绳系并联支撑机构的绳迟滞效应及影响实验研究

冀洋锋1,2,林 麒1,彭苗娇1,柳 汀1,吴惠松1

(1.厦门大学航空航天学院,厦门 361005;2.集美大学诚毅学院,厦门 361021)

摘 要:绳系并联机构因具有结构简单、工作空间大、惯性小等优势,得到了广泛的应用。该文针对支撑绳索中普遍存在的迟滞效应进行了实验研究。首先,分析了某绳系并联机器人(Wire-driven Parallel Robot, WDPR)样机中的绳迟滞曲线的数学模型,并利用实验数据识别出了模型中的相关参数;其次,通过不同条件下的绳索伸-缩实验,探讨了绳拉力迟滞效应的影响因素;接着,分析了迟滞效应对飞行器模型位姿和气动载荷参数解算的影响情况。最后,以某风洞试验模型支撑绳系并联机器人样机中支撑飞机模型的牵引绳的迟滞现象为例,对绳迟滞效应的影响情况进行了分析。研究结果表明:绳迟滞效应对模型位姿和利用绳拉力解算风洞试验的模型气动载荷都有一定的影响;绳索的材质与迟滞现象关系密切;预紧力对迟滞效应的影响程度具有决定性的作用,当绳预紧力增大到一定程度时,迟滞效应的影响是可以忽略的。

关键词:绳系并联机器人;绳迟滞效应;迟滞效应实验;绳索伸-缩实验;迟滞效应影响

随着机器人技术的发展,绳系并联机构所具有的优势,逐渐得到人们的重视。由于绳索具有较高的抗拉强度、较小的阻尼、较轻的重量、较大的柔性等特征,既可以根据绳索拉力的反馈获得动平台的载荷,也可以通过其长度改变对动平台进行位姿控制,从而在绳系卫星[1]、移动摄像[2]、船舶拖曳[3]、建筑工程[4]、医疗机器人[5-7]、大型天文望远镜[8-10]和风洞试验模型支撑等[11-14]领域中应用广泛。

由于绳索只能单方向提供拉力,所以当采用绳索传递载荷(拉力)或施加约束时,绳索需要时刻保持张紧状态。但是,绳索在传递拉力的过程中伴随有复杂的弹塑性力学行为,常表现出迟滞效应。所谓迟滞效应,是指在载荷作用下绳索的材料受力和形变之间表现出具有记忆特征的迟滞时变关系[15-18]

绳索的这种迟滞效应会对依靠绳拉力进行约束和实现某种控制功能产生影响。绳的迟滞效应对绳牵引并联机构在实际工程应用中的影响程度是需要研究甄别的。因此,对绳索特性的研究具有重要的工程应用价值。

Bouc[19]提出了一种光滑的迟滞模型,后来Wen[20]对这种模型进行了改进,可以用来建立多种迟滞曲线模型,借以描述材料中出现的迟滞现象,称为Bouc-Wen模型。Song等[21]提出了广义的Bouc-Wen模型,将该模型的应用范围扩展到固定参数的强非对称性系统的迟滞模型。Do、Schwanen等[22-23]研究了绳索上加装振动隔离器之后的迟滞行为。Miyasaka等[24]在Bouc-Wen模型的基础上提出了适用于绳索纵向加载的迟滞模型,利用基因算法对模型参数进行了优化,证明了该模型可以应用于不同直径绳索的准静态响应迟滞现象。Badrakhan和Ismail等[25-27]分别提出了类似于Bouc-Wen的模型来描述绳索中的迟滞效应。但是这些模型过于复杂,难以定量分析迟滞效应对绳系结构的影响。Miermeister等[28]提出了包含迟滞效应的绳索弹性模型,并进一步用两个多项式来分别表示迟滞曲线的上半部分和下半部分,对迟滞曲线进行了比较精确的描述。

不失一般性,本文以风洞试验模型支撑的绳系并联机器人WDPR(Wire-driven Parallel Robot)样机中存在的绳索拉力迟滞效应为例。着重研究Kevlar绳的绳迟滞效应,对Miermeister提出的迟滞效应模型进行了扩展,使其适用于WDPR的迟滞影响分析;设计绳长伸-缩实验对绳迟滞模型的参数进行识别;通过不同绳索在不同条件下的迟滞曲线实验,研究了迟滞效应的影响因素;结合具体的样机参数,给出了迟滞效应对飞行器模型的气动参数(或气动载荷)解算和姿态控制影响的计算方法,并进行了计算和分析,给出了考虑该影响的机构设计参考 准则。

1 WDPR样机及绳迟滞效应模型

风洞模型试验的目的是获取飞行器模型的气动性能。WDPR所受的载荷是风洞来流作用在飞行器模型上的气动载荷。

图1所示为实验室中搭建的绳系并联机器人实验样机[29],模型由8根Kevlar绳索牵引支撑,图中以红色直线示意。绳索的一端与模型相连,另一端经过滑轮后连接于机架上滚珠丝杠上的滑块。滑块在伺服电机驱动下沿丝杠做精密的直线运动,改变牵引绳的长度。模型的姿态变化通过控制绳长实现。

图1 绳系并联机器人样机
Fig.1 Prototype of wire-driven parallel robot

在文[29]中,模型在风洞试验中所受的气动载荷是通过内置于模型的六分量天平来直接测得的,与牵引绳的迟滞现象无关。但是,有的模型不宜采用内置天平的设计,这时可以通过解算绳拉力来获取气动载荷。有了飞机模型的气动载荷数据,就可据此计算气动参数。

