现代竹结构的研究与工程应用

田黎敏,靳贝贝,郝际平

(西安建筑科技大学土木工程学院,西安 710055)

摘 要:竹材是世界上为数不多的可再生资源,是建筑行业的理想材料。随着经济社会的发展、科学技术的进步、国家政策的推动,全生命周期均可实现与生态环境协调共存的竹结构是未来发展方向之一。虽然从基本方法与手段上,竹结构的研究可以从已经较为成熟的传统结构研究中汲取经验,但是,竹材的特殊使得竹结构在构件、节点以及体系构成上与传统结构存在显著差别,且目前针对竹结构的研究尚缺乏统一材料本构,手段也较为单一,节点连接形式局限性大,均限制了竹结构在工程中的广泛应用。结合已有成果,对竹结构中所涉及的竹材、竹构件、节点的力学性能作出分析;结合现代科技,对竹结构体系进行研究、总结。提出一种喷涂复合砂浆-原竹骨架组合结构体系,其整体力学性能好,功能性和适应能力强,施工速度快,可代替传统砖混结构,在低层房屋及村镇建筑中应用,具有较高的推广价值。

关键词:现代竹结构;研究现状;工程应用;原竹;改性竹;喷涂复合砂浆

中国竹类资源丰富(约有39属500多种)[1],竹种植面积和蓄积量均居世界首位[2]。与当前常用的传统建筑材料(如砖、混凝土等)相比,竹材不仅生长周期短、能在生长过程中改善自然环境,而且加工过程中能耗低,废弃后可自然降解,堪称天然绿色建材[3]。同时,竹材较木材具有强度高、塑性好等优良的结构性能,被结构工程师们誉为“植物钢筋”[4]。此外,竹材的强重比高,变形能力好,能够吸收和耗散地震中的大量能量,是建筑行业的理想材料[5]

早在1867年,法国人蒙尼亚已经提出竹材在建筑结构中的应用方式[6],我国也于20世纪50年代中期推出大量竹筋建筑[7]。但是,由于早期的传统竹结构存在防火、防虫、保温、隔声、防腐性能差等缺点,且缺乏完整的理论体系,使得竹材在建筑工程中往往与简易、临时联系在一起,无法广泛应用。

近年来,世界各国越来越注重生态环境的保护并提倡低碳生活。在全球节能减排的大环境下,国家出台了一系列方针政策以推进新型城镇化的建设[8—10]。在此背景下,全生命周期(从选材、施工到使用直至废弃)均可实现与生态环境协调共存的竹结构成为了研究热点。合理发展竹结构符合国家“绿色化”发展需要,具有重要的理论意义与工程应用价值。

虽然从基本方法与手段上,竹结构的研究可以从已经较为成熟的传统结构研究中汲取经验。但是,竹材是组成竹结构的基础,它的特殊性使得竹结构在构件、节点以及体系构成上与传统结构存在显著差别。所以在研究过程中,必须对竹材有深入的了解。理论分析中,需以竹结构的受力机理为基本立足点。因此,本文通过对竹材及竹结构的研究与应用进行归纳与评述,重点阐述竹结构研究中存在的共性问题,在此基础上探讨现代竹结构的未来发展方向。

1 竹材力学性能

1.1 原竹材力学性能

原竹指保留了圆形竹材初始性状的原始竹(主要包括圆竹与竹片)。1932年,竹内叔雄[11]就已经开始对原竹材进行研究。随后,我国梁希[12]、余仲奎[13]、清华大学工程材料教研组[14]等均对不同竹材构造、物理性能、力学性能等开展了研究工作,特别是南京林产工业学院竹类研究室[15],给出了竹材、木材和钢材的强度比较如表1所示。

表1 竹材、木材、钢材的强度比较
Table 1 Comparison of strength of bamboo, wood and steel

种类 抗拉强度/(kg/cm2) 抗压强度/(kg/cm2)强度 平均 强度 平均 竹材毛竹 1948.2 2 082.2 640.0 487.2 刚竹 2833.5 540.6 淡竹 1821.8 359.6 麻竹 1951.2 411.3 木材杉木 772 1 073.3 406 444.0 红松 981 328 麻栎 1432 577 檫木 1108 465 钢材软钢 3780~4250 5 170~5 563 以上 — — 半软钢 4400~5000 — 半硬钢 5200~6000 — 硬钢 7300以上 —

由表1可知,竹材的抗拉强度约为木材的2倍,抗压强度比木材高约10%。此外,该文献提出钢材的抗拉强度为竹材的2.5倍~3.0倍,但由于钢材比重较高,若按单位重量计算,竹材单位重量的抗拉强度约为钢材的3倍~4倍。本文认为,虽然仅用单位重量比较竹材与钢材之间的力学性能欠妥当,毕竟二者在工程中的应用范围有较大区别,但是不可否认将竹材作为建筑结构承重材料是具备可行性的。

原竹材为三向异性材料,其物理、力学性能与自身微观结构密切相关。竹子主要由纤维厚壁细胞(即维管束)和纤维薄壁细胞(即基体)组成,由于它们承载力能力不同,导致毛竹顺纹抗拉弹性模量、顺纹抗拉强度和静曲强度沿径向变异较大[16—18]:最外层竹材顺纹抗拉弹性模量与顺纹抗拉强度是最内层的3倍~4倍和2倍~3倍;静曲强度沿径向由内向外也呈现出逐渐增大的趋势。此外,立地条件、含水率、竹龄、部位均对竹材力学性能有所影响[18—20]:立地条件越好,含水率越高(绝干条件除外),竹材的力学性能越差;6年生毛竹各项力学性能总体在最高水平;竹杆上部比下部的强度大。国内外学者在该领域开展了大量研究工作[21—27],其中不仅包括基本力学性能的测试,还有圆竹开洞处抗劈裂、圆竹环向抗拉等性能的探讨,如图1所示。

图1 圆竹抗劈裂与环向抗拉性能试验
Fig.1 Experiments of splitting and tension behavior of bamboo

上述研究虽然为竹材力学性能认定提供了参考范围,但它们并不是对同一批次竹材进行的研究,其结论缺乏系统性。为此,郝际平等[28]参照现有国内外标准[29—35]中的试验方法,以浙江安吉毛竹为研究对象,选取同一批次的原竹材进行了抗拉、抗压、抗剪、抗弯等一系列力学性能试验(图2),形成了完整的数据链,各项主要力学性能指标如表2所示。

图2 原竹材力学性能试验
Fig.2 Experiments of mechanical properties of original bamboo

表2 竹材力学性能
Table 2 Mechanical properties of bamboo

注: 均为含水率12%~18%时的结果;除特殊标明外,单位均为MPa;由于存在离散性,表中数值为竹材各指标的平均值。

指标 抗压强度 顺纹抗剪强度顺纹 横纹 径向 平均值 59.13 21.83 14.55 16.49 指标 顺纹抗拉强度 无/有竹节环刚度 圆竹抗弯强度平均值 155.49 122.06/232.36 71.94 指标 弹性模量/GPa 竹片抗弯强度抗拉 抗压 抗弯 平均值 12.94 12.73 13.26 144.08

由试验可知,圆竹和竹片的抗压强度、抗剪强度相差不大,可以采用更为简便的竹片测试结果代替。但是,抗弯强度却有较大差异,这主要与圆竹壁薄中空的特殊构造有关,建议采用实际圆竹的测试结果。

为了探究竹节对竹材力学性能的影响,曾其蕴等[36]通过含竹节试件(刨平竹节)与不含竹节试件(节间材)的比较,给出竹节对竹材力学性能的影响。刨平竹节的处理虽然可以使含竹节试件与不含竹节试件具有相同的截面几何参数,但是刨平竹节会破坏节部,用此结论来说明竹节对材料强度的影响显然不妥。针对上述问题,邵卓平等[37]通过不刨平竹节的竹材试验发现了不同的结果。由于竹材往往以自然状态使用,为最终明确竹节规律,于金光等[38]进行了一系列的研究,认为竹节的紧箍作用对竹材的抗压强度、环刚度有利,但是对抗拉强度和抗剪强度有所削弱。这是由部分纤维管束在通过竹节处不连续,且竹节处某些纤维向外弯曲不齐造成的。

除了测试基本力学性能指标外,文献[39]将竹材在径向和弦向施压下的整个大变形过程分为线弹性阶段、屈服后弱线性强化阶段和幂强化阶段三个阶段。此外,任海青等[40]对竹材抗压动态破坏过程进行了分析,建立了顺纹和横纹的抗压应力-应变关系曲线(图3)。结果表明竹材的抗压本构关系、动态破坏过程以及试样的宏观断口形貌间表现出很好的相关性,为学者进行后续研究提供了理论 基础。

图3 竹材抗压应力-应变关系曲线
Fig.3 Stress-strain curves of bamboo under compression

作者统计了22篇文献中满足《建筑用竹材物理力学性能试验方法》[32]的毛竹强度数据,通过变异系数分析验证数据有效后,根据《建筑结构可靠度设计统一标准》[41],采取材料强度概率分布的0.05分位值确定了毛竹强度标准值(顺纹抗拉:145.33 MPa;顺纹抗压:45.58 MPa;弦向抗弯:104.33 MPa;顺纹抗剪:9.52 MPa),对比发现概率密度分布函数为正态分布的参数法和次序统计法计算效果较优。在此基础上,基于强度标准值,依据设计验算点逆算求得了毛竹强度设计值。由于采用以概率理论为基础的可靠度设计法建立功能函数,因此该设计值更加可靠。

