新型泡沫混凝土轻钢龙骨复合墙体抗剪承载力计算方法研究

田稳苓1,温晓东1,彭佳斌1,徐丽丽2,李子祥1

(1.河北工业大学土木与交通学院,天津 300401;2.天津市华水自来水建设有限公司,天津 300131)

摘 要:为获得轻钢龙骨蒙皮板复合墙体和新型泡沫混凝土轻钢龙骨复合墙体抗剪承载力的实用计算方法,该文对1∶1的四片墙体DD-1、DD-2、DD-1(D-300)、DD-2(D-400)进行单调加载,对1∶1的两片墙体DZ-1(D-300)、DZ-2(D-400)进行低周反复加载。在试验基础上,确定了基于轻钢龙骨蒙皮板复合墙体螺钉群破坏模型的抗剪承载力计算方法,并分别采用轻钢轻混凝土模型与strut-and-tie模型对新型泡沫混凝土轻钢龙骨复合墙体进行简化,从而推导出抗剪承载力实用计算公式。根据试验结果对抗剪承载力公式进行修正,修正后的计算结果与试验值吻合较好,其中轻钢轻混凝土模型具有更高的吻合度。研究结果可供结构设计和施工参考。

关键词:新型复合墙体;螺钉群破坏模型;轻钢轻混凝土模型;strut-and-tie模型;抗剪承载力

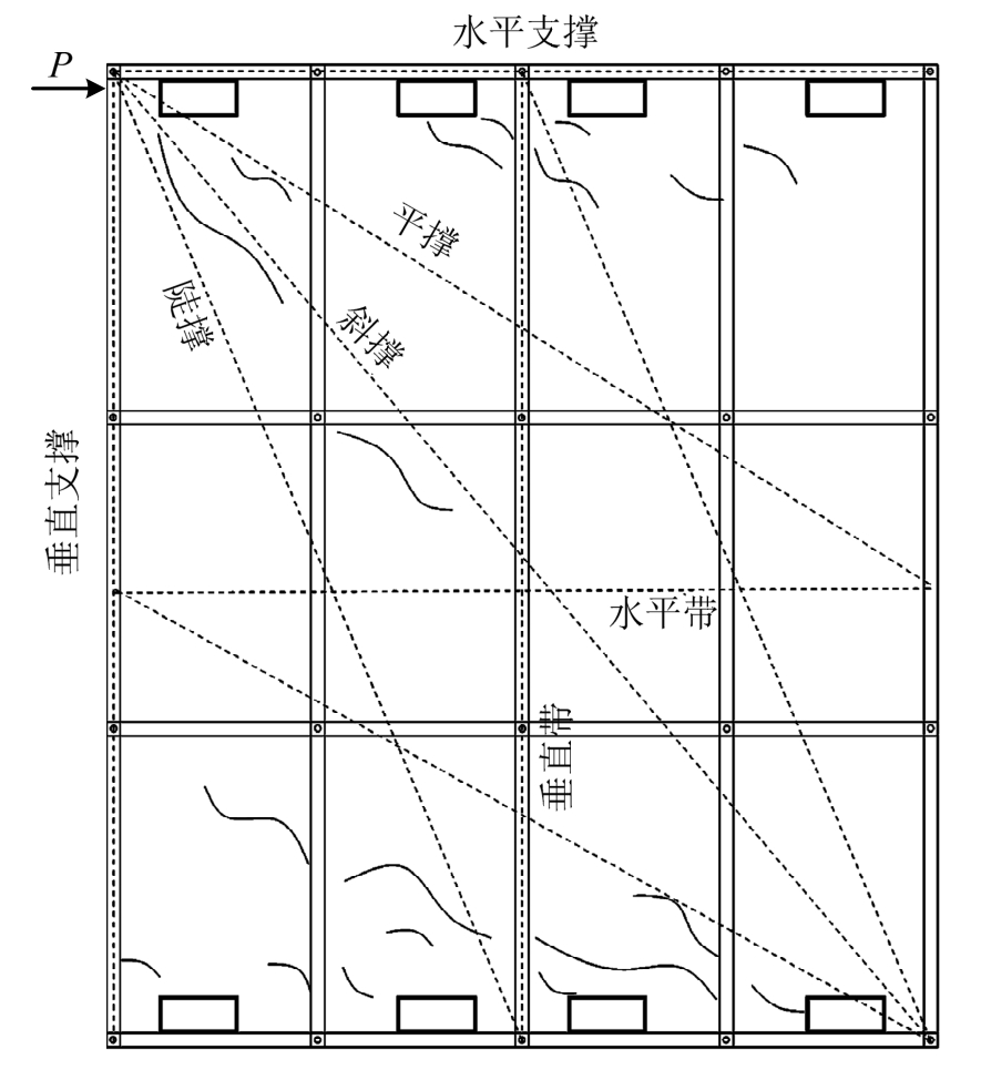
新型泡沫混凝土轻钢龙骨复合墙体是指带有方钢管连接件的泡沫混凝土轻钢龙骨复合墙体(专利申请号为201820760175.6,以下均简称新型复合墙体),该墙体是以冷弯薄壁轻钢龙骨为主要承重构件,墙体内侧直接利用自攻螺钉连接蒙皮板作为免拆模板,外侧利用方钢管连接件连接蒙皮板作为免拆模板从而形成墙体空腔,浇筑泡沫混凝土之后形成整体(图1)。连接件的使用可以同时达到:① 实现泡沫混凝土厚度可控,以满足其保温性能要求;② 实现轻钢龙骨与蒙皮板离隙,避免热桥和冷桥,且利于泡沫混凝土浇筑时的流动和密实;③ 避免轻钢龙骨大量开孔,等目的。

