基于建筑需求的新型黏滞阻尼器开敞式布置机构研究

朱丽华1,2,王 健2,于安琪2,单诗宇2

(1.西安建筑科技大学省部共建西部绿色建筑国家重点实验室,西安 710055;2.西安建筑科技大学土木工程学院,西安 710055)

摘 要:黏滞阻尼器耗能减震结构的减震效果与阻尼器在结构中的安装方式密切相关,已有黏滞阻尼器布置机构主要考虑结构减震需求和安装连接简单方便,而未考虑建筑需求。针对现有黏滞阻尼器布置机构占用结构框格内空间、阻碍视野的不足,提出了一种新型黏滞阻尼器开敞式布置机构。介绍了开敞式布置机构的构造与工作原理,并对机构的力学性能进行理论分析,推导了位移放大系数和等效阻尼比计算公式。设计并制作了一个设置黏滞阻尼器开敞式布置机构的钢框架试件,给试件施加正弦位移激励,分析了开敞式布置机构在动力作用下的受力性能,以及在不同位移幅值、频率工况下,框架侧移与阻尼器两端相对位移之间的关系,验证了该文提出的位移放大系数计算公式的准确性。采用SAP2000对比分析了一个无控钢框架结构,以及设置阻尼器对角布置机构和开敞式布置机构后的减震性能,验证了该新型布置机构在实际工程中应用的可行性。

关键词:黏滞阻尼器;阻尼器布置机构;位移放大系数;消能减震;动力加载

近年来,随着消能减震技术[1-3]的发展,通过在结构中附加黏滞阻尼器来消耗地震能量、减小结构地震反应,已成为结构振动控制技术的重要手段[4-7]。为了提高黏滞阻尼器的工作效率,需通过有效的连接机构将阻尼器布置到结构中,即阻尼器布置机构。目前,国内外学者已经提出了多种布置机构。Constantinou等[8-9]提出了黏滞阻尼器套索布置机构和剪刀撑布置机构。Jenn-Shin Hwang等[10]的研究表明,套索机构的减震效率明显高于对角机构。Berton等[11]根据机械工程中的齿条齿轮传动技术提出了齿轮式阻尼器布置机构。Jae-Do Kang等[12]提出了翘板式布置机构。Mosquera等[13]提出了一种阻尼器偏心杠杆布置机构。周云等[14]提出了悬臂肘节式阻尼器布置机构。在工程应用方面,黏滞阻尼器对角布置机构、人字形布置机构、套索布置机构和剪刀撑布置机构应用最为广泛,如图1所示。

图1 黏滞阻尼器布置机构
Fig.1 Viscous damper installation configurations

已有黏滞阻尼器布置机构的提出主要考虑了两个因素:一是阻尼器与主体结构连接简单可靠,方便易行。对角机构和人字形机构是最传统的两种阻尼器布置机构,对角机构构造简单、易于施工;人字形机构中阻尼器呈水平布置,其消能减震能力较对角机构有所提高。二是提高黏滞阻尼器的减震效果,如布置在刚性结构中的阻尼器,为了提高减震效率,布置机构必须具有较大的位移放大系数。套索机构和剪刀撑机构均属于这种情况。正是在这种背景下使得上述黏滞阻尼器布置机构都存在一个共同问题:阻尼器及其连接杆件占用了结构框格内很大空间,从而可能阻碍视野,影响建筑开门开窗,无法满足人们对建筑美观、使用功能等方面的需求。

随着社会经济的发展和人们生活水平的提高,人们对建筑物使用功能的要求也越来越高,尤其是对视野和空间的要求,人们通常希望得到具有开阔视野、无遮挡、开敞空间的建筑物。为了弥补现有黏滞阻尼器布置机构的不足,本文基于建筑需求提出了一种新型黏滞阻尼器布置机构—开敞式阻尼器布置机构。通过力学分析和试验,研究该机构的基本力学性能,并通过数值分析验证该机构应用在实际结构中的有效性。

1 开敞式阻尼器布置机构

本文提出的开敞式阻尼器布置机构如图2所示。该机构主要由连杆、直角曲杆、节点板、支座构成。图中,直角曲杆与节点板通过销栓连接,使得直角曲杆可以绕销栓自由转动。连杆沿着梁底和柱侧布置,基本不占用结构框格内的空间,不影响建筑物开门开窗,经过简单建筑装饰即可将阻尼器及连杆完全隐蔽,从而获得无遮挡的开敞视野。此外,通过调整该布置机构的几何参数,可以保证阻尼器具有较高的工作效率。