竹材作为一种初始缺陷较明显的天然材料,部分学者已对其分级进行了相关研究。Trujillo等[42]对竹材进行了目测分级,特别是提出几何要求—锥度、初弯曲及初偏心的范围。但是上述具体数值与竹种相关,截止目前尚缺乏对竹材统一的分级方法及各主要竹种的分级范围,因此竹材的合理分级也是今后的一项重要研究工作。具体而言,作者对所选用的浙江安吉毛竹要求其锥度小于等于6 mm/m、初弯曲小于等于4 mm/m、初偏心大于等于0.90及厚径比0.08~0.11,此选材要求基本可以满足毛竹的研究及设计工作[28]

1.2 改性竹材力学性能

随着原竹材研究的不断深入,近年来出现了各种结构工程竹材类产品,如胶合竹、重组竹(竹集成材、竹层积材)、竹木复合材料等新型竹材。

胶合竹是一种具有特定纤维排列方式,且经过特殊工艺加工的天然竹纤维增强复合材料。肖岩等[43—44]通过对Glubam胶合竹材的力学性能进行试验研究,得到其弹性模量、抗压强度、抗弯强度、抗剪强度等性能指标(表3),证明该竹材能够满足建筑结构的力学性能要求。但作者发现,与表2中原竹材力学性能比较可知,Glubam胶合竹的力学性能指标整体数值偏小,这是由于原竹材存在明显的自身构造优势(中空、纤维分布完整等)。

表3 Glubam胶合竹主纤维力学性能指标
Table 3 Summery of glubam test results in longitudinal direction

试验类型 力学性能 数量 平均值/(N/mm2)受拉 强度 16 83 弹性模量 16 10344 受压 强度(有冷压胶合面) 26 35 强度(无冷压胶合面) 26 51 受弯 强度 32 99 弹性模量 32 9400 受剪 强度 25 16

重组竹是将原竹机械加工成规则的竹片(束),再将竹片(束)同纹理方向经特定条件压制、裁削,最终胶合成规则的方材或板材。盛宝璐等[45]、Sulastiningsih等[46]、李霞镇等[47]、江泽慧等[48]、Li等[49]、张秀华等[50]、Mahdavi等[51]、Lee等[52]等均对重组竹的力学性能进行了研究,给出不同形式重组竹的材性指标、破坏模式及本构模型。特别说明的是,文献[50]以木材强度设计值计算方法为基础,给出重组竹强度标准值与设计值的求解方法,为此类材料的工程应用提供了理论依据:

竹木复合材料[53]是以木材和竹材为主要原料,按照木质单板层积材的组坯方式,将竹拼板和木单板按顺纹方向层积胶合而成的板材。蒋身学等[54]运用复合材料力学层合板理论对竹木复合层积材进行研究,推导出一般层合板应变随板厚变化的关系:

由式(3)可知,板内应力更多地发生在弯曲模量大的面层材料。因此,提高面层材料弯曲弹性模量是竹木复合材料能够承受静弯曲荷载大小的关键,上述成果至今仍是竹木复合材料的重要参考。

上述新型改性竹材发扬了竹材本身的优良特性,同时也克服了原竹几何变异性大、含糖高、易虫蛀、质地不均匀、耐久性较差等缺点,受到结构工程师的广泛青睐,但是对竹之间、竹木之间组合性能的探索是个长期而复杂的课题。

通过以上分析发现,目前原竹材及改性竹材的基本力学性能均是一维受力状态的研究,较少有关于二维,甚至三维应力状态及设计值的报道。另一方面,由于材性力学性能的离散性,目前仍缺乏最基本的统一材料本构。此外,目前还未见到关于防火、防腐处理对竹材力学性能影响的相关研究成果,该影响尚不明确。因此,仍需对竹材基本力学性能进行深入研究。

2 竹构件、节点力学性能

研究竹材构成的构件(如梁、柱、墙体及楼板等)是推广应用竹结构的前提。

2.1 梁力学性能

2.1.1 原竹梁

对于原竹简支梁来说,其受弯破坏模式已基本达成共识,即认为原竹简支梁会发生纵向劈裂破坏或局部弯折破坏[55—56]。虽然文献[57]已提出当含水率较低时,原竹梁将发生纵向劈裂破坏,反之发生局部弯折破坏,但是不少试验却得到了相反的结论,如图4所示[58]。实际上,作者认为原竹简支梁的破坏模式与加载方式、竹杆局部横向承载力以及顺纹方向承载力密切相关。基于竹材力学性能的离散性,现有研究尚未给出两种破坏模式的量化分界点,该分界点的确定将成为未来原竹梁研究的重点。此外,由于原竹梁的抗弯刚度较低,工程中可直接按照挠度进行设计。Janssen[59]通过对原竹梁进行蠕变试验还发现,与木材不同,原竹梁在长期荷载作用下不会产生变形的增加,且在卸载后梁可以恢复到受力前的直杆状态,具有较好的整体性。

图4 原竹梁弯曲试验
Fig.4 Bending tests of original bamboo beams

2.1.2 改性竹材梁

近年来,基于改性竹材梁的研究不断发展,唐卓等[60]对GluBam胶合竹I形搁栅梁的破坏形态、破坏机理、截面刚度和承载力等进行了研究,认为梁跨中截面应变符合平截面假定,该梁具有良好的整体工作性能。苏毅等[61]、陈复明等[62]、周军文 等[63]、张苏俊等[64]等均进行了不同类型重组竹梁受弯性能的研究,给出破坏模式并提出了相应的计算方法。此外,吴文清等[65]对不同竹质复合I形梁进行了弯曲静载试验,研究其破坏机理、承载能力和变形性能,为此类结构设计提供了理论依据。总体而言,文献[61]提出的竹集成材顺纹单轴拉、压应力-应变简化模型及关系式可用于此类梁弯曲性能的分析:

2.1.3 组合梁

为了提高竹梁的力学性能,学者开始通过将竹材与其他材料相结合,提出了许多新型组合竹梁。其中,竹木复合是常见的形式,也有一定的提高效果[66]。除上述组合外,Shan等[67]提出一种胶合竹-混凝土组合梁,并对胶合竹的植筋锚固性能和组合试件的剪切滑移性能进行了研究,给出增强构件力学性能的构造措施。将纤维增强聚合物(FRP)、混凝土与竹材进行组合,形成FRP-竹-混凝土组合梁,其极限荷载与截面刚度均得到了大大提高,整体受力性能取决于连接件的刚度及其荷载-滑移关 系[68]。不仅如此,Shen等[69]提出碳纤维(CFRP)增强重组竹梁极限变形弹性理论的修正计算方法,并通过试验验证了该计算方法的准确性。此外,Li 等[70]通过对冷弯薄壁型钢-竹胶板组合梁进行抗弯试验,发现以上构造形式具有良好的整体性,两种材料组合效应较好(图5),并提出此类组合截面的弯曲刚度表达式:

图5 钢-竹组合梁弯曲试验
Fig.5 Bending tests of steel-bamboo beams

在此特别指出的是,西安建筑科技大学现代竹木结构研究所[71]将一种喷涂复合砂浆(主要由石膏基膨胀聚苯乙烯颗粒砂浆和抗裂水泥砂浆组成,也称喷涂保温材料、多功能环保材料)包裹于原竹表面形成组合梁,不仅可以提高原竹梁的极限承载力,更重要的是使原竹梁刚度得到了较大的改善(图6)。以双根原竹连接梁为例,在加载初期,组合梁的抗弯刚度约为原竹连接梁刚度的5.7倍,且极限承载力可提高50%左右,组合效应显著。

2.2 柱力学性能

2.2.1 原竹柱

同钢柱相似,原竹长柱的破坏主要由稳定控制,而短柱破坏主要由材料强度控制,且轴心受压构件的承载力会随着长细比增大反而降低。早在1957年,陈肇元[72]已对原竹杆的轴心受压性能进行了深入研究,获得了稳定影响系数φ的理论计算方法,并提出了轴心受压原竹杆件的计算公式。

图6 喷涂复合砂浆-原竹骨架组合梁弯曲试验
Fig.6 Bending test of sprayed composite mortar-original bamboo beam

从竹材在建筑结构的早期应用出发,研究脚手架中原竹立柱的力学性能成为当时的关键问题。Yu等[73]通过竹脚手架中立柱的轴向屈曲试验,确定了原竹立柱典型的失效模式:整体失稳和局部失稳,并考虑侧向约束布置和荷载分布的影响,最终提出原竹柱的屈曲设计准则。此外,Richard等[74]通过单、多根原竹柱的轴压试验(图7),分析其屈曲行为和特征,为原竹柱设计提供理论依据。

图7 原竹柱轴压试验
Fig.7 Axial compressive tests of original bamboo columns

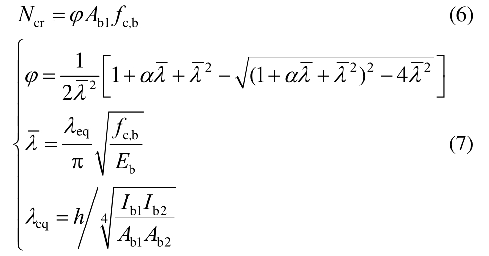
但是原竹存在天然弯曲,作者在研究原竹杆轴心受压时,首先通过目测法筛除歪曲严重的原竹,测得剩余原竹初始弯曲约为h/250。因此,将原竹视为带有初始弯曲的楔形薄壁杆件,以边缘纤维受压屈服为准则,得出原竹柱整体承载力计算方法:

式中:φ为稳定性系数;α为缺陷影响因子,取0.4~0.6;Ab和Ib分别为原竹截面面积和惯性矩,下角标1和2分别表示原竹小头和大头截面;fc,b和Eb分别为原竹顺纹抗压强度和弹性模量;eqλ为原竹杆等效长细比。

通过以上分析发现,虽然部分学者已经对原竹长柱的破坏模式和临界荷载有了深刻的认识,也有很多求解原竹长柱轴心受压稳定性的设计方法,但是与钢柱不同的是,仍有初始缺陷(如材料变异性、初偏心等)对原竹长柱力学性能,特别是对稳定性系数的影响程度没有量化指标,从而限制了目前已有原竹长柱公式的适用性。此外,原竹杆受压破坏与受压区局部屈曲劈裂密切相关,在该方面目前尚无相关研究。

2.2.2 改性竹材柱

改性竹材柱的轴心受压破坏模式与竹材间粘结性能密切相关,粘结性能弱则粘结面会提前发生破坏,从而影响柱的承载力。基于良好的粘结性能,GluBam胶合竹柱轴心受压时与原竹柱具有相同的力学表现(短柱强度破坏,长柱稳定破坏)[75],同时,文献[76]也提出重组竹柱的轴心受压承载力计算公式:

2.2.3 组合柱

考虑到工程应用的耐久性,文献[77—78]对钢-竹组合柱轴心受压性能进行了研究,揭示了受力破坏机理。研究表明,钢-竹组合柱在轴心受压过程中整体受力性能良好。为防止钢竹间开胶失效,Zhao等[79]提出了一种新型带横向约束拉杆的方形薄壁钢管/竹胶合板组合空芯柱(SBCCB),重点分析横向约束拉杆对试件破坏特征的影响,发现后者改变了原有的极限破坏模式(图8),显著提高了极限承载力。

此外,西安建筑科技大学现代竹木结构研究所提出的喷涂复合砂浆-原竹骨架组合柱提高了原竹杆的稳定性和变形能力。作者通过组合柱的轴压试验,发现组合柱失稳时端部复合砂浆被压碎,此时端部铰受到偏心荷载发生转动,导致承载力下降(图9)。喷涂复合砂浆-原竹骨架组合柱的承载力计算 如下:

图8 SBCCB典型轴压破坏模式
Fig.8 Typical axial compressive failure modes of SBCCB

图9 喷涂复合砂浆-原竹骨架组合柱轴压试验
Fig.9 Axial compressive tests of sprayed composite mortar–original bamboo columns

式中,φ可通过换算截面依式(6)~式(7)计算,其中缺陷影响因子α取0.8~1。

2.3 楼板力学性能

2.3.1 原竹楼板

基于竹材的楼板力学性能同样值得关注。原竹楼板方面,将小直径毛竹代替钢筋应用于混凝土单向板内,不仅可以达到减轻板自重、节约成本的目的,而且其隔热、隔声、保温效果明显[80]。柏文峰 等[81]以原竹(密排铺在楼面格栅上)为承重层,提出一种新型原竹承重楼板技术,并将其成功应用于西双版纳南糯山新型竹建筑中,起到原竹楼板技术的展示和示范作用。此外,为了明确当作楼板使用时原竹的受力情况,本文分别对正常使用和承载能力极限状态下的原竹楼板进行抗弯性能试验研究(图10)。结果表明,原竹楼板在破坏前跨中挠度已超过规范要求,基本处于弹性阶段。随着荷载的增加,楼板纵向原竹开裂、支座处原竹碎裂,最终发生弯曲破坏。

图10 原竹楼板弯曲试验
Fig.10 Bending test of original bamboo slab

2.3.2 组合楼板

2.3.1节中原竹楼板做法,将小直径毛竹代替钢筋的混凝土板承载力有限,而大直径原竹楼板的耐久性问题比较突出。为此,西安建筑科技大学现代竹木结构研究所[82]通过喷涂复合砂浆-原竹骨架组合楼板抗弯性能试验(图11)发现,组合楼板在正常使用阶段的整体抗弯刚度约为原竹骨架楼板的17倍,其极限承载力约为原竹骨架楼板的2倍。该组合楼板不仅能够满足抗弯承载力和挠曲变形的要求,而且耐久性得到较大改善,可以作为建筑楼板使用。楼板的跨中挠度可按下式计算:

式中:α根据荷载作用形式确定;F为荷载;B1和B2分别为原竹楼板、组合楼板的抗弯刚度;Eb和Ecm 分别为原竹和复合砂浆的抗弯弹性模量;Ib和Icm 分别为原竹和复合砂浆的截面惯性矩。

图11 喷涂复合砂浆-原竹骨架组合楼板弯曲试验
Fig.11 Bending test of sprayed composite mortar-original bamboo slab

另一方面,基于改性竹材的组合楼板也具有较好的抗弯性能[83]。比较典型的是李玉顺等[84—85]将竹胶板与压型钢板用结构胶粘结成为压型钢板–竹胶板组合楼板(图12),该楼板具有优良的整体工作性能、较高的承载力和刚度。

2.4 墙体力学性能

2.4.1 原竹墙体

将原竹材作为建筑材料用于墙体在技术上是完全可行的。单波等[55]设计了基于墙板模数的圆竹墙体单元,并对2片墙体进行了抗侧力试验,结果表明圆竹墙体的抗侧力约为同类型轻型木结构墙体的65%。Ganesan等[86]将混凝土浇筑在竹条网格上,形成一定厚度的墙体(图13),通过分析提出了此类墙体平面内极限荷载的求解方法。上述两种方式分别在耐久性和承载力方面存在有一定的局限性,目前在东南亚和非洲地区,已有利用以上方式建造的试验性或地震棚等临时性建筑。

图12 钢-竹组合楼板弯曲试验
Fig.12 Bending test of steel-bamboo slab

2.4.2 组合墙体

基于改性竹材的组合墙体[87—88]和喷涂复合砂浆-原竹骨架组合墙体[89]可解决上述不足,其力学性能、隔声性能、保温传热系数均可以达到我国对建筑墙体的要求,适用于现代多层竹结构。特别是喷涂复合砂浆-原竹骨架组合墙体,其具有较高的受剪承载力、抗侧刚度以及良好的抗震性能(与同尺寸的喷涂复合砂浆–冷弯薄壁型钢组合墙体接近),组合墙体的抗侧承载能力较原竹骨架提高了1.9倍 (图14)。

如前所述,虽然国内外学者对竹柱进行了大量研究,但是,实际工程中却是以竹墙体承重的表现 形式居多,竹框架结构较少,这主要是由竹柱承载力有限导致。

图13 竹条竹筋混凝土墙体
Fig.13 Bamboo reinforced concrete wall

图14 喷涂复合砂浆-原竹骨架组合墙体抗剪试验
Fig.14 Shearing test of sprayed composite material-original bamboo wall

2.5 节点力学性能

2.5.1 原竹连接节点

我国对原竹连接节点性能的研究起步较早[90]。总结国内外原竹建筑的节点[91-95],其构造形式大致可分为8类:棕绳(篾笆)捆绑节点、穿斗式节点、灌浆节点、螺栓连接节点、钢构件连接节点、钢板连接节点、烧弯结合节点及槽齿结合节点。基于上述节点形式,学者开始对其进行改进,出现了一些新型原竹连接节点形式,如防止竹材打孔处开裂的FRP-螺栓连接节点[96]、可调节式螺杆节点[97]、可增加强度的螺栓垫片节点等[98](图15)。

图15 原竹连接节点
Fig.15 Joints of original bamboo

螺栓连接作为竹结构的传统连接方式,目前已有较多研究成果。早在1957年,陈肇元[99]已对多种圆钢梢连接进行了较为详细的研究,得出各种结合方式下破坏荷载的计算公式。王家振[100—101]分别按容许应力和破坏阶段对圆钢梢连接进行研究,针对对称双剪连接提出不同直径、不同相交角度的一般计算方法。Oka等[102]与Awaludin等[103]分别对无、 有填充材料的原竹螺栓连接节点进行了试验与理论分析,均提出四种破坏模式并给出最终破坏荷载。胡行等[104]通过对装配式原竹螺栓节点进行试验,建立了力学模型,并推导出相应的理论解析公式,证明双螺栓节点与节点域高强砂浆可以明显提高节点承载力。由于螺栓连接需要在原竹上钻孔,从而降低其力学强度,Moran等[105]提出一种采用角钢和半环钢片连接梁柱的新型节点,通过分析发现该节点的承载力较传统螺栓连接节点有较大提高。

2.5.2 改性竹材连接节点

对于改性竹材的连接,由于被连接竹构件的截面规则、密实,可借鉴钢木结构的节点连接方式,如钢夹板螺栓节点[106]、钢连接件与螺栓组合节点[107—108]、钢套筒连接节点[109]等(图16),其节点性能也较原竹连接性能好。

图16 改性竹连接节点
Fig.16 Joints of modified bamboo

但是总体而言,国内外学者对构件间节点连接性能的研究尚显不足,已有连接形式局限性较大,且基本受力机理仍未明晰,还需提出更具普遍适用性的新型连接节点,并对其进行深入研究,这对形成结构体系具有重要意义。

3 竹材在工程中的应用

3.1 竹筋混凝土结构体系

由于竹材具有抗拉强度高、易加工和价格低廉等优点,以竹筋代替钢筋用于传统混凝土构件中,既可以充分利用材料资源,又能达到节约钢材的目的。

竹筋混凝土最早由法国人蒙尼亚于1867年发明,后于20世纪40年代在日本得到推广[110—111]。20世纪50年代中期,由于当时我国经济困难,钢材短缺,此类结构也被大量应用于民用建筑中(图17),仅广州就曾有100余栋竹筋楼[7]。随后,经济和社会的发展使得竹筋混凝土结构逐渐退出历史舞台,被钢筋混凝土结构所代替。

