基于安全性分析的山区公路弯坡组合路段设计指标研究

岳 雷1,王 慧2,杜豫川1,姚红云3

(1.同济大学道路与交通工程教育部重点实验室,上海201804;2.重庆大学土木工程学院,重庆 400045;3.重庆交通大学交通运输学院,重庆 400074)

摘 要:我国当前设计方法对于山区公路,尤其是弯坡组合路段安全性考虑不足。基于车辆在弯坡组合路段行驶的安全性分析,以事故临界状态为限制条件建立弯坡组合路段安全模型。基于安全模型计算讨论了大小代表车型下,弯坡组合路段最小半径、最大坡长等关键设计指标受车路参数的影响及变化规律,利用Carsim仿真软件对变化规律进行了一致性验证,验证了该安全模型的有效性。根据安全模型及仿真计算结果,弯坡组合路段最小半径值与设计车速、路段坡度成正比,与路段超高、横向附着系数值成反比;弯坡组合路段最大坡长值与道路滚动阻力系数、滑移率成正比,与设计车速、路段坡度,以及车型大小成反比,但总体受超高值影响较小。进一步计算分析了考虑车辆实际运行车速下的弯坡组合路段设计指标阈值,并指出对于弯坡组合路段应尽可能采取小纵坡并增大最小半径值,以提高山区公路弯坡组合路段安全水平。

关键词:道路工程;山区公路;设计指标;弯坡组合路段;安全性分析

我国西部山区公路弯坡组合路段是典型事故危险路段。以重庆为例,一般等级公路中弯坡组合路段占事故路段的比例超过28%,且事故烈度较大,但现有规范中对此考虑不足[1]。《公路路线设计规范》(JTG D20―2017)对弯坡组合路段合成坡度进行了限制,但设计指标阈值的设定并未充分反映平曲线和纵坡的相互作用影响。韩国学者发现横纵曲线组合的路段往往更容易发生危险性较高的事故[2]。Montella等[3]也指出线形组合的协调性设计是山区公路设计的关键。

目前,国内外研究学者对弯坡组合路段设计指标研究主要分为三类:一是从车辆行驶稳定性入手,分析车辆失稳状态与道路设计指标的相关关系。例如重庆交通大学谢威[4]利用车辆行驶仿真分析,研究了弯坡组合路段设计参数对车辆行驶安全的影响。二是从以人为本理念出发,通过大量的试验建立驾驶员主观反应与道路设计指标的关系。例如同济大学潘晓东等[5]研究建立有驾驶员心率变动与道路单位交角曲线长的回归关系,通过驾驶员反映来表征路段危险程度。三是将可靠性理论引入道路设计,提出弯坡组合路段设计指标的可靠性设计方法。例如Shin和Lee[6]采用基于可靠性的优化设计,在设定目标可靠度水平下求得此时的道路平曲线最小半径值等。还有学者基于事故数据统计,回归建立起不同弯坡组合设计指标的事故概率,例如陈富坚等[7]以灾害事件统计构建了高速路圆曲线半径计算模型及设计方法等。

Xu等[8]指出基于设计速度的路线设计方法对于限速较低的山区高速公路来说并不适合。Camacho-Torregrosa等[9]提出了一致性评估方法作为估算公路段安全性的替代措施。弯坡组合路段设计较单弯道及单坡道设计更为复杂,无论是建立在驾驶员主观反应的设计方法,还是基于可靠性的设计方法,其本质都是对事故的概率分析。并且大部分研究针对高速公路,对于山区一般等级公路的分析及数据积累较少,可靠性存疑[10]。建立在车辆行驶稳定性分析的设计方法基于事故本质,困难在于建立合理的安全模型,并将结果转化为山区公路设计指[11]

本文基于车辆工程研究成果及山区公路事故调查数据,综合考虑车路间相互作用影响,建立基于车辆多自由度动力学的行驶安全模型,以山区公路弯坡组合路段事故临界形态为约束条件,计算弯坡组合路段设计指标阈值,为指导合理确定弯坡组合路段设计指标,提升山区公路安全度水平提供参考和依据。

1 弯坡组合路段安全模型构建

1.1 车辆行驶安全性分析

1.1.1 车辆多自由度动力学分析

车辆在弯坡组合路段行驶时受离心力及纵向力等共同作用,车-路参数显著影响车辆受力状况,进而影响车辆行驶安全性。道路设计应用中要考虑确保车辆处于安全水平之上,将道路设计参数与车辆参数建立协调关系。而车辆在弯坡组合路段受力较为复杂,其前后轴、内外侧车轮的受力分布不均,并与车辆行驶加减速状态等相关。当前我国规范采用的整车受力模型不足以全方位表征车辆受力。选取车辆纵向运动、横向运动、横摆运动,以及4个车轮转向运动总共7个自由度来全面描述车辆行驶状态,如图1所示。

图1 弯坡组合路段车辆受力分析图
Fig.1 Force analysis of the vehicle on the assemble section of flat and vertical curve