开敞式阻尼器布置机构工作原理为:结构发生振动时产生层间位移,节点板与支座之间产生相对位移;此时,第一连杆绕支座发生转动,从而带动直角曲杆转动,进而使第二连杆产生轴向变形而成为拉(压)杆。由于第二连杆轴向刚度远大于黏滞阻尼器的刚度,所以当第二连杆受力时会使阻尼器两端的位移发生改变,从而使阻尼器工作。即当结构发生振动时,通过本布置机构可以将层间位移传递到阻尼器的两端,通过阻尼器实现结构消能减震的目的。需要说明的是,该布置机构要求直角曲杆具有较大的刚度,确保直角曲杆在转动时不会发生变形,以保证阻尼器的工作效率。实际工程中可以采用高强度钢板等构件作为直角曲杆。图2中的支座也可以和柱脚合一,即第一连杆通过节点板连接在柱脚上。

图2 开敞式阻尼器布置机构
Fig.2 Open viscous damper installation configuration

2 开敞式阻尼器布置机构理论分析

2.1 位移放大系数

黏滞阻尼器布置机构应该能够有效地将结构层间位移转化为阻尼器两端的相对位移。位移转换的效率可以通过位移放大系数f来表示,f是阻尼器两端的相对位移uD与结构的层间位移u的比值[8]。根据开敞式阻尼器布置机构发生侧向位移的几何变形关系可以推导其位移放大系数f

图3(a)所示为开敞式阻尼器布置机构示意图,假定机构在水平荷载作用下仅发生剪切变形,当机构发生侧向位移u时,其变形如图3(b)所示。根据图3所示的机构几何变形关系推导可得位移放大系数f的表达式。

2.1.1 小位移情况下的位移放大系数

小位移情况下,结构的层间位移u远小于层高,直角曲杆的转角ψ也很小。假定cosψ≈1,sinψψ,则小位移情况下开敞式阻尼器布置机构的位移放大系数计算表达式为:

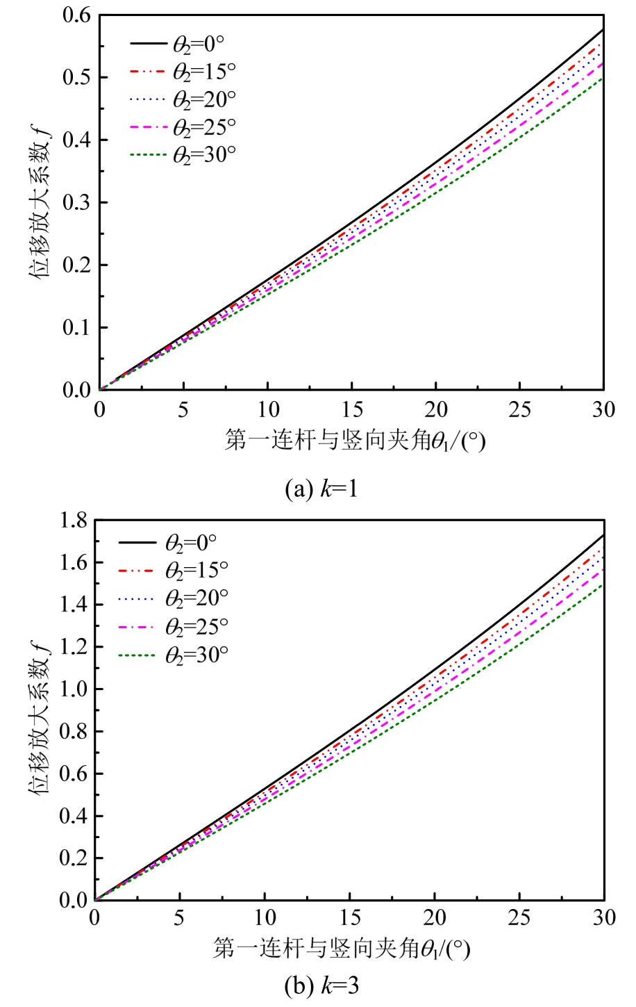
式中:k=l2/l1,为直角曲杆竖直杆与水平杆长度的比值。开敞式阻尼器布置机构位移放大系数f与参数k、θ1θ2的关系如图4所示。

图3 开敞式阻尼器布置机构计算简图
Fig.3 Calculation diagram for open viscous damper installation configuration