图17 武汉青山区竹筋混凝土公寓
Fig.17 Apartments of bamboo reinforced concrete in the Qingshan district of Wuhan

近年来,节能和环保成为工程建设活动的重要评价指标,而科学技术的进步也为解决竹筋混凝土所存在的问题提供了可能[112—113],因此竹筋混凝土结构体系又成为研究热点并开始推广应用[114]。例如,Ghavami[115]介绍了竹筋混凝土构件在建筑结构中的应用,并提出未来研究的一些建议。Terai等[116]对竹筋混凝土进行了试验,研究了竹筋混凝土梁的裂缝机理。Agarwal等[117]通过改进竹筋混凝土梁、柱试验,证明竹筋混凝土构件可在建筑结构中广泛应用。此外,邹立华等[118]针对竹筋混凝土结构存在的问题,提出了多种竹筋的改性方法(图18),该方法不仅能够提高竹筋与混凝土之间的粘结力,还有利于竹材防水和减缓腐蚀的发生。

图18 竹筋改进方法
Fig.18 Processed methods of bamboo reinforcement

3.2 改性竹材结构体系

近年,改性竹材结构体系被广泛应用于桥梁、校舍、村镇住宅体系中[119—121],国际竹藤组织、中国林业科学院木材工业研究所、湖南大学等单位均在此方面有实际应用(图19(a)、图19(b))。特别是Integer China研究团队完成的世博生态城竹屋,其抗竖向作用和横向(风、地震)作用的能力超过了木结构房屋,具有经济、安全、生态、环保的特点。此外,由于改性竹材构件的规格统一、节点构造简单、工业化程度高,特别适合于灾后重建工作[121—122]。例如,南京林业大学和东南大学联合开发的现代竹结构抗震安居房、湖南大学提出的装配式竹材房屋等,均在“5.12”汶川地震后的临时安置及灾后重建中起到了积极作用(图19(c)、图19(d))。

图19 改性竹材结构体系的应用
Fig.19 Application of modified bamboo

基于改性竹材,将钢或混凝土与其进行结合,所形成的组合竹结构在研究思路上又有了一定的创新[102—123](图20)。钢-竹组合结构有效克服了薄壁型钢的过早屈曲,充分发挥钢、改性竹两种材料的强度。同时,钢-竹组合构件大多为空腔结构,内部可埋设管线或填充保温材料以满足建筑要求,具有较好的功能性。此外,通过某些构造方法将改性竹材与混凝土组合,可充分利用竹材受拉、混凝土受压的良好性能。虽然目前尚未见到上述基于改性竹材的组合结构体系运用于实际工程的相关报道,但是可以预见它们将具有较好的推广性。

3.3 原竹结构体系

3.3.1 纯原竹结构体系

图20 基于改性竹材的组合结构
Fig.20 Composite structures based on modified bamboo

采用原竹建造房屋已有2000多年的历史。在 过去,传统的原竹建筑大多造型单一、设施简陋、安全性差,普遍不为人们所接受,是经济欠发达地区的选择,多见于拉丁美洲、非洲、南亚、东南亚等国以及我国云南、四川、福建等地区。

随着原竹处理技术的完善、建筑师想象力的丰富、社会经济的发展,造型美观、风格独特的现代纯原竹建筑应运而生(图21)。其中,2010年上海世博会印度馆、“德中同行之家”展馆是现代原竹建筑领域的代表作[97—124]。2011年,越南永福省大来旅游景点的鸟翼竹结构设计被芝加哥科学博物馆评为国际建筑奖,该建筑向公众展示了纯原竹结构体系的绿色美,成为使用环境友好型材料的典型范例。

3.3.2 喷涂复合砂浆-原竹骨架组合结构体系

由于原竹本身存在防火、防虫、保温、隔声、防腐性能差等缺点,在现代多层竹结构中往往对其进行加工和处理,以改性竹材的形式应用。但是,在对原竹进行改性的过程中,所使用的化学粘合剂对人居环境有一定污染。另一方面,改性竹材虽然解决了原竹结构尺寸、外形分布不均的缺点,但也放弃了原竹本身良好的受力特性。

图21 现代纯原竹结构
Fig.21 Modern original bamboo structures

为了改进上述不足,西安建筑科技大学现代竹木结构研究所[125—129]将复合砂浆喷涂于原竹骨架表面,经过一段时间养护后形成具有较好力学性能,并兼有良好保温、隔热以及耐火性能的喷涂复合砂浆-原竹骨架组合结构体系(图22)。

图22 喷涂复合砂浆-原竹骨架组合结构体系
Fig.22 Structural system of sprayed composite motar-original bamboo

如前所述,西安建筑科技大学现代竹木结构研究所针对该体系开展了较为系统的研究:获得了组合梁、柱、楼板的承载能力、破坏模式及复合砂浆的量化增强作用;通过低周反复试验得到组合墙体的滞回性能。结果表明,喷涂复合砂浆与原竹骨架粘结可靠,组合结构体系整体力学性能好,功能性和适应能力强,施工速度快,可代替传统砖混结构,在低层房屋及村镇建筑中应用,具有较高的推广价值。此外,该体系可为国家新型城镇化建设的设计、建造与安全运行提供科学依据和技术支撑。

4 结论及展望

随着经济社会的发展,科学技术的进步,国家政策的推动,全生命周期均可实现与生态环境协调共存的竹结构成为了未来发展方向之一。

(1)目前原竹材及改性竹材的基本力学性能均是一维受力状态的研究,且缺乏统一的材料本构;关于防火、防腐处理对竹材力学性能的影响尚不明确。

(2)对竹构件进行试验是现阶段主流的研究方法,应注意加强对理论分析和数值模拟的深入探讨(如不同破坏模式产生的原因、影响构件承载力的量化因素等),这是对竹结构进行研究需要解决的关键问题。

(3)对构件间节点连接性能的研究尚显不足,已有连接形式局限性较大,且基本受力机理仍未明晰,还需提出更具普遍适用性的新型连接节点,并对其进行深入研究,这对形成结构体系具有重要意义。

(4)现阶段,已有的竹筋混凝土结构体系、改性竹材结构体系、现代纯原竹结构体系已在建筑结构中广泛应用,展现出竹材的性能优势。

(5)喷涂复合砂浆与原竹骨架粘结可靠,本文提出的喷涂复合砂浆-原竹骨架组合结构体系整体力学性能好,功能性和适应能力强,施工速度快,可代替传统砖混结构,在乡镇、农村低层房屋建筑中应用,具有较高的推广应用价值。

现将我国现代竹结构发展规划作如下展望:

(1)推广模块化竹结构建筑。通过标准化设计、工厂化生产、装配式施工、一体化装修、信息化管理等成套技术,促进竹结构建筑的产业化应用。

(2)提出新的竹结构体系。积极研发适用于不同建筑类型的竹结构新体系,并对新体系的关键技术进行研究与创新。

(3)完善设计规范并与国际接轨。重视理论成果的转化,在科学研究与实践的基础上形成完善的规范体系并与国际接轨。

(4)加快产业基地建设。在绿色建筑及建筑工业化背景下,加快竹材及竹构件的产业基地建设,增加该方向的资金投入,使竹结构在现代建筑工程领域中大力推广应用。

参考文献:

[1]李正, 顾正.竹材及其在建筑工程中的应用[M].上海: 科学技术出版社, 1957: 11—12.Li Zheng, Gu Zheng.Application of bamboo in constructional engineering [M].Shanghai: Science and Technology Press, 1957: 11—12.(in Chinese)

[2]徐斌, 任海清, 江泽慧, 等.竹类资源标准体系构建 [J].竹子研究汇刊, 2010, 29(2): 6—10.Xu Bin, Ren Haiqing, Jiang Zehui, et al.Standard system construction of bamboo resources [J].Journal of Bamboo Research, 2010, 29(2): 6—10.(in Chinese)

[3]Van der Lugt P, Van den Dobbelsteen AAJF, Janssen JJA.An environmental, economic and practical assessment of bamboo as a building material for supporting structures [J].Construction and Building Materials, 2006, 20: 648—656.