设车辆在纵坡为α/(%),半径为R/m,超高为β/(%)的弯坡组合路段上行驶,车辆前进方向为x轴,垂直于车辆前进方向为y轴,v/(m/s)为车辆纵向速度;u/(m/s)为车辆侧向速度;m/kg为车辆质量;Lf/m、Lr/m分别为前后轴距。Fxfl/N、Fyfl/N、Fzfl/N分别为左前轮纵向力、左前轮侧向力、左前轮垂直荷载;B/m为轮距。

根据重庆地区弯坡组合路段事故调查,弯坡组合路段主要事故形态为纵向制动器持续制动温升失效和车辆横向失稳。因此,要保障车辆在弯坡组合路段行驶稳定性,需满足横向和纵向两方面稳定性,即满足式(1):

式中:Rhmin/m为保证不发生横向侧滑失稳的最小半径;Rfmin/m为保证不发生横向侧翻失稳的最小半径,可由式(4)和式(5)计算得到;SFmax/m、SRmax/m 为保证前后轮制动器不失效对应的最大坡长,可由式(12)计算得到。

车辆在弯坡组合路段行驶时,其重力可分解为垂直于坡面的作用力G.cosα,以及平行于坡面的作用力G.sinα,平行于坡面的作用力对于横向力不产生影响,则其前后轴所受横向力如式(2)所示:

式中,Fhf/N、Fhr/N分别为前后轴所受横向力。

1.1.2 车轮垂直荷载

轮胎垂直荷载与事故状态密切相关且处于动态变化中,将轮胎简化为Dugoff模型[12],计算轮胎垂直动荷载随汽车加速、转向、制动等行驶工况的变化情况。在忽略轮胎质量的情况下,轮胎对路面施加移动载荷作用[13],计算各车轮垂直动荷载见式(3):

式中:Fz1/N、Fz2/N、Fz3/N、Fz4/N分别为左前轮、右前轮、左后轮、右后轮垂直荷载;为车辆侧向加速度;为车辆纵向加速度,在研究中可假设车辆在弯坡组合路段匀速行驶,此时=0。

1.1.3 横向附着力

车辆横向附着力等于轮胎所受垂直荷载与横向附着系数的乘积,则车辆前后轮所受横向附着力如式(4):

式中:Fφf/N 、Fφr/N 分别为前后轮所受横向附着力;Fg =mv2/Rϕ为横向附着系数。

1.2 弯坡组合路段安全模型

1.2.1 横向失稳

弯坡组合路段横向失稳具体分为横向侧滑和横向侧翻两种类型。

1) 横向侧滑失稳

当车辆前后轴任一所受横向力大于横向附着力,车辆会发生侧滑失稳。要避免此种事故,弯坡组合路段的最小半径需满足式(5):

对比单弯道路段不发生横向侧滑的最小半径为:Rhminv2(1-ϕ.tanβ)/(g (ϕ+tanβ))。当叠加上纵坡作用因素后,因此时cosα<1,则RhRhmin,即同样条件下,弯坡组合路段的侧滑临界最小半径值大于单弯道路段的侧滑临界最小半径值,弯坡组合路段较单弯道路段更易发生侧滑失稳。

2) 横向侧翻失稳

当车辆所受横向力矩大于等于稳定力矩时将发生横向侧翻,此时车辆内侧车轮的地面支撑力为0。要避免发生此种事故,弯坡组合路段的最小半径应满足式(6):

对比单弯道路段时侧翻临界最小半径:Rfminv2(2hg-Btanβ)/(g(B+2hgtanβ))。当叠加上纵坡作用因素后,此时cosα<1,则RfRfmin,即弯坡叠加路段侧翻临界最小半径值同样要大于单弯道路段侧翻临界最小半径,即弯坡叠加路段更易发生侧翻失稳。

根据重庆地区山路调查结果,大多数山区公路满足ϕ≥0.15,则RhRf ,即相较于横向侧翻失稳,在弯坡组合路段更易发生横向侧滑失稳,侧滑是主要考虑的事故类型。

1.2.2 纵向失稳

车辆在弯坡组合路段发生纵向失稳事故形态同样包括纵向倾覆和纵向滑移两种情形。

1) 纵向倾覆

当车辆在弯坡组合路段上、下坡向行驶时,要避免发生纵向倾覆,各力矩需同时满足式(7):

由于山区公路坡度角α、超高β一般不超过10%,按照《规范》中各代表车型hg,代入计算式(7)恒成立,即弯坡组合路段一般不会发生纵向倾覆。

2) 纵向滑移

要避免发生纵向滑移,车辆所受下滑力应小于等于弯坡路面提供的最大附着力,如式(8):

坡度角α、超高β较小,cosα≈1,cosβ≈1,而根据调查山区公路一般满足ϕ≥0.15,式(8)恒成立,即一般不会发生纵向滑移事故。

1.2.3 制动器失效

车辆在弯坡组合路段下坡向持续制动过程中,还应考虑避免制动器制动升温造成的热衰退现象。制动器温升规律与众多影响因素相关。本文基于能量守恒定律,建立制动器温升模型与弯坡组合路段设计指标的相关关系。

