲的参数,定解条件如下。边界条件:

连续性条件:

4 摄动解

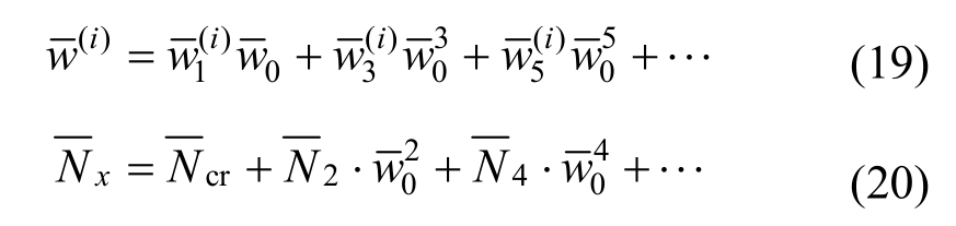
要得到控制方程组满足边界条件、连续性条件的一个精确解是几乎不可能的。为此,本论文采用小参数摄动法对其求渐进解。将无量纲函数展开成如下形式:

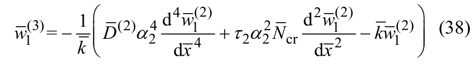
式中:为摄动小参数;是单向铺设复合材料脱层板梁的无量纲屈曲荷载。将上面摄动展开式代入无量纲的控制方程、无量纲的定解条件以及无量纲的连续性条件,然后对的不同次幂进行合并,则可以根据的次方得到一阶、三阶和更高阶的控制方程、边界条件及连续性条件。附录A给出了求解过程,这里只给出一阶~三阶的结果。

一阶摄动解:

二阶摄动解:

三阶摄动解:

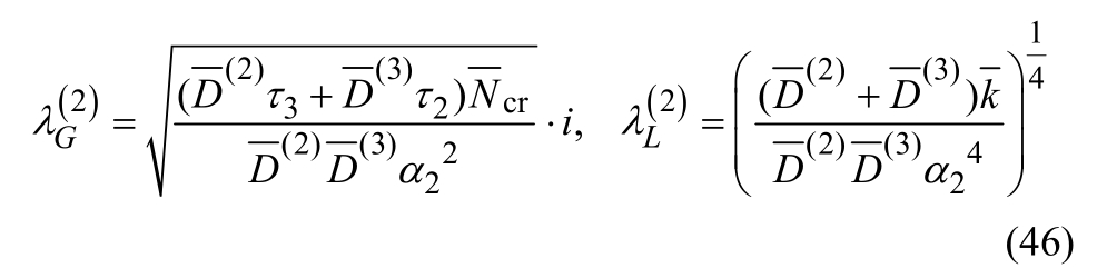
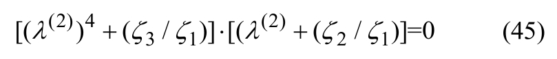
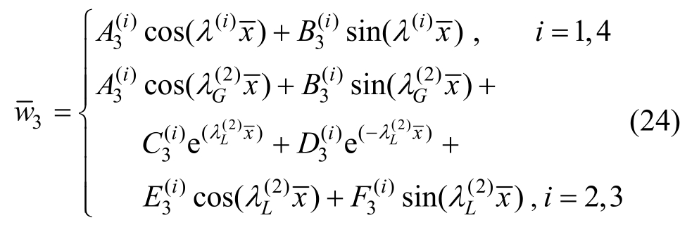
式(21)~式(24)中:为满足边界和连续性条件所获得的临界屈曲载荷的函数;A(i)F(i)为待定系数;λ(i)为子梁i的模态参数,且有:

在求解控制方程的过程中由于接触效应,子梁2与子梁3的模态参数完全一致,且子梁3的待定系数与子梁2的待定系数通过控制方程而关联在一起,故独立的待定系数只有10个,即M=[A(1), B(1), A(2), B(2), C(2), D(2), E(2), F(2), A(4), B(4)],借助定界条件式(17)和式(18)的各阶摄动,可建立齐次方程组:

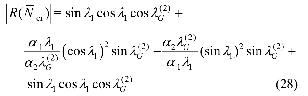
式中,R为与各子梁的几何参数、材料参数和临界屈曲载荷有关的10×10的矩阵,要使式(27)中的M有非零解,则其系数行列式为零,由此可得:

据此可求得临界屈曲载荷此外借助式(27)以及的条件,即可求得各阶模态的待定系数。具体求解过程参见图4。

图4 求解过程流程图
Fig.4 Flow chart of solving process

5 计算与结果分析

本文确立的研究对象为两边简支含脱层单向铺设复合材料层合板梁。脱层的位置位于板梁的轴对称中心,两边简支。铺层方式为:(0°/90°/0°)20。含脱层复合材料层合板梁的几何参数为:h=0.009 m,a=0.4 m,h0=0.00015 m,b=0.4 m,材料参数如下:μ=0.3,E1=130 GPa,E2=8.2 GPa。

5.1 脱层深度对层合板梁的临界屈曲载荷的影响

图5显示了当脱层长度l2=0.1 m、0.2 m、0.3 m,脱层深度发生变化时,临界屈曲荷载随之变化的情况。如图5所示,当脱层长度保持不变时,随着脱层深度h2(二板层数)的增长,临界屈曲荷载的变化趋势是:先减小后增大,在h2 = 0.0045 m时为最小值,之后逐渐增加。这是因为h2 = 0.0045 m 是梁的中面。当脱层位于中性层之上时,脱层梁的屈曲性能由子梁3起主导作用,故当脱层越靠近中性层时,子梁3的厚度越小,其抗弯刚度也越小,因此屈曲荷载随之减小。当脱层位于中性层之下时,脱层梁的屈曲性能由子梁2控制,当脱层越靠近下表面时,子梁2的刚度也越大,则脱层梁的屈曲荷载也越大。

图5 不同脱层长度,临界屈曲载荷随脱层深度的变化
Fig.5 Effect of delamination depth on buckling load for different delamination lengths

5.2 脱层长度对层合板梁的临界屈曲载荷的影响

图6显示了当脱层深度(h2 = 0.0009 m、0.0018 m、0.0036 m时)一定,临界屈曲荷载随脱层长度l2的变化情况。当保持脱层深度恒定时,随着脱层长度的增加,临界屈曲载荷呈现逐渐减小的趋势。这是因为,此时控制脱层梁屈曲性能的是子梁1和子梁4。当脱层长度增加时,子梁1和子梁4的长度减小,其对脱层梁整体稳定性的影响也逐渐减小,故脱层梁的承载能力也越来越小。

图6 不同脱层深度,临界屈曲载荷随脱层长度的变化
Fig.6 Effect of delamination length on buckling load for different delamination depths

5.3 脱层情况对后屈曲平衡路径的影响

式(20)为无量纲荷载关于摄动参数的摄动,根据式(13),则有量纲层合板梁的后屈曲平衡路径的二阶近似表达式为:

式中,w0 = wmax为后屈曲模态最大振幅。图7给出了当脱层深度一定时(h2 = 0.0027 m时),不同脱层长度的复合材料层合板梁的后屈曲平衡路径(二阶近似)。图8给出了在脱层宽度(l2 = 0.2 m时)一定时,脱层深度对后屈曲平衡路径的影响。图7和图8显示,只有当轴向荷载Nx超过临界屈曲荷载后,层合板梁才会产生面外变形。