[4]刘可为, 奥利弗·弗里斯.全球竹建筑概述—趋势和挑战[J].世界建筑, 2013(12): 27—34.Liu Kewei, Frith O.An overview of global bamboo architecture: Trends and challenges [J].World Architecture, 2013(12): 27—34.(in Chinese)

[5]李霞镇, 钟永, 任海青.现代竹结构建筑在我国的发展前景[J].木材加工机械, 2011, 22(6): 44—47.Li Xiazhen, Zhong Yong, Ren Haiqing.Development prospect of modern bamboo construction in China [J].Wood Processing Machinery, 2011, 22(6): 44—47.(in Chinese)

[6]王慧英, 赵卫锋, 补国斌.竹筋混凝土技术在建筑结构中的应用 [J].建筑技术, 2012, 43(7): 605—607.Wang Huiying, Zhao Weifeng, Bu Guobin.Application technology of bamboo reinforced concrete in building structures [J].Architecture Technology, 2012, 43(7): 605—607.(in Chinese)

[7]哈尔滨市工业先进经验展览馆, 哈尔滨科学技术普及协会.先进生产技术11: 竹筋混凝土[M].哈尔滨: 哈尔滨市工业先进经验展览馆, 哈尔滨科学技术普及协会(内部资料), 1955: 15—18.Exhibition Hall of Industrial Advanced Experience in Harbin, Popularization Association of Science and Technology in Harbin.Advanced production technology 11: Bamboo reinforced concrete [M].Harbin: Exhibition Hall of Industrial Advanced Experience in Harbin, Popularization Association of Science and Technology in Harbin, 1955: 15—18.(in Chinese)

[8]中国共产党中央委员会, 中华人民共和国国务院.国家新型城镇化规划(2014-2020年)[Z].2014.Central Committee of the Communist Party of China, State Council of the People’s Republic of China.National new urbanization plan (2014–2020)[Z].2014.(in Chinese)

[9]中国共产党中央委员会, 中华人民共和国国务院.关于加快推进生态文明建设的意见[Z].2015.Central Committee of the Communist Party of China, State Council of the People’s Republic of China.Opinions on accelerating the construction of ecological civilization [Z].2015.(in Chinese)

[10]中国共产党第十八届中央委员会第五次全体会议.五大发展理念 [Z].2015.Fifth Plenary Session of 18th CPC Central Committee.Five development concepts [Z].2015.(in Chinese)

[11]竹内叔雄.竹の研究 [M].东京: 养賢堂, 1932: 10—12.Zhu Neishuxiong.Research of bamboo [M].Tokyo: Yang Xian Tang, 1932: 10—12.(in Chinese)

[12]梁希, 周光荣.竹材之物理性质及力学性质初步试验报告[G].原农林部中央林业实验所, 1944.Liang Xi, Zhou Guangrong.Preliminary test report on physical properties and mechanical properties of bamboo [G].Chongqing: Former Central Forestry Laboratory of the Ministry of Agriculture and Forestry, 1944.(in Chinese)

[13]余仲奎, 沈兰根.川产楠竹性质之研究[R].航空委员会: 航空研究院, 1944.Yu Zhongkui, Shen Langen.Research on Sichuan phyllostachys pubescens [R].Committee of Aviation: Aeronautical Establishment, 1944.(in Chinese)

[14]工程材料教研组.北京市用毛竹性质研究[J].清华大学学报(自然科学版), 1955(00): 139—170.Teaching and Research Group of Engineering Materials.Research on the properties of bamboo in Beijing [J].Journal of Tsinghua University (Science and Technology), 1955(00): 139—170.(in Chinese)

[15]南京林产工业学院竹类研究室.竹林培育[M].北京: 中国农业出版社, 1974: 225—226.Bamboo Research Laboratory of Nanjing Institute of Forestry Industry.Bamboo forest cultivation [M].Beijing: China Agricultural Press, 1974: 225—226.(in Chinese)

[16]于文吉, 江泽慧, 叶克林.竹材特性研究及其进展[J].世界林业研究, 2002, 15(2): 50—55.Yu Wenji, Jiang Zehui, Ye Kelin.Characteristics research of bamboo and its development [J].World Forestry Research, 2002, 15(2): 50—55.(in Chinese)

[17]虞华强, 费本华, 任海青, 等.毛竹顺纹抗拉性质的变异及与气干密度的关系 [J].林业科学, 2006, 42(3): 72—76.Yu Huaqiang, Fei Benhua, Ren Haiqing, et al.Variation in tensile properties and relationship between tensile properties and air-dried density for moso bamboo [J].Scientia Silvae Sinicae, 2006, 42(3): 72—76.(in Chinese)

[18]张晓冬, 程秀才, 朱一辛.毛竹不同高度径向弯曲性能的变化[J].南京林业大学学报(自然科学版), 2006, 30(6): 44—46.Zhang Xiaodong, Cheng Xiucai, Zhu Yixin.Variation of bending performance with different location of bamboo [J].Journal of Nanjing Forestry University (Natural Sciences Edition), 2006, 30(6): 44—46.(in Chinese)

[19]周芳纯.竹材物理力学性质的研究[J].南京林业大学学报(自然科学版), 1981, 5(2): 1—32.Zhou Fangchun.Study on physical and mechanical properties of bamboo woods [J].Journal of Nanjing Forestry University (Natural Sciences Edition), 1981, 5(2): 1—32.(in Chinese)

[20]许敏敏, 孙正军, 武秀明, 等.毛竹径向断裂韧性的研究[J].林业机械与木工设备, 2014, 42(12): 34—37.Xu Minmin, Sun Zhengjun, Wu Xiuming, et al.Research on moso bamboo radical fracture toughness [J].Forestry Machinery & Woodworking Equipment, 2014, 42(12): 34—37.(in Chinese)

[21]Awalluddin D, Ariffin M, Osman M, et al.Mechanical properties of different bamboo species [C].MATEC Web of Conferences, 2017, 138: 01024.

[22]张丹, 王戈, 张文福, 等.毛竹圆竹力学性能的研究 [J].中南林业科技大学学报, 2012, 32(7): 119—123.Zhang Dan, Wang Ge, Zhang Wenfu, et al.Mechanical properties of Phyllostachys pubescens [J].Journal of Central South University of Forestry & Technology, 2012, 32(7): 119—123.(in Chinese)

[23]Fei B H, Liu Z J, Jiang Z H, et al.Mechanical properties of moso bamboo treated with chemical agents [J].Wood & Fiber Science, 2013, 45(1): 34—41.

[24]马媛媛, 朱松松.安吉毛竹主要力学性能的测定[J].实验科学与技术, 2013, 11(4): 22—24, 86.Ma Yuanyuan, Zhu Songsong.Determination of the mechanical properties of Anji moso bamboo [J].Experiment Science and Technology, 2013, 11(4): 22—24, 86.(in Chinese)

[25]Lee P H, Odlin M, Yin H M.Development of a hollow cylinder test for the elastic modulus distribution and the ultimate strength of bamboo [J].Construction and Building Materials, 2014, 51: 235—243.

[26]Moran R, Webb K, Harries K, et al.Edge bearing tests to assess the influence of radial gradation on the transverse behavior of bamboo [J].Construction and Building Materials, 2017, 131: 574—584.

[27]Mitch D, Harries K A, Sharma B.Characterization of splitting behavior of bamboo culms [J].Journal of Materials in Civil Engineering, 2010, 22(11): 1195—1199.

[28]郝际平, 秦梦浩, 田黎敏, 等.毛竹顺纹方向力学性能的试验研究[J].西安建筑科技大学学报(自然科学版), 2017, 49(6): 777—783.Hao Jiping, Qin Menghao, Tian Limin, et al.Experimental research on the mechanical properties of phyllostachys pubescen along the grain direction [J].Journal of Xi’an University of Architecture & Technology (Natural Science Edition), 2017, 49(6): 777—783.(in Chinese)

[29]ISO 22157-2004, Bamboo-determination of physical and mechanical properties [S].Switzerland: International Organization for Standardization, 2004.

[30]GB/T 15780-1995, 竹材物理力学性质试验方法[S].北京: 中国标准出版社, 1995.GB/T 15780-1995, Testing methods for physical and mechanical properties of bamboo [S].Beijing: China Standard Press, 1995.(in Chinese)

[31]CECS 434:2016, 圆竹结构建筑技术规程[S].北京: 中国计划出版社, 2016.CECS 434:2016, Technical specification for round bamboo-structure building [S].Beijing: China Planning Press, 2016.(in Chinese)

[32]JG/T 199-2007, 建筑用竹材物理力学性能试验方法 [S].北京: 中国标准出版社, 2007.JG/T 199-2007, Testing methods for physical and mechanical properties of bamboo used in building [S].Beijing: China Standard Press, 2007.(in Chinese)

[33]LYT 2564-2015, 圆竹物理力学性能试验方法[S].北京: 中国标准出版社, 2015.LYT 2564-2015, Determination of physical and mechanical properties of bamboo culm [S].Beijing: China Standard Press, 2015.(in Chinese)

[34]Bureau of Indian Standards.National building code of India 2005: Part 6: Structural Design: Section 3: Timber and bamboo [S].New Delhi: Bureau of Indian Standards, 2005.

[35]NSR 10.Título G Estructuras de Madera y Estructuras de Guadua [S].Colombia: Asociación Colombiana de Ingenieria Sísmica, 2010.

[36]曾其蕴, 李世红, 鲍贤镕.竹节对竹材力学强度影响的研究[J].林业科学, 1992, 28(3): 247—252.Zeng Qiyun, Li Shihong, Bao Xianrong.Effect of bamboo nodal on mechanical properties of bamboo wood [J].Scientia Silvae Sinicae, 1992, 28(3): 247—252.(in Chinese)

[37]邵卓平, 黄盛霞, 吴福社, 等.毛竹节间材与节部材的构造与强度差异研究[J].竹子研究汇刊, 2008, 27(2): 48—52.Shao Zhuoping, Huang Shengxia, Wu Fushe, et al.A study on the difference of structure and strength between internodes and nodes of moso bamboo [J].Journal of Bamboo Research, 2008, 27(2): 48—52.(in Chinese)

[38]于金光, 郝际平, 田黎敏, 等.圆竹的力学性能及影响因素研究[J].西安建筑科技大学学报(自然科学版), 2018, 50(1): 30—36.Yu Jinguang, Hao Jiping, Tian Limin, et al.The study on the main influencing factors and mechanical properties of phyllostachys pubescens [J].Journal of Xi'an University of Architecture & Technology (Natural Science Edition), 2018, 50(1): 30—36.(in Chinese)

[39]邵卓平.竹材在压缩大变形下的力学行为Ⅰ.应力-应变关系[J].木材工业, 2003, 17(2): 12—14, 32.Shao Zhuoping.Mechanical behavior of bamboo with large deformation: Ⅰ.The relationship between stress and strain [J].China Wood Industry, 2003, 17(2): 12—14, 32.(in Chinese)

[40]任海青, 张东升, 潘雁红.竹材抗压动态破坏过程分析[J].南京林业大学学报(自然科学版), 2007, 31(2): 47—50.Ren Haiqing, Zhang Dongsheng, Pan Yanhong.Dynamic compressive mechanical behavior of bamboo [J].Journal of Nanjing Forestry University (Natural Sciences Edition), 2007, 31(2): 47—50.(in Chinese)

[41]GB 50068-2001, 建筑结构可靠度设计统一标准[S].北京: 中国建筑工业出版社, 2001.GB 50068-2001, Unified standard for reliability design of building structures[S].Beijing: China Architecture & Building Press, 2001.(in Chinese)

[42]Trujillo D, Jangra S.Grading of bamboo[J].INBAR Working Paper 79, 2016: 12—41.