车辆在坡度为α/(%)、超高为β/(%)、坡长为S/m 的弯坡组合路段下坡向行驶时,其重力势能、动能以及各种阻力做功的变化量等于车辆制动消耗的总能量,如式(9):

式中:Q(t)/J为车辆下坡制动中消耗的总能量;ΔEh/J为车辆下坡行驶时重力势能变化量,ΔEh =G.S.sinα;ΔED/J为车辆动能变化量,为车辆初始速度,vt/(m/s)为车辆在坡底处速度;ΔWE/J为车辆下坡行驶中所受各种阻力做功;ΔWF/J为发动机制动做功,与车型、速度、所挂档位等相关,一般通过发动机制动试验获得,但相关研究表明其远小于制动器制动做功,只是辅助制动方式[14]

而车辆下坡行驶中所受阻力做功主要包括空气阻力、滚动阻力,即式(10):

式中:为平均空气阻力,研究表明其主要与车辆行驶速度和风阻系数等有关[15],可取为为空气阻力系数,A/m2为车辆迎风面面积;Sφ为车辆制动时路段上的滑移率,并假设前后轮滑移率相同;f为滚动阻力系数。

综上,忽略发动机制动做功,车辆在弯坡组合路段下坡制动过程中消耗的总能量变化如式(11)所示:

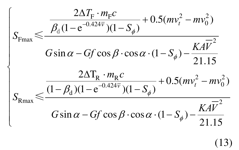
车辆制动消耗的总能量在制动器与轮胎之间分配,制动器消耗的热量则为制动器升温消耗的热量与热对流、热辐射等耗散的热量之和[16]。制动器温升热量与制动消耗总能量的关系可采用制动器吸热比p来表示[17]则制动器升温计算模型如式(12):

式中:ΔQF(t)/J 、ΔQR(t)/J分别为前后轮制动消耗的热量;mF/kg、mR/kg分别为前后制动盘(鼓)质量;c/(J/kg·℃)为比热容;βd为前后轮制动力分配系数。

通过对制动器温升值的限制,可反推得到在保障制动器不发生升温失效条件下,弯坡组合路段最大坡长值与坡度、车辆参数的数学关系如式(13)所示:

式中:SFmax/m、SRmax/m为保证前、后轮制动器不失效时对应的最大坡长。关于制动器温度最高值ΔTmax的选取则与制动器的材料及性能有关。

根据《货车、客车制动器性能要求》(QC/T 239―1997)[18]规定以及靳恩勇等[19―20]研究表明,车辆制动器温度一般在200℃以内时制动效能不受影响,在300℃左右时热衰退现象开始出现。故从保障车辆行驶安全的角度出发,可选取制动器温度最大值为250℃。此外,式(13)中忽略了发动机辅助制动作用影响,计算值也更为保守。

2 弯坡组合路段安全模型参数分析

根据弯坡组合路段安全模型,其最小半径值与设计车速成正比,最大坡长与设计车速成反比。为量化弯坡组合路段安全模型各参数对平纵线形指标的影响因素的作用规律,以重庆地区典型二级公路以及代表车型为例进行分析[21],各车型计算参数如表1所示,此时大货车为不利车型。而重庆地区最不利天气情况下T0=40℃,则ΔTmax=210℃,其他初始条件为:道路设计车速60 km/h,纵坡6%,超高4%,参考设计规范中此设计车速下φ=0.13。假设车辆保持稳定速度在弯坡组合路段下坡向行驶并忽略发动机制动做功。分析安全模型中各参数值对最小半径值和最大坡长值影响规律。

表1 各车型参数对比
Table 1 Parameters of each vehicle model

车型 小型车别克赛欧中型客车川江客车大货车福田瑞沃总质量/kg 1390 4348 11570前轮制动盘/鼓质量/kg 4.9 9.30 15.52后轮制动盘/鼓质量/kg 9.36 12.10 19.80滚动阻力系数f 0.0125 0.0125 0.0125 βd 0.56 0.65 0.77制动器比热容C 470 470 470 Sφ 0.1 0.1 0.1迎风面积/m2A 1.5 4.5 6 K 0.32 0.46 0.75最大功率/kW 67 87 162

2.1 最小半径

变化安全模型中超高、坡度、横向附着系数值,其对最小半径值的影响如表2~表4所示。

表2 不同超高下Rmin
Table 2 Rmin under different super-elevations

超高/(%) 设计车速/(km/h) Rmin计算值/m 4 60 166 6 60 148 8 60 134 10 60 122

表3 不同坡度下Rmin
Table 3 Rmin under different slopes

坡度/(%) 设计车速/(km/h) Rmin计算值/m 4 60 166 6 60 166 8 60 166 10 60 167

表4 不同横向附着系数下Rmin
Table 4 Rmin under different horizontal adhesion coefficients

横向附着系数 设计车速/(km/h) Rmin计算值/m 0.05 60 315 0.10 60 202 0.15 60 149 0.17 60 134 0.20 60 117

