高延性混凝土加固砖柱轴压性能试验研究

邓明科1,李 彤1,樊鑫淼1,2

(1.西安建筑科技大学土木工程学院,陕西,西安 710055;2.香港华艺设计顾问(深圳)有限公司,广东,深圳 518057)

摘 要:高延性混凝土(HDC)是一种具有高强度、高韧性和高耐损伤能力的新型结构材料。该文提出采用HDC面层加固砖柱,对27个砖柱试件进行了轴压性能试验研究。结果表明:1)HDC作为砌筑砂浆,可对砌体形成一定的约束作用,使砖柱的轴压承载力和变形能力均有所提高;2)HDC面层发挥了较强的套箍作用,使砖柱处于三向受压状态,承载力和变形能力均得到较大幅度提高,且改善了砖柱的脆性破坏特征;3)HDC面层与砖柱具有良好的协调工作能力,对提高砖柱的整体性能具有重要作用。考虑HDC面层对砖柱的约束作用,提出了HDC面层加固砖柱的轴压承载力计算方法,计算结果与试验结果吻合较好。该文研究结果为砌体结构加固提供了一种新方法,具有良好的推广应用前景。

关键词:砖柱;高延性混凝土;加固;承载力;变形能力

砌体结构是我国主要的建筑结构形式之一。大量老旧厂房和大开间砌体结构多采用砖柱作为主要承重构件。但是,随着结构服役时间的增加和砌筑材料的不断老化,以及砌体自身的脆性特征,大量砖柱由于受压承载力不足需进行加固。目前,砌体结构抗压加固方法主要有:钢筋混凝土面层加固法、钢筋网水泥砂浆面层加固法、外包型钢加固法和外加预应力撑杆加固法等。上述方法存在施工复杂、工期较长、增加结构自重等缺点。近年来,FRP (fiber reinforced plastic,纤维增强复合材料)已被应用于既有结构的加固维修[1—3],其中,采用FRP布包裹加固砖柱显著提高了其抗压承载力和变形能力[4—5]。但该方法也存在胶粘材料耐久性差、锚固件可靠性低等缺点,容易导致FRP布与砌体界面发生剥离[6]

高延性水泥基复合材料(engineered cementitious composites,ECC)最早是由美国密歇根大学Li V C教授[7]提出,在拉伸和剪切荷载作用下具有多裂缝开展和应变硬化的特性[8—10]。国内外已经将ECC应用于桥面板[11]、公路隧道[12]、钢筋混凝土梁[13]等结构构件的加固修复。本课题组根据ECC设计理论制备了具有高强度、高韧性和高耐损伤能力的高延性混凝土(highly ductile fibre reinforced concrete,HDC),并将其用于钢筋混凝土柱[14]、砖砌体墙[15]的抗震加固。试验结果表明,HDC可显著提高混凝土柱和砖砌体墙的承载力、延性和耗能能力,改善了构件的脆性破坏形态。

为进一步探索HDC对砌体抗压性能的提高作用,本文提出采用HDC面层包覆加固砖柱的方法,对27个砖柱进行轴压性能试验,研究HDC面层加固砖柱的破坏过程和破坏特征,并提出HDC面层加固砖柱的轴压承载力计算方法,为HDC面层加固技术在砌体结构加固维修中的应用提供试验依据和理论基础。

2 试验概况

2.1 试件设计与制作

试验共设计了9组(27个)砖柱,每组为3个试件。按照《砌体基本力学性能试验方法标准》[16],采用尺寸为240 mm×115 mm×53 mm的烧结普通砖砌筑。试件设计尺寸为240 mm×370 mm×720 mm,高厚比为3,如图1所示。9组试件的设计方案与试件编号详见表1。试件设计时考虑M1.0、M2.5、M15这3个砌筑砂浆设计强度等级。

图1 普通砖砌体抗压试件尺寸 /mm
Fig.1 Specimen size of common brick masonry

表1 试件设计方案
Table 1 Design scheme of test members

?