图1 新型复合墙体示意图
Fig.1 Schematic diagram of new composite wall

在风荷载、地震荷载等水平荷载作用下,轻钢龙骨骨架体系的抗剪承载力较差,通过利用自攻螺钉连接蒙皮板,可以有效的提高整个结构体系的承载力,轻钢龙骨保温装饰一体板可以广泛用于外墙维护和内墙隔断[1]。文献[2]中将泡沫混凝土视为填充材料,而实际情况现浇泡沫混凝土将整个结构联系到一起,结构的整体稳定性和抗剪承载力都有一定的提高。对于新型复合墙体,泡沫混凝土更是将轻钢龙骨包裹起来,所以应该考虑泡沫混凝土对新型复合墙体抗剪承载力的贡献。

关于轻钢龙骨蒙皮板复合墙体抗剪承载力的研究,郭鹏和何保康[3]提出立柱的净截面破坏和蒙皮板周边自攻螺钉破坏的两种破坏模式,并得到不同破坏模式下墙体抗剪承载力的计算方法。董军和马庆平[4]借鉴木龙骨墙体抗剪承载力的计算方法得到抗剪承载力计算公式。成志洋[5]采用耦合双弹簧模型模拟自攻螺钉的连接得到抗剪承载力计算公式。

关于泡沫混凝土轻钢龙骨复合墙体抗剪承载力的研究成果较少,郁琦桐和潘鹏[6]提出玻化微珠砂浆轻钢龙骨复合墙体的抗剪承载力计算公式。Xu等[7]采用strut-and-tie模型得到抗剪承载力计算公式。对于泡沫混凝土作用的研究,黄强 等[8]分析表明泡沫混凝土虽然强度较低,但对结构整体刚度的贡献较大。Khaliq等[9]、Xu等[10]研究发现填充泡沫混凝土后,墙体抗剪承载力明显提高。此外,刘佩等[11]研究发现在墙体中轻钢龙骨可以代替钢筋龙骨来抵抗水平剪力。本文通过对试验现象的分析,将轻钢龙骨蒙皮板复合墙体的破坏模式简化为螺钉群失效;将新型复合墙体的受力模型简化为轻钢轻混凝土模型和strut-and-tie模型,综合考虑了泡沫混凝土对于新型复合墙体抗剪承载力的影响,从而推导出抗剪承载力的实用计算公式。

1 构件制作及加载

1.1 构件制作

本次试验采用的轻钢龙骨骨架是由壁厚为0.8 mm、屈服强度为550 MPa的C形冷弯薄壁型钢制成的。龙骨之间通过自攻螺钉进行连接,龙骨拼接完成如图2所示。

图2 轻钢龙骨 /mm
Fig.2 Light steel-frame

方钢管连接件是截面尺寸为10 mm×10 mm的空心钢管,钢管长度可根据实际需求调整,本试验所用的方形短钢管长度为60 mm。方形短钢管与轻钢龙骨之间、方形短钢管与方形长钢管之间均通过射钉连接,如图3所示。

本试验采用的高强度水泥压力板厚度为10 mm,尺寸为1200 mm×1200 mm。钢网片采用有筋扩张网,厚度为0.7 mm,肋高为7 mm。钢网片内侧需铺设一层无纺布防止浇筑泡沫混凝土时产生漏浆,连接完成后在墙体内部浇筑泡沫混凝土即可,泡沫混凝土硬化后在钢网片外侧进行水泥基抹面处理,养护完成后即可进行试验。

图3 方钢管连接件连接示意图
Fig.3 Connection schematic diagram of square steel pipe fitting

1.2 试件加载及位移计布置

试验采用100 t电液伺服多通道拟动力加载系统,加载设备及位移计布置如图4所示。

图4 加载设备及组件安装
Fig.4 Loading equipment and component installation

文献[12]指出采用小截面型钢(立柱腹板高75 mm,厚0.75 mm)的轻钢龙骨蒙皮板复合墙体在有竖向力作用下比无竖向力作用下抗剪承载力提高10%左右;而采用大截面型钢(立柱腹板高102 mm、厚1 mm)的轻钢龙骨蒙皮板复合墙体在有竖向力作用下比无竖向力作用下抗剪承载力降低5%左右,本试验中采用的型钢立柱腹板高为90 mm、厚为0.8 mm,处于两者之间,竖向力对抗剪承载力的影响较小,同时考虑到本结构多应用于低层建筑结构,所以本次试验不施加竖向荷载。