由图4可知,位移放大系数fkθ1增大而增大,随θ2的增大而减小。位移放大系数fkθ1的变化比较敏感,对θ2的变化敏感性小。θ1θ2的增大会使得阻尼器连接杆件占用结构框格中较大空间,因而为了既满足建筑上的使用要求,又能保证阻尼器的工作效率,一般可以通过增加k来提高其位移放大系数。k过大对直角曲杆刚度要求也会增大,宜将k控制在3.0以下。

2.1.2 大位移情况下的位移放大系数

当层间位移较大时,阻尼器两端的相对位移与框架的层间位移之间是复杂的非线性关系。为了对比大位移和小位移理论计算结果的差异,不妨假设某开敞式阻尼器布置机构几何参数为θ1=15°,θ2=9°,lAB=1563mm,l0=1325mm ,l1=70mm,l2=210mm。基于小位移理论,由位移放大系数计算式(1)可得f=ktanθ1cosθ2=0.794。小位移情况下,uDu的关系是一条直线。大位移情况下由于不满足简化条件,故按照原始公式f=uD/u,绘制出uDu的关系曲线,如图5所示。

图4 位移放大系数与各参数的关系曲线
Fig.4 Relationship between displacement magnification factor and parameters

图5 阻尼器两端相对位移与层间位移关系
Fig.5 Relationship between damper relative displacement of both ends and inter-story drift

由图5可知,当层间位移u较小时,两条线非常接近,这说明小位移情况下两种理论计算的结果很接近。抗震规范对结构的层间变形作了限制,一般情况下层间变形都较小,因此采用小位移情况下的式(1)即可得到足够的计算精度。

2.2 等效阻尼比

Sigaher和Constantionou等[9]采用能量法提出了附加线性黏滞阻尼器结构的等效阻尼比计算公式。采用该方法可得开敞式阻尼器布置机构的等效阻尼比为:

式中:ξeff为耗能减震系统整体等效阻尼比;ξ0为系统自身固有阻尼比;ξd为黏滞阻尼器提供的阻尼比;T为第一模态的周期;Cj为第j个阻尼器的阻尼系数;φrj为基本振型第j个阻尼器两端的水平相对位移;mi为第i个自由度的质量;φi为第一模态第i个质点正规化位移。

3 开敞式阻尼器布置机构试验研究

3.1 试件设计

为了验证前文推导出的开敞式阻尼器布置机构位移放大系数计算公式的准确性,对设置开敞式阻尼器布置机构的钢框架结构进行动力荷载作用下的加载试验。试验模型是缩尺比为1/2的单层单跨钢框架结构,跨度为2.5 m,层高1.9 m。梁、柱截面均为HM200×150×6×9,直角曲杆、节点板及加劲板均采用厚度为10 mm的钢板,连杆采用方钢管□50×50×5。梁、柱、连杆等钢材均为Q235。黏滞阻尼器的性能参数为:输出阻尼力4.07 kN,行程±50mm,阻尼系数43.6 N·s/mm,最大速度500 mm/s,速度指数0.73。试验模型如图6所示。

3.2 加载与测试

试验采用美国MTS生产的电液伺服作动器,出力范围0 kN~250 kN,最大行程±250 mm。采用德国Novotechnik公司生产的LWH150位移传感器。作动器对试件施加正弦波形式的周期性变化荷载,按位移控制,位移幅值分别为6 mm、8 mm、10 mm;加载频率分别为0.01 Hz、0.05 Hz、0.5 Hz、1.0 Hz、2.0 Hz、3.0 Hz、4.0 Hz,其中0.01 Hz、0.05 Hz是准静态情况,其他为动态情况。

