基于波浪-多孔介质海床-结构物耦合模型的单桩基础波浪力分析

陈林雅,郑东生,王盼娣,祝 兵

(西南交通大学土木工程学院,四川,成都 610031)

摘 要: 为了研究波浪作用下多孔介质海床特性和结构物埋深及施工下放速度等因素对结构物所受波浪力的影响,采用修正RANS方程和Forchheimer饱和阻力模型控制流体流动,流体体积法(VOF)追踪自由液面,并采用κ-ε闭合方程进行求解,建立波浪-多孔介质海床-结构物相互作用研究的三维耦合数值分析模型。首先,进行数值模型的验证分析,包含多孔介质海床对波浪传播的衰减效应,波浪作用下结构物周围湍流流动以及海床多孔特性条件下WAVE FORCES结构物所受波浪力。然后,进行结构物所受水平波浪力影响因素的参数分析,主要包含波浪条件,多孔介质海床特性及结构物特性三个方面。结果表明:将多孔介质海床简化为刚性不可渗固体而忽视海床多孔特性,会低估结构物所受的波浪力数值;大波高长周期波浪作用下,深水结构物所受波浪力较大;海床孔隙率、颗粒直径、海床厚度显著影响结构物所受波浪力;同时,结构物直径、截面形式、埋置深度及其施工下放速度v等结构物特性对波浪力的影响同样显著。因此,工程实践中,应同时考虑波浪条件、多孔海床特性和结构物埋置深度及动态运动过程,合理计算结构物所受波浪力数值,以指导结构设计和施工。

关键词:波浪-多孔介质海床-结构物相互作用;波浪力;孔隙率;颗粒直径;埋置深度;施工下放

随着我国交通事业的蓬勃发展,海洋工程和近海岸工程得到不断开发,因而大量的海工结构物(如防波堤,桩基,石油平台等)建设于近海区域[1]。对于海工结构物而言,长时间遭受复杂的海洋荷载作用,在大波高长周期的波浪冲击下,海工结构物可能会因外部荷载作用而发生局部甚至全部的强度或刚度破坏,如图1所示。波浪荷载作为近海区域的结构物在施工和设计过程中需要重点考虑的荷载形式,结构物所受波浪荷载的取值问题将会在很大程度上影响海工结构物的经济性和安全性。因此,波浪-海床-结构物相互作用研究进而深入分析结构物所受波浪力数值有助于增强海工结构物在海洋环境中的安全性。

图1 海洋结构物在波浪荷载下的破坏图
Fig.1 Failure of marine structures under wave forces

波浪-海床相互作用研究中,学者采用试验方法,理论解析及数值模拟等方法[4-10],主要研究了波浪沿海床传播过程中的波浪衰减,流场变化以及波浪引起的海床响应及海床稳定性等问题。波浪理论发展初期,海床被视为刚性不可渗固体[4],因而忽略了实际波浪传播过程中存在的能量衰减以及海床内部存在的流体运动。随后,考虑现实海床中存在的渗流作用,海床被视为满足达西定律的多孔连续介质,可采用势流理论描述流体流动[5]。Savage[6]通过试验手段研究了波浪-多孔介质海床相互作用过程中存在的波浪衰减作用,Liu和Dalrymple[7]对可渗透海床上波浪衰减问题进行了理论研究,推导了波浪衰减与海床渗透系数之间的经验公式。Karunarathna等[8]数值分析了波浪-多孔介质海床相互作用,研究结果表明忽略多孔介质海床中的非线性阻力项或将其线性化处理不能准确评估波浪传播过程中存在的衰减作用。另外,Biot[9]推导的三维固结方程多适于研究低渗透性海床动力响应如有效应力及海床位移变化等问题[10]。Jeng等[11-13]采用理论推导、数值模拟及实验研究等方法进一步研究了波浪作用下防波堤、管线及单桩等海工结构物周围海床响应及海床稳定性问题。目前,波浪作用下海床响应研究中多考虑海床中土颗粒及孔隙流体的可压缩性,较符合低渗透性海床响应研究。对于如工程实践中的碎石海床或人工基础表面的高渗透性毛石垫层,将海床视为多孔连续介质虽无法分析海床的应力和应变等问题,但其非常适合模拟高渗透性海床内部的孔隙流动问题。

波浪-结构物相互作用研究中,波浪力作为海工结构物设计与施工的重要考虑因素,成为学者重点研究问题。对于近海工程常见的圆柱式桩基,基于结构物尺度(柱体直径D与波长L的比值D/L)选取波浪力计算方法。D/L<0.2的小尺度结构,忽略结构物尺寸对流场的影响,可采用半经验半理论的Morison方程[14]D/L≥0.2的大尺度结构,结构物存在对入射波的散射效应以及与流体表面之间的自由表面效应较明显,需采用绕射理论来计算波浪力[15]。贺五洲和耿进柱[16]建立边界元模型数值研究了规则波中任意形状三维物体绕射问题。康啊真等[17]采用数值模拟方法研究了规则波作用下大直径垂直圆柱的绕射问题。滕家斌[18]详细介绍了近海工程中单壁钢吊箱围堰的施工方案设计及施工下放过程。上述学者在采用理论计算、试验研究及数值模拟进行结构物波浪力研究时,均忽略高渗透性海床内部孔隙流动对结构物所受波浪力的影响。为此,陈林雅等[19―20]数值分析了海床多孔特性对单桩所受波浪力的影响,结果表明海床多孔特性对波浪传播具有衰减作用,且会增加波浪力数值。但是,上述研究并没有涉及结构物施工下放的动态过程以及结构物形式和埋置深度,以及波浪参数等因素对结构物所受波浪力的影响