单调加载制度以每级1 kN的极差递增加载,每级荷载持荷1 min,当P-Δ曲线的斜率产生明显变化时,加载制度改为位移控制。根据试验结果,近似确定屈服水平位移Δy

低周反复加载制度如图5所示。

图5 低周反复加载制度
Fig.5 Reversed cyclic loading protocol

试验过程中,墙体顶部实测的侧移 δ0(D2的读数考虑高度折减后的数值),是由墙体转动时的顶部侧移δφ、墙体与台座相对滑动位移δl以及墙体的实际剪切变形δ三部分组成,故墙体的实际剪切变形为:

2 轻钢龙骨蒙皮板复合墙体单调加载试验结果及抗剪承载力分析

分别对钢网片蒙皮轻钢龙骨复合墙体(图6(a))和钢网片-高强度水泥压力板蒙皮轻钢龙骨复合墙体(图6(b))进行单调加载,钢网片-高强度水泥压力板蒙皮轻钢龙骨复合墙体的方钢管连接件布置在钢网片一侧,墙体信息如表1所示。加载过程中,边立柱变形较小,底导梁出现变形,这是由于预埋件处的锚固构件刚度较大导致应力集中而产生的(图7(a)),抹面水泥基材料脱落严重(图7(b)),高强度水泥压力板在自攻螺钉的位置出现裂纹(图7(c)),底部出现螺钉脱落现象(图7(d))。

表1 轻钢龙骨蒙皮板复合墙体信息表
Table 1 Information of light steel-framed composite walls covered with skin plates

编号 加载方式 墙体尺寸(长×高×厚)/mm3 数量 蒙皮板种类 泡沫混凝土DD-1 单调加载 2400×2800×170 1 钢网片蒙皮 无DD-2 单调加载 2400×2800×175 1 钢网片-高强度水泥压力板蒙皮 无

图6 轻钢龙骨蒙皮板复合墙体
Fig.6 Light steel-framed composite wall covered with skin plates

图7 轻钢龙骨蒙皮板复合墙体破坏现象
Fig.7 Damage phenomena of light steel-framed composite walls covered with skin plates

两种墙体单调加载的P-Δ曲线如图8所示。

图8 DD-1和DD-2的P-Δ曲线
Fig.8 P-Δ curves of DD-1 and DD-2

轻钢龙骨蒙皮板复合墙体单调加载结果如表2所示。

表2 轻钢龙骨蒙皮板复合墙体单调加载结果
Table 2 Results of monotonic loading of light steel-framed composite walls covered with skin plates

编号 极限荷载/kN 破坏荷载/kN DD-1 17.34 14.74 DD-2 14.96 12.72

根据试验破坏现象,墙体破坏主要是由固定面板的螺钉群部分失去承载能力导致的,而边立柱的变形较小。由表2可以看出,相较于DD-2,DD-1的极限承载力提高15.91%,主要原因是连接高强度水泥压力板与轻钢龙骨的自攻螺钉的极限承载力小于连接钢网片与轻钢龙骨的自攻螺钉的极限承载力。

3 轻钢龙骨蒙皮板复合墙体抗剪承载力计算方法

3.1 墙体抗剪受力模型及抗剪承载力计算公式

为方便计算,依据试验结果与分析,对结构的受力模型作如下的假定:

1)墙体破坏模型为螺钉群破坏模型。当受力最大的自攻螺钉发生破坏时,即认为蒙皮板失去蒙皮功能,墙体达到极限承载力。钢网片蒙皮板螺钉群简化示意图如图9所示。

2)自攻螺钉的刚度相同,即同一行的自攻螺钉承受的水平方向剪力值相等。

3)考虑蒙皮板起到的部分承载作用,不同行间(例如Ⅰ行与Ⅱ行)的螺钉承受的水平方向剪力值近似取为相等。

4)自攻螺钉竖直方向承受的剪力值与其到墙体中心线的距离成正比。

图9 钢网片蒙皮板螺钉群受力简化图
Fig.9 Simplified stress diagram of bolt group in steel mesh skin plate

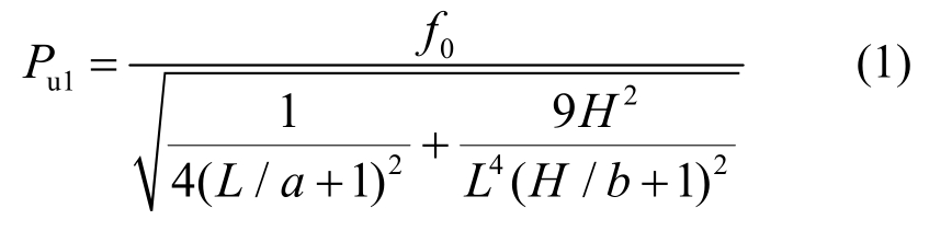
根据假定2)、3),螺钉承受的水平方向剪力值大小为:

式中:L为墙体宽度;a为横向螺钉间距。当边部螺钉承受的剪力为f时:

式中:qvi为螺钉的竖直剪力;xi为螺钉到墙体中心线的距离。

于是:

上式可求解边螺钉承受某一剪力时,各个螺钉承受的竖向剪力,所以此时每个螺钉承受剪力的计算公式为:

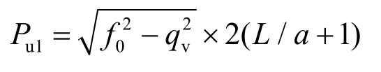
上式可求解边螺钉承受某一剪力时,各个螺钉承受的剪力值大小。假设当P达到Pu1时,边部螺钉达到极限承载力破坏,即f=f0,如图9所示,于是:

式中:qv为边螺钉的竖向剪力;b为竖向螺钉的间距。

于是:

求解得:

式(1)即为钢网片蒙皮轻钢龙骨复合墙体抗剪承载力的理论计算公式。

高强度水泥压力板一侧的螺钉连接方式如图10所示。

图10 高强度水泥压力蒙皮板螺钉群受力简化图
Fig.10 Simplified stress diagram of bolt group in high strength cement pressure skin plate

由于高强度水泥压力板在墙面内存在拼缝,所以在计算螺钉承受的水平剪力时,需要考虑拼缝处连接螺钉的数量。本文中拼缝处螺钉数量与边部螺钉数量相等,所以可以忽略拼缝对于墙体抗剪承载力的影响。连接钢网片蒙皮板侧墙面的抗剪承载力为:

连接高强水泥板侧的抗剪承载力为:

式中:n为横向轻钢龙骨数量;为高强水泥板一侧螺钉的极限承载力。

于是,钢网片-高强度水泥压力板蒙皮轻钢龙骨复合墙体抗剪承载力理论计算公式为:

3.2 参数取值与公式验证

f0按照规范《冷弯薄壁型钢结构技术规范》GB 50018―2002中6.1.7的规定进行计算。t1/t=1.14,介于1和2.5之间,按照线性内插的方法进行计算:

经内插后求得f0=933N同样按照规范中的计算方法进行计算[12]

将数据代入式(1)、式(4)中,计算结果如表3所示。

式(1)、式(4)均未考虑轻钢立柱对于墙体抗剪承载力的贡献,文献[12]采用最大承载力修正系数来修正计算结果,修正系数是一个与钢板肋高有关的参数。由于本文采用的轻钢龙骨蒙皮板复合墙体一侧的蒙皮板采用连接件与龙骨骨架相连,蒙皮效应有所削弱,两种效果相互抵消,所以本文对式(1)、式(4)的综合抗剪承载力修正系数取为1.0,由表3可以看出,计算结果与试验值吻合较好。

表3 轻钢龙骨蒙皮板复合墙体抗剪承载力试验结果与计算结果对比
Table 3 Comparison of test results and calculation results of shear strength of light steel-framed composite walls covered with skin plates

项目 极限承载力试验值/kN极限承载力计算值/kNPc/Pe DD-1 17.34 17.28 1.00 DD-2 14.96 14.29 0.96

4 新型复合墙体试验结果及抗剪承载力分析

分别对新型复合墙体进行单调加载和低周反复加载,墙体信息如表4所示。

表4 新型复合墙体参数表
Table 4 Parameter table of new composite walls

编号 加载方式 墙体尺寸(长×高×厚)/mm 数量 蒙皮板种类 泡沫混凝土密度/(kg/m³)DD-1(D-300)单调加载 2400×2800×170 1 钢网片蒙皮板 300 DD-2(D-400)单调加载 2400×2800×170 1 钢网片蒙皮板 400 DZ-1(D-300)低周反复 2400×2800×170 1 钢网片蒙皮板 300 DZ-2(D-400)低周反复 2400×2800×170 1 钢网片蒙皮板 400

浇筑泡沫混凝土的新型复合墙体在单调荷载和低周反复荷载作用下,破坏模式仍主要是墙体面板自攻螺钉部分破坏,底部螺钉脱落较为严重(图11(a));内部泡沫混凝土被压碎(图11(b));钢网片变形导致水泥基抹面脱落严重(图11(c)),预埋件位置采用刚性约束导致局部应力集中,使此处底导梁产生变形(图11(d));切开墙体后,泡沫混凝土会出现未贯通斜裂缝(图11(e));靠近预埋件位置的泡沫混凝土也会产生裂缝(图11(f))。

图11 新型复合墙体破坏现象
Fig.11 Damage phenomena of new composite walls

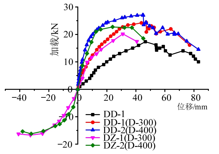
钢网片蒙皮轻钢龙骨复合墙体和新型复合墙体单调加载的P-Δ曲线以及新型复合墙体低周反复加载的骨架曲线如图12所示。

图12 P-Δ曲线和骨架曲线
Fig.12 P-Δ curves and skeleton curves

新型复合墙体的加载结果如表5所示。

表5 新型复合墙体加载结果
Table 5 Loading results of new composite walls

项目 极限荷载/kN 破坏荷载/kN DD-1(D-300)24.35 20.70 DD-2(D-400)27.09 23.03 DZ-1(D-300)20.18 17.15 DZ-2(D-400)22.73 19.32

由图12及表2、表5可以看出,浇筑泡沫混凝土后新型复合墙体的抗剪承载力大幅度提高,DD-1(D-300)相对于DD-1,极限承载力提高40.43%;DD-2(D-400)相对于DD-1,极限承载力提高56.23%。在一定范围内增加泡沫混凝土密度,能够有效的提高新型复合墙体的极限承载力。单调加载情况下,DD-2(D-400)相较于DD-1(D-300),极限承载力提高了11.25%;低周反复加载情况下,DZ-2(D-400)相较于DZ-1(D-300),极限承载力提高了12.64%。