从表2~表4可以看出:1) Rmin值与超高、横向附着系数值成反比,但几乎不受坡度值影响;2) Rmin计算值对横向附着系数取值非常敏感。

2.2 最大坡长

在相同初始条件下分别选取弯坡组合路段超高、坡度、滚动阻力系数、滑移率作为变量,各参数对最大坡长值的影响如表5~表8所示。

表5 不同超高下Smax
Table 5 Smax under different super-elevations

超高/(%)坡度/(%)设计车速/(km/h) Smax计算值/m 4 6 60 798 6 6 60 798 8 6 60 797 10 6 60 797

表6 不同坡度下Smax
Table 6 Smax under different slopes

坡度/(%)超高/(%)设计车速/(km/h) Smax计算值/m 3 4 60 2109 4 4 60 1363 5 4 60 1006 6 4 60 798

表7 不同滚动阻力系数下Smax
Table 7 Smax under different rolling resistance coefficients

滚动阻力系数 坡度/(%) 超高/(%) 设计车速/km/h) Smax计算值/m 0.01 6 4 60 762 0.02 6 4 60 927 0.03 6 4 60 1183 0.04 6 4 60 1635 0.05 6 4 60 2642

表8 不同滑移率下Smax
Table 8 Smax under different slip rates

滑移率 坡度/(%) 超高/(%) 设计车速/(km/h) Smax计算值/m 0.05 6 4 60 766 0.1 6 4 60 798 0.15 6 4 60 834 0.2 6 4 60 875

从表5~表8可知:1) 最大坡长与坡度值呈反比,而超高值对最大坡长值基本无影响;2) 最大坡长与滚动阻力系数和滑移率呈正比,且最大坡长值对滚动阻力系数值变化较为敏感。

2.3 车型因素作用分析

从式(13)可知,车辆参数仅对弯坡组合路段最大坡长值有影响。相同初始条件下,计算表1中各车型因素对最大坡长值的影响规律如图2所示。

图2 各车型下Smax值 /m
Fig.2 Smax under different vehicle models

从图2可以看出,不同车型对应的最大坡长值差异较大,车型越大、制动性能越差,对应的最大坡长值越小。考虑到山区公路通行特殊重载车辆的需求,以及超载的情形,最大坡长值还须根据计算模型进行校核。

3 Carsim仿真验证

为验证弯坡组合路段安全模型的准确性及各参数的设置,本文采用同是基于车辆动力学的Carsim仿真软件进行模拟。其中道路模型模拟连续盘山弯坡组合路段,初始参数为:α=6%,R=180m,β=4%,初始速度设为60 km/h,并按规范要求每个弯坡组合路段单元设置有前后缓和段。选取Carsim自带的C-Class车型,其车型参数如表9所示。驾驶员选取正常行驶模式,即采取连续点杀以尽量保持在规定车速。记录车辆在弯坡组合路段行驶时的侧向加速度值及制动器温升值(ΔTF、ΔTR),分别表征车辆的横向稳定性和纵向稳定性。

表9 C-class模型车辆参数表
Table 9 Parameters of C-class vehicle model

车辆参数 C-class车型质心高度/mm 555车辆总质量/kg 1220前轮轴距/mm 1328后轮轴距/(kg/m2) 2334前轮尺寸 270/75 R20后轮尺寸 270/75 R20前轮距/mm 1739后轮距/mm 1739有无ABS 有

3.1 不同初始车速

变化初始车速40 km/h、60 km/h、80 km/h三种情况,让车辆在坡顶下坡制动行驶,其侧向加速度及制动器温度变化情况如下图所示。记录侧向加速度在每一个弯坡组合单元的变化,记录0~4000 m较大范围坡长时制动器温度变化情况,如图3所示。

从图3可知:1) 侧向加速度最大值与行驶速度呈正比,即速度越大所受离心力越大,车辆横向稳定性越差。2) 行驶速度越大,制动器温升曲线越陡,即温度升高越快,车辆的纵向稳定性越差。但在速度较低时制动器温升曲线变化不明显。综上,仿真模型测试结果与前述安全模型分析结果一致。

图3 不同速度下的侧向加速度及制动器温升值
Fig.3 Lateral acceleration and brake temperature rise at different speeds