由于试验手段存在尺度效应且造价高昂,理论研究手段的适用条件又存在局限性,随着计算机效率的迅速提高,数值研究手段得到广泛应用。因此,基于修正的RANS方程控制流体运动,非线性Forchheimer方程描述高渗透性多孔介质海床内部的孔隙流动,建立波浪-多孔介质海床-结构物相互作用的三维耦合分析模型,进一步研究海床对波浪的衰减效应、结构物周围流场变化,以及波浪参数、多孔介质海床特性和结构物运动状态对于结构物所受波浪力的影响,为结构物设计和施工提供参考依据。

1 数值模型

图2为本文建立的波浪-多孔介质海床-结构物相互作用三维示意图。结构物伸入由颗粒介质组成的多孔介质海床,其埋置深度为dm。计算域划分成两部分:波传播区和波吸收区。波浪从左侧的速度边界出发沿x轴正向进入足够长度的传播区,最后通过海绵层吸收区进行消波以降低波浪反射对分析结果的影响。xyz表示笛卡尔坐标;dw表示水深;ds表示海床厚度;H0表示初始波高;L表示波长;D表示单桩直径;e表示相对埋深,是结构物伸入多孔介质海床深度dm与海床厚度ds的比值,λ表示海绵层长度;计算域沿坐标轴方向的长度、宽度和高度分别为LxLyLz,需提前测算计算域取值以尽量降低边界条件对数值分析结果的影响。基于测试结果计算域满足:Lx=5LLy=8DLz=15 m。后续数值分析中,结构物宽度与数值水槽宽度比值始终小于0.2,可以忽略水槽宽度对计算结果的影响[21]。单桩底部中心位于(2L, 4D),海绵消波层长度通常取值1.0倍波长末端阻尼参数取值为5.0。文中除特别说明外,分析参数如表1所示。

图2 波浪-多孔介质海床-单桩相互作用三维示意图
Fig.2 3D sketch of wave-porous seabed-structure interaction

表1 数值分析参数
Table 1 Parameters of the numerical analysis

波浪参数 数值波高H0/m 2.0水深dw/m 5.0周期T/s 6.0海床参数 数值海床厚度ds/m 5.0孔隙率n 0.4平均颗粒直径D50/m 0.04粗糙度因子β 3.0单桩参数 数值单桩直径D/m 8.0单桩长度lm/m 15.0相对埋深e 1.0

1.1 控制方程

1.1.1 流体运动控制

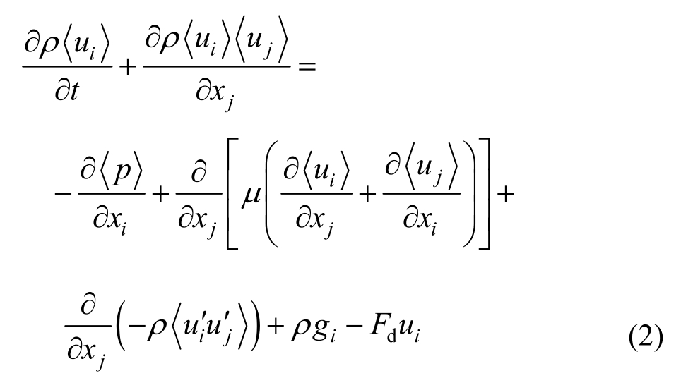
波浪-多孔介质海床相互作用过程中,流体运动采用修正的RANS方程进行控制,利用κ-ε方程进行闭合求解,则质量守恒方程及RANS方程满足:

式中:xi为笛卡尔坐标;<ui>为整体平均速度分量;t为时间;ρ为流体密度;<p>为流体压力;μ为动力粘度;gi为重力加速度;-Fdui 为多孔介质对水流的阻力作用项即拖拽力。表示雷诺兹应力项,可采用κ-ε湍流方程模拟高雷诺数的湍流流动。

雷诺兹应力项采用Boussinesq[22]提出的涡粘性假设进行计算,可表示为:

式中:μt表示湍流粘度;κ表示湍流动能;δij表示克罗内克符号。

式(3)代入式(2),可得:

式中,μeff=μ+μt 表示总有效粘度。

数值分析中,κ-ε湍流标准方程为:

式中:κ为湍流动能;ε为湍流动能的耗散速率;参数CμσkσεCε1Cε2满足[23-24]Cμ=0.09、σk=1.00、σε=1.30、Cε1=1.44和Cε2=1.92。

由于高渗透性海床的多孔材料颗粒直径较大,孔隙流动引起的流动损失与流速之间不再满足线性关系。因此,多孔介质对波浪流动的阻力项-Fdui可以使用Forchheimer饱和阻力模型[25]进行计算,满足:

式中:n为多孔介质的的孔隙率; Rep为雷诺数;A表示线性阻力系数;B表示非线性阻力系数,可通过试验数据曲线的拟合结果确定AB的数值。在无可用试验数据的情况下,满足:

式中:α为经验常数,取值180;β为粗糙度因子,通常取值1.8~4.0,取值越大表示颗粒表面越粗糙;D50表示平均颗粒直径。

1.1.2 结构物运动控制

由于结构物刚度较大,多将结构物运动视为刚体运动。根据运动学原理,刚体运动可分为平移运动和旋转运动,则刚体某一位置速度VP与刚体的质心速度VG和角速度ω有关,满足:

式中,γPG表示质心G点~P点的距离向量。

1.2 边界条件

基于Dean[26]提出的波浪条件适用范围的评估方法,在入口边界处(Xmin)施加五阶Stokes波浪边界[27]。在出口边界处(Xmax)施加Sommerfeld辐射边界[28],为减少波浪反射影响,出流边界前端增设海绵消波层。数值水槽侧面(YminYmax)采用对称边界,则波浪可以沿水槽侧面自由滑动而无需穿透。数值水槽底部(Zmin)及结构物表面采用壁面边界,以保证流体法向速度为零且不能穿透。计算域顶部(Zmax)使用压力边界,并指定流体初始高度。

流体体积法(即VOF方法)定位和追踪自由液面变化[29]。流体体积函数F满足:

流体体积函数F表示单元内流体体积与该单元可容纳流体总体积的比值,当F=0时,表示该网格内被气体充满;当F=1时,表示该网格内被流体充满;当0<F<1时,表示该网格内同时存在气体和液体且包含自由水面。

参考实际工程施工过程[18],文中仅考虑结构物垂直匀速下放运动,即指定结构物z向平移速度,其余5个自由度均为0。另外,结构物运动与流体之间半耦合,即考虑结构物运动对流场的影响,而不考虑流场对结构物运动的影响。

2 模型验证

为了验证上述建立的波浪-多孔介质海床-结构物相互作用耦合模型的准确性,以进一步研究波浪特性、海床特性及结构物特性对结构物所受波浪力的影响。主要进行了三方面的验证过程,包括多孔介质海床对波面的衰减作用、波浪作用下结构物周围湍流流动,以及海床多孔特性条件下结构物所受波浪力。

2.1 波浪-多孔介质海床相互作用的波浪衰减

Sawaragi和Deguchi[30]采用试验方法研究了波浪沿传播方向的波浪衰减。试验水槽长30 m,宽0.7 m,高0.9 m。水槽内部铺设的粗颗粒海床长度为3.5 m,厚度ds=0.15 m,颗粒直径D50=0.0307 m,孔隙率n=0.4.

波浪参数为:波浪周期T=1.0 s和1.5 s,波高H0=0.0358 m,水深dw=0.15 m。通过对比相对波高(无量纲量H/H0)沿波浪传播方向的变化研究多孔介质海床对波浪的衰减作用。

图3为相对波高(无量纲量H/H0)沿多孔介质海床衰减的分析结果。图示结果显示,本文数值研究结果与试验结果在数值大小和变化趋势方面较吻合,可以准确反映多孔介质海床对波浪传播的衰减效应。

图3 波浪沿多孔介质海床衰减数值结果与试验结果对比
Fig.3 Comparison of numerical results for wave damping along the porous seabed with the experimental results

2.2 波浪-结构物相互作用结构物周围湍流流动

Mo等[31]设计了一系列水槽实验来研究波浪与单桩的相互作用过程。水槽长309 m,宽5 m,深7 m。单桩固定于距离造波器111 m的水平水槽底部。结构物周围不同位置处设置多个测波仪(WG)。选取结构物周围3个典型位置:前端(WG1),侧面(WG2)和后端(WG3)测波仪数据进行对比。波浪参数为水深dw=4.76 m,波浪周期T=4 s、波高H0=1.2 m和单桩直径D=0.7 m。

图4为相对波浪高程时程曲线。波浪高程η均采用参考测波仪(WGref)实验数据最大值ηmax,WGref进行无量纲化,参考测波仪(WGref)由于距离结构物较远而可以忽略结构物存在对波面的影响。图示结果显示,实测数据与数值计算结果吻合,甚至一些特征波纹也得到了很好的模拟。例如,当波谷通过单桩时,单桩前端(WG1)波浪高程的实验结果和数值结果均出现明显波纹。说明本数值模型可以较好地模拟单桩周围的波浪流动,并能为后续研究波浪作用下结构物所受波浪力提供可靠的分析结果。

图4 相对波浪高程时程曲线对比
Fig.4 Comparison of time histories of the dimensionless free surface displacement

2.3 波浪-多孔介质海床-结构物相互作用结构物所受波浪力

为了考虑多孔介质海床特性对结构物所受波浪力的影响,建立波浪-海床-结构物相互作用三维耦合模型,分别考虑海床刚性(即n=0)和多孔介质特性(即n=0.4)。不同海床条件下单桩沿波浪传播方向波浪力FX数值结果与MacCamy理论结果进行对比,以验证波浪力计算的准确性及考虑海床特性的必要性。