5 新型复合墙体受力模型及抗剪承载力计算公式

5.1 聚苯颗粒泡沫混凝土材性试验

聚苯颗粒泡沫混凝土抗压强度的测试方法采用《泡沫混凝土》JG/T266―2011中规定的方法,每组3块试样,试样在尺寸为100 mm×100 mm×100 mm的试模中成型,脱模后在标准养护箱内养护至规定龄期。受压实验连续而均匀地加荷,加荷速度为1.0 kN/s,直至试件破坏,然后记录破坏荷载F,抗压强度为:

式中:fc/MPa为抗压强度;F/N为试件破坏时压力;A/mm2为试件的受压面积。

聚苯颗粒泡沫混凝土立方体抗压强度测试结果求平均值作为标准值。抗拉强度值的计算方法采用参考文献[13]中的研究结论,计算公式为ft=0.23(fc)0.67。测试与计算结果如表6所示。

5.2 轻钢轻混凝土模型

《混凝土结构设计规范》GB 50010―2010(2015年修订版)中指出对于偏心受压构件,其斜截面受剪承载力的计算公式为:

表6 聚苯颗粒泡沫混凝土强度
Table 6 Strength of polystyrene foam concrete

编号 密度/(kg/m3)受压面积/mm2破坏压力/N fc/MPa抗压强度平均值/MPa抗拉强度/MPa 1 99×1005623 0.568 2 100×1006020 0.602 3 99×1005644 0.570 4 400 3000.58 0.16 100×1006743 0.674 5 100×1007421 0.742 6 99×1006772 0.684 0.70 0.18

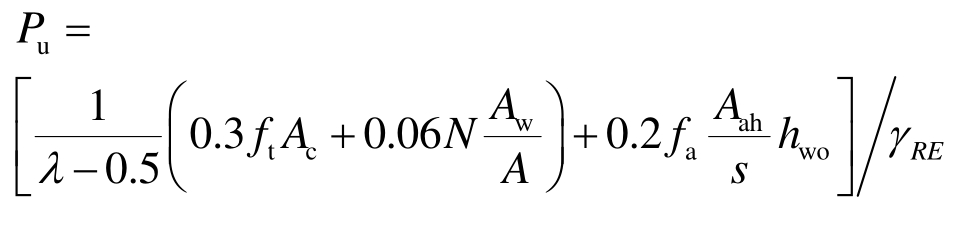
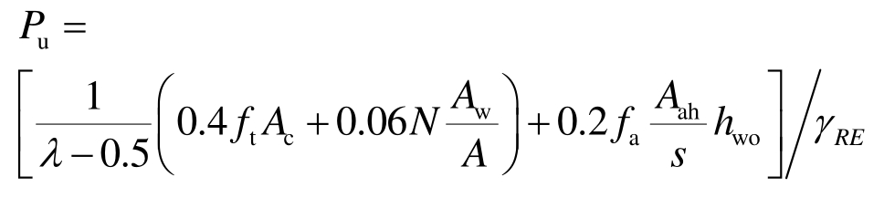
轻钢轻混凝土剪力墙抗剪承载力的计算方法与钢筋混凝土构件斜截面受剪承载力的计算方法相同,由于轻混凝土的强度小于普通混凝土,所以各叠加项分别进行了折减。《轻钢轻混凝土结构技术规程》JGJ 383―2016中规定了对于轻钢轻混凝土剪力墙的受剪承载力,主要采用承载力叠加法计算,其受剪承载力由构件有效抗剪截面和混凝土抗拉强度提供的抗剪能力、轴压力引起的抗剪能力增量(无轴压力时则不用考虑)、抗剪钢材所提供的抗剪能力三部分之和得到。其中轻钢聚苯颗粒混凝土剪力墙斜截面抗剪承载力计算公式为:

持久、短暂设计状况,

地震设计状况,

轻钢泡沫混凝土剪力墙受剪承载力的计算公式为:

持久、短暂设计状况,

地震设计状况,

以上公式中参数的含义及取值参考《轻钢轻混凝土结构技术规程》JGJ 383―2016,将所有数据带入到以上叠加公式中,计算结果如表7、表8所示。

由表7、表8可以看出,轻钢轻混凝土模型的计算结果与试验值相差较大,聚苯颗粒泡沫混凝土相较于聚苯颗粒混凝土和普通的泡沫混凝土强度较低,叠加公式中混凝土提供的承载力需要进行进一步折减。此外,聚苯颗粒泡沫混凝土对轻钢龙骨提供的承载力也有一定的影响,也需要进行进一步折减。本次试验没有施加竖向荷载,因此不考虑轴压力引起的抗剪能力增量。

表7 轻钢轻混凝土模型计算结果1
Table 7 Calculation results of lightweight steel and lightweight concrete model 1

墙体 Pue/kN 轻钢聚苯颗粒混凝土Puc/kN Puc/Pue DD-1(D-300)24.35 54.53 2.24 DD-2(D-400)27.09 57.61 2.13 DZ-1(D-300)20.18 49.97 2.48 DZ-2(D-400)22.73 52.63 2.32