试件Z2和Z5采用HDC作为砂浆砌筑,试件Z3采用M15水泥砂浆面层加固,试件Z4、Z5、Z8、Z9均采用HDC面层加固。5组加固试件的加固层厚度均为15mm,按下列流程制作试件:砖柱砌筑完成后养护7 d→清理试件表面→浇水润湿→压抹加固材料→养护7 d。

2.2 材料力学性能

试件分两批制作完成,试件Z1~Z5为第一批,试件Z6~Z9为第二批。试验采用的高延性混凝土主要成分为:水泥、粉煤灰、精细河砂、矿物掺合料、水、高效减水剂和PVA纤维。PVA纤维的体积掺量为2%,纤维各项性能指标如表2所示。

表2 PVA纤维各项性能指标
Table 2 Performance Indicators of PVA

长度/ mm直径/ µm长径比/ (×103)抗拉强度/ MPa 弹性模量/ GPa 伸长率/ (%)密度/ (g/cm3)12 39 0.31 1600 40 7 1.3

采用尺寸为350 mm×50 mm×15 mm的哑铃型拉伸试件,测试了HDC的抗拉强度;采用边长为70.7 mm的立方体试块,分别测得HDC和水泥砂浆的抗压强度;根据《砌墙砖试验方法》[17]测得烧结普通砖的抗压强度均见表3。

表3 试件材料测试强度
Table 3 Strength of material

试件 编号 砖块抗压强度 平均值/MPa 砂浆抗压强度平均值/MPa HDC抗压强度 平均值/MPa HDC抗拉强度平均值/MPa Z18.87 17.19 — — Z28.87 — 54.60 6.10 Z38.87 17.19 — — Z48.87 17.19 54.60 6.10 Z58.87 — 54.60 6.10 Z67.33 1.69 — — Z77.33 2.78 — — Z87.33 1.69 66.48 4.83 Z97.33 2.78 66.48 4.83

2.3 试验装置与测试内容

本试验在5000 kN液压伺服试验机上进行,试验加载现场如图2所示。试验采用位移控制加载方式,加载速度为0.5 mm/min。为采集试件荷载与位移曲线的下降段数据,待荷载下降至峰值荷载的20%后停止加载。在试件的两个较宽的侧面各布置一对位移计以量测试件的轴向变形值和横向变形值,如图3所示。

图2 试验装置
Fig.2 Test set-up

图3 砖柱测点布置图
Fig.3 Layout of measurement points of brick column

3 试验结果及分析

3.1 试验现象

3.1.1 未加固试件

1)试件Z1、Z6、Z7

试件Z1、Z6、Z7采用水泥砂浆砌筑,破坏过程基本类似,现以试件Z1为例描述试件的破坏过程。

加载至极限荷载Pu的30%~50%时,砖柱表面出现明显竖向裂缝;加载至50%Pu~70%Pu时,竖向裂缝迅速向试件两端延伸并贯通,局部砖块压碎剥离;加载至80%Pu~90%Pu时,试件进入破坏阶段,大量砖块压碎脱落;继续加载,试件承载力急剧下降,试件破坏。

2)试件Z2

试件Z2采用HDC砌筑,当加载至70%Pu~ 80%Pu时,砖柱表面出现了明显竖向裂缝;持续加载,局部砖块出现大量竖向微裂缝,未形成竖向通缝;达到极限荷载时,大量砖块受损严重;继续加载,试件承载力明显下降,最终因砌体局部压碎而破坏,但试件仍保持一定的完整性。

3.1.2 加固试件

1)试件Z3

试件Z3采用水泥砂浆面层加固,当加载至50%Pu~65%Pu时,水泥砂浆面层表面出现了明显竖向裂缝;加载至65%Pu~80%Pu时,竖向裂缝迅速向试件两端延伸并贯通,水泥砂浆面层大量剥落;当加载至80%Pu~90%Pu时,试件进入破坏阶段,其破坏过程与试件Z1相似,呈明显脆性破坏。