图2所示为图1中的绳系结构布置及各牵引绳与模型的连接情况。建立如图2中所示的坐标系。静坐标系Ogxgygzg 各坐标轴的方向定义如图所示,其坐标原点Og位于如图2中机架底部表面的中心,文中模型的俯仰等角度运动皆定义在静坐标的基础上。动坐标系Obxbybzb 的原点Ob位于飞行器模型的质心,其初始位置位于静坐标系原点Og的正上方的机架几何中心。初始时刻,动坐标系的各坐标轴方向与静坐标系各相应坐标轴方向平行。ObXb 轴位于模型对称平面内并且平行于机身轴线,指向飞机机头;ObZb轴也位于飞机模型的对称平面内,方向垂直于ObXb 轴且竖直向下;ObYb轴垂直于飞机模型的对称平面且指向右机翼翼梢,其方向符合右手定则。

图2 牵引绳与模型的连接及坐标系
Fig.2 The connection of wires with the model and the coordinate system

对图1所示的绳系并联机器人支撑系统样机,建立在静坐标系下的绳拉力与模型所受外力和力矩的关系可以通过样机的动力学模型得到[30-31]

式中:为WDPR机构的雅克比矩阵;T=[T1,T2,…,T8]T为绳拉力向量;为作用在模型上的外力和外力矩。

对于单根绳索,如果把绳拉力表示成线弹性模型,可以得到如下的表达式:

式中:ΔLi=Li -L0ki为绳索刚度;L0为初始长度;Li为绳索受拉力作用后的长度。ΔLi<0时绳拉力为0,因为绳索只能单方向承受拉力。

假设,在已加载预紧力的情况下,牵引绳长为x0,为表达简洁起见,以x0为参照,记x为绳索长度相对于x0的变化量,下文中简称x为绳长变化量。因此,x取值可正可负。当x>0时,表示绳长大于x0;当x<0时,表示绳长小于x0,且在所有状态下绳索均处于张紧状态。

Miermeister提出的绳迟滞效应模型曲线呈闭合回路环状,可以将其视为上下两支曲线结合而成。因此,其依赖于绳索伸长量的迟滞行为可以用两个多项式函数来描述,一个方程表示迟滞曲线的上半部分,另一个表示迟滞曲线的下半部分[28]

式中:下角标U和L分别为Up和Low的缩写,表示对应迟滞曲线的上半部和下半部;x为绳长变化量及其随时间的变化率;ai为待定系数;np为方程的阶数。把式(3)中两个式子合并起来,可以得到绳的迟滞函数表达式:

其中,多项式g(x)和h(x)为:

式中,n0为奇数,而ne=n0-1为偶数,多项式的维数可以根据模型期望的精度确定待定系数ai

对于任意一根只承受拉力的绳索来说,可以将其视为具有弹塑性行为的一维模型。因此,式(4)可以看作是非线性非迟滞弹性部分和线性迟滞阻尼部分的叠加。

当绳牵引力呈交变规律变化时,牵引绳长变化量x也会出现交替变化。这个过程中绳的迟滞效应引起的绳长附加变化可视为一种振动的位移,而绳长的附加变化最大值即为该振动运动的振幅A。式(4)描述了与速度无关的某一振幅A下的迟滞情况。

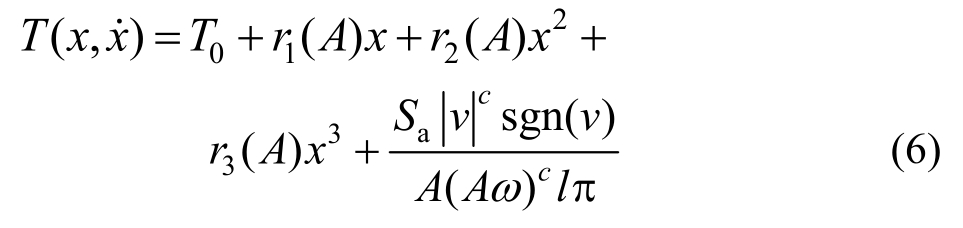
对式(4)中的模型进行扩展,使其适用于可变振幅的情形,并把单一自变量x的多项式写成依赖于绳长变化量x的变化速度v(即)和绳长因迟滞效应变化的振幅A的表达式[32],可以得到:

式中:Sac分别为迟滞环面积和绳索阻尼系数,其中阻尼系数c可根据文[33]测得;T0为绳索初始预紧力,ri(A) (i=1,2,3)为待定系数,ω=2πf表示绳长变化量x按振动运动规律变化的圆频率。式(6)中与振幅有关的前面4项与振幅有关的为方程第一部分,表示非线性非迟滞弹性部分,最后一项为方程第二部分,表示依赖于绳长度变化速度的迟滞阻尼力。当阻尼系数c=0时,式(6)的第二部分与速度v无关。一般来说,高于三阶的参数量很小,可以忽略不计,因此式(6)中只考虑x3及以下的水平。

绳索长度在一个振动周期的能量耗散l表示为:

式中,Γ是振动周期,且能量耗散的程度与迟滞环的面积有关[34]

2 绳长伸-缩实验及参数识别

对于以上的绳索迟滞模型,要想得到绳索迟滞曲线的显性表达,在给定振幅时,式(6)中的T0r1(A)、r2(A)、r3(A)和Sa这5个参数需要进行识别。考虑到T0表示振幅A和速度v均为0时的预紧力值,事实上只需要识别4个参数:

本文设计了绳的伸-缩实验方案,并通过实验来识别绳迟滞曲线中的待定参数。

2.1 绳长伸-缩实验方案

绳索在一定预紧力的加载下处于张紧状态,再增加(或减小)载荷,绳索长度会相应地伸长(或缩短)。相应地,绳索的伸-缩实验是指在保持绳索张紧的情况下,通过改变载荷来考察绳索相应的长度变化规律。

为了能够得到用于参数识别的一系列实验数据,设计了绳索的伸-缩实验方案。具体做法为:将绳索一端固定,并施加一定的预紧力;在另一端施加一定的周期性位移激励。实验装置与绳索安装及位移激励的加载方式如图3所示。

在图3中,绳索一端固定在机架上,另一端连接于安装在滚珠丝杠滑块上的拉力传感器。滑块在伺服电机驱动下按式(9)的正弦规律往复运动,从而对绳索施加一个正弦规律的位移激励。实验过程中同时测量绳索产生的位移和所受的拉力。

图3 绳索伸-缩实验
Fig.3 Stretching-contracting experiment of a wire

实验中对绳索施加的位移激励的规律为:

电机通过PMAC卡(programmable multi-axis controller,可编程多轴运动控制卡)对滑块的运动进行控制。为了能准确测量绳索长度变化情况,调用Turning Pro中的Sinusoidal函数来产生激励命令。该命令是PMAC卡的调试软件Turning Pro中的命令之一,可以产生任意简谐规律的激励命令,并收集电机的实时位置参数。在图3中,根据电机的实时位置参数可以知道滑块实时位置参数。由于拉力传感器连接在滑块上,从而可以测量出绳索长度的实时变化情况,即绳索产生的位移。绳索拉力变化则可直接从拉力传感器测量得到。

2.2 绳索伸-缩实验结果

WDPR样机采用Kevlar-5绳作为牵引绳,因此这里以Kevlar-5绳为实验研究对象。实验样件为:绳直径d=0.6 mm,长度L0=700 mm,预紧力T0=26 N,分别以振幅0.6 mm、0.8 mm和1.0 mm,频率1 Hz进行交替的绳索伸-缩实验。

图4为绳索长度振动幅度1mm时实验测得的绳实际伸长量与理论伸长量的关系情况,其中横轴N表示数据点数,纵轴x表示绳长变化量。从图中可以看出,实际绳长变化量与理论绳长变化量符合性良好,表明了实验的有效性。

图4 绳索理论伸长量与实际伸长量
Fig.4 Theoretical and actual elongation of the wire

图5为振幅为0.6 mm、0.8 mm和1.0 mm时,在一定的预紧力和绳索伸长量下,测得的不同绳拉力与绳长变化量x之间的关系曲线。图中横坐标x是根据图3中滑块的位置得到的绳长变化量。

图5 不同振幅下的绳拉力迟滞曲线
Fig.5 Hysteresis curves under different amplitudes

由图5可以看出,绳索的伸-缩实验结果曲线是一个闭合的回路,曲线的上半支对应绳索伸长量增加过程,下半支对应绳索伸长量减小过程。

在对绳索加载和卸载的过程中,当绳索伸长量相同(滑块处于同一位置)时对应的拉力并不相同,存在着明显的拉力迟滞效应;同样地,当对绳索加载的拉力相同时,也对应了两个绳索的绳长变化量,表现出绳索伸长的迟滞现象。Kevlar绳索迟滞现象的产生机理比较复杂,不仅在微观上与材料本身的分子结构有关,而且在宏观上与纤维加捻捻度及缠绕并线方式有关。迟滞现象是由绳索的动态蠕变、硬化,短期和长期恢复能力等复杂因素综合作用的结果[35]

这里,我们定义迟滞环中绳长变化量x=0时最大拉力与最小拉力的差值为迟滞环的宽度。这个量表征了迟滞现象的严重程度。图5中,振幅0.6 mm的迟滞环宽度最小,振幅0.8 mm的迟滞环宽度比0.6 mm增加12.3%,振幅1 mm的迟滞环宽度比0.6 mm增加20.5%。这表明,不同振幅对于迟滞环的宽度有一定影响,即会影响迟滞的严重程度。

2.3 迟滞效应模型的参数识别

根据测量所得的绳拉力和绳长变化数据,利用Origin软件进行参数识别。对绳的每一个运动周期采集256组拉力及对应的绳索伸长量数据。A=1 mm时对应的参数识别结果如表1所示。

以上通过伸-缩实验得到了绳索的迟滞曲线,进而通过参数识别得到了绳索迟滞模型的显性表达式。图6所示为参数识别结果(图中绳拉力T拟合结果表示)与试验数据(图中绳拉力T表示)的对照图,两者的吻合情况比较好。通过不同的预紧力和振幅、频率等的实验,可以得到不同情况下的迟滞曲线。

表1 迟滞曲线参数识别结果(L0=700 mm, A=1 mm)
Table 1 Parameters identification result of the hysteresis curve (L0=700 mm, A=1 mm)

项目 r1(A) r2(A) r3(A) Sa参数值 6.42794 0.05934 -0.12531 1.10174标准差 0.04444 0.01623 0.05621 0.020211

图6 参数识别结果与实验数据对比
Fig.6 Comparison between identification result and the experimental data