表8 轻钢轻混凝土模型计算结果2
Table 8 Calculation results of lightweight steel and lightweight concrete model 2

墙体 Pue/kN 轻钢泡沫混凝土Puc/kN Puc/Pue DD-1(D-300)24.35 60.39 2.48 DD-2(D-400)27.09 64.23 2.37 DZ-1(D-300)20.18 56.84 2.82 DZ-2(D-400)22.73 60.45 2.66

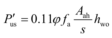
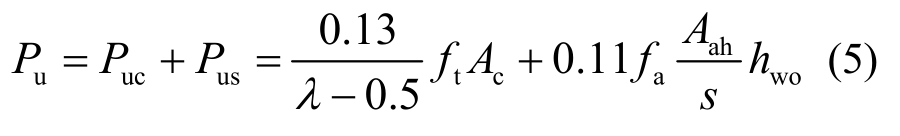
聚苯颗粒泡沫混凝土本身的强度很低,在简化计算时,忽略其对于轻钢龙骨承载力的贡献,于是根据表2中DD-1的试验结果得到抗剪钢材提供的抗剪承载力计算公式为:

根据表5中DD-1(D-300)和DD-2(D-400)的试验结果得到由构件有效抗剪截面和聚苯颗粒泡沫混凝土抗拉强度提供的抗剪承载力计算公式为:

于是单调荷载作用下新型复合墙体抗剪承载力的计算公式为:

地震设计状况下,抗剪钢材提供的抗剪承载力降低系数为:

于是低周反复荷载作用下抗剪钢材提供的抗剪承载力计算公式为:

根据表5中DZ-1(D-300)和DZ-2(D-400)的试验结果得到由构件有效抗剪截面和聚苯颗粒泡沫混凝土抗拉强度提供的抗剪承载力计算公式为:

于是低周反复荷载作用下新型复合墙体的抗剪承载力计算公式为:

γRE根据《轻钢轻混凝土结构技术规程》JGJ 383―2016的规定取为0.85,于是φ值为0.94。

式(6)即为:

为设计计算方便,《低层冷弯薄壁型钢房屋建筑技术规程》JGJ 227―2011中对于地震荷载作用下墙体的抗剪承载力需要乘以折减系数0.85,本文采用同样的折减方法,式(6)可以简化为:

式中,γz的取值为0.85。

将数据代入式(5)~式(7),其中ft采用5.1中计算得到的抗拉强度标准值fa取钢材屈服强度标准值550 MPa,计算结果如表9所示。

表9 新型复合墙体计算结果
Table 9 Calculation results of new composite walls

注:括号中的数值是由式(7)计算得到。

项目 Pue/kN Puc/kN Puc/Pue DD-1(D-300)24.35 24.95 1.02 DD-2(D-400)27.09 25.95 0.96 DZ-1(D-300)20.18 20.98(21.21)1.04(1.05)DZ-2(D-400)22.73 21.60(22.06)0.95(0.97)平均值 0.99(1.00)变异系数 0.04(0.04)

由表9可以看出,式(5)~式(7)的计算结果与试验值吻合度较高,可以作为新型复合墙体抗剪承载力的计算公式。

5.3 strut-and-tie模型

新型复合墙体内部泡沫混凝土裂缝分布如图13所示。

图13 复合墙体的strut-and-tie模型
Fig.13 Strut-and-tie model of composite wall

裂缝的方向大致符合strut-and-tie模型。Hwang等[14]指出strut-and-tie模型的结构抗剪承载力公式为:

其中:Cd指斜撑(diagonal strut)的抗压强度;K指的是strut-and-tie指数;ζ是裂缝的软化系数;是泡沫混凝土的抗压强度,计算时取标准值;Astr是斜撑的有效面积;θ是斜撑与水平带(horizontal strut)的夹角。

式中:bw为墙体厚度;N为轴向压力;Aw为墙体横截面积;为泡沫混凝土抗压强度,计算时取标准值;Lw为墙体长度。

ζ的计算式为:

ζ的计算值大于0.52时取0.52。

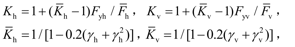
K的计算公式如下:

其中:

FyhFyv分别指水平和垂直方向的屈服力。若KhKv的计算值分别大于KhKv的取值分别为

Xu等[10]指出由strut-and-tie模型计算泡沫混凝土轻钢龙骨复合墙体在低周反复荷载作用下的抗剪承载力时需要乘以由相对滑移引起的降低系数η,取值为0.85。抗剪承载力计算公式为:

由表5可以看出低周反复荷载作用下的墙体DZ-1(D-300)、DZ-2(D-400)的抗剪承载力相对于单调加载作用下的DD-1(D-300)、DD-2(D-400)分别下降17%、16%,符合Xu等[10]提出的折减方法。计算结果与试验结果对比如表10所示。

表10 抗剪承载力计算值与试验值对比
Table 10 Comparison between calculated values and test values of shear strength