试验主要测试试件横梁高度处的水平位移,阻尼器两端相对位移,基础梁位移,作动器和阻尼器出力。

图6 试验模型
Fig.6 Test model

3.3 试结验果分析

试验得到试件的力-位移关系曲线、阻尼器滞回曲线以及框架侧移-阻尼器两端相对位移关系曲线,图7~图9为部分试验曲线图,每个曲线都选择了3圈。

图7~图9所示的曲线对称性都较好,这主要是因为加载的位移幅值都不大,试件的螺栓和销栓孔处都未发生滑移。由图8可知,准静态0.05 Hz时,阻尼器基本没有产生阻尼力,所以0.01 Hz和0.05 Hz的试件受力性能代表了没有设置阻尼器的结构性能。图7所示的框架侧向力-侧移曲线反映了试件的刚度和阻尼特性。对于8 mm-0.05 Hz和8 mm-2 Hz两种工况而言,8 mm-2 Hz曲线包裹的面积比8 mm-0.05 Hz工况稍大,这说明试件8 mm-2 Hz加载工况时能量耗散稍大于8 mm-0.05 Hz工况;8 mm-0.05 Hz和8 mm-2 Hz两种工况,作动器的出力基本相同,说明两种工况下,试件的刚度基本没有改变。其原因是,虽然8 mm-2 Hz时阻尼器开始工作,但从图8可知,8 mm-2 Hz时阻尼器依然出力很小,因而对试件刚度和阻尼的贡献依然很小。幅值为6 mm、10 mm时可以发现相同的曲线变化趋势。

为了更好地分析框架侧移和阻尼器两端相对位移的关系,图9(a)~图9(c)分别给出了位移幅值为6 mm、8 mm、10 mm时不同加载频率的框架侧移-阻尼器两端相对位移关系曲线。按照式(1)计算,本试验模型的位移放大系数为0.794。图9(a)~图9(c)中频率为0.05 Hz时,即准静态情况下,曲线类似平行四边形,两个长边的斜率表示位移放大系数。此时,框架侧移和阻尼器两端相对位移之间的关系接近直线,说明此时位移放大系数接近常数。显然,根据试验数据很容易求得直线的平均斜率,即为该工况下的位移放大系数。各工况下的位移放大系数如表1所示。

图7 试件侧向力-侧移关系曲线
Fig.7 Load-displacement hysteresis curves of specimen

图8 阻尼器滞回曲线
Fig.8 Hysteresis curves of viscous damper

图9 框架侧移-阻尼器两端相对位移关系曲线
Fig.9 Lateral displacement-damper displacement hysteresis curves

表1 试验测试位移放大系数
Table 1 Displacement magnification factors

频率/Hz 振幅/mm 6 8 10 0.01 0.769 0.771 0.779 0.05 0.768 0.769 0.776 0.5 0.749 0.758 0.766 1 0.748 0.756 0.762 2 0.746 0.753 0.758 3 0.739 0.752 0.761 4 0.735 0.746 0.754

由表1可知,式(1)的计算结果与低频加载情况更为接近。无论是在静态情况下还是在动态情况下,试验结果与式(1)的计算结果都较为接近,因此,采用式(1)来计算开敞式阻尼器布置机构的位移放大系数是可行的。

4 减震结构地震反应分析

4.1 分析模型

分析模型选取一榀6层3跨钢框架结构,层高4 m,总高24 m,跨度均为6 m。梁柱均采用H型钢,1层~3层柱截面为HW400×400×13×21,4层~6层柱截面为HW350×350×12×19,1层~3层梁截面为HN400×200×8×13,4层~6层梁截面为HN400×200×7×11,均采用Q345钢。抗震设防烈度为8度,场地类别为Ⅱ类,设计地震分组为第二组。恒荷载取25.2 kN/m,活荷载取12 kN/m。

建立3个数值模型进行对比分析,模型1为无控结构,模型2为中间跨每层均采用对角布置机构设置黏滞阻尼器,模型3为中间跨每层均采用本文提出的开敞式布置机构设置黏滞阻尼器。模型2中阻尼器与梁的夹角为θ=33.69°,其位移放大系数f=cosθ=0.832;模型3中θ1=21°、θ2=12.75°、k=3.5,由式(1)可知其位移放大系数为f=ktanθ1 cosθ2=1.31。模型2和模型3采用相同的黏滞阻尼器,阻尼系数C=1000 kN·s/m,线性阻尼。采用SAP2000对3个模型分别进行地震反应时程分析。

4.2 时程分析

选取El Centro NS地震波进行模型结构的地震反应时程分析。

定义结构的减震率δ为:

式中:X无控为模型1的地震反应;X有控为附加黏滞阻尼器后的结构(即模型2、模型3)的地震反应。

按照《建筑抗震设计规范》[15]的要求,将El Centro NS地震波的峰值加速度调整为70 cm/s2进行多遇地震作用下的弹性时程分析[16]。结构在El Centro NS地震波作用下的层间剪力、层间位移角见表2、表3所示,结构各层的位移变形和顶层位移如图10所示。

表2 结构在El Centro NS地震波作用下的层间剪力
Table 2 Interstory shear forces under El Centro NS seismic wave