对于作为模型支撑进行风洞试验的WDPR,在采用绳拉力解算模型气动参数过程中如果考虑迟滞效应,可以改进绳拉力解算法,使解算结果更准确;在动平台(飞行器模型)运动控制过程中计入绳拉力迟滞的影响,可以提高模型姿态的控制精度。

3 迟滞效应影响因素

绳索的迟滞现象受到多种因素的影响,对这些因素的探讨可以为绳系并联机器人的应用提供参考。本节对不同材质的绳索在不同加载条件下进行伸-缩实验研究,借以探索各种因素对绳索迟滞特性的影响。

表2 Kevla-5绳与钢丝绳特性参数
Table 2 Characteristic parameters of Kevlar-5 and wire rope

特性参数 Kevlar-5 钢丝绳直径φ/mm 0.6 0.5长度L0/mm 1800 1800密度/(g/cm³) 1.44 7.9抗拉强度Rm/GPa 3.6 1.37弹性模量E/GPa 17.8 76.1比模量/(×106 m2/s2) 12.36 9.62

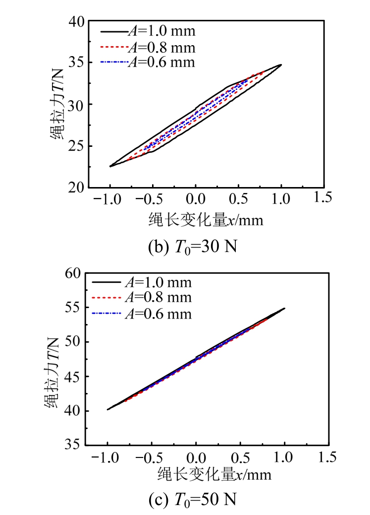
本文采用两种不同材质的绳索进行实验,考察绳索材质在迟滞效应中的作用。用于进行迟滞效应实验的绳样件分别为直径d=0.6 mm的Kevlar-5绳和d=0.5 mm的钢丝绳,它们的相关特性参数见表2所示。钢丝绳的特性参数来自于GB/T8918―1996中,Kevlar-5绳的特性参数系本文的实验研究结果。图7为Kevlar-5绳在不同加载条件下的伸-缩实验结果。图7(a)为绳预紧力T0=23 N时不同振幅下的迟滞曲线。从图中可以看出,振幅对迟滞环的位置影响不大,但会改变迟滞环面积。当绳索预紧力提高到T0=30 N,如图7(b)所示,随绳预紧力的增加,迟滞现象减弱。这一现象在绳索预紧力进一步增加到图7(c)中的T0=50 N时更加明显,此时迟滞现象基本消失。

绳索迟滞现象不仅受到振幅和预紧力等的影响,还与绳索材质有关。由于材质的物性参数(如比弹性模量等)不同,迟滞特性曲线也会有较大的差异。

图7 Kevlar-5号绳的迟滞曲线
Fig.7 Hysteresis curve of Kevlar-5

图8所示为d=0.5 mm的钢丝绳在不同的预紧力加载条件下进行伸-缩实验得到的迟滞曲线,钢丝绳的相关特征参数如表2所示。

图8 钢丝绳的迟滞曲线
Fig.8 Hysteresis curve of wire rope

观察图7可以发现,当预紧力从图8(a)中的T0=30 N增加到图8(b)中的T0=40 N,钢丝绳的迟滞曲线形状变化不大。但图8(c)中,预紧力增加到T0=50 N时,迟滞环面积明显减小。但是,对比图7和图8的迟滞曲线可以发现,在预紧力相同的情况下,Kevlar绳的迟滞曲线面积比钢丝绳的小。特别地,当预紧力T0=50 N时,Kevlar绳的迟滞现象基本可以忽略不计,而钢丝绳的迟滞环依然比较明显。

这表明,相同预紧力下钢丝绳的迟滞效应比Kevlar绳要明显得多,亦即若以钢丝绳作为牵引绳,在风洞试验中要想降低绳拉力迟滞效应,需要提供的预紧力要比Kevlar绳的大。

迟滞现象广泛存在于各种材质的绳索中。根据以上实验结果,当绳拉力值比较小时,迟滞现象比较明显,会对动平台(模型)位姿的力位混合控制及绳拉力的气动参数解算带来一定的误差。加大绳索的预紧力可以减轻绳拉力的迟滞现象。

研究表明,与钢丝绳相比,Kevlar绳在相同拉力下的迟滞效应比较小,以其作为绳系并联机器人支撑机构的牵引绳索比用钢丝绳具有一定的优势。另外,Kevlar绳相比于钢丝绳,在动平台上的固紧方面也较容易且可靠。因此,在将绳系并联机构应用于风洞试验的模型支撑时,建议选择Kevlar绳。本文以下仅对绳迟滞效应的研究都针对Kevlar绳进行。

4 WDPR中绳迟滞效应的数学描述与分析

4.1 迟滞效应对模型气动力影响的计算方法

绳索甚至绳系的迟滞效应会对样机系统、动平台(飞行器模型)的控制,以及风洞试验结果产生影响,比较直接的影响是模型姿态的控制和依靠绳拉力对模型气动参数的解算。

WDPR的长处是用于飞行器模型做风洞动态试验的支撑。当进行某个姿态角(例如俯仰角)下的动导数试验时,模型做简谐振荡运动,牵引模型的8根绳也以相同的频率进行简谐运动规律的运动。