[43]肖岩, 杨瑞珍, 单波, 等.结构用胶合竹力学性能试验研究 [J].建筑结构学报, 2012, 33(11): 150—157.Xiao Yan, Yang Ruizhen, Shan Bo, et al.Experimental research on mechanical properties of glubam [J].Journal of Building Structures, 2012, 33(11): 150—157.(in Chinese)

[44]Xiao Y, Wu Y, Li J, et al.An experimental study on shear strength of glubam [J].Construction and Building Materials, 2017, 150: 490—500.

[45]盛宝璐, 周爱萍, 黄东升.重组竹的单轴与纯剪应力应变关系[J].土木建筑与环境工程, 2015, 37(6): 24—31.Sheng Baolu, Zhou Aiping, Huang Dongsheng.Stress-strain relationship of parallel strand bamboo under uniaxial or pure shear load [J].Journal of Civil, Architectural and Environmental Engineering, 2015, 37(6): 24—31.(in Chinese)

[46]Sulastiningsih I M, Nurwati.Physical and mechanical properties of laminated bamboo board [J].Journal of Tropical Forest Science, 2009, 21(3): 246—251.

[47]李霞镇, 钟永, 任海青, 等.毛竹基重组竹力学性能研究[J].木材加工机械, 2016, 27(4): 28—32.Li Xiazhen, Zhong Yong, Ren Haiqing, et al.Study on mechanical properties of recombinant bamboo produced by moso bamboo [J].Wood Processing Machinery, 2016, 27(4): 28—32.(in Chinese)

[48]江泽慧, 常亮, 王正, 等.结构用竹集成材物理力学性能研究[J].木材工业, 2005, 19(4): 22—24, 30.Jiang Zehui, Chang Liang, Wang Zheng, et al.Physical and mechanical properties of glued structural laminated bamboo [J].China Wood Industry, 2005, 19(4): 22—24, 30.(in Chinese)

[49]Li H T, Zhang Q S, Huang D S, et al.Compressive performance of laminated bamboo [J].Composites Part B: Engineering, 2013, 54: 319—328.

[50]张秀华, 鄂婧, 李玉顺, 等.重组竹抗压和抗弯力学性能试验研究[J].工业建筑, 2016, 46(1): 7—12.Zhang Xiuhua, E Jing, Li Yushun, et al.Experimental research on compression and flexural mechanical performance of recombinant bamboo [J].Industrial Construction, 2016, 46(1): 7—12.(in Chinese)

[51]Mahdavi M, Clouston P L, Arwade S R.Development of laminated bamboo lumber: Review of processing, performance, and economical considerations [J].Journal of Materials in Civil Engineering, 2011, 23(7): 1036—1042.

[52]Lee C H, Chung M J, Lin C H, et al.Effects of layered structure on the physical and mechanical properties of laminated moso bamboo (Phyllosachys edulis)flooring [J].Construction and Building Materials, 2012, 28(1): 31—35.

[53]张文福, 王戈, 于子绚, 等.竹材单元形态对竹木复合层积材性能的影响[J].南京林业大学学报(自然科学版), 2012, 36(5): 167—169.Zhang Wenfu, Wang Ge, Yu Zixuan, et al.Effect of bamboo shape on properties of bamboo/wood LVL [J].Journal of Nanjing Forestry University (Natural Sciences Edition), 2012, 36(5): 167—169.(in Chinese)

[54]蒋身学, 朱一辛, 张齐生.竹木复合层积材结构及其性能[J].南京林业大学学报(自然科学版), 2002, 26(6): 10—12.Jiang Shenxue, Zhu Yixin, Zhang Qisheng.The structure and properties of laminated bamboo-wood composite lumber [J].Journal of Nanjing Forestry University (Natural Sciences Edition), 2002, 26(6): 10—12.(in Chinese)

[55]单波, 高黎, 肖岩, 等.预制装配式圆竹结构房屋的试验与应用[J].湖南大学学报(自然科学版), 2013, 40(3): 7—14.Shan Bo, Gao Li, Xiao Yan, et al.Experimental research and application of prefabricated bamboo pole house [J].Journal of Hunan University (Natural Sciences), 2013, 40(3): 7—14.(in Chinese)

[56]Nurmadina, Nugroho N, Bahtiar E T.Structural grading of Gigantochloa apus bamboo based on its flexural properties [J].Construction and Building Materials, 2017, 157: 1173—1189.

[57]Chung K F, Yu W K.Mechanical properties of structural bamboo for bamboo scaffoldings [J].Engineering Structures, 2001, 24: 429—442.

[58]Albermani F, Goh G Y, Chan S L.Lightweight bamboo double layer grid system [J].Engineering Structures, 2007, 29(7): 1499—1506.

[59]Janssen J J A.Designing and building with bamboo [M].The Netherlands: Technical Report, 2000: 21—24.

[60]唐卓, 肖岩.胶合竹I形搁栅梁受力性能试验研究[J].建筑结构学报, 2017, 38(9): 138—146.Tang Zhuo, Xiao Yan.Experimental study on mechanical behavior of glue laminated bamboo I-joists [J].Journal of Building Structures, 2017, 38(9): 138—146.(in Chinese)

[61]苏毅, 宗生京, 徐丹, 等.竹集成材梁非线性弯曲性能试验研究[J].建筑结构学报, 2016, 37(10): 36—43.Su Yi, Zong Shengjing, Xu Dan, et al.Experimental study on nonlinear bending of glued laminated bamboo beams [J].Journal of Building Structures, 2016, 37(10): 36—43.(in Chinese)

[62]Chen F M, Jiang Z H, Wang G, et al.The bending properties of bamboo bundle laminated veneer lumber (BLVL)double beams [J].Construction and Building Materials, 2016, 119: 145—151.

[63]周军文, 沈玉蓉.重组竹梁受弯承载力数值分析[J].中国科技论文, 2018, 13(1): 83—86.Zhou Junwen, Shen Yurong.Numerical analysis of the flexural bearing capacity for the parallel strand bamboo beams [J].China Science Paper, 2018, 13(1): 83—86.(in Chinese)

[64]张苏俊, 李晨, 肖忠平, 等.重组竹工字梁抗弯特性研究及模拟分析[J].林业工程学报, 2017, 2(1): 125—129.Zhang Sujun, Li Chen, Xiao Zhongping, et al.Bending strength and loading simulation analysis of bamboo scrimber I-shaped beam [J].Journal of Forestry Engineering, 2017, 2(1): 125—129.(in Chinese)

[65]吴文清, 吴忠振, 马雪媛, 等.竹质复合材料工字形梁的抗弯性能试验 [J].中国公路学报, 2014, 27(4): 69—78.Wu Wenqing, Wu Zhongzhen, Ma Xueyuan, et al.Test on bending resistance properties of bamboo-based composite I-shaped beam [J].China Journal of Highway and Transport, 2014, 27(4): 69—78.(in Chinese)

[66]陈国, 周涛, 李成龙, 等.竹木组合工字梁的静载试验研究[J].南京林业大学学报(自然科学版), 2016, 40(5): 121—125.Chen Guo, Zhou Tao, Li Chenglong, et al.Experimental study on the OSB webbed bamboo beams [J].Journal of Nanjing Forestry University (Natural Sciences Edition), 2016, 40(5): 121—125.(in Chinese)

[67]Shan B, Xiao Y, Zhang W L, et al.Mechanical performance of connections for glubam-concrete composite beams [J].Construction and Building Materials, 2017, 143: 158—168.

[68]Wei Y, Ji X W, Duan M J, et al.Flexural performance of bamboo scrimber beams strengthened with fiber-reinforced polymer [J].Construction and Building Materials, 2017, 142: 66—82.

[69]Shen Y R, Huang D S, Zhou A P, et al.An inelastic model for ultimate state analysis of CFRP reinforced PSB beams [J].Composites Part B: Engineering, 2017, 115: 266—274.

[70]Li Y S, Shan W, Shen H Y, et al.Bending resistance of I-section bamboo-steel composite beams utilizing adhesive bonding [J].Thin-Walled Structures, 2015, 89: 17—24.

[71]Tian L M, Kou Y F, Hao J P.Flexural behavior of sprayed lightweight composite mortar-original bamboo composite beams-experimental study [J].BioResources, 2019, 14(1): 500—517.

[72]陈肇元.中心受压的圆竹杆件[J].哈尔滨工业大学学报, 1957(4): 23—38.Chen Zhaoyuan.A round bamboo member under central compression [J].Journal of Harbin Institute of Technology, 1957(4): 23—38.(in Chinese)

[73]Yu W K, Chung K F, Chan S L.Axial buckling of bamboo columns in bamboo scaffolds [J].Engineering Structures, 2005, 27: 61—73.