图7 脱层长度对后屈曲平衡路径的影响
Fig.7 Effect of delamination length on post-buckling behavior

图8 脱层深度对后屈曲平衡路径的影响
Fig.8 Effect of delamination depth on post-buckling behavior

6 与有限元结果的比较

为了检验本文分析的准确性,进行了有限元分析。梁的几何参数、材料性能、铺设方式与第5节完全一致。运用ABAQUS在脱层界面处施加硬接触的法向行为,防止脱层界面上下两部分的相互贯穿,保证变形的协调性。也正是由于施加了硬法向接触,使得子梁2和子梁3之间产生协调的变形模态。

具体建模时采用S4R四节点壳单元,在部件模块处创建四个独立的子梁并定义其属性,通过装配模块将4个子梁组装成一个整体。根据位移的连续性条件,在子梁1与子梁2、子梁3界面之间创建约束,施加绑定条件将其连接在一起,子梁4与子梁2、子梁3也采用相同的约束。为了保证分层界面上下子梁的变形协调性,在子梁2和子梁3的接触表面选择通用接触分析步,指派硬接触的法向行为属性。经过相互作用处理后的梁可以视为含脱层的复合材料层合板梁。临界屈曲载荷Ncr随脱层长度l2的变化及其随脱层深度h2的变化分别绘于图5和图6中,以便与解析解进行比较。由图5和图6可见,有限元结果与本文所给出的解析解非常吻合,二者的误差不超过6.06%。验证了本文理论分析的准确性。

在复合材料层合脱层板梁的研究中,有无接触效应是至关重要的影响因素。根据有限元模型的直观表现可以看出,接触效应对脱层板梁的变形模态有着显著影响。图9、图10显示了脱层板梁在未施加和施加接触效应后的屈曲一阶模态。图9显示在有限元模拟分析中,如果没有在脱层间施加接触效应,子梁2与子梁3之间会发生相互贯穿。图10表明,当在分层界面施加抗贯穿接触效应后,子梁2和子梁3变形完全一致,与本文理论解给出的预测结果吻合。再次说明本文理论分析的准确性。

图9 含脱层层合梁一阶屈曲模态
Fig.9 Buckling modes of delaminated composite beams

7 结论

本文提出了一种考虑界面接触力学性能的含脱层单向铺设复合材料层合梁非线性后屈曲分析的理论。采用四分区模型,运用复合材料微观力学,建立了匀质等效层合梁的材料本构关系及脱层界面接触力与变形挠度的定量关系,并引入可伸长梁的几何非线性理论,建立了计及接触效应的含脱层单向铺设层合梁的非线性后屈曲控制方程。借助小参数摄动法,并解析梁平衡微分方程通解与特解的构造,获得了含脱层单向铺设层合梁受轴向压力作用的临界屈曲荷载及后屈曲平衡路径的解析解。参数分析发现:

(1) 当脱层长度增大时,层合板梁的临界屈曲载荷的总体变化趋势是下降的,且当脱层长度较小时下降的比较明显。但是当脱层长度达到一定值时,层合板梁的临界屈曲载荷随脱层长度的变化很缓慢,基本上不随脱层长度的增加而变化了,最后趋近于一个很小的值。

(2) 当脱层深度增大时,层合板梁的临界屈曲荷载基本上是随着脱层深度的增大而增大的。但是当脱层发生在脱层板梁中性层以上时,脱层板的屈曲极限荷载是随着脱层深度的增加而减小的,脱层发生在中性层以下时,脱层板梁的屈曲极限荷载是随深度的增加而增加的。

(3) 脱层间有无接触效应对屈曲模态影响较大,接触效应会改变脱层板梁的变形模态,有接触效应的子梁2和子梁3之间会产生协调的变形模态,无接触效应的子梁2与子梁3之间发生相互贯穿。在ABAQUS有限元软件模拟含脱层的复合材料层合板梁的屈曲过程中运用壳单元构建复合材料层合板梁模型,其有限元结果与理论解比较后数值吻合,所建立的模型能够准确的模拟脱层板梁屈曲过程,证明了研究的可靠性与科学性。

附录A:摄动法求解方程式(14)~式(16)