图5为不同海床条件下FX时程曲线。对比结果表明,刚性海床的数值分析结果与MacCamy理论结果在峰值位置吻合较好,但在谷值位置存在较小偏差。这主要是由于MacCamy理论公式并未考虑结构物后侧漩涡泄放引起的横向力作用,使得MacCamy理论结果在谷值位置的幅值大于刚性海床的数值分析结果。另外,多孔介质海床条件下FX的最大值相比刚性海床约提高35%。说明三维耦合模型可较为准确的计算刚性海床条件下结构物所受波浪力变化,且海床特性对波浪力数值影响不可忽略。

图5 单桩所受波浪力FX时程曲线
Fig.5 Time history curves of wave forces (FX) acting on monopile

数值验证结果显示,多孔介质海床可以造成波浪能量衰减,但并不意味着结构物所受波浪力一定减小。结构物所受波浪力既会受到波浪条件的影响,也会受到多孔介质海床特性的影响。与刚性海床相比,海床的多孔特性会显著影响FX的最大值。将多孔介质海床简化为刚性不可渗固体而忽视海床多孔特性,会低估结构物所受的波浪力数值。因此,需要综合考虑波浪参数,海床特性以及结构物特性影响,全面分析结构物所受波浪力。

3 波浪-多孔介质海床-结构物相互作用

3.1 波浪参数影响

海工结构物所处的实际水文条件是海工结构物设计的重要参数。不考虑海床多孔特性,波浪-结构物相互作用过程中,波浪参数对于结构物所受水平波浪力的影响研究较为广泛[15-17,32],其中《港口与航道水文规范(JTS 145―2015)》详细介绍了多种结构物在波浪作用下水平波浪力计算方法。由于研究者多关注多孔介质海床对于波浪的衰减作用,对于伸入高渗透性海床结构物所受波浪力相关研究较缺乏。因此,多孔介质海床条件下,为研究入射波浪条件与结构物所受波浪力的相关性,对比刚性海床条件,分别研究周期T、波陡(H0/L)及相对水深(dw/L)变化对结构物所受波浪力的影响。

图6~图8分别为不同波浪周期T、波陡(H0/L)及相对水深(dw/L)条件下FXmax变化曲线。结果显示,FXmax数值随着波浪参数的增加而增加,大致呈线性增长趋势,但其增长幅度存在差别,波浪力最大值FXmax对于波高和水深敏感度较高。这意味着伸入多孔介质海床的结构物在大波高长周期波浪作用下,结构物所受波浪力更大。这是由于波浪能量较大且横向结构物对波浪传播方向的投影面积较大,即基准体积较大,使得结构物受力较大。另外,多孔介质海床条件下的FXmax数值大于刚性海床情况。通过对比分析结果,再一次强调了进行海工结构物设计时,考虑海床多孔特性的重要性。

图6 不同周期T条件下FXmax变化曲线
Fig.6 Variation curves of FXmax with wave period T

图7 不同波陡(H0/L)条件下FXmax变化曲线
Fig.7 Variation curves of FXmax with wave steepness(H0/L)

图8 不同相对水深(dw/L)条件下FXmax变化曲线
Fig.8 Variation curves of FXmax with relative water depth (dw/L)

3.2 多孔介质海床特性影响

多孔介质海床特性可以显著影响波浪的衰减作用以及单桩所受波浪力的数值。因此,有必要进一步研究多孔介质海床特性(孔隙率n,海床厚度ds,颗粒直径D50)对单桩所受沿波浪传播方向波浪力FX的影响。这有助于更好地分析毛石垫层等高渗透性多孔介质海床条件下海工结构物的受力响应,以提高海工结构物在海洋环境中的安全储备。

3.2.1 孔隙率n影响

图9为FXmax随海床孔隙率n的变化规律。图10为不同海床孔隙率n条件下FX的时程变化曲线。

图9 FXmax随海床孔隙率n的变化曲线
Fig.9 Variation curve of FXmax with seabed porosity n

如图9所示,海床孔隙率n显著影响FXmax数值。当海床孔隙率n较小时(如0<n<0.2),多孔海床内部的孔隙流微弱,波浪能量衰减很小,而流体速度较大,水体填充海床孔隙,单桩所受波浪力因单桩有效长度的增加而增加,FXmax最大值为830 kN。若孔隙率n进一步增加(如0.2≤n≤0.9),多孔海床内部的孔隙流增强,单桩所受波浪力因波浪能量的强烈衰减而降低。当孔隙率n>0.9,流体占据多孔海床内部孔隙,单桩所受波浪力因计算水深的增加而迅速增加。其中,当孔隙率n=0时,多孔介质海床变成完全由土体颗粒组成的刚性海床,FXmax=520 kN。当孔隙率n=1时,多孔海床内部孔隙完全被流体充满,使得计算水深变为10 m,FXmax=702 kN。另外,如图10所示,多孔介质海床的孔隙率n会影响FX时程曲线的相位,当海床孔隙率n≤0.9时,FX时程曲线相位几乎不变。当n>0.9时,FX时程曲线相位逐渐超前。