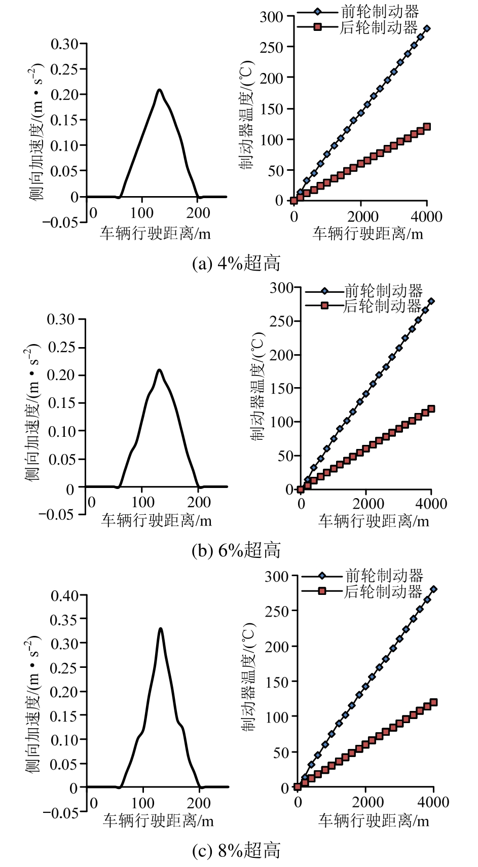
3.2 不同超高

变化初始超高值4%、6%、8%三种情形,其余道路参数及车辆参数不变,让车辆在坡顶下坡制动行驶,其侧向加速度及制动器温度变化情况如图4所示。

图4 不同超高下的侧向加速度及制动器温升值
Fig.4 Lateral acceleration and brake temperature rise at different super-elevations

从图4可知:1) 超高值变化对侧向加速度有显著影响。超高过大时会造成弯坡组合路段合成坡度过大,使得车辆受力不均衡,反而降低了车辆行驶的稳定性。2) 弯坡组合路段超高变化对于制动器温升曲线变化基本无影响,与安全模型分析结果一致。

3.3 不同坡度

变化初始坡度值4%、6%、8%三种情形,其余道路参数及车辆参数不变,让车辆在坡顶下坡制动行驶,其侧向加速度变化情况如图5所示。

图5 不同坡度下的侧向加速度及制动器温升值
Fig.5 Lateral acceleration and brake temperature rise at different gradients

从图5可知:1) 不同坡度对车辆的侧向加速度最大值影响很小,其值基本无变化。2) 制动器温升曲线曲率与坡度呈正比,即纵坡越陡车辆需要更强烈的制动以保持行驶稳定,进而造成制动器温升更快。

4 弯坡组合设计指标阈值计算

考虑到车辆在弯坡组合路段上实际运行速度会受到弯道和坡道的综合影响,并不总是以设计车速行驶,须根据运行车速对弯坡组合路段设计指标进行校核。目前《规范》中是将圆曲线中点作为前后路段的临界点,并给出了大小车型在弯坡组合路段中点及终点处的运行速度预测模型,但在相同半径不同坡度下预测速度计算值差别不大,未能充分反映弯坡因素共同作用,应进行修正。参考山区公路弯坡组合路段运行车速调查数据及研究成果,重新定义弯坡组合路段的变坡点为前后路段的临界点,对于纵坡不变的弯坡组合路段则定义路段中点作为划分临界点,得到大、小车型运行车速预测模型如表10所示[22]

表10 运行速度预测模型
Table 10 Prediction models of operating speed

组合类型 速度预测模型v=-+++Δα+α 27.0930.53310.16ln()1.040.324 v R小型车10 v2=+++Δα-α 13.8170.5511.457ln()9.6741.002 v0R v=+++Δα-α 3.1640.2338.171ln()1.3690.106 v R大型车10 v2=+-+Δα-α 9.0720.710.078ln()10.0581.518 v0R

表10中,v0/(km/h)为进入弯坡组合路段的初始速度,v1/(km/h)为弯坡组合路段前后临界点的运行速度,v2/(km/h)为弯坡组合路终点处的运行速度,R/(m)为圆曲线半径,Δα为弯坡组合路段前后的坡度差,当不存在变坡点时即为0,α为预测点所在的坡度值。规定计算的运行车速均不能超过期望车速值,当Vw<Vd<Ve 时,取V=Vd ;当VdVwVe时,取V=Vw ;而当VdVeVw 时,取V=Ve

假设弯坡组合路段范围内坡度不变,Δα=0。以山区二级公路各设计车速作为初始速度进行计算,结果表明运行速度受初始速度、坡度以及半径值共同作用影响,但组合条件不同时各自影响程度不同。当圆曲线半径很小而坡度较平缓时,圆曲线为主要作用因素;当纵坡很大时,纵坡为主要作用因素。为保证车辆在弯坡组合路段行驶安全,取初始速度、临界点和终点运行速度的最大值来对弯坡组合路段最小半径进行校核,如式(14)所示:

式中,v=max(v0,v1,v2)。

根据调查,山区公路路面可满足ϕ≥0.15,代入式(14)计算不同设计车速作为初始速度下弯坡组合路段的最小半径值,同时按规范限定合成坡度小于10%,计算结果如表11和表12所示。

表11 小车型弯坡组合路段最小半径 /m
Table 11 Minimum radius of flat and vertical curve combined section for small vehicle model