楼层 模型1 模型2 模型3层间剪力/kN 层间剪力/kN 减振率/(%)层间剪力/kN 减振率/(%)6 63 33 48.54 32 49.41 5 98 60 38.78 48 51.06 4 107 76 28.29 60 43.42 3 115 88 22.91 71 38.05 2 145 100 31.33 87 39.80 1 165 106 35.83 96 41.93

表3 结构在El Centro NS地震波作用下的层间位移角
Table 3 Inter story drift under El Centro NS seismic wave

楼层 模型1 模型2 模型3层间位移角 层间位移角 减振率/(%)层间位移角 减振率/(%)6 1/1040 1/1860 44.08 1/1892 45.00 5 1/718 1/1133 36.37 1/1307 45.11 4 1/691 1/913 24.38 1/1112 37.90 3 1/749 1/943 20.55 1/1139 34.22 2 1/661 1/932 29.06 1/1059 37.55 1 1/945 1/1408 32.94 1/1577 40.12

图10 结构在El Centro NS地震波作用下的位移反应
Fig.10 Displacement response under El Centro NS seismic wave

5 结论

本文基于建筑需求提出了一种新型黏滞阻尼器布置机构,并对该机构进行了理论分析、试验研究和模型数值分析,得到主要结论如下:

(1)开敞式阻尼器布置机构占用结构框格内空间小,易于满足人们开阔视野、无遮挡、开放空间的建筑需求;通过调整该布置机构的几何参数,可以使黏滞阻尼器具有较好的工作效率。

(2)通过理论分析,推导了该布置机构位移放大系数和附加阻尼比计算公式;通过试验验证了该布置机构位移放大系数计算公式的准确性。

(3)数值分析结果表明,采用开敞式阻尼器布置机构的结构具有良好的减震效果,在实际工程中可行。

参考文献:

[1]兰香, 潘文, 白羽, 等.基于支撑刚度的消能减震结构最优阻尼参数研究[J].工程力学, 2018, 35(8): 208-217.Lan Xiang, Pan Wen, Bai Yu, et al.Research on optimum damping parameters of an energy dissipation structure based on the support stiffness [J].Engineering Mechanics, 2018, 35(8): 208-217.(in Chinese)

[2]周颖, 龚顺明.混合非线性黏弹性阻尼器非线性特征与力学模型研究[J].工程力学, 2018, 35(6): 132-143.Zhou Ying, Gong Shunming.Study on nonlinear characteristics and mechanical model of hybrid nonlinear viscoleastic damper[J].Engineering Mechanics, 2018,35(6): 132-143.(in Chinese)

[3]朱立华, 李钢, 李宏男.考虑结构损伤的消能减震结构能量设计方法[J].工程力学, 2018, 35(5): 75-85.Zhu Lihua, Li Gang, Li Hongnan.Energy-based aseismic design for buildings with passive energy dissipation systems considering damage [J].Engineering Mechanics,2018, 35(5): 75-85.(in Chinese)

[4]Pollini N, Lavan O, Amir O.Towards realistic minimum-cost optimization of viscous fluid dampers for seismic retrofitting [J].Bulletin of Earthquake Engineering, 2016, 14(3): 971-998.

[5]Hamidia M, Filiatrault A, Aref A.Seismic collapse capacity-based evaluation and design of frame buildings with viscous dampers using pushover analysis [J].Journal of Earthquake Engineering, 2015, 141(6): 1-12.

[6]Soong T T, Spencer Jr B F.Supplemental energy dissipation: State-of-the-art and state-of-the-practice [J].Engineering Structures, 2002, 24(3): 243-259.

[7]Soong T T, Dargushi G F.Passive energy dissipation systems in structural engineering [M].New York: Wiley,Hoboken, NJ, 1997: 56.

[8]Constantinou M C, Tsopelas P, Hammel W, et al.Toggle-brace-damper seismic energy dissipation systems[J].Journal of Structural Engineering, 2001, 127(2):105-112.

[9]Sigaher N, Constantinou M C.Scissor-jack-damper energy dissipation system [J].Earthquake Spectra, 2003,19(1): 133-158.

[10]Hwang JennShin, Huang,YinNan Hung YaHui.Analytical and experimental study of toggle-bracedamper systems [J].Journal of Structural Engineering,2005, 131(7): 1035-1043.

[11]Berton S, Bolander J E.Amplification system for supplemental damping devices in seismic applications [J].Journal of Structural Engineering, 2005, 131(6): 79-83.