关注海床孔隙率nFXmax数值的影响,对于本文数值分析所考虑的参数而言,与刚性海床相比,海床孔隙率n变化可引起FXmax增长比例高达60%。结果表明,不可忽视多孔介质海床孔隙率n对单桩所受波浪力的影响。

图10 FX随海床孔隙率n的变化曲线
Fig.10 Variation curves FX with seabed porosity n

3.2.2 颗粒直径D50影响

图11为FXmax随海床颗粒直径D50的变化曲线。其中,D50分别取值0.02 m、0.04 m、0.10 m、0.15 m和0.20 m。结果显示,FXmax数值随着海床颗粒直径D50的增加而减小,这主要是由于随着海床颗粒直径D50的增加使得多孔海床内部孔隙流增强,单桩所受波浪力因波浪能量的强烈衰减而降低。另外,对FXmax数值分析结果进行拟合,结果表明,FXmax数值是关于海床颗粒直径D50的三阶递减多项式。结果表明,不可忽视多孔介质海床颗粒直径D50对单桩所受波浪力的影响。

图11 FXmax随多孔介质海床颗粒直径D50的变化曲线
Fig.11 Variation curve of FXmax with seabed porosity n

3.2.3 海床厚度ds影响

图12为不同海床孔隙率条件下FXmax随海床厚度(ds/dw)变化曲线。图示结果显示,当n=0.2时,FXmax随着ds/dw增加先迅速增加,当ds/dw>1.4时,海床厚度ds的增加对FXmax的影响较小。当海床孔隙率n=0.4或0.6时,FXmax随着ds/dw增加先增加后减小,这主要是由于多孔海床厚度ds和孔隙率n较大时,多孔海床内部孔隙流增强,单桩所受波浪力因波浪能量的衰减而降低。对于本文数值分析所考虑的参数而言,当海床孔隙率n=0.4时,FXmax始终大于刚性海床(n=0)条件下单桩所受波浪力。当海床孔隙率n=0.6且ds/dw>1.0时,FXmax小于刚性海床(n=0)条件下单桩所受波浪力,这主要归因于强烈的波浪衰减。结果表明,多孔介质海床厚度ds对单桩所受波浪力的影响与孔隙率n相关。

图12 不同海床孔隙率条件下FXmax随海床厚度ds变化曲线
Fig.12 Variation curves of FXmax with seabed thickness ds under different seabed porosity n

3.3 结构物特性影响

工程实践中,桩基结构尺寸会影响结构物受力。另外,初期结构设计时会比选多种截面类型,如圆形、方形或圆端形等,并设定埋置深度。同时,施工过程存在桩基结构下放。为此,研究结构物截面直径D,形状,结构物埋深(e)及施工下放速度(v)对结构物动力响应的影响,有利于结构安全。

3.3.1 结构物直径D影响

为了研究考虑海床多孔特性条件下单桩直径对单桩所受波浪力的影响,相同波浪和海床特性条件下,单桩直径从4 m增加至8 m。图13为单桩所受波浪力FX的时程曲线。如图所示,随着波浪的传播,波浪力FX数值随波浪周期T振荡式变化并在波浪稳定时幅值稳定。另外,单桩直径越大,单桩所受波浪力FX的幅值越大。这是由于波浪作用下,单桩直径越大结构物横向受力面积越大。工程实践中,可以在高渗透性海床条件下,参考传统的计算方法确定结构物直径。

图13 不同桩基直径D条件下FX的时程曲线
Fig.13 Variation curves FX with monopole diameter D

3.3.2 结构物截面形状影响

基于相同波浪条件,保证结构物横截面积相同,对比3种截面形式,即圆形、正方形及圆端形,如图14(a)所示。图14(b)为相同波浪条件下,结构物截面形状对FXmax的影响。图示结果显示,横向圆端形桩基波浪力FXmax数值最大,方形截面形式次之,随后为圆形截面形式,纵向圆端形桩基最小,最值之间相差145%。说明结构物截面形状对结构物受力影响明显。

图14 结构物不同截面形状及其FXmax柱状图
Fig.14 Histogram of FXmax for structures with different cross section

相同波浪条件作用下,伸入海床内部的结构物截面尺寸及表面曲率存在区别,通过影响结构物周围流场,从而最终影响结构物所受波浪力数值。其中,横向圆端形结构物对波浪传播方向的投影面积较大,即基准体积较大,波浪传播受到较大阻碍,使得FXmax数值最大。同圆形截面结构物相比,方形截面结构物虽其基准体积较小,但由于角部位置处存在显著的紊流现象,阻力系数较大,在结构物前侧和后侧产生较大压力差,使其FXmax大于圆形截面。施工角度而言,圆端形结构形式较圆形截面在施工工艺和施工进度上要求高。因此,截面形式比选过程中,除了考虑结构物实际流场条件,还需兼顾工程施工成本和进度安排。