坡度/(%)设计速度/超高/(%)(km/h)34 5 6 789 4 27 25 23 21 191717 206 24 22 20 19 1715—8 22 20 18 17 ——4 45 43 40 38 353737 306 41 38 36 34 3129—8 37 34 32 30 ——4 65 61 66 66 666666 406 58 55 60 60 6060—8 52 50 54 54 ——4 148 148 148 149 149149—606 134 134 134 134 134——8 122 122 122 — ——4 264 264 264 264 264264—806 238 238 238 238 ——8 216 216 — — ——

表12 大车型弯坡组合路段最小半径 /m
Table 12 Minimum radius of flat and vertical curve combined section under large vehicle model

坡度/(%)设计速度/(km/h)超高/(%)3 4 5 6 7 8 9 4 27 26 26 26 26 26 26 206 23 23 23 23 23 23 —8 21 21 21 21 — — —4 50 50 51 51 51 51 51 306 46 46 46 46 46 46 —8 41 41 41 41 — — —4 88 88 87 87 87 86 86 406 77 77 77 76 76 76 —8 70 70 70 69 — — —4 148148148 149 149 149—606 134134134 134 134 — —8 122122122 — — — —4 264264264 264 264 264—806 238238238 238 — — —8 216216— — — — —

由表11和表12可知,由于不同车型运行车速的变化,导致不同条件下最小半径值也不一样,在具体应用中可根据道路通行车型情况,选取相应的最小半径指标。考虑实际运行车速下的弯坡组合路段最小半径值大于规范规定的最小半径值。

以设计车速作为初始速度,终点处的运行速度作为末速度,计算弯坡组合路段最大坡长如表13和表14所示。

表13 小车型弯坡组合路段最大坡长 /m
Table 13 Maximum slope length of flat and vertical curve combined section for small vehicle model

设计速度/超高/(%)(km/h)坡度/(%)3 4 5 6 7 8 9 4 18000 117288696 6910 5733 48984276 206 17989 117238694 6908 5731 4897—8 17973 117168690 6906 — ——4 12738 82876140 4876 4043 34533014 306 12729 82836138 4874 4042 3452—8 12717 82786135 4873 — ——4 10120 65714863 3859 3198 27302382 406 10113 65684861 3858 3197 2730—8 10103 65634859 3856 — ——4 7504 48453575 2832 2342 1998—606 7498 48423574 2830 2343 ——8 7490 48393572 — — ——4 6170 39532905 2294 1895 1613—806 6164 39502903 2293 — ——8 6156 3946— — — ——

表14 大车型弯坡组合路段最大坡长 /m
Table 14 Maximum slope length of flat and vertical curve combined section under large vehicle model

设计速度/超高/(%)(km/h)坡度/(%)3 4 5 6 7 8 9 4 4976 3238 2399 1904 1578 1348 1176 206 4973 3237 2398 1904 1578 1347 —8 4969 3235 2397 1903 — ——4 3510 2278 1684 1335 1105 942 821 306 3508 2277 1684 1335 1105 942 —8 3505 2276 1683 1334 — ——4 2744 1775 1310 1037 857 730 635 406 2742 1775 1310 1036 857 730 —8 2740 1774 1309 1036 — ——4 1957 1254 919 723 595 505 —606 1955 1254 919 723 595 ——8 1954 1253 919 — — ——4 1494 944 686 535 437 368 —806 1493 944 685 535 — ——8 1492 944 — — — ——

在确定设计车速和平均坡度下,弯坡组合路段最大坡长值不得超过表13和表14中所示值。表13和表14同样给出了各纵坡坡度下的最大坡长值。因式13由能量守恒定律推导得出,因此对于连续下坡的情况,表13和表14同样适用于对平均坡度下的总坡长最大值进行限制,以综合提升弯坡组合路段安全度水平。

现行规范[23―24]仅对高速公路、一级公路的最大坡长做出了阈值规定及安全性评价要求,二级、三级及以下公路尤其是组合线形缺少相关规定。

5 结论

建立了基于车辆行驶稳定性分析的弯坡组合路段安全模型。以山区公路典型路段和代表车型为例计算弯坡组合路段安全模型中各参数对设计指标的影响:最小半径值与超高、横向附着系数值成反比,但几乎不受坡度值影响,且对横向附着系数变化非常敏感;最大坡长与坡度值呈反比,基本不受超高值影响,与滚动阻力系数和滑移率呈正比,且对滚动阻力系数变化较为敏感;利用Carsim仿真试验验证了以上参数影响。

基于安全模型,采用修正后的运行速度预测模型,计算了大小车型弯坡组合路段的最小半径及最大坡长设计指标阈值。同现行规范进行比较,基于安全模型计算获得的最小半径值的设计值阈值大于规范规定的最小半径值的设计阈值,最大坡长。

参考文献:

[1]郭忠印, 杨漾, 曹继伟, 等.基于高速公路线形综合指标的安全评价模型[J].同济大学学报(自然科学版),2009, 37(11): 1472―1476.Guo Zhongyin, Yang Yang, Cao Jiwei, et al.Safety evaluation model based on alignment synthetical index of expressway [J].Journal of Tongji University (Natural Science), 2009, 37(11): 1472―1476.(in Chinese)

[2]Jung Soyoung, Wang Kai, Oh Cheol, et al.Development of highway safety policies by discriminating freeway curve alignment features [J].KSCE Journal of Civil Engineering, 2018, 22(4): 1418―1426.