将方程式(19)和式(20)代入控制方程式(14)~式(16)中,对的不同次幂进行合并,得到如下的摄动控制方程:

一阶摄动方程:

三阶摄动方程:

定解条件摄动方程:

求解控制方程时,首先求解一阶摄动方程式(30)~式(32)并满足一阶摄动边界条件,即式(36)和式(37)(k =1),将所得的一阶摄动解代入三阶摄动方程式(33)~式(35)及其边界条件,并求解,以此类推。

A.1 一阶摄动求解

由式(31)和式(32)可知,子梁2和子梁3的挠度控 制方程是耦合方程,将其解耦,由式(31)可得:

将式(38)代入式(32)可得:

式(39)即为子梁2的解耦表达式,设各板梁的一阶摄动挠度函数为:

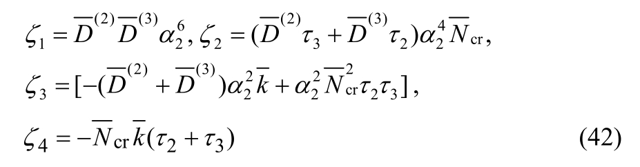
将式(40)代入式(30)和式(39),得到如下的特征方程:

其中:

式(41)第一式为子梁1和子梁4的特征方程,第二式为子梁2和子梁3的特征方程。由式(41)第一式可得子梁1和子梁4的模态参数为:

至于子梁2和子梁3的模态参数,前期的研究结果[22-24]表明,对本文所研究的复合材料材料和结构有如下的关系:

则式(41)第二式可近似分解为:

将式(42)代入式(45),并引入式(44)中的第一式,可得子梁2和子梁3的模态参数为:

将式(43)和式(46)代入式(40),即得到式(21)。将式(21)带入一阶摄动边界条件式(36)和式(37)(当k = 1时),可得到一组关于待定系数M的齐次方程组,即式(27),从而可以求得临界屈曲荷载Ncr。此外运用边界条件有:

运用式(47),则层合梁的一阶模态式(21)进一步简化成如下形式:

其中,ϕ(i)为子梁i的相位,由其模态幅值决定,特别有ϕ(1) = 0。

A.2 二阶摄动求解

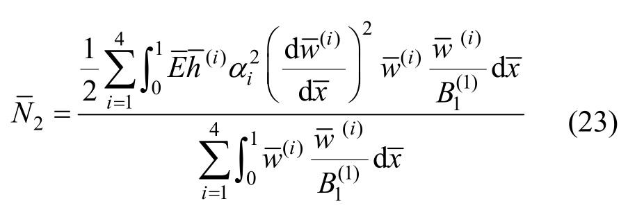
二阶摄动解为轴力的二阶摄动展开不同于板壳结构需要同时考虑平衡方程和变形协调方程,梁作为一维结构,只需要考虑其平衡条件。为了求解其二阶摄动解,运用伽辽金法方法进行求解。为清楚说明问题,现以子梁1的二阶摄动求解为例说明,其余各子梁以此类推。将所得的一阶摄动解式(48)代入伽辽金方程式(49)中,即:

式(49)为层合梁的伽辽金方程,将子梁1的摄动解代入伽辽金方程,根据非线性大挠度理论方程,并引入式(20)及式(30)~式(32)积分化简可得层合梁的二阶摄动解:

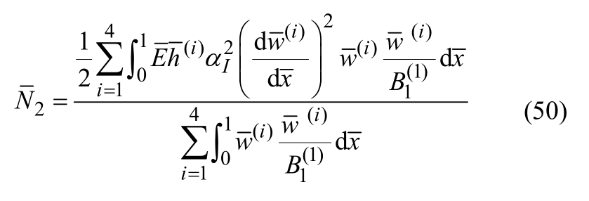
由此可求得二阶摄动解式(23)。故:

将式(21)代入式(51)即可确定N2

参考文献:

[1]白瑞祥, 王蔓, 陈浩然.冲击后含损伤复合材料格栅加筋板的后屈曲[J].复合材料学报, 2006, 23(3):141-145.Bai Ruixiang, Wang Man, Chen Haoran.Postbuckling behavior of damaged advanced grid stiffened structure after impact [J].Acta Materiae Compositae Sinica, 2006,23(3): 141-145.(in Chinese)

[2]杨刚, 于丰, 张爱锋, 等.层板分层后屈曲分析[J].玻璃钢/复合材料, 2003(3): 3-7.Yang Gang, Yu Feng, Zhang Aifeng, et al.Postbuckling analysis of laminates with delamination [J].Fiber Reinforced Plastics/Composite, 2003(3): 3-7.(in Chinese)

[3]成正爱, 姚卫星.含分层损伤复合材料层合板后屈曲扩展分析[J].江苏航空, 2012(增刊1): 9-12.Cheng Zhengai, Yao Weixing.Post-buckling growth analysis of composite laminates with delamination damage [J].Jiangsu Aviation, 2012(Suppl 1): 9-12.(in Chinese)

[4]Bruno D, Greco F, Lonetti P.A coupled interfacemultilayer approach for mixed mode delamination and contact analysis in laminated composites [J].International Journal of Solids & Structures, 2003, 40(26): 7245-7268.

[5]Ma X, Butterworth J W, Clifton C.Compressive buckling analysis of plates in unilateral contact [J].International Journal of Solids & Structures, 2007, 44(9): 2852-2862.

[6]Chen H, Hong M, Liu Y.Dynamic behavior of delaminated plates considering progressive failure process [J].Composite Structures, 2004, 66(1-4):459-466.

[7]Schwarts-Givli H, Rabinovitch O, Frostig Y.High-order nonlinear contact effects in the dynamic behavior of delaminated sandwich panels with a flexible core [J].International Journal of Solids & Structures, 2007, 44(1):77-99.

[8]刘述伦, 薛江红, 王璠, 等.含脱层纤维增强复合材料层合板在湿热环境下的屈曲分析[J].工程力学, 2015,32(3): 1-8.Liu Shulun, Xue Jianghong, Wang Fan, et al.Buckling analysis of fiber-reinforced laminated composite plate with delamination under hygrothermal environments [J].Engineering Mechanics, 2015, 32(3): 1-8.(in Chinese)

[9]Xue J H, Jin F S, Zhang J W, et al.Post-buckling induced delamination propagation of composite laminates with bi-nonlinear properties and anti-penetrating interaction effects [J].Composites Part B: Engineering, 2019, 166:148-161.

[10]Haina F E, Bakora A, Bousahla A A.A simple analytical approach for thermal buckling of thick functionally graded sandwich plates [J].Structural Engineering and Mechanics, 2017, 63(5): 585-595.

[11]刘人怀, 薛江红.复合材料层合板壳非线性力学的研究进展[J].力学学报, 2017, 49(3): 487-506.Liu Renhuai, XueJianghong.Development of nonlinear mechanics for laminated composite plates and shells [J].Chinese Journal of Theoretical and Applied Mechanics,2017, 49(3): 487-506.(in Chinese)

[12]李清禄, 李世荣.轴向随动分布载荷作用下FGMs Timoshenko梁的后屈曲特性[J].应用力学学报, 2015,32(1): 90-94.Li Qinglu, Li Shirong.Post-buckling behaviors of a hinged-fixed FGM Timoshenko beam under axially distributed follower forces [J].Chinese Journal of Applied Mechanics, 2015, 32(1): 90-94.(in Chinese)

[13]李世荣, 郭锐.点间隙约束下弹性梁的湿热后屈曲问题[J].固体力学学报, 2011, 32(2): 197-202.Li Shirong, GuoRui.Hygrothermal post-buckling of elastic beams under point space-constraint [J].Chinese Journal of Solid Mechanics, 2011, 32(2): 197-202.(in Chinese)