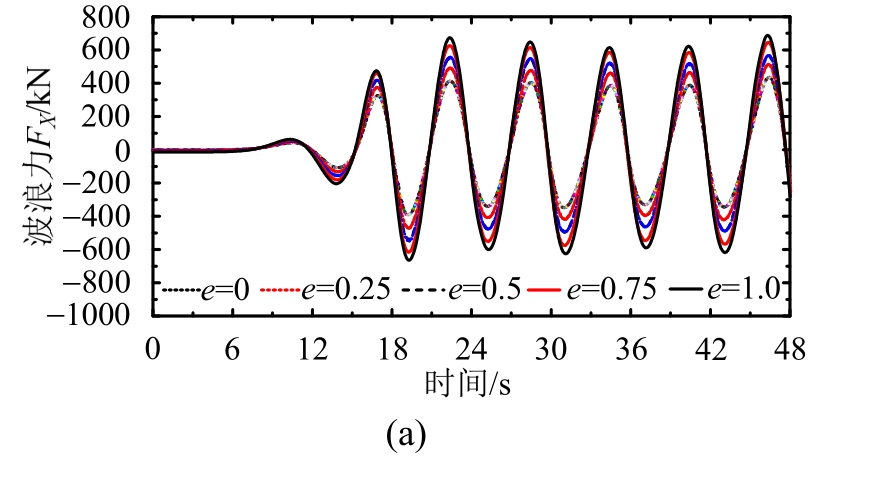
3.3.3 结构物埋深e影响

前述分析已知多孔介质海床特性明显影响结构物动力特性,主要是由于海床内部渗流影响。那么,结构物伸入海床内部深度不同,多孔介质海床对于结构物受力影响程度不同。图15为不同结构物相对埋深e条件下FXFXmax变化曲线。结果显示,随着结构物埋深e的增加,FX变化周期相同,且FXmax随埋深e的增加线性增加。这是由于单桩受力计算长度线性增加所致,e=1情况下的单桩受力计算长度总是比e=0情况大海床厚度ds。工程实践中,对于高渗透性海床,在进行海工结构物设计时不仅需要考虑海床特性影响,也需要考虑结构物埋深对于结构物受力的影响。

图15 不同埋深e条件下FXFXmax变化曲线
Fig.15 Variation curves of FX and FXmax with relative embedded depth e

3.3.4 结构物垂直下放速度v影响

桩基在流体内部下放过程中,周围流场受到扰动,桩基所受作用力与结构物静止状态不同。考虑工程实际的高渗透性海床情况下,大尺度单桩多作为重力式支撑平台静置于海床表面。波面传播稳定后,结构物在5T时刻开始从静水面垂直匀速下放(v为负值),运动至海床表面时静止,运动速度如图16所示。

图16 结构物下放速度
Fig.16 Vertical downward velocities of the monopile

图17为结构物不同下放速度并考虑海床多孔特性条件下,结构物所受沿波浪传播方向波浪力FX时程曲线。图示结果显示,在结构物匀速下放过程中,FX周期性渐进增加,至结构物静止于海床表面后,FX数值按照波浪周期T波动性变化且幅值不变。另外,随着结构物下放速度的增加,FX周期性渐进增加的速率越大。对于最终静止于海床表面的结构物所受波浪力而言,结构物下放速度并不影响FX稳定状态下的波浪力幅值,与初始静止于海床表面单桩所受波浪力幅值相同,这主要与波浪作用下结构物受力有效长度有关。

4 结论

基于修正RANS方程控制流体运动,考虑多孔介质海床特性,采用非线性Forchheimer方程描述多孔介质海床内部孔隙流动,建立波浪-多孔介质海床-结构物三维耦合数值分析模型,研究了波浪条件,多孔介质海床特性以及结构物特性等因素对结构物所受波浪力的影响,得到以下几方面的结论和建议:

(1) 波浪-多孔介质海床-结构物三维耦合数值模型可以较好反映波浪衰减效应并进一步用于研究结构物所受波浪力。多孔介质海床特性显著影响结构物所受水平波浪力最大值FXmax。在进行海工结构物设计和施工过程时,不可忽视多孔介质海床特性对结构物所受波浪力的影响。

(2) 由于波浪能量和结构物基准体积影响,结构物伸入深水多孔介质海床,在大波高长周期波浪作用下,结构物所受波浪力较大。结构设计和施工需要合理选取波浪参数。

(3) 相同波浪条件作用下,海床孔隙率n显著影响FXmax数值,当0<n<0.2时,单桩所受波浪力因单桩有效长度的增加而增加。当0.2≤n≤0.9时,单桩所受波浪力因波浪能量的强烈衰减而降低。当n>0.9时,单桩所受波浪力因计算水深的增加而迅速增加。FXmax数值是关于海床颗粒直径D50的三阶递减多项式。海床厚度ds对单桩所受波浪力的影响与海床孔隙率n有关

(4) 相同波浪条件作用下,结构物直径越大,FX幅值越大;由于基准体积和表面曲率等因素的影响,结构物截面形状影响结构物受力;FXmax随埋深e的增加线性增加。结构物匀速下放过程中,FX周期性渐进增加,结构物静止于海床表面后FX幅值稳定;下放速度越大,达到波动稳定的速率越快但幅值相同。

图17 不同下放速度条件下FX的时程曲线
Fig.17 Time history curves of FX under different vertical downward velocity v

参考文献:

[1]王伟, 杨敏.海上风电机组地基基础: 设计理论与工程应用[M].北京: 中国建筑工业出版社, 2014.Wang Wei, Yang Min.Foundation of offshore wind turbine: design theory and engineering application [M].Beijing: China Architecture & Building Press, 2014.(in Chinese)

[2]Sumer B M and Fredsøe J.The mechanism of scour in the marine environment [M].New Jersey: World Scientific, 2002: 536―539.