[3]Montella Alfonso, Imbriani Lella Liana.Safety performance functions incorporating design consistency variables [J].Accident Analysis and Prevention, 2015,74(1): 133―144.

[4]谢威.基于车路耦合安全度模型的弯坡组合路段设计理论研究[D].重庆: 重庆交通大学, 2017.Xie Wei.The research of curved slope road design theory based on vehicle-road coupling safety model [D].Chongqing: Chongqing Jiaotong University, 2017.(in Chinese)

[5]潘晓东, 方青, 蒋宏.基于驾驶视觉需求的山区公路平曲线安全评价[J].同济大学学报(自然科学版), 2010,38(12): 1763―1766.Pan Xiaodong, Fang Qing, Jiang Hong.Driving visual demand-based safety evaluation of mountainous highway horizontal curve [J].Journal of Transportation Systems Engineering and Information Technology, 2010, 38(12):1763―1766.(in Chinese)

[6]Shin Jaekwan, Lee Ikjin.Reliability analysis and reliability-based design optimization of roadway horizontal curves using a first-order reliability method [J].Engineering Optimization, 2015, 47(5): 622―641.

[7]陈富坚, 郭忠印, 陈富强, 等.公路平曲线半径的可靠性设计[J].哈尔滨工业大学学报, 2012, 44(4): 100―104.Chen Fujian, Guo Zhongyin, Chen Fuqiang, et al.Reliability design method for horizontal curve radius of highway alignment [J].Journal of Harbin Institute of Technology, 2012, 44(4): 100―104.(in Chinese)

[8]Xu Jin, Lin Wei, Shao Yiming.New design method for horizontal alignment of complex mountain highways based on “trajectory-speed” collaborative decision [J].Advances in Mechanical Engineering 2017, 9(4): 1―18.

[9]Camacho-Torregrosa, Francisco J, Pérez-Zuriaga, et al.New geometric design consistency model based on operating speed profiles for road safety evaluation [J].Accident: Analysis and Prevention, 2013, 61(8): 33―42.

[10]孔令旗, 郭忠印.基于人工神经网络的运行车速与道路安全性关系[J].同济大学学报(自然科学版), 2007,35(9): 1214―1218.Kong Lingqi, Guo Zhongyin.Artificial neural network-based relation of operating speed and road safety [J].Journal of Tongji University (Natural Science),2007, 35(9): 1214―1218.(in Chinese)

[11]肖文, 许仁安, 李淑庆, 等.安全行车保障措施的新理念在山区公路建设中的应用[J].公路, 2006, 12(1):117―122.Xiao Wen, Xu Ren'an, Li Shuqing, et al.Applications of new ideas of driving safety measures on construction of highways in mountain areas [J].Highway, 2006, 12(1):117―122.(in Chinese)

[12]Dugoff Howard J, Segel Leonard, Fancher Paul.An analysis of tire traction properties and their influence on vehicle dynamic performance [C].1970 International Automobile Safety Conference Compendium, SAE(Society of Automotive Engineers), 1970: 341―366.

[13]史春娟, 吕彭民.基于非线性模型的沥青路面动力响应研究[J].工程力学, 2013, 30(2): 326―331.Shi Chunjuan, Lü Pengmin.Study on the dynamic response of asphalt pavement based on the nonlinear viscoelastic model [J].Engineering Mechanics, 2013,30(2): 326―331.(in Chinese)

[14]陈荫三, 余强, 马建, 等.辅助制动试验研究[J].西安公路交通大学学报, 2000, 20(2): 69―70.Chen Yinsan, Yu Qiang, Ma Jian, et al.Experiment research on supplementary brake [J].Journal of Xi’an Highway University, 2000, 20(2): 69―70.(in Chinese)

[15]苏洋, 李永乐, 彭栋, 等.公路风屏障流场特性及自身风荷载的足尺模型风洞试验研究[J].工程力学, 2017,34(12): 87―94.Su Yang, Li Yongle, Peng Dong, et al.A full-scale wind tunnel test on characteristics of flow fields for the highway barrier and its wind loads [J].Engineering Mechanics, 2017, 34(12): 87―94.(in Chinese)

[16]王晓颖, 范子杰, 王青春, 等.鼓式制动器动态应变和温度特性试验研究与分析[J].工程力学, 2018, 35(10):222―228, 237.Wang Xiaoying, Fan Zijie, Wang Qingchun, et al.Experimental investigation and analysis on dynamic strain and temperature of drum brake [J].Engineering Mechanics, 2018, 35(10): 222―228, 237.(in Chinese)