由于通过绳拉力进行模型气动参数解算是建立在绳索线弹性模型的基础上的,所以可以近似认为,迟滞曲线加载和卸载过程中,绳长相同时拉力差值的一半即为绳索迟滞效应产生的影响。根据这一原则,以第i根绳索为例,绳索产生的最大附加拉力计算方法如下:

当模型以正弦规律进行振荡运动时,由于在平衡位置处绳索变形量为零,即x=0,则此时式(6)可以化简为:

式(11)只包含预紧力及速度项,滑块以不同方向靠近平衡位置时,sgn(v)取值分别为1或-1。此时将式(11)代入(10)可以得到:

由式(12)可得因为绳索迟滞现象而产生的绳拉力变化,因此而带来的气动力和气动力矩解算结果的差别为:

式中:为沿OXOYOZ三个坐标轴方向的气动力;为绕OXOYOZ三个坐标轴的气动力矩;为由于绳拉力迟滞而产生的附加拉力矢量。

以上给出了描述WDPR中的模型做简谐运动过程时绳索迟滞效应对用绳拉力解算模型气动力影响的数学表达式。

4.2 WDPR牵引绳迟滞环特性分析

由于各牵引绳在机构中的位置不同,模型在振荡过程中各绳长度变化情况并不一致。各绳索拉力的加载和卸载方向不同,使得模型运动过程中各绳索拉力迟滞环的方向也不尽相同,它们会不同程度地影响模型位姿的控制精度和气动参数解算结果的可信度。针对图2中所示的绳系结构与模型的连接情况,根据绳系并联机构的力闭合分配原理[36],进行动力学方程求解,可以得到各绳索在模型姿态变化过程中的拉力变化情况。

图9所示为WDPR-8的模型在俯仰振荡过程中一个运动周期内各绳拉力的数值仿真结果。运动过程中,若俯仰角先增大后减小,绳索1、绳索2、绳索5和绳索8先伸长后缩短,绳拉力先减小后增大,其迟滞环为顺时针方向;绳索3、绳索4、绳索6和绳索7则是先缩短后伸长,绳拉力先增大后减小,所以其迟滞环呈现出逆时针的方向。以上迟滞环方向如图10所示。

图9 俯仰振荡中各绳拉力情况
Fig.9 Tension of wires during pitching oscillation

图10所示为与图9相对应的由实验得到的各绳索的迟滞环方向示意图,表明WDPR中不同牵引绳的迟滞环方向。迟滞环方向不同,ΔT中各分量的符号会不同,从而对模型气动参数的求解结果产生不同的影响。

图10 俯仰振荡过程中各绳索迟滞环分布
Fig.10 Hysteresis loop of wires in pitching oscillation

图10的迟滞环实际上反映了两种含义的迟滞现象。一种是绳拉力的迟滞,即一个绳伸长量对应两个拉力;一种是绳长度变化的迟滞,即一个绳拉力对应两个绳伸长量。

这两种绳的迟滞效应在WDPR用于风洞试验模型支撑做动态试验时将带来两种不同的影响。前者(绳拉力的迟滞)将对模型气动参数的解算结果造成影响,后者(绳长度变化的迟滞)则会影响模型位姿的控制精度。下面对这两种影响分别进行分析。

5 迟滞效应影响分析

由上述实验结果可知,相同实验条件下,Kevlar绳的迟滞效应比钢丝绳小,且Kevlar绳的其它力学性能不低于钢丝绳,更适合于本文涉及的WDPR绳系并联机构。因此下文中牵引绳迟滞效应对模型气动参数解算及位姿控制影响的分析数据都是针对Kevlar绳的。分析以模型进行俯仰振荡运动为例,模型运动的俯仰角振幅为10°,振荡频率f=1.2 Hz。

5.1 迟滞效应对模型气动参数解算的影响

首先讨论绳拉力迟滞效应对模型气动参数解算的影响。以升力系数为例进行分析。

考虑到绳索预紧力在迟滞效应中的作用,加之迟滞环的方向对气动力参数解算结果的影响,将不同预紧力下各绳由于迟滞而产生的附加拉力矢量代入式(13),得到各迎角下模型升力系数受迟滞效应的影响情况,其结果如图11所示。求解过程中,绳索长度为实际绳长,其长度随模型迎角的不同而变化。

图11 迟滞效应对升力系数的影响
Fig.11 The influence of hysteresis effect on CL

图11中的σ0表示绳的预紧力水平。图中曲线表明,同一预紧力水平下,迎角越大,绳索迟滞效应对升力系数的影响越明显,这种影响接近为线性。预紧力水平为σ0=1.53 MPa(相当于T0=30 N)时,导致升力系数的增加大于0.1%;而当预紧力水平为σ0=2.55 MPa(相当于T0=50 N)时,虽然升力系数随迎角增大稍有增加,但在迎角30°时,其变化比σ0=1.53 MPa时要低将近一个数量级。

由图11可见,预紧力水平对于绳迟滞效应的影响比较明显,并将进一步影响到气动参数解算的结果。

在用WDPR作为模型支撑进行风洞试验时,为了排除模型的重力、惯量等的影响,通常采用吹风数据减无风数据的方法获得纯粹的气动参数。需要指出的是,无论是吹风或是无风时,在模型做动态试验的运动过程中绳索的迟滞效应是一直存在的,且迟滞环的方向也是一样的。因此在处理试验数据时,由于绳拉力迟滞而对气动参数解算带来的最终影响将小于图11中给出的差别。因此,当预紧力水平为σ0=2.55 MPa时,绳拉力迟滞对气动参数解算产生的影响是可以忽略的。