[3]赵刚.胜利作业三号平台“9.7”倾斜事故分析[J].现代职业安全, 2011, 119(7): 100―102.Zhao Gang.Case study about ‘9.7’ inclination of the Shengli No.3 work platform [J].Mordern Occupation Safety, 2011, 119(7): 100―102.(in Chinese)

[4]Losada I J, Lara J L, Jesus M D.Modeling the interaction of water waves with porous coastal structures [J].Journal of Waterway, Port, Coastal, and Ocean Engineering,2016, 142(6): 1―18.

[5]Liu P F.Damping of water waves over porous bed [J].Journal of the Hydraulics Division, 1973, 99: 2263―2271.

[6]Savage R P.Laboratory study of energy losses by bottom friction and percolation [J].Beach Erosion Board, Corps of Engineers, Technical Memorandum, 1953, (31): 1―25.

[7]Liu P L F, Dalrymple R A.The damping of gravity waves due to percolation [J].Coastal Engineering, 1984, 8(1):33―49.

[8]Karunarathna S, Lin P.Numerical simulation of wave damping over porous seabeds [J].Coastal Engineering,2006, 53(10): 845―855.

[9]Biot M A.Theory of deformation of a porous viscoelastic anisotropic solid [J].Journal of Applied Physics, 1955,27(5): 459―467.

[10]Jeng D S, Cha D H.Effects of dynamic soil behavior and wave non-linearity on the wave induced pore pressure and effective stresses in porous seabed [J].Ocean Engineering, 2003, 30(16), 2065―2089.

[11]Jeng D S, Ye J H, Zhang J S, et al.An integrated model for the wave-induced seabed response around marine structures: model verifications and applications [J].Coastal Engineering, 2013, 72: 1―19.

[12]Liu B, Jeng D S, Ye G L, et al.Laboratory study for pore pressures in sandy deposit under wave loading [J].Ocean Engineering, 2015, 106: 207―219.

[13]Duan L L, Liao C C, Jeng D S, et al.2D numerical study of wave and current-induced oscillatory non-cohesive soil liquefaction around a partially buried pipeline in a trench [J].Ocean Engineering, 2017, 135: 39―51.

[14]Morison J R, Obrien M P, Johnson J W, et al.The force exerted by surface waves on piles [J].Petroleum Transactions, AIME, 1950, 189: 149―154.

[15]Maccamy R C, Fuchs R A.Wave forces on piles: A diffraction theory [M].Washington DC US Army: Beach Erosion Board, Technical Memorandum, 1954: 100―103.

[16]贺五洲, 耿进柱.求解三维物体波浪荷载的边界元模型[J].工程力学, 2005, 22(2): 11―15.He Wuzhou, Geng Jinzhu.A boundary element model for calculating wave forces on 3-D bodies [J].Engineering Mechanics, 2005, 22(2): 11―15.(in Chinese)

[17]康啊真, 祝兵, 邢帆, 等.超大型结构物受波浪力作用的数值模拟[J].工程力学, 2014, 31(8): 108―115.Kang Azhen, Zhu Bing, Xing Fan, et al.Numerical simulation of wave forces on very large structures [J].Engineering Mechanics, 2014, 31(8): 108―115.(in Chinese)

[18]滕家斌.琅岐闽江大桥4号墩单壁钢吊箱围堰施工技术[J].世界桥梁, 2012, 40(5): 37―40.Teng Jiabin.Construction technique of single-wall steel boxed cofferdam for No.4 pier of Minjiang river bridge in Langqi town [J].World Bridges, 2012, 40(5): 37―40.(in Chinese)

[19]陈林雅, 廖晨聪, 段伦良, 郑东生.多孔介质海床对单桩所受波浪力的影响分析[J].西南交通大学学报,2019, 54(2): 328―335.Chen Linya,Liao chencong,Duan Lunliang,Zheng Dongsheng.Influence of porous seabed characteristics on wave forces acting on monopile [J].Journal of Southwest Jiaotong University, 2019, 54(2): 328―335.(in Chinese)

[20]陈林雅, 廖晨聪, 段伦良, 郑东生.波浪-多孔介质海床-单桩相互作用数值分析[C].北京: 中国力学大会-2017暨庆祝中国力学学会成立60周年大会论文集(A),2017: 1―13.Chen Linya, Liao chencong, Duan Lunliang, Zheng Dongsheng.Numerical study of the wave-porous seabed-monopile-interaction [C].Beijing: The Chinese Congress of Theoretical and Applied Mechanics-2017 The Paper Collection Celebrating the 60th Anniversary of the Founding of the Chinese Society of Theoretical and Applied Mechanics(A), 2017: 1―13.(in Chinese)

[21]Chakrabarti S K.Offshore structure modeling [M].Singapore: World Scientific Publishing, 1994.