[17]陈汉汛, 朱攀.摩擦材料引起制动器热衰退的机理的研究与探讨[J].材料导报, 2006, 20(增刊1): 275―278.Chen Hanxun, Zhu Pan.Research and discussion on the mechanism of brake heat fading caused by friction materials [J].Material Review, 2006, 20(Suppl 1): 275―278.(in Chinese)

[18]QC/T239―1997, 货车、客车制动器性能要求[S].北京:中华人民共和国交通运输部, 1997.QC/T239―1997, Performance requirements for brakes of freight and passenger cars [S].Beijing: Ministry of Communications and Transportation of People’s Republic of China, 1997.(in Chinese)

[19]靳恩勇, 杜博英.长大下坡货车制动器温度模型[J].公路交通科技, 2011, 28(2): 133―136.Jin Enyong, Du Boying.Prediction model of brake temperature of truck on long and steep downgrade [J].Journal of Highway and Transportation Research and Development, 2011, 28(2): 133―136.(in Chinese)

[20]马建, 陈荫三, 余强, 等.缓行器对汽车制动稳定性影响评价[J].交通运输工程学报, 2002, 2(1): 105―109.Ma Jian, Chen Yinsan, Yu Qiang, et al.Evaluation of retarder to automobile braking stability [J].Journal of Traffic and Transportation Engineering, 2002, 2(1):105―109.(in Chinese)

[21]重庆市交委.重庆山区农村公路交通安全评价与对策研究报告[R].重庆: 重庆市交委, 2010.Chongqing Transportation Commission.A study on the evaluation of rural highway traffic safety in mountainous areas in chongqing [R].Chongqing: Chongqing Transportation Commission, 2010.(in Chinese)

[22]汪双杰, 周荣贵, 孙小端.公路运行速度设计理论与方法[M].北京: 人民交通出版社, 2010.Wang Shuangjie, Zhou Ronggui, Sun Xiaoduan.Highway design theory and method based on operating speed [M].Beijing: China Communications Press, 2010.(in Chinese)

[23]JTG D20―2017, 公路路线设计规范[S].北京: 中华人民共和国交通运输部, 2017.JTG D20―2017, Standard of highway alignment design[S].Beijing: Ministry of Communications and Transportation of People’s Republic of China, 2017.(in Chinese)

[24]JTG B01―2014, 公路工程技术标准[S].北京: 中华人民共和国交通运输部, 2014.JTG B01―2014, Technical Standard of Highway Engineering [S].Beijing: Ministry of Communications and Transportation of People’s Republic of China, 2014.(in Chinese)

MOUNTAIN HIGHWAY DESIGN INDEXES OF ASSEMBLE SECTION OF FLAT AND VERTICAL CURVE BASED ON SAFETY ANALYSIS

YUE Lei1 , WANG Hui2 , DU Yu-chuan1 , YAO Hong-yun3
(1.Key Laboratory of Road and Traffic Engineering, the Ministry of Education, Tongji University, Shanghai 201804, China;2.College of civil engineering, Chongqing University, Chongqing 400045, China;3.College of Traffic and Transportation, Chongqing Jiaotong University, Chongqing 400074, China)

Abstract: The safety of mountain highways is not considered enough by current design methods in China,especially for the design of combination of flat and vertical curve.This paper establishes a safety model based on the analysis of vehicle driving safety on the assemble section of flat and vertical curve, taking the critical state of accident as the limit.The influences of various factors on the design indexes are discussed based on the safety model.The Carsim simulation software is used to verify the change trend and the effectiveness of the security model.The safety model calculations and simulations show that the minimum radius is proportional to the driving speed and the highway gradient, and is inversely proportional to the super-elevation and the lateral adhesion coefficient.The maximum slope length is proportional to the pavement rolling resistance coefficient and the slip ratio, inversely proportional to driving speed, highway gradient, and vehicle size, but not affected by the super-elevation.Furthermore, the thresholds of the design indexes of combination of flat and vertical curve considering the operating speed are calculated.Lower highway gradient and larger minimum radius compared to the norm value are recommended.

Key words: road engineering; mountain highway; design index; combination of flat and vertical curve; safety analysis

中图分类号:U412.3

文献标志码:A

doi: 10.6052/j.issn.1000-4750.2018.12.0652

文章编号:1000-4750(2019)11-0158-10

收稿日期:2018-12-05;修改日期:2019-03-19

基金项目:国家自然科学基金项目(51008321);重庆大学中央高校学院项目(106112017CDJXY200006)

通讯作者:王 慧(1987―),女,黑龙江人,讲师,博士,从事道路工程方面的研究(E-mail: mickysophy@163.com).

作者简介:

岳 雷(1985―),男,重庆人,博士生,从事道路工程、交通工程方面的研究(E-mail: yuelei512@hotmail.com);

杜豫川(1976―),男,四川人,教授,博士,从事智慧基础设施方面的研究(E-mail: ycdu@tongji.edu.cn);

姚红云(1976―),女,湖南人,教授,博士,从事道路工程、交通安全方面的研究(E-mail: 68388615@qq.com).