[14]孙先念, 王建立, 刘杨, 等.Z-pins增强层合梁后屈曲分层扩展数值模拟研究[J].固体力学学报, 2013, 33(增刊1): 270-275.Sun Xiannian, Wang Jianli, Liu Yang, Ren Mingfa.Numerical analysis of delaminated beam throughthickness reinforced by z-pins [J].Chinese Journal of Solid Mechanics, 2013, 33(Suppl1): 270-275.(in Chinese)

[15]胡博海, 李亚智, 樊振兴, 等.复合材料梁腹板在弯剪复合载荷作用下的屈曲和后屈曲研究[J].机械强度,2014, 36(6): 916-921.Hu Bohai, Li Yazhi, Fan Zhenxing, et al.Buckling and post-buckling of a composite web beam under shearing bending [J].Journal of Mechanical Strength, 2014, 36(6):916-921.(in Chinese)

[16]Chai H, Babcock C D, Knauss W G.One dimensional modeling of failure in laminated plates by delamination buckling [J].International Journal of Solids and Structures, 1981, 17(11): 1069-1083.

[17]傅衣铭, 李盈利.湿热条件下具脱层压电层合梁的后屈曲及脱层扩展分析[J].固体力学学报, 2009, 30(3):309-317.Fu Yiming, Li Yingli.Analysis of postbuckling and delamination growth for delaminated piezoelectric laminated beams under hygrothermal conditions [J].Chinese Journal of Solid Mechanics, 2009, 30(3):309-317.(in Chinese)

[18]Sheinman I, Kardomateas G A, Pelegri A A.Delamination growth during pre- and post-buckling phases of delaminated composite laminates [J].International Journal of Solids and Structure, 1998,35(1/2): 19-31.

[19]Nisson K F, Asp L E, Alpman J E, et al.Delamination buckling and growth for delaminations at different depths in a slender composite panel [J].International Journal of Solids and Structure, 2001, 38(4): 3039-3071.

[20]Nisson K F, Asp L E.On transition of delamination growth behavior for compression loaded composite panels[J].International Journal of Solids and Structure,2001, 38(46/47): 8047-8440.

[21]Shen H S.Hygrothermal effects on the postbuckling of axially loaded shear deformable laminated cylindrical panels [J].Composite Structures, 2002, 56(1): 73-85.

[22]Shen H S.Hygrothermal effects on the nonlinear bending of shear deformable laminated plates [J].Journal of Engineering Mechanics ASCE, 2002, 128(4): 493-496.

[23]Shen H S.The effects of hygrothermal conditions on the postbuckling of shear deformable laminated cylindrical shells [J].International Journal of Solids and Structures,2001, 38(36/37): 6357-6380.

[24]Shen H S.Hygrothermal effects on the postbuckling of shear deformable laminated plates [J].International Journal of Mechanical Sciences, 2001, 43(5): 1259-1281.

[25]Hong C C.GDQ analysis of a beam-plate with delaminations [J].Composite Structures, 2017, 182:237-241.

[26]Akbaş Ş D.Post-buckling analysis of a fiber reinforced composite beam with crack [J].Engineering Fracture Mechanics, 2019, 212: 70-80.

[27]Akbaş Ş D.Geometrically nonlinear analysis of a laminated composite beam [J].Structural Engineering and Mechanics, 2018, 66(1): 27-36.

[28]毛丽娟, 马连生.非均匀热载荷作用下功能梯度梁的非线性静态响应[J].工程力学, 2017, 34(6): 12-19.Mao Lijuan, Ma Liansheng.Nonlinear static response of FGM beams under non-uniform thermal loading [J].Engineering Mechanics, 2017, 34(6): 12-19.(in Chinese)

[29]钮鹏, 李旭, 李世荣, 等.弹性地基上复合材料夹层梁的热过屈曲[J].工程力学, 2017, 34(增刊1): 39-43.Niu Peng, Li Xu, Li Shirong, et al.The thermal buckling of composite sandwich beams on elastic foundations [J].Engineering Mechanics, 2017, 34(Suppl 1): 39-43.(in Chinese)

[30]Xue J H, Zi L, Yuan H, Liu R H.Contact analysis for fiber reinforced, delaminated laminates with kinematic nonlinearity [J].Acta Mechanica Solida Sinica, 2013,26(4): 388-402.