5.2 迟滞效应对模型位姿的影响

其次讨论绳长度迟滞效应对模型位姿的影响。以模型的俯仰角变化为例进行分析。

在WDPR支撑机构中,模型的位姿是由各牵引绳长决定的。由绳迟滞效应可知,模型做动态试验时,迎角增大和减小的过程中,绳索时而伸长,时而缩短,同一个绳拉力会对应着两个不同的绳索伸长量(即不同的绳索长度),从而对模型的位姿产生影响。

已知绳索长度变化分析模型位姿受到的影响属于典型的并联机构求正解问题,故采用文献[37]中提出的正解算法来进行分析计算。此处仍然以迟滞实验数据为参照分析不同迎角、不同预紧力下绳索迟滞效应对模型位姿的影响,结果如图12所示。

图12 绳索迟滞效应对姿态角的影响
Fig.12 The influence of hysteresis effect on attitude

从图12可以看出,当预紧力水平为σ0=1.53 MPa时,虽然迟滞效应对模型俯仰角的影响随迎角的增加而减小,但却给模型俯仰角带来较大的误差;当预紧力水平为σ0=2.55 MPa时,迟滞效应对俯仰角的影响要比σ0=1.53 MPa时小得多,虽然这时模型的俯仰角因绳的迟滞现象略有增减,但引起的俯仰角偏差在0.01°附近。当模型做动态试验时,在大多数情况下,姿态角误差要求控制在0.1°的范围内。因此,图12的误差是可以接受的。这种影响在吹风和无风过程中是同时存在且方向相同,对最终模型位姿精度控制的影响会更小。与5.1结果类似,预紧力越大,绳长度迟滞现象对模型位姿的影响越小。

5.3 迟滞效应影响判据

以上分析结果说明,在绳系并联支撑机构中,虽然绳迟滞效应涉及的因素较多,但是在绳索选定后,预紧力的大小对迟滞效应影响显著。在保证支撑系统和模型安全的前提下,尽量提高绳索的预紧力,可以最大程度地降低迟滞效应的影响,从而改进绳拉力解算气动参数的结果,以及提高模型姿态控制精度。

以上研究结果表明,当绳索预紧力达到一定的程度,可以用绳索线弹性模型代替迟滞模型,忽略迟滞效应对风洞试验的影响。

S为绳拉力T与绳直径d之比,即:

根据上述研究结果可知,在本文的研究范围内,当S>105时,基本可以忽略绳迟滞效应的影响。该S值可作为绳迟滞效应影响的判据,也可以作为WDPR支撑机构的一个设计规范。牵引绳的材质不同时,S的取值可能不同。

6 结论

本文对绳索拉力迟滞现象进行了深入的研究。根据实验数据建立了绳索迟滞模型;通过伸-缩实验探讨了绳索迟滞现象的影响因素;以风洞模型支撑绳牵引并联机构WDPR为例,分析了绳索迟滞效应对试验模型气动参数解算和位姿精度控制的影响,提出了迟滞效应影响判据,可供设计参考。

研究得到的具体结论如下。

(1) 对绳迟滞效应影响较大的因素主要是,绳的预紧力、绳的材质;

(2) Kevlar绳的迟滞效应比钢丝绳低,更适用于对绳迟滞效应有要求的场合;

(3) 预紧力对绳索迟滞效应影响明显。在保证实验台架和模型安全的前提下,可以通过提高牵引绳的预紧力来尽量降低绳迟滞效应;

(4) 对于绳系并联支撑机构,在牵引绳确定的情况下,存在由绳拉力与绳直径之比决定的迟滞效应影响判据S,并可将其作为机构设计的一个规范。

本文的研究结论对绳系并联机器人的设计及其在工程中的应用具有重要的指导意义。

参考文献:

[1]余本崇.复杂太空环境下柔性绳系卫星动力学与控制[D].南京: 南京航空航天大学, 2011.Yu Benchong.Dynamics and control of flexible tethered satellite in complex space environment [D].Nanjing:Nanjing University of Aeronautics and Astronautics, 2011.(in Chinese)

[2]Tang X Q.An overview of the development for cable-driven parallel manipulator [J].Advances in Mechanical Engineering, 2014(823028): 1―9.

[3]Bruckmann T, Sturm C, Lalo W.Wire robot suspension systems for wind tunnels [R].http://www.intechopen.com/books/Wind-tunnels-and-experimental-fluid-dynamic s-research/wire-robot-suspension-systems-for-wind-tunnel s, 2010.

[4]Jean-Baptiste I, Alexandre D, Pierre-Elie H, et al.On the improvements of a cable-driven parallel robot for achieving additive manufacturing for construction [J].Mechanisms and Machine Science, 2018, 53(1): 353―363.

[5]Agrawal S K, Dubey V N, Gangloff J J, et al.Design and optimization of a cable driven upper arm exoskeleton [J].Journal of Medical Devices-Transactions of the ASME,2009, 3(031004): 1―8,.

[6]Surdilovic D, Zhang J, Bernhardt R.String-man:wire-robot technology for safe, flexible and human-friendly gait rehabilitation [C].Proceedings of 10th IEEE International Conference on Rehabilitation Robotics.Noordwijk, Netherlands, 2007: 446―453.

[7]Badi Abdelhak.Inverse kinematics for a novel rehabilitation robot for lower limbs [J].Mechanisms and Machine Science, 2018 (53): 376―389.