2)试件Z4、Z5、Z8、Z9

试件Z4、Z5、Z8、Z9采用HDC面层加固,破坏过程基本类似,现以试件Z4为例描述其破坏过程。

加载初期,砖柱产生的横向变形较小,HDC面层的约束作用不明显;当加载至80%Pu~90%Pu时,砖柱角部的HDC面层开始出现竖向微裂缝;继续加载,角部裂缝变宽并逐渐贯通;加载至极限荷载Pu时,试件进入破坏阶段,HDC面层剥落,砖柱受损严重;继续加载,试件承载力急剧下降,局部砖块压碎脱落,最终试件因砌体局部压碎而破坏,但仍保持较好的完整性。试件典型的破坏形态如图4所示。

3.2 破坏形态

根据4组未加固砖柱和5组加固砖柱的试验现象及破坏过程可得:

图4 典型试件破坏图
Fig.4 Typical failure of test members

1)未加固砖柱(试件Z1、Z6、Z7)受压破坏时,由于水泥砂浆和块体的抗拉强度均较低,横向拉应力达到其抗拉强度时,砖柱开裂,竖向裂缝贯通。砖柱破坏时被竖向裂缝分割成若干个独立的细长小柱体,最终因小柱体失稳或压碎而破坏,试件呈明显脆性破坏特征。

2)采用HDC砌筑的未加固砖柱(试件Z2),由于HDC具有较高抗拉强度和拉伸变形能力,限制了砖柱竖向裂缝的延伸与开展。砖柱破坏时仅局部块体出现大量竖向微裂缝,未形成贯通裂缝,最终发生局部压碎破坏,试件保持一定的完整性。

3)采用水泥砂浆面层加固的砖柱(试件Z3),由于水泥砂浆的抗拉强度较低,面层开裂以后不能有效阻止竖向裂缝的开展,其破坏特征与未加固砖柱类似。

4)采用HDC面层加固的砖柱,砖柱角部应力集中使HDC面层沿竖向开裂。砖柱破坏时,有1~2个HDC面层出现剥落,但内部砌体仍受到未剥落HDC面层的约束作用,未形成竖向贯通裂缝,最终发生局部压碎破坏,试件保持了较好的完整性。

3.3 承载力及变形分析

各组试件的试验结果列于表4。Z9组有一试件试验前出现局部损坏,故加载时舍去该试件。通过对比分析可以得出:

表4 主要试验结果
Table 4 Main test results of specimens

注:同一组3个试件之间的差值超过中间值的15%,取中间值作为该组的试验结果。

试件编号开裂 荷载/kN提高 幅度/(%)极限 荷载/kN 提高 幅度/(%)峰值 压应变提高 幅度/(%)Z1 145 150 145 — 466 267 275 — 0.0050 0.0047 0.0043— Z2 300 300 250 93 345 448 328 25 0.0074 0.0130 0.0077 64 Z3 250 280 300 88 498 503 468 78 0.0056 0.0048 0.0063 19 Z4 450 450 490 215 519 494 591 89 0.0042 0.0079 0.0054 15 Z5 409 430 580 52 472 596 634 73 0.0163 0.0153 0.0068 99 Z6 120 90 90 — 225 209 231 — 0.0061 0.0063 0.0055— Z7 120 130 110 — 256 272 179 — 0.0061 0.0071 0.0075— Z8 160 180 210 83 283 310 531 69 0.0066 0.0059 0.0078 12 Z9240 180 75 294 477 51 0.0080 0.0128 51

1)试件Z2与Z1相比,开裂荷载提高93%,极限荷载提高25%,峰值压应变提高64%,说明HDC作为砌筑砂浆可对块体产生一定的约束作用,抑制竖向裂缝的开展,砖柱的轴压承载力和变形能力均有所提高。

2)试件Z3与Z1相比,开裂荷载提高88%,极限荷载提高78%,说明水泥砂浆面层对提高砖柱的承载力贡献较大,但对提高砖柱的变形能力贡献很小,未改善砖柱的延性,仍表现出明显的脆性破坏特征。