项目 Pue/kN Puc/kN Puc/Pue DD-1(D-300)24.35 24.19 0.99 DD-2(D-400)27.09 29.19 1.08 DZ-1(D-300)20.18 20.56 1.02 DZ-2(D-400)22.73 24.82 1.09平均值 1.05变异系数 0.06

由表10可以看出计算结果与试验结果吻合较好,strut-and-tie模型计算墙体抗剪承载力是以混凝土的强度为基础的,轻钢龙骨作为一种影响因素考虑到指数K中,考虑了两者之间的作用关系,符合新型复合墙体的破坏模式,用此模型简化计算新型复合墙体的抗剪承载力是合理的。

由表9和表10可以看出,将泡沫混凝土和轻钢龙骨分开考虑或者将两者作为整体考虑都是合理的。轻钢轻混凝土模型的计算结果的变异系数小于strut-and-tie模型,与试验结果吻合度更高。

6 新型复合墙体结构设计方法与分析

以新型复合墙体作为抗剪墙的受剪承载力按下列规定进行验算。

风荷载作用下,抗剪墙体单位计算长度上的剪力应符合下式要求:

在抗震设防区,多遇地震作用下,抗剪墙体单位计算长度上的剪力应符合下式要求:

式中:Sw为考虑风荷载效应组合下抗剪墙体单位计算长度的剪力设计值;Se为考虑多遇地震荷载效应组合下抗剪墙体单位计算长度的剪力设计值;Sh为抗剪墙体单位计算长度受剪承载力设计值,可按照表11取值;γ为承载力调整系数,取为0.85。

表11 墙体单位长度的抗剪承载力设计值
Table 11 Design value of shear strength per unit length of walls

注:钢材为Q550;若墙体上有门窗洞口,则应根据《低层冷弯薄壁型钢房屋建筑技术规程》JGJ227-2011第6.2.3条的规定乘以折减系数。

龙骨壁厚/mm 带肋钢网片厚度/mm 立柱截面高度/mm 泡沫混凝土厚度/mm泡沫混凝土密度/(kg/m3)Sh/(kN/m)- 5 0.8~1.0 0.7~1.0 90~105 160~200 105~120 200~240 250~350 7 350~450 8- 5 250~350 8 350~450 9

表11中轻钢立柱截面高度为90 mm~105 mm的抗剪承载力设计值根据墙体的试验结果经调整后得到,截面高度为105 mm~120 mm的抗剪承载力设计值根据式(5)和式(8)分别计算后取较小值并经调整后得到。

7 结论

本文通过试验研究和理论研究对轻钢龙骨蒙皮板复合墙体和新型复合墙体的抗剪承载力进行分析,得到以下结论:

(1)由于底部导梁使用了刚度较大的锚固件,造成了应力集中,从而使底导梁出现变形。因此,在进行新型复合墙体设计时,可以采用拼合截面制作导梁或者增加其壁厚。

(2)新型复合墙体中使用的方形钢管连接件并未出现变形和破坏,没有造成薄弱部位,设计和连接方式是合理的。

(3)采用螺钉群破坏模式简化计算得到的式(1)与式(4)可为轻钢龙骨蒙皮板复合墙体的结构设计提供理论依据;采用轻钢轻混凝土模型简化计算得到的式(5)~式(7)和采用strut-and-tie模型简化计算得到的式(8)与式(9)均可为新型复合墙体的结构设计提供理论依据。其中轻钢轻混凝土模型吻合度更高。

参考文献:

[1]郝际平, 孙晓岭, 薛强, 等.绿色装配式钢结构建筑体系研究与应用[J].工程力学, 2017, 34(1): 1―13.Hao Jiping, Sun Xiaoling, Xue Qiang, et al.Research and applications of prefabricated steel structure building systems [J].Engineering Mechanics, 2017, 34(1): 1―13.(in Chinese)

[2]闫振甲, 何艳君.现浇泡沫混凝土复合墙体技术[M].北京: 化学工业出版社, 2013: 64―66.Yan Zhenjia, He Yanjun.Cast-in-place Foam concrete composite wall technology [M].Beijing: Chemical Industry Press, 2013: 64―66.(in Chinese)

[3]郭鹏, 何保康.冷弯薄壁型钢骨架墙体受剪承载力计算方法研究[J].建筑结构学报, 2010, 31(1): 9―15.Guo Peng, He Baokang.A study on shear strength analysis for Cold-formed Steel framing walls [J].Journal of Building Structures, 2010, 31(1): 9―15.(in Chinese)

[4]董军, 马庆平.轻钢龙骨复合墙体抗剪承载力计算[J].防灾减灾工程学报, 2007, 27(4): 389―393.Dong Jun, Ma Qingping.Calculation of shear strength of light steel composite walls [J].Journal of Disaster Prevention and Mitigation Engineering, 2007, 27(4):389―393.(in Chinese)

[5]成志洋.胶合板覆面轻钢龙骨式组合墙体抗剪性能分析[J].四川建材, 2017, 43(3): 37―95.Cheng Zhiyang.Analysis of shear resistance of light steel keel type composite wall with plywood cladding [J].Sichuan Building Materials, 2017, 43(3): 37―95.(in Chinese)

[6]郁琦桐, 潘鹏.轻钢龙骨玻化微珠保温砂浆墙体抗震性能试验研究[J].工程力学, 2015, 32(3): 151―157.Yu Qitong, Pan Peng.Experimental study on seismic performance of light-gauge steel wall filled with glazed hollow bead mortar [J].Engineering Mechanics, 2015,32(3): 151―157.(in Chinese)

[7]Xu Zhifeng, Chen Zhongfan, Osman.Bashir H, et al.Seismic performance of high-strength lightweight foamed concrete-filled cold-formed steel shear walls [J].Journal of Constructional Steel Research, 2018, 143:148―161.