[8]李辉, 朱文白, 潘高峰.基于索力优化的FAST柔索牵引并联机构的静力学分析[J].工程力学, 2011, 28(4):185―193.Li Hui, Zhu Wenbai, Pan Gaofeng.Equilibrium analysis of fast rope-drive parallel manipulator based on rope force optimization [J].Engineering Mechanics, 2011, 28(4):185―193.(in Chinese)

[9]赵保庆, 王启明, 李志恒, 等.FAST圈梁支承结构性能理论与实验研究[J].工程力学, 2018, 35(增刊1): 200―204.Zhao Baoqing, Wang Qiming, Li Zhiheng, et al.Performance research of fast ring beam by theoretical and experimental [J].Engineering Mechanics, 2018,35(Suppl1): 200―204.(in Chinese)

[10]Li Hui, Sun Jinghai, Pan Gaofeng, et al.Preliminary running and performance test of the huge cable robot of FAST telescope [J].Mechanisms and Machine Science, 2018 (53): 402―414.

[11]Farcy D, Llibre M, Carton P.SACSO: Wire-driven parallel set-up for dynamic tests in wind tunnel-review of principles and advantages for identification of aerodynamic models for flight mechanics [C].8th ONERA-DLR Aerospace Symposium, Göttingen,Germany, 2007.

[12]Xiao Y W, Lin Q, Zheng Y Q, et al.Model aerodynamic tests with a Wire-driven Parallel Suspension System in Low-speed Wind Tunnel [J].Chinese Journal of Aeronautics, 2010, 23(4): 393―400.

[13]Lambert T, Vukasinovic B, Glezer A.A six degrees of freedom dynamic wire-driven traverse [J].Aerospace.2016, 3(2): 11―26.

[14]苏宇, 仇原鹰, 韦慧玲.考虑绳索质量和惯性力影响的绳牵引并联机器人动力学建模和张力优化求解[J].工程力学, 2016, 33(11): 231―248.Su Yu, Qiu Yuanying, Wei Huiling.Dynamic modeling and and tension optimal distribution of cable-driven parallel robots considering cable mass and inertia force effects [J].Engineering Mechanics, 2016, 33(11): 231―248.(in Chinese)

[15]Chailleux E, Davies P.Modelling the non-linear viscoelastic and viscoplastic behavior of aramid fiber yarns [J].Mechanics of Time-Dependent Materials, 2003,7(3/4): 291―303.

[16]易琳, 王班, 郭吉丰.Kevlar绳索非对称迟滞模型及参数识别[J].浙江大学学报(工学版), 2015, 49(7):1376―1381.Yi Lin, Wang Ban, Guo Jifeng.Modeling and identification of asymmetric hysteresis for Kevlar tether[J].Journal of Zhejiang University (Engineering Science),2015, 49(7): 1376―1381.(in Chinese)

[17]卢啸, 吕泉林.自复位粘弹性腹杆的力学原理与滞回性能研究[J].工程力学, 2019, 36(6): 138―146.Lu Xiao, Lü Quan-lin.Study on the mechanics principle and hysteretic behavior of self-centering viscoelastic diagonal members [J].Engineering Mechanics, 2019,36(6): 138―146.(in Chinese)

[18]靳永强, 李钢, 李宏男.基于拟力法的钢支撑非线性滞回行为模拟[J].工程力学, 2017, 34(10): 139―148.Jin Yongqiang, Li Gang, Li Hongnan.Numerical simulation of steel brace hysteretic behavior based on the force analogy method [J].Engineering Mechanics, 2017,34(10): 139―148.(in Chinese)

[19]Bouc R.A mathematical model for hysteresis [J].Acustica, 1971(21): 16―25.

[20]Wen Y K.Method for random vibration of hysteretic systems [J].Journal of Engineering Mechanics Division-ASCE, 1976, 102(2): 249―263.

[21]Song J, Kiureghian A.Generalized bouc-wen model for highly asymmetric hysteresis [J].Journal of engineering mechanics, 2006, 132(6): 610―618.

[22]Do T, Tjahjowidodo T, Lau M, et al.Hysteresis modeling and position control of tendon-sheath mechanism in flexible endoscopic systems [J].Mechatronics, 2014,24(1): 12―22.

[23]Schwanen W.Modelling and identification of the dynamic behavior of a wire rope spring [J].Technische Universiteit Eindhoven, 2004.

[24]Miyasaka M, Haghighipanah M, Li Y, et al.Hysteresis model of longitudinally loaded cable for cable driven robots and identification of the parameters [C].IEEE International Conference on Robotics and Automation (ICRA), 2016:4015―4057.

[25]Badrakhan F.Rational study of hysteretic systems under stationary random excitation[J].Non-Linear Mech, 1987,22(4): 315―325.

[26]Ismail M, Ikhouane F, Rodellar J.The hysteresis bouc wen model, a survey [J].Arch Compute Methods Engneering.2009, 16(2): 161―188.

[27]Charalampakis A E, Koumousis V K.Identification of Bouc-Wen hysteretic systems by a hybrid evolutionary algorithm [J].Journal of Sound and Vibration, 2008,314(3/5): 571―585.

[28]Miermeister P, Kraus W, Lan T, et al.An elastic cable model for cable-driven parallel robots including hysteresis effects [J].Mechanisms and Machine Science, 2015(32):17―28.