3)采用HDC面层加固的砖柱开裂荷载提高幅度为52%~215%,极限荷载的提高幅度为51%~89%,说明HDC面层有效限制了砖柱竖向裂缝的产生与开展,大幅度提高了砖柱的轴压承载力。

4)采用HDC面层加固的砖柱峰值压应变提高幅度为12%~99%,说明HDC面层对砖柱具有较强的约束作用,可提高砖柱的受压变形能力,改善了砖柱的延性,砖柱破坏时表现出一定的塑性特征。

5)试件Z5的极限荷载、峰值压应变均为最高,说明HDC作为砌筑砂浆和加固面层对砖柱均产生了约束作用,使砖柱处于三向受压状态,大幅度提高了砖柱的轴压承载力和变形能力,显著改善了砖柱延性,约束应力如图5所示,图中σa为HDC面层产生的约束应力,σb为HDC作为砌筑砂浆产生的约束应力。

图5 约束应力示意图
Fig.5 Picture of restraint stress

6)试件Z4的开裂荷载、极限荷载和峰值压应变均高于试件Z3,说明HDC面层的加固效果明显优于水泥砂浆面层。

7)试件Z8、Z9的砂浆强度较低,其开裂荷载、极限荷载和峰值压应变均比加固前有明显提高,说明采用HDC面层加固低强度砂浆砌筑的砖柱,仍可以取得较好的效果。

8)试件Z4的极限荷载明显高于试件Z2,说明采用HDC面层加固的方法对砖柱承载力的提高效果明显优于采用HDC砌筑。分析原因如下:

① 砌体受压时,块体和砂浆的弹性模量和横向变形不同,形成相互约束作用,块体的横向变形一般较小,使得块体内部产生拉应力。由于水平灰缝的不饱满以及块体表面的不平整,砌体在均匀受压时,内部块体实际处于压、弯、剪的复杂受力状态,容易发生开裂而破坏。因此,采用强度高、变形能力好的HDC作为砌筑砂浆时,不能充分发挥材料的力学性能优势,对提高砌体受压承载力的贡献较小。

② 采用HDC面层加固砖柱时,HDC面层的约束作用使得砖柱内部核心砌体处于三向受压应力状态,可显著提高核心砌体的承载力与变形能力。另外,根据《砌体结构设计规范》[18],砌体抗压强度计算公式为:当砖的强度f1一定时,若砂浆强度f2由1 MPa增加至15 MPa,则砌体抗压强度仅提高1.92倍,说明砂浆强度对砌体抗压强度的贡献较小。

综上所述,实际工程中宜采用HDC面层加固的方法提高砖柱的轴压承载力。

3.4 受压应力-应变曲线

根据试件受压的荷载-变形曲线,得到其应力-应变曲线如图6所示,从图中可以看出:

1)未加固砖柱(试件Z1、Z6、Z7)的应力-应变曲线下降段明显陡峭,试件很快丧失承载力,但HDC砌筑的试件Z2承载力下降缓慢,峰值压应变提高,破坏时具有一定的延性。

图6 典型试件应力-应变曲线
Fig.6 Typical stress-strain curves of specimens

2)采用水泥砂浆面层加固的砖柱(试件Z3)的 峰值压应变较低,承载力下降迅速,说明水泥砂浆自身脆性无法提高砖柱轴压变形能力。

3)采用HDC面层加固的砖柱(试件Z5、Z8、Z9)的承载力下降缓慢,峰值压应变明显提高,说明HDC作为加固面层对砖柱具有较强的约束作用,试件破坏过程中具有良好的轴压变形能力。

4 HDC约束砖柱轴压承载力计算

目前,国内外对纤维增强复合塑料(FRP)约束混凝土柱的轴压性能试验研究较多,并提出了相应的承载力计算理论,本节参考FRP约束混凝土柱和文献[4]中FRP加固实心黏土砖短柱的承载力计算方法,考虑HDC面层的约束作用,进行了HDC约束砖柱的轴压承载力计算。