[74]Richard M J, Harries K A.Experimental buckling capacity of multiple-culm bamboo columns [J].Key Engineering Materials, 2012, 517: 51—62.

[75]肖岩, 冯立, 吕小红, 等.胶合竹柱轴心受压试验研究[J].工业建筑, 2015, 45(4): 13—17.Xiao Yan, Feng Li, Lv Xiaohong, et al.Experimental studies of glubam columns under axial loads [J].Industrial Construction, 2015, 45(4): 13—17.(in Chinese)

[76]Li H T, Su J W, Zhang Q S, et al.Mechanical performance of laminated bamboo column under axial compression [J].Composites Part B: Engineering, 2015, 79: 374—382.

[77]刘涛, 李玉顺, 许科科, 等.钢-竹组合箱形短柱力学性能研究[J].工业建筑, 2016, 46(1): 25—29.Liu Tao, Li Yushun, Xu Keke, et al.Research on mechanical performance of steel-bamboo composite box short column [J].Industrial Construction, 2016, 46(1): 25—29.(in Chinese)

[78]解其铁, 张王丽, 蒋天元, 等.钢-竹组合柱轴心受压性能的试验研究[J].工程力学, 2012, 29(增刊2): 221—225.Xie Qitie, Zhang Wangli, Jiang Tianyuan, et al.Experimental study on performance of steel-bamboo composite column under axial compression [J].Engineering Mechanics, 2012, 29(S2): 221—225.(in Chinese)

[79]Zhao W F, Chen Z S, Yang B.Axial compression performance of steel/bamboo composite column [J].Procedia Engineering, 2017, 210: 18—23.

[80]祝明桥, 王华, 汪建群, 等.竹芯竹筋混凝土单向板抗弯承载力试验研究[J].工业建筑, 2017, 47(1): 79—83.Zhu Mingqiao, Wang Hua, Wang Jianqun, et al.Study of the flexural bearing capacity of bamboo core and rebar reinforced concrete one-way slab [J].Industrial Construction, 2017, 47(1): 79—83.(in Chinese)

[81]柏文峰, 王修通, 袁媛.干栏民居新型原竹承重楼板技术研究与实践[J].世界竹藤通讯, 2017, 15(5): 30—33.Bai Wenfeng, Wang Xiutong, Yuan Yuan.Research and practices on new technology of bamboo bearing slab [J].World Bamboo and Rattan, 2017, 15(5): 30—33.(in Chinese)

[82]田黎敏, 寇跃峰, 郝际平, 等.喷涂保温材料-原竹组合楼板抗弯性能研究 [J].华中科技大学学报(自然科学版), 2017, 45(11): 41—45.Tian Limin, Kou Yuefeng, Hao Jiping, et al.Study on flexural behavior of bamboo composite slabs with sprayed thermal insulation material [J].Journal of Huazhong University of Science and Technology (Natural Science Edition), 2017, 45(11): 41—45.(in Chinese)

[83]Chithambaram S J, Kumar S.Flexural behaviour of bamboo based ferrocement slab panels with flyash [J].Construction and Building Materials, 2017, 134: 641—648.

[84]Li Y S, Shen H Y, Shan W, et al.Flexural behavior of lightweight bamboo-steel composite slabs [J].Thin-Walled Structures, 2012, 53: 83—90.

[85]李玉顺, 张王丽, 沈煌莹, 等.复合胶结型压型钢板-竹胶板组合楼板受弯性能试验研究[J].建筑结构学报, 2009, 30(增刊2): 176—181.Li Yushun, Zhang Wangli, Shen Huangying, et al.Experimental study on flexural behavior of mutiple-interlink profiled steel sheet -bamboo plywood composite slabs [J].Journal of Building Structures, 2009, 30(Suppl 2): 176—181.(in Chinese)

[86]Ganesan N, Indira P V, Himasree P R.Strength and behaviour of bamboo reinforced concrete wall panels under two way in-plane action [J].Advances in Concrete Construction, 2018, 6(1): 1—13.

[87]江泽慧, 王正, 常亮, 等.建筑用竹材墙体制造技术研究[J].北京林业大学学报, 2006, 28(6): 155—158.Jiang Zehui, Wang Zheng, Chang Liang, et al.Manufacture technology of the bamboo building wall [J].Journal of Beijing Forestry University, 2006, 28(6): 155—158.(in Chinese)

[88]Li Y S, Yao J, Li R, et al.Thermal and energy performance of a steel-bamboo composite wall structure [J].Energy and Buildings, 2017, 156: 225—237.

[89]田黎敏, 郝际平, 寇跃峰.喷涂保温材料-原竹骨架组合墙体抗震性能研究[J].建筑结构学报, 2018, 39(6): 102—109.Tian Limin, Hao Jiping, Kou Yuefeng.Research on seismic behavior of bamboo framing walls with sprayed thermal insulation material [J].Journal of Building Structures, 2018, 39(6): 102—109.(in Chinese)

[90]王振家.竹結構圓鋼梢結合的設計[J].哈尔滨工业大学学报, 1958(1): 25—33.Wang Zhenjia.Design of round steel tip in bamboo structures [J].Journal of Harbin Institute of Technology, 1958(1): 25—33.(in Chinese)

[91]张楠, 柏文峰.原竹建筑节点构造分析及改进[J].科学技术与工程, 2008, 8(18): 5318—5322.Zhang Nan, Bai Wenfeng.Analyzing and improving the construction of bamboo houses node [J].Science Technology and Engineering, 2008, 8(18): 5318—5322.(in Chinese)

[92]Paraskeva T S, Grigoropoulos G, Dimitrakopoulos E G.Design and experimental verification of easily constructible bamboo footbridges for rural areas [J].Engineering Structures, 2017, 143: 540—548.

[93]Sinha A, Miyamoto B T.Lateral load carrying capacity of laminated bamboo lumber to oriented strand board connections [J].Journal of Materials in Civil Engineering, 2014, 26(4): 741—747.

[94]Janssen J J A.Bamboo in building structures [D].Eindhoven: Eindhoven University of Technology, 1981.

[95]黄熊.屋顶竹结构[M].北京: 建筑工程出版社, 1959: 47—74.Huang Xiong.Bamboo structures of roof [M].Beijing: China Architecture & Building Press, 1959: 47—74.(in Chinese)

[96]Awaludin A, Andriani V.Bolted bamboo joints reinforced with fibers[J].Procedia Engineering, 2014, 95: 15—21.

[97]戴培琪, 罗志远, 何敏娟.上海世博会德中同行亭结构设计与研究[J].结构工程师, 2011, 27(4): 6—11.Dai Peiqi, Luo Zhiyuan, He Minjuan.Structural design and analysis for shanghai expo special project DuC [J].Structural Engineers, 2011, 27(4): 6—11.(in Chinese)

[98]Villegas L, Morán R, García J J.A new joint to assemble light structures of bamboo slats[J].Construction and Building Materials, 2015, 98: 61—68.

[99]陈肇元.竹、木結構中圓鋼梢結合的計算[J].哈尔滨工业大学学报, 1957(8): 86—98.Chen Zhaoyuan.Calculation of round steel tip in bamboo and wood structures [J].Journal of Harbin Institute of Technology, 1957(8): 86—98.(in Chinese)

[100]王振家.按容許应力計算竹結構圓鋼梢結合的研究[J].哈尔滨工业大学学报, 1957(4): 62—71.Wang Zhenjia.Research on calculation of round steel tip in bamboo structures according to the allowable stress [J].Journal of Harbin Institute of Technology, 1957(4): 62—71.(in Chinese)

[101]王振家.按破坏阶段計算竹結構圓鋼梢結合的研究[J].哈尔滨工业大学学报, 1957(4): 41—61.Wang Zhenjia.Research on calculation of round steel tip in bamboo structures according to the failure stage [J].Journal of Harbin Institute of Technology, 1957(4): 41—61.(in Chinese)

[102]Oka G M, Triwiyono A, Awaludin A, et al.Experimental and theoretical investigation of bolted bamboo joints without void filled material [J].Applied Mechanics and Materials, 2015, 776: 59—65.

[103]Awaludin A.Aplikasi EYM model pada analisis tahanan lateral sambungan sistem morisco-mardjono: Sambungan tiga komponen bambu dengan material pengisi rongga [J]Proceedings of Nasional Rekayasa dan Budidaya Bambu Symposium, Yogyakarta, 2012.

[104]胡行, 杨健, 王斐亮, 等.装配式圆竹结构螺栓连接节点的力学性能[J].林业工程学报, 2018, 3(5): 128—135.Hu Xing, Yang Jian, Wang Feiliang, et al.Mechanical properties of bolted joints in prefabricated round bamboo structures [J].Journal of Forestry Engineering, 2018, 3(5): 128—135.(in Chinese)

[105]Moran R, Muñoz J, Silvac H F, et al.A bamboo beam-column connection capable to transmit moment [C].17th International Conference on Non-Conventional Materials and Technologies, 2017, 11.