[31]Tang M Q, Xue J H, Yuan H, Liu R H.Macro-micro analysis for anti-penetrating postbuckling of fiber reinforce, debonded laminates with contact effects [J].International Journal of Applied Mechanics, 2014, 6(4):1-24.

[32]Xue J H, Xia F, Ye J, Zhang J W, et al.Multiscale studies on the nonlinear vibration of delaminated composite laminates- global vibration mode with micro buckles on the interfaces [J].Scientific Reports, 2017, 7(1): 44-68.

NONLINEAR POST-BUCKLING ANALYSIS OF UNIDIRECTIONAL LAMINATED BEAMS WITH DELAMINATION

LI Ping , JIN Fu-song , JIAN Fang , XIA Fei , XUE Jiang-hong , XIONG Ying
(School of Mechanics and Construction Engineering Institute of Applied Mechanics, Jinan University,Key Laboratory of Disaster Forecast and Control in Engineering Ministry of Education, Guangzhou, Guangdong 510632, China)

Abstract: The unidirectional composite beam with buried delamination is divided into four sub-regions.Using the theory for composite laminates, the nonlinear relationship between the contact force and the deflections of the sub-regionsis established.The governing equations are derived by introducing the available contact effect into the geometric nonlinear theory of extensible beams.The four sub-regions are integrated into a whole beam by employing the continuity conditions at the delamination fronts.Assuming simply supported boundary conditions, the governing equations are solved through the perturbation approach.The analytical solutions of the buckling load and the post-buckling equilibrium path for the delaminated unidirectional composite beam are obtained by examining the composition of the differential equation of the beam and by analyzing the characteristics of its general and particular solutions.The effects of delamination length and depth on the critical buckling load and contact performance of the delaminated beam are discussed by numerical analysis.The theoretical solutions are compared with the results obtained from ABAQUS finite element analysis.The results show that the two solutions are in good agreement with each other.It is found that the buckling modes of the delaminated beam includes macroscopic failure modes and micro-buckling modes at the interfaces.Both the buckling load and contact performance are inherent properties of the delaminated beam.The former is affected by the geometric parameters and material properties of the beam, while the latter is mainly affected by the depth and length of the delamination.

Key words: contact effect; post-buckling; laminated beams; perturbation approach; delamination

中图分类号:TB332

文献标志码:A

doi: 10.6052/j.issn.1000-4750.2018.04.0237

文章编号:1000-4750(2019)11-0230-11

收稿日期:2018-04-11;修改日期:2019-07-24

基金项目:广东省自然科学基金面上项目(2017A030313013)

通讯作者:薛江红(1965-),女,四川人,教授,博士,博导,主要从事复合材料结构力学研究(E-mail: txuej@jnu.edu.cn).

作者简介:

李 萍(1994-),女,湖北人,硕士生,主要从事复合材料结构力学研究(E-mail: 1311235440@qq.com);

金福松(1995-),男,湖北人,硕士生,主要从事复合材料结构力学研究(E-mail: 641217760@qq.com);

简 方(1997-),男,重庆人,本科生,主要从事复合材料结构力学研究(E-mail: 819917473@qq.com);

夏 飞(1994-),男,河南人,硕士生,主要从事复合材料结构力学研究(E-mail: 1581058682@qq.com);

熊 颖(1995-),女,湖北人,硕士生,主要从事复合材料结构力学研究(E-mail: 610373474@qq.com).