4.1 有效约束面积计算模型

有效约束面积计算模型参考美国混凝土协会(ACI)的矩形截面柱有效约束区面积近似计算模型(ACI 440模型),该模型假设FRP材料约束矩形截面的有效约束区由一条标准抛物线确定,该抛物线和截面周边交点处的切线与边长夹角为45°,计算模型如图7所示[19]

图7 矩形截面有效约束面积计算模型
Fig.7 Rectangular section effective constraint area calculation model

图7阴影部分为强约束区,其余部分为弱约束区。则强约束区面积弱约束区面积

4.2 等效横向约束压应力

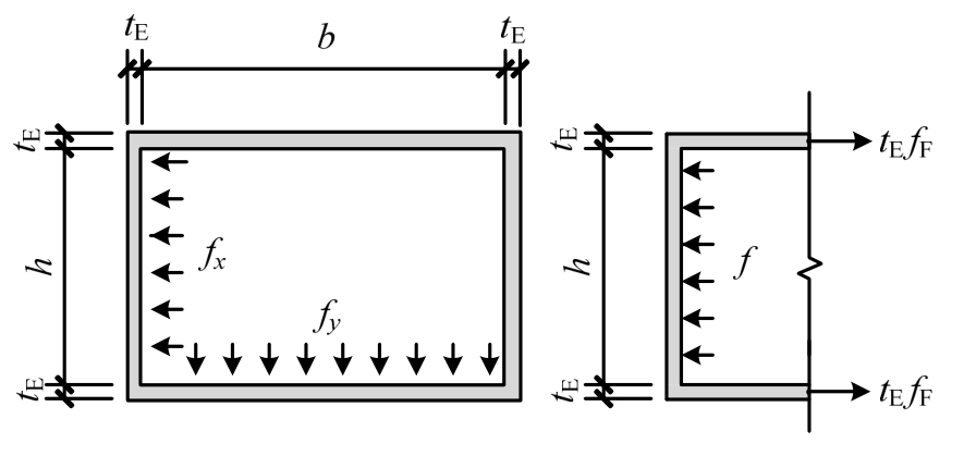
当处于竖向荷载下的砖柱发生横向膨胀时,HDC面层对砖柱产生较强的横向约束作用,使砖柱的强约束区处于三向受压状态。参考文献[20],对试件进行受力分析可知,HDC面层对砖柱的等效横向约束压应力计算简图如图8所示。

图8 等效横向约束压应力计算简图
Fig.8 The equivalent lateral restraint stress calculation diagram

采用HDC实测抗拉强度作为试件面层的有效拉应力,按图8中受力平衡可计算出x、y方向的砖柱受到的等效横向约束压应力fx、fy为:

式中:tE为HDC面层厚度,取15 mm;b、h分别为砖柱横截面宽度和高度。为简化计算,采用fx的平均值作为等效横向约束压应力的计算值,即:

4.3 HDC约束砖柱极限抗压强度计算

参考文献[21]钢管约束混凝土短柱和文献[22]外包钢加固轴心受压砖柱的承载力计算方法,可得HDC面层约束砖柱的极限抗压强度平均值公式为:

式中:fce,m为HDC面层约束砖柱极限抗压强度平均值;fc0,m为无约束砖柱极限抗压强度平均值;为等效横向约束压应力,按式(2)计算。

4.4 HDC约束砖柱轴压承载力计算

HDC面层约束砖柱在竖向荷载作用下,弱约束区受到HDC面层一定的横向约束作用力,其轴向抗压强度有所提高。假定处于弱约束区最外边缘砖柱的轴向抗压强度为无约束砖柱极限抗压强度强约束区砖柱的轴向抗压强度为HDC面层约束砖柱极限抗压强度 fce,m,从强弱约束区交界线向砖柱截面外边缘,弱约束区砖柱极限抗压强度按线性递减。因此,HDC约束砖柱的轴压承载力平均值计算公式如下:

式中:Nu,m为HDC约束砖柱轴压承载力;φ为高厚比对轴压砖柱承载力的影响系数,因本文试件的高厚比β均为3,故取φ=1.0。

按式(4)对本文四组HDC面层加固砖柱进行轴压承载力计算,得到其试验值与计算值的比较见表5。由表5可见,考虑HDC面层提供的横向约束作用得到的砖柱轴压承载力计算值与试验值吻合较好。