[22]Boussinesq J.Theory of wave and swells propagated in long horizontal rectangular canal and imparting to the liquid contained in this canal [J].Journal de Mathematiques Pures et Appliquees, 1872, 17(2): 55―108.

[23]Rodi W.Turbulence models and their application in hydraulics: a state of the art review [M].3rd ed.The Netherlands: Balkema, Rotterdam, 1984.

[24]Launder B E, Spalding D B.The numerical computation of turbulence flows [J].Computer Methods in Applied Mechanics and Engineering, 1974(3): 269―289.

[25]张文娟, 王媛, 倪小东.Forchheimer型非达西渗流参数特征分析[J].水电能源科学, 2014(1): 52―54, 164.Zhang Wenjuan, Wang Yuan, Ni Xiaodong.Analysis of parameters characteristics of forchheimer’s non-darcy seepage [J].Water Resources and Power, 2014(1): 52―54, 164.(in Chinese)

[26]Dean R G.Relative validation of water wave theories [J].Journal of the waterways, Harbors and coastal engineering division, 1970, 96(1): 105―119.

[27]Fenton J D.A fifth-order stokes theory for steady waves[J].Journal of Waterway, Port, Coastal, and Ocean Engineering, 1985, 111(2): 216―234.

[28]Orlansk I A.Simple boundary condition for unbounded hyperbolic flows [J].Journal of Computational Physics,1976, 21(3): 251―269.

[29]Hirt C W, Nichols B D.Volume of fluid (VOF) method for the dynamics of free boundaries [J].Journal of Computational Physics, 1981(39): 201―225.

[30]Sawaragi T, Deguchi I.Waves on permeable layers [J].Coastal Engineering, 2012, (1), 1517―1530.

[31]Mo W H, Irschik K, Oumeraci H, et al.A 3D numerical model for computing non-breaking wave forces on slender piles [J].Journal Engineering Mathematics, 2007,58(1/2/3/4): 19―30.

[32]JTS 145―2015, 港口与航道水文规范[S].北京: 人民交通出版社, 2015.JTS 145―2015, Code of hydrology for harbour and waterway [S].BeiJing: China Communications Press,2015.(in Chinese)

ANALYSIS OF WAVE FORCE ACTING ON THE MONOPILE BASED ON WAVE-POROUS SEABED-STRUCTURE COUPLED MODEL

CHEN Lin-ya , ZHENG Dong-sheng , WANG Pan-di , ZHU Bing
(Department of Civil Engineering, Southwest Jiao Tong University, Chengdu, Sichuan 610031, China)

Abstract: To study the influence of the porous seabed, embedded depth and vertical downward velocity of the structure on the wave forces under wave action, the modified RANS equation with a κ-ε closure and Forchheimer saturation drag model are used to control porous flow, and fluid volume method (VOF) is used to track free surface.A three-dimensional coupled model of wave-porous seabed-structure is established.Firstly, reliability of the coupled model is validated, including wave attenuation reduced by porous seabed, turbulent flow around structure under wave action, and wave forces acting on the structure considering seabed porous characteristic.Then, parameters affecting the wave forces on the structure is analyzed, mainly including three aspects, which is wave conditions, porous seabed characteristics and structural properties.The numerical results show that, ignoring the porous characteristics of the seabed and simplifying it into rigid solids will underestimate the wave forces acting on the structure.Under larger height and longer periodic wave, wave forces action on structure in the deeper water is greater.Moreover, the wave forces acting on the structure are significantly affected by the porous characteristics of seabed, i.e., the porosity, particle size, the thickness.In addition, the influence of structural properties, such as diameter, cross section, embedded depth and vertical downward velocity on wave forces is also significant.Therefore, in engineering practice, wave conditions, porous seabed characteristics, embedded depth and dynamic movement of structure should be considered simultaneously to calculate the wave forces more accurately.

Key words: wave-porous seabed-structure interaction; wave forces; porosity; particle size; embedded depth;vertical downward movement of structure

中图分类号:P751

文献标志码:A

doi: 10.6052/j.issn.1000-4750.2018.08.0455

文章编号:1000-4750(2019)11-0072-11

收稿日期:2018-08-16;修改日期:2018-11-19

基金项目:国家自然科学基金项目(41176073,51178397)

通讯作者: 郑东生(1964―),男,澳大利亚人,教授,博士,博导,主要从事波浪-海床-结构物相互作用理论研究(E-mail: dsjeng@home.swjtu.edu.cn).

作者简介:

陈林雅(1990―),女,河南人,博士生,主要从事桥梁基础流固土耦合动力学及长期服役安全控制研究(E-mail: chenlinya01@yeah.net);

王盼娣(1994―),女,河南人,硕士生,主要从事桥梁结构动力学及桥梁风浪耦合动力学研究(E-mail: 15736874161@163.com);

祝 兵(1965―),男,江苏人,教授,博士,博导,主要从事桥梁结构动力学及桥梁风浪耦合动力学研究(E-mail: zhubing126@126.com).