[29]冀洋锋, 林麒, 胡正红, 等.基于绳系并联机器人支撑系统的SDM动导数试验可行性研究[J].航空学报,2017: 38(11): 121330.Ji Yangfeng, Lin Qi, Hu Zhenghong, et al.Feasibility investigation on dynamic stability derivatives test of sdm model with wire-driven parallel robot suspension system[J].Acta Aeronautica et Astronautica Sinica, 2017, 38(11):121330.(in Chinese)

[30]王晓光, 王义龙, 林麒, 等.风洞试验绳牵引并联机器人高精度控制仿真[J].动力学与控制学报, 2016(5):475―480.Wang Xiaoguang, Wang Yilong, Lin Qi, et al.High Precision Control of Wire-driven Parallel Robot in Wind Tunnel Test [J].Journal of Dynamics and Control,2016(5): 475―480.(in Chinese)

[31]岳遂录.WDPSS-8并联机构的关键理论问题分析及其风洞试验应用研究[D].厦门: 厦门大学, 2013: 59―62.Yue Suilu.Key Theoretical Issue Analysis and Applied Research on Wind Tunnel Tests of WDPSS-8 [D].Xiamen: Xiamen University, 2013: 59―62.(in Chinese)

[32]Yuan H, Courteille E, Deblaise D.Static and dynamic stiffness analyses of cable-driven parallel robots with non-negligible cable mass and elasticity [J].Mechanism and Machine Theory, 2015, 85: 64―81.

[33]林麒, 彭苗娇, 沈浪.一种用于测量绳索阻尼参数的实验方法[P].CN201710584399.6.2017-07-18.Lin Qi, Peng Miaojiao, Shen Lang.An experimental method for measuring cable damping parameters [P].CN201710584399.6.2017-07-18.

[34]Wolons D, Gandhi F, Malovrh B.Experimental investigation of the pseudoelastic hysteresis damping characteristics of shape memory alloy wires [J].Journal of Intelligent Material Systems and Structures, 1998, 27(3):116―126.

[35]Choi S H, Park K S.Integrated and nonlinear dynamic model of a polymer cable for low-speed cable-driven parallel robot [J].Microsystem Technologies, 2017, 35(2):335―352.

[36]Wen B L, Yang G, Yeo S H, et al.A generic force-closure analysis algorithm for cable-driven parallel manipulators[J].Mechanism and Machine Theory, 2011, 46(9): 1265―1275.

[37]王晓光, 马少宇, 彭苗娇, 等.绳牵引并联机器人弹性变形对动平台位姿精度的影响[J].计算力学学报.2016(3): 306―312.Wang Xiaoguang, Ma Shaoyu, Peng Miaojiao, et al.Influence of elastic deformation on pose precision of moving platform for wire-driven parallel robot [J].Chinese Journal of Computational Mechanic, 2016(3):306―312.(in Chinese)

EXPERIMENTAL RESEARCH OF HYSTERESIS EFFECT OF WIRE AND ITS INFLUENCE ON WIRE-DRIVEN PARALLEL SUSPENSION MECHANISM

JI Yang-feng1, 2, LIN Qi1, PENG Miao-jiao1, LIU Ting1, WU Hui-song1
(1.School of Aerospace Engineering, Xiamen University, Xiamen 361005, China; 2.Chengyi University College, Jimei University, Xiamen 361021, China)

Abstract: Due to the advantages of structural simplicity, large workspace and low inertia, wire-driven parallel suspension mechanism is widely used.An experimental study is carried out on the hysteresis effect of a suspension wire.Firstly, the mathematical model of hysteresis curve in a Wire-driven Parallel Robot (WDPR) is analyzed and the corresponding parameters of the model are identified through experimental data.Secondly, the influencing factors of hysteresis phenomenon are discussed through hysteresis experiments under different conditions.Then the influence of hysteresis effect on pose and aerodynamic parameter calculation of the model is analyzed.Finally, the magnitude of the influence is analyzed based on the parameters of a WDPR prototype.The results exhibit the influence of hysteresis effect on both the pose and aerodynamic parameter calculation through wire tensions, and the material of wire is also one of the factors that cannot be ignored in relation to the hysteresis.Furthermore, the influence of hysteresis effect, dominantly determined by the level of preload, can be ignored when the preload increases to a certain extent.

Key words: wire-driven parallel robot; hysteresis effect of wire; hysteresis test; stretching and contracting tests of wire; analysis of hysteresis effect influence

中图分类号:V260.5;TH112

文献标志码:A

doi: 10.6052/j.issn.1000-4750.2018.11.0612

文章编号:1000-4750(2019)11-0212-10

收稿日期:2018-11-07;修改日期:2019-06-27

基金项目:国家自然科学基金项目(11472234)

通讯作者:林 麒(1954―),女,广东人,教授,博士,博导,主要从事空气动力学试验研究(E-mail: qilin@xmu.edu.cn).

作者简介:

冀洋锋(1981―),男,陕西人,博士,主要从事绳系并联机器人及风洞试验技术研究(E-mail: mich0204@126.com);

彭苗娇(1987―),女,福建人,博士生,主要从事绳系并联机器人的振动特性研究(E-mail: pmj1819@163.com);

柳 汀(1984―),男,吉林人,博士生,主要从事新型风洞试验支撑技术研究(E-mail: 283587926@qq.com);

吴惠松(1985―),男,福建人,博士生,主要从事风洞虚拟飞行研究(E-mail: 504056822@qq.com).