[106]钟永, 任海青, 张俊珍, 等.竹层积材钢夹板螺栓节点的承压性能[J].建筑材料学报, 2013, 16(4): 642—648.Zhong Yong, Ren Haiqing, Zhang Junzhen, et al.Compression performance of bolted-connection with metal plates for laminated bamboo board [J].Journal of Building Materials, 2013, 16(4): 642—648.(in Chinese)

[107]周军文, 赵风华, 齐永胜, 等.新型竹木框架装配节点抗震性能试验研究[J].工业建筑, 2017, 47(9): 70—74, 105.Zhou Junwen, Zhao Fenghua, Qi Yongsheng, et al.Experimental research on seismic behavior of a new fabricated bamboo (timber)frame connection [J].Industrial Construction, 2017, 47(9): 70—74, 105.(in Chinese)

[108]冯立, 肖岩, 单波, 等.胶合竹结构梁柱螺栓连接节点承载力试验研究[J].建筑结构学报, 2014, 35(4): 230—235.Feng Li, Xiao Yan, Shan Bo, et al.Experimental study on bearing capacity of glubam beam-column bolted joints [J].Journal of Building Structures, 2014, 35(4): 230—235.(in Chinese)

[109]李玉顺, 蒋天元, 单炜, 等.钢-竹组合梁柱边节点拟静力试验研究[J].工程力学, 2013, 30(4): 241—248.Li Yushun, Jiang Tianyuan, Shan Wei, et al.Quasi-static test on steel-bamboo composite beam-column exterior joints [J].Engineering Mechanics, 2013, 30(4): 241—248.(in Chinese)

[110]细田贯一.竹筋コンクリート工[M].东京: 修教社書院, 1942: 22—25.細田クーン.Bamboo reinforced concrete [M].Tokyo: Religious Society College, 1942: 22—25.(in Chinese)

[111]Tatumi Juniti.On the bending test of concrete beam reinforced with bamboo [J].Institute of Architecture Papers, 1939, 13: 184—193.

[112]高智能, 杨晓东, 陶忠, 等.竹筋夯土墙在水平单调荷载作用下的试验研究[J].昆明理工大学学报(理工版), 2009, 34(2): 68—70, 75.Gao Zhineng, Yang Xiaodong, Tao Zhong, et al.Experimental study of rammed-earth wall with bamboo cane under monotonic horizontal-load [J].Journal of Kunming University of Science and Technology (Science and Technology), 2009, 34(2): 68—70, 75.(in Chinese)

[113]谢咸颂, 丁雄峰, 朱朝晖.竹筋混凝土楼板的结构性能检验及评估[J].工程建设与设计, 2010(11): 39—42.Xie Xiansong, Ding Xiongfeng, Zhu Chaohui.The inspection and evaluation of the bamboo concrete structural performance [J].Construction and Design for Engineering, 2010(11): 39—42.(in Chinese)

[114]柳菁, 张家亮, 郭军, 等.现代竹结构建筑的发展现状 [J].森林工程, 2013, 29(5): 126—130, 134.Liu Jing, Zhang Jialiang, Guo Jun, et al.The development status of the modern bamboo structure buildings [J].Forest Engineering, 2013, 29(5): 126—130, 134.(in Chinese)

[115]Ghavami K.Bamboo as reinforcement in structural concrete elements [J].Cement and Concrete Composites, 2005, 27: 637—649.

[116]Terai M, Minami K.Fracture behavior and mechanical properties of bamboo reinforced concrete members [J].Procedia Engineering, 2011, 10: 2967—2972.

[117]Agarwal A, Nanda B, Maity D.Experimental investigation on chemically treated bamboo reinforced concrete beams and columns [J].Construction and Building Materials, 2014, 71: 610—617.

[118]邹立华, 钟坤禄, 谢吉鸿, 等.改性竹筋混凝土受弯构件力学性能试验研究[J].土木建筑与环境工程, 2015, 37(5): 33—40.Zou Lihua, Zhong Kunlu, Xie Jihong, et al.Experimental analysis of mechanical property of processed bamboo reinforced concrete flexural member [J].Journal of Civil, Architectural and Environmental Engineering, 2015, 37(5): 33—40.(in Chinese)

[119]郝林.INTEGER现代复合竹结构建筑[J].世界建筑, 2010(2): 64—69.Hao Lin.Integer modern reconstituted bamboo building in China [J].World Architecture, 2010(2): 64—69.(in Chinese)

[120]肖岩, 李智, 吴越, 等.胶合竹结构的研究与工程应用进展[J].建筑结构, 2018, 48(10): 84—88.Xiao Yan, Li Zhi, Wu Yue, et al.Research and engineering application progress of laminated bamboo structure [J].Building Structure, 2018, 48(10): 84—88.(in Chinese)

[121]魏洋, 吕清芳, 张齐生, 等.现代竹结构抗震安居房的设计与施工[J].施工技术, 2009, 38(11): 52—54.Wei Yang, Lv Qingfang, Zhang Qisheng, et al.Design and construction of modern bamboo anti-seismic livingroom [J].Construction Technology, 2009, 38(11): 52—54.(in Chinese)

[122]吕清芳, 魏洋, 张齐生, 等.新型抗震竹质工程材料安居示范房及关键技术[J].特种结构, 2008, 25(4): 6—10.Lv Qingfang, Wei Yang, Zhang Qisheng, et al.New bamboo anti-seismic model living room and key technologies [J].Special Structures, 2008, 25(4): 6—10.(in Chinese)

注:该文在第27届结构工程学术会议(2018 西安)应邀作特邀报告

[123]单波, 梁龙辉, 肖岩, 等.胶合竹-混凝土复合式凹槽连接性能的试验研究[J].工业建筑, 2015, 45(4): 18—25.Shan Bo, Liang Longhui, Xiao Yan, et al.Experimental research on notched connection for glubam-concrete composite beams [J].Industrial Construction, 2015, 45(4): 18—25.(in Chinese)

[124]纳依都, 刘可为.印度馆, 2010年上海世博会, 中国 [J].世界建筑, 2013, 12: 81—85.Naidu DR, Liu Kewei.India pavilion, Expo 2010 Shanghai, China, 2010 [J].Industrial Construction, 2013, 12: 81—85.(in Chinese)

[125]田黎敏, 郝际平, 寇跃峰, 等.原竹-保温材料界面黏结滑移性能试验研究[J].建筑材料学报, 2018, 21(1): 65—70.Tian Limin, Hao Jiping, Kou Yuefeng, et al.Experimental study on bond-slip behavior of bamboo-thermal insulation material interface [J].Journal of Building Materials, 2018, 21(1): 65—70.(in Chinese)

[126]西安建筑科技大学.一种基于原竹骨架的楼板[P].中国: 201510507728.8, 2018.01.16. Xi’an University of Architecture & Technology.A floor slab based on original bamboo skeleton [P].CN: 201510507728.8, 2018.01.16.(in Chinese)

[127]西安建筑科技大学.一种墙体立柱与楼板骨架的连接节点[P].中国: 201410030213.9, 2017.02.01.Xi’an University of Architecture & Technology.A connecting joint between wall stud and slab skeleton [P].CN: 201410030213.9, 2017.02.01.(in Chinese)

[128]西安建筑科技大学.原竹骨架梁柱装配式节点 [P].中国: 201720917888.4, 2018.02.06.Xi’an University of Architecture & Technology.A assembly joint between beam and column in original bamboo skeleton [P].CN: 201720917888.4, 2018.02.06.(in Chinese)

[129]郝际平, 寇跃峰, 田黎敏, 等.基于竹材含水率的喷涂多功能环保材料-原竹黏结界面抗滑移性能试验研究[J].建筑结构学报, 2018, 39(7): 154—161.Hao Jiping, Kou Yuefeng, Tian Limin, et al.Experimental study on anti-slip behavior of multi-functional environmental material-bamboo interface based on moisture content of bamboo [J].Journal of Building Structures, 2018, 39(7): 154—161.(in Chinese)

RESEARCH AND APPLICATION OF MODERN BAMBOO STRUCTURES

TIAN Li-min , JIN Bei-bei , HAO Ji-ping
(School of Civil Engineering, Xi’an University of Architecture and Technology, Xi’an 710055, China)

Abstract: Bamboo is one of the renewable resources in the world.It is an ideal material for building industry because of its good mechanical properties.With the improvement of social economy, the development of science and technology, and the promotion of national policy, bamboo structures will be one of the development directions in the future.This is mainly because the whole life cycle of bamboo structures can achieve co-existence with an ecological environment.The basic methods for the research of bamboo structures can learn from more mature traditional structural studies.However, bamboo is the foundation of bamboo structures.This special material makes bamboo structures different from traditional structures in terms of members, joints and systems.At present, the research on bamboo structures lacks uniform material constitutive.Not only that, but the research methods are single, and the connection forms of nodes are limited.The above-mentioned problems limit the wide application of bamboo structures in engineering.An overall review is given on mechanical properties of bamboo, bamboo members and joints, as well as common bamboo structural systems based on published literatures and authors’ research work.The structural system of sprayed composite mortar-original bamboo has a good mechanical behavior, functionality, adaptability, and efficiency.It can replace traditional brick concrete structures and is applied to township and rural low-rise buildings.The structural system of sprayed composite mortar-original bamboo has high application value.

Key words: modern bamboo structure; state-of-the-art; engineering application; bamboo; modified bamboo; sprayed composite mortar

中图分类号:TU366.1

文献标志码:A

doi: 10.6052/j.issn.1000-4750.2018.06.ST06

文章编号:1000-4750(2019)05-0001-18

收稿日期:2018-06-20;修改日期:2019-01-13

基金项目:科技部国家重点研发计划课题项目(2017YFC0703502);国家自然科学基金项目(51608433);陕西省科技统筹创新工程计划项目(2016KTZDSF04-02-02)

通讯作者:郝际平(1959—),男,山西襄垣人,教授,博士,主要从事现代竹木结构理论研究(E-mail: hao-jp168@163.com);.

作者简介:田黎敏(1983—),男,山西太原人,副教授,博士,主要从事现代竹木结构理论研究(E-mail: tianlimin701@163.com); 靳贝贝(1995—),男,山西临汾人,硕士生,主要从事现代竹木结构理论研究(E-mail: jinbeibei517@163.com).