表5 试验值与计算值的比较
Table 5 Comparison of experimental values and calculated values

试件 编号 F f/MPa fc0,m/ MPa fce,m/MPa 承载力 计算值/kN 承载力 试验值/kN试验值/计算值Z40.632 3.14 6.52 463.4 519 1.120 Z50.632 3.94 7.57 547.6 596 1.088 Z80.498 2.50 5.17 372.5 375 1.007 Z90.498 2.89 5.69 414.6 386 0.931

采用以概率理论为基础的极限状态设计方法,将材料强度平均值换算为强度设计值,可得HDC约束砖柱的轴压承载力设计值计算公式如下:

式中:Nu为HDC约束砖柱轴心压力设计值;fc0为原构件砌体抗压强度设计值;fce为HDC约束砌体抗压强度设计值,按式(3)计算,根据《高延性混凝土应用技术规程》[23],等效横向约束压应力计算时HDC的抗拉强度取同强度普通混凝土抗拉强度设计值的2倍。

5 结论

通过对27个砖柱的轴压性能试验研究,可得出以下结论:

(1)采用HDC作为砌筑砂浆,可对砌体形成一定的约束作用,砖柱的轴压承载力和变形能力均有所提高,但不能充分发挥HDC的力学性能优势,对提高砌体受压承载力的贡献较小。

(2)采用水泥砂浆面层加固的砖柱承载力有所提高,但峰值压应变基本无变化,并且砖柱破坏突然,表现出明显的脆性特征。

(3)采用HDC面层加固砖柱,HDC面层发挥了较强的套箍作用,使砖柱处于三向受压状态,承载力和变形能力均得到较大幅度提高。试件达到极限荷载以后,承载力下降缓慢,说明HDC面层改善了砖柱的脆性破坏特征,很好地发挥了HDC高强度、高韧性的特点。

(4)参考FRP约束混凝土柱和FRP加固砖柱的轴压承载力计算理论,考虑HDC面层的约束作用,提出HDC面层加固砖柱轴压承载力计算方法,与试验结果吻合较好。

(5)本文提出的HDC面层加固砖柱方法施工简单,对原有建筑结构影响较小,且加固效果较好,但在破坏时面层有发生剥离现象,实际加固工程中可增加连接锚固措施以达到较好的加固效果。

参考文献:

[1]王全凤, 薛婷怡, 黄奕辉, 等.FRP-砖界面粘结-滑移计算模型[J].工程力学, 2010, 27(12): 130—134. Wang Quanfeng, Xue Tingyi, Huang Yihui, et al.Computational model for bond-slip behavior between FRP and brick [J].Engineering Mechanics, 2010, 27(12): 130—134.(in Chinese)

[2]沈祥, 沙吾列提·拜开依, 阿力琴·阿布力提甫, 等.网状CBF增强砖砌体轴心受力性能试验研究[J].工程力学, 2013, 30(增刊):109—114.Shen Xiang, Sawule Bekey, Aliqin Abulitipu, et al.Experimental research on CBF mesh reinforced brick masonry under axial compressive loading [J].Engineering Mechanics, 2013, 30(Suppl): 109—114.(in Chinese)

[3]张斯, 徐礼华, 杨冬民, 等.纤维布加固砖砌体墙平面内受力性能有限元模型[J].工程力学, 2015, 32(12): 233—242. Zhang Si, Xu Lihua, Yang Dongmin, et al.Finite element modeling of FRP- reinforced masonry walls under in-plane loading [J].Engineering Mechanics, 2015, 32(12): 233—242.(in Chinese)

[4]刘新强, 刘明, 由世岐.FRP加固实心黏土砖短柱轴心受压试验研究[J].土木工程学报, 2009, 42(10): 1—7.Liu Xinqiang, Liu Ming, You Shiqi.Experimental study of the axial compression of short columns of solid clay bricks strengthened with FRP sheets [J].China Civil Engineering Journal, 2009, 42(10): 1—7.(in Chinese)