[12]Jae-Do Kang, Hiroshi Tagawa.Seismic performance of steel structures with seesaw energy dissipation system using fluid viscous dampers [J].Engineering Structures,2013, 56(Complete): 431-442.

[13]Mosquera J S B, Almazán J L, Tapia N F.Amplification system for concentrated and distributed energy dissipation devices [J].Earthquake Engineering &Structural Dynamics, 2016, 45(6): 935-956.

[14]周云, 林绍明, 邓雪松, 等.设置悬臂肘节型黏滞阻尼器高层结构的减震效果分析 [J].工程抗震与加固改造, 2014, 36(2): 8-14.Zhou Yun, Lin Shaoming, Deng Xuesong, et al.Analysis of seismic mitigation effect on high-rise building with cantilever-toggle-brace viscous dampers [J].Earthquake Resistant Engineering and Retrofitting, 2014, 36(2): 8-14.(in Chinese)

[15]GB 50011―2010, 建筑抗震设计规范 [S].北京: 中国建筑工业出版社, 2016.GB 50011―2010, Code for seismic design of buildings[S].Beijing: China Architecture & Building Press, 2016.(in Chinese)

[16]缪志伟, 宋前恩, 裘赵云.强震作用下附设粘滞阻尼器RC框架结构的耗能机制与抗倒塌性能研究 [J].工程力学, 2014, 31(7): 36-44.Miao Zhiwei, Song Qian'en, Qiu Zhaoyun.Study on energy distribution and collapse-resistant capacity of RC frames with nonlinear viscous dampers under strong earthquakes [J].Engineering Mechanics, 2014, 31(7):36-44.(in Chinese)

A NOVEL VISCOUS DAMPER INSTALLATION CONFIGURATION CONSIDERING ARCHITECTURAL REQUIREMENTS

ZHU Li-hua1,2 , WANG Jian2 , YU An-qi2 , SHAN Shi-yu2
(1.State Key Laboratory of Green Building in Western China, Xi'an University of Architecture & Technology, Xi'an 710055, China;2.School of Civil Engineering, Xi'an University of Architecture & Technology, Xi'an 710055, China)

Abstract: The damping effect of energy dissipation system with viscous dampers is closely associated with their installation configurations in the structure.The damping requirement and simple convenient connection are mainly concerned in the existing viscous damper installation configurations, but the architectural requirements are not considered.Aiming at the drawback of existing viscous damper installation configurations, which occupy the entire bays in frames and obstruct the vision, a novel viscous damper installation configuration is proposed.The structure composition and working principle of the open viscous damper installation configuration were introduced.Its mechanical characteristics were analyzed theoretically, and the calculation formulas for the displacement magnification factor and effective damping ratio of the configuration were proposed.A steel frame specimen installed with open configuration was designed and produced.By applying sinusoidal displacement excitation on the specimen, the mechanical behavior under dynamic load and the relationship between the framelateral displacement and the relative displacement of both ends of the damper under different displacement amplitudes and frequencies were analyzed, which verified the accuracy of the calculation formula for the magnification factor proposed in this paper.The seismic behavior of an uncontrolled steel frame structure and two controlled structures installed with diagonal brace and open viscous damper configurations were analyzed using SAP2000, which verified the feasibility of the open viscous damper installation configuration in practical engineering.

Key words: viscous damper; damper installation configuration; displacement magnification factor; energy dissipation; dynamic loading

中图分类号:TU352.1

文献标志码:A

doi: 10.6052/j.issn.1000-4750.2018.09.0519

文章编号:1000-4750(2019)08-0210-07

收稿日期:2018-09-29;修改日期:2019-01-17

基金项目:国家自然科学基金项目(51878552);国家重点研发计划项目(2017YFC0703600);陕西省重点研发计划重点产业创新链(群)项目(2018ZDCXL-SF-03-03-01)

通讯作者:朱丽华(1979―),男,江苏溧阳人,教授,博士,从事地震工程、结构振动控制研究(E-mail: zhulihuaxa@163.com).

作者简介:

王 健(1990―),男,河北邯郸人,硕士生,从事结构工程减震研究(E-mail: wj936437623@163.com);

于安琪(1992―),女,内蒙古赤峰人,硕士生,从事结构工程减震研究(E-mail: 15754710807@163.com);

单诗宇(1988―),男,陕西汉中人,硕士生,从事结构工程减震研究(E-mail: 280008219@qq.com).