[8]黄强, 李东彬.轻钢轻混凝土结构多层足尺模型抗震性能试验研究[J].建筑结构学报, 2016, 37(4): 10―17.Huang Qiang, Li Dongbin.Seismic capacity evaluation of lightweight steel and lightweight concrete structure based on quasi-static cyclic test of a multi-story full scale model [J].Journal of Architectural Structures, 2016,37(4): 10―17.(in Chinese)

[9]Khaliq Wasim, Moghis Ahmed.Shear capacity of cold-formed light-gauge steel framed shear-wall panels with fiber cement board sheathing [J].International Journal of Steel Structures, 2017, 17(4): 1404―1414.

[10]Xu Zhifeng, Chen Zhongfan, Yang Suhang.Seismic behavior of cold-formed steel high-strength foamed concrete shear walls with straw boards [J].Thin-Walled Structures, 2018, 124: 350―365.

[11]刘佩, 郭猛, 李挺, 等.轻钢龙骨框格密肋复合墙体抗震性能试验研究[J].工程力学, 2012, 29(1): 128―133.Liu Pei, Guo Meng, Li Ting, et al.Experimental investigation on seismic behavior of multi-grid composite wall reinforced by light steel [J].Engineering Mechanics, 2012, 29(1): 128―133.(in Chinese)

[12]郭鹏.冷弯型钢骨架墙体抗剪性能试验与理论研究[D].陕西: 西安建筑科技大学, 2008: 1―155.Guo Peng.Experimental and theoretical study on shear performance of cold-formed steel framing walls [D].Shaanxi: Xi’an University of Architecture and Technology, 2008, 1―155.(in Chinese)

[13]Chen Bing, Wu Zhen, Liu Ning.Experimental research on properties of high-strength foamed concrete [J].Journal of Materials in Civil Engineering, 2012, 24(1):113―118.

[14]Hwang Shyh-Jiann, Lee Hung-Jen.Strength prediction for discontinuity regions by softened strut-and-tie model[J].Journal of Structural Engineering, 2002, 128: 1519―1526.

STUDY ON SHEAR STRENGTH ANALYSIS FOR A NEW TYPE LIGHT STEEL-FRAMED COMPOSITE WALL FILLED WITH FOAM CONCRETE

TIAN Wen-ling1 , WEN Xiao-dong1 , PENG Jia-bin1 , XU Li-li2 , LI Zi-xiang1
(1.School of Civil Engineering and Transportation, Hebei University of Technology, Tianjin 300401, China;2.Tianjin Huashui Tap Water Construction Co., LTD., Tianjin 300131, China)

Abstract: To obtain a practical calculation method for the shear strength of light steel-framed composite walls covered with skin plates and a new type light steel-framed composite wall filled with foam concrete, four walls of identical dimensions, DD-1, DD-2, DD-1(D-300), DD-2(D-400), were subjected to monotonic loading and another two walls of identical dimensions, DZ-1(D-300), DZ-2(D-400), were subjected to reversed cyclic loading.On the experimental basis, a shear strength calculation method is established based on the bolt group failure model of light steel-framed composite walls covered with skin plates.The lightweight steel-lightweight concrete models and the strut-and-tie model are adopted to simplify the new type light steel-framed composite walls filled with foam concrete so as to derive a practical shear strength formula of the wall.The shear strength formula is revised according to the experimental results.The revised calculation results have good agreement with the experimental results.The lightweight steel-lightweight concrete model exhibits a higher agreement.The results can be used as a reference for structural design and construction.

Key words: new composite wall; failure model of bolt group; lightweight steel-lightweight concrete model;strut-and-tie model; shear strength

中图分类号:TU399;TU317.1

文献标志码:A

doi: 10.6052/j.issn.1000-4750.2018.08.0448

文章编号:1000-4750(2019)09-0143-11

收稿日期:2018-08-12;修改日期:2018-11-02

课题来源:天津市建设科技发展计划项目(ZTCC-1804215)

通讯作者:温晓东(1992―),男,河北张家口人,硕士生,主要从事新型结构研究(E-mail: 2459209358@qq.com).

作者简介:

田稳苓(1961―),女,河北大城人,教授,工学博士,博导,主要从事新型材料与新型结构研究(E-mail: wltian126@126.com);

彭佳斌(1983―),男,河北武安人,博士生,主要从事新型建筑材料研究(E-mail: 13752463210@139.com);

徐丽丽(1989―),女,天津市蓟县人,在职硕士生,主要从事新型材料与新型结构研究(E-mail: 314040943@qq.com);

李子祥(1963―),男,河北东光人,高工,学士,主要从事结构实验研究(E-mail: 13602132789@163.com).