[5]黄奕辉, 陈华艳, 罗才松.玻璃纤维布包裹加固砖柱轴压试验研究与极限承载力分析[J].建筑结构学报, 2009, 30(2): 136—142.Huang Yihui, Chen Huayan, Luo Caisong.Experiment study and analysis of ultimate capacity on brick masonry columns wrapped with glass fiber reinforced plastic sheet under axial compression [J].Journal of Building Structures, 2009, 30(2): 136—142.(in Chinese)

[6]Papanicolaou C G, Triantafillou T C, Papathanasiou M, et al.Textile reinforced mortar (TRM)versus FRP as strengthening material of URM walls: out-of-plane cyclic loading [J].Materials and Structures, 2008, 41(1): 143—157.

[7]Li V C, Leung C K Y.Steady state and multiple cracking of short random fiber composites [J].Journal of Engineering Mechanics, ASCE, 1992, 188(11): 2246—2264.

[8]Li V C.Engineered cementitious composites-tailored composites through micromechanical modeling [C]// Banthia N, Bentur A, Mufti A.Proceedings of Fiber Reinforced Concrete: Present and the Future.Montreal: Canadian Society for Civil Engineering, 1998: 64—97.

[9]Li V C, WANG S, WU C.Tensile strain-hardening behavior of PVA-ECC [J].ACI Mater J, 2001, 98(6): 483—492.

[10]Li V C.On engineered cementitious composites (ECC): A review of the material and its applications [J].Advance Concrete Technology, 2003, 1(3): 215—230.

[11]Caner A, Zia P.Behavior and design of link slabs for jointless bridge decks [J].PCI Journal, 1998, 43(3): 68—80.

[12]李庆华, 徐世烺.超高韧性水泥基复合材料基本性能和结构应用研究进展[J].工程力学, 2009, 26(增刊 II): 23—67.Li Qinghua, Xu Shilang.Performance and application of Ultra High Toughness Cementitious Composite: a review [J].Engineering Mechanics, 2009, 26(Suppl II): 23—67.(in Chinese)

[13]徐世烺, 王楠, 尹世平.超高韧性水泥基复合材料加固钢筋混凝土梁弯曲控裂试验研究[J].建筑结构学报, 2011, 32(9): 115—122.Xu Shilang, Wang Nan, Ying Shiping.Experimental study on flexural characteristics of RC beams strengthened with post-poured ultra high toughness cementitious composites [J].Journal of Building Structures, 2011, 32(9): 115—122.(in Chinese)

[14]邓明科, 张阳玺, 胡红波.高延性混凝土加固钢筋混凝土柱抗震性能试验研究[J].建筑结构学报, 2017, 38(6): 86—94.Deng Mingke, Zhang Yangxi, Hu Hongbo.Experimental study on seismic behavior of reinforced concrete column strengthened with high ductile concrete [J].Journal of Building Structures, 2017, 38(6): 86—94.(in Chinese)

[15]邓明科, 高晓军, 梁兴文.ECC面层加固砖墙抗震性能试验研究[J].工程力学, 2013, 30(6): 168—174.Deng Mingke, Gao Xiaojun, Liang Xinwen.Experimental investigation on aseismic behavior of brick wall strengthened with ECC splint [J].Engineering Mechanics, 2013, 30(6): 168—174.(in Chinese)

[16]GB/T 50129—2011, 砌体基本力学性能试验方法标准[S].北京: 中国建筑工业出版社, 2011.GB/T 50129—2011, Standard for test method of basic mechanics properties of masonry [S].Beijing: China Architecture Industry Press, 2011.(in Chinese)

[17]GB/T 2542—2012, 砌墙砖试验方法[S].北京: 中国建筑工业出版社, 2012 GB/T 2542—2012, Test methods for wall bricks [S].Beijing: China Architecture Industry Press, 2012.(in Chinese)

[18]GB 50003—2011, 砌体结构设计规范[S].北京: 中国建筑工业出版社, 2012.GB 50003—2011, Code for design of masonry structures [S].Beijing: China Architecture Industry Press, 2012.(in Chinese)

[19]ACI Committee 440, Guide for the design and construction of externally bonded FRP systems for strengthening concrete structures [S].Michigan: American Concrete Institute, 2008: 35—37.

[20]欧阳煜, 黄奕辉, 钱在兹, 等.玻璃纤维(GFRP)片材约束混凝土的受力性能分析[J].土木工程学报, 2004, 37(3): 26—34.Ouyang Yu, Huang Yihui, Qian Zaizi.Analysis of flexural behavior of concrete beam restrained with glass fiber reinforced plastic sheet [J].China Civil Engineering Journal, 2004, 37(3): 26—34.(in Chinese)

[21]蔡绍怀, 焦占拴.钢管混凝土短柱的基本性能和强度计算[J].建筑结构学报, 1984, 5(6): 13—29.Cai Shaohuai, Jiao Zhanshuan.Behavior and ultimate strength of short concrete-filled steel tubular columns [J].Journal of Building Structures, 1984, 5(6): 13—29.(in Chinese)

[22]欧阳煜, 刘能科.外包钢加固轴心受压砖柱的受力性能分析[J].建筑结构, 2006, 36(11): 27—29.Ouyang Yu, Liu Nengke.Analysis of flexural behavior of masonry column strengthened by wrapped steel outside under axial compression [J].Building Structure, 2006, 36(11): 27—29.(in Chinese)

[23]DBJ61/T112—2016, 高延性混凝土应用技术规程[S].北京: 中国建材工业出版社, 2016.DBJ61/T112—2016, Technical specification for application of high ductile concrete [S].Beijing: China Building Materials Press, 2016.(in Chinese)

EXPERIMENTAL INVESTIGATION ON AXIAL COMPRESSION OF BRICK COLUMNS STRENGTHENED WITH HDC

DENG Ming-ke1 , LI Tong1 , FAN Xin-miao1,2
(1.School of Civil Engineering, Xi’an University of Architecture and Technology, Xi’an, Shaanxi 710055, China; 2.Hong Kong Huayi Design & Consultants Co., Ltd., Shenzhen, Guangdong 518057, China)

Abstract: Highly ductile fiber reinforced concrete (HDC)is a building material of high strength, ductility and damage tolerance.A new strengthening technique for brick columns with HDC layers was proposed in this study.27 brick columns were tested in axial compressive loading.The experimental results showed that: 1)HDC can provide confinement effects on masonry when used as mortar, thus the axial bearing capacity and deformability of brick columns were improved; 2)Under the confinement of HDC layers, the brick columns work in triaxial compression.The axial bearing capacity and the deformability were both significantly enhanced, and the brittle failure was delayed; 3)HDC layers and the core brick columns had good synergy work, which played an important role in enhancing the overall performance of brick columns.A calculation model was proposed to predict the ultimate strength of brick columns confined with HDC layers, and the calculation results agreed well with experimental results.Based on the tested results, the HDC can be used as an alternative material for masonry strengthening with broad engineering application.

Key words: brick column; highly ductile fiber reinforced concrete (HDC); strengthening; bearing capacity; deformability

中图分类号:TU362

文献标志码:A

doi: 10.6052/j.issn.1000-4750.2018.01.0080

文章编号:1000-4750(2019)05-0092-08

收稿日期:2018-01-28;修改日期:2018-06-08

基金项目:陕西省教育厅重点实验室项目(15JS048);军队后勤科研计划项目(CKJ16J055)

通讯作者:邓明科(1979—),男,四川南充人,教授,博士,博导,主要从事高性能材料与新型结构研究(E-mail: dengmingke@126.com).

作者简介:

李 彤(1994—),男,陕西汉中人,硕士,从事建筑结构及抗震加固研究(E-mail: Ltong318@163.com);

樊鑫淼(1987—),男,湖南郴州人,硕士,从事建筑结构及抗震加固研究(E-mail: Fanxinmiao20078768@163.com).