摘 要:针对内嵌碳纤维增强塑料筋加固宽缺口混凝土梁体系,对碳纤维增强塑料筋、胶粘剂及混凝土三种介质两个界面的内力进行了力学解析分析,分析研究表明:剪应力是碳纤维增强塑料筋-胶粘剂-混凝土界面的粘结应力的主体,由内嵌加固宽缺口梁破坏试验可直接获取界面的剥离承载力;碳纤维增强塑料筋的受力相当于外表受到剪应力和正应力的圆柱体,剪应力靠胶结力提供,筋表面的平均剪应力可以通过宽缺口处外露部分的应变片实测得到,且与试验结果吻合较好,筋表面正应力的作用可以忽略;碳纤维筋横截面上的正应力在筋的长度方向成幂指数分布,沿筋截面径向分布不均匀,这导致其横截面中心的变形滞后于筋边缘的变形;槽内胶凝固后的内聚体是一个断面内圆外方的柱体,可以假定为是近似的厚壁圆筒,胶内聚体内的切向和径向应力对胶内聚体的剪切变形几乎没有影响;界面剥离破坏在比邻界面的混凝土中发生,因此混凝土强度将显著影响界面粘结性能与剥离承载力。
关键词:内嵌;碳纤维增强塑料筋;加固;宽缺口混凝土梁;内力;试验
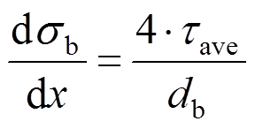
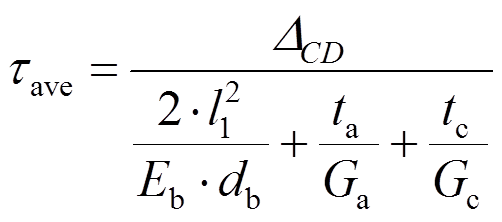
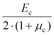
与传统加固方法相比,内嵌碳纤维增强塑料筋 (carbon fiber reinforced plastic bar,CFRP Bar)加固法具有许多优点,如材料本身强度高、质量轻、耐酸碱腐蚀,施工速度快捷、工艺简便、对被加固工程干扰小及维护费用低[1−3]。CFRP筋加固的混凝土结构中混凝土与CFRP筋界面最关键的力学特性是其界面粘结性能,它是影响CFRP筋混凝土构件裂缝宽度、抗变形能力和破坏形态等受力性能的主要因素[4-15],因此,通过内力分析,深入研究内嵌CFRP筋加固混凝土构件和结构的设计计算理论,从而建立正确的界面剥离承载力模型就非常重要。在对CFRP筋内嵌加固的混凝土梁内力分析时发现,CFRP-胶粘剂-混凝土界面上起主导作用的是界面粘结剪应力,由特别设计的混凝土梁做内嵌加固试验可方便地获取界面的剥离承载力。前期研究表明[6,10,14],加固体系中混凝土强度、CFRP筋刚度和锚固长度、胶层的某些特性是影响界面粘结性能和剥离承载力的主要参数,界面剥离破坏发生在与界面比邻的混凝土中,因此界面的剥离承载力及粘结性能将会受到混凝土强度的显著影响,混凝土强度主导界面破坏性能[16],同时界面的极限剥离承载力受到CFRP筋粘结长度的影响,当实际粘结长度低于有效锚固长度le时,粘结长度加长界面剥离承载力增加,CFRP筋的抗弯刚度也加大,界面上剪应力的分布就越均匀,界面的有效锚固长度le增大。胶层的受力状态接近纯剪应力状态(如图1所示)[16],且经改性后的环氧树脂制作的结构胶其抗拉强度远比混凝土的抗拉强度高,所以结构胶的性能不会影响界面的粘结性能。

图1 CFRP筋、混凝土及胶微段的受力
Fig.1 Force analysis of CFRP bar, concrete and adhesive
通过单向剪切试验(图2),可得CFRP板与混凝土界面的剪应力均值和剥离承载力,若用双剪试验,也可以获得承载力相对较小的一端的界面的剥离承载力。采用梁式弯曲拉拔试验(图3),要得到界面的剥离承载力较难,它涉及界面上混凝土的抗压承载力、主筋的抗拉承载力及界面的抗剥离承载力的绝对值大小问题,若界面的抗剥离承载力大于混凝土的总抗压承载力和主筋的抗拉承载力,界面的抗剥离承载力可以通过换算得到,否则,试验得不到界面的抗剥离承载力,在界面剥离屈服之前,梁中钢筋已屈服或混凝土已被压坏。

图2 直接拉拔单剪试验
Fig.2 Direct pulling simple shear test

图3 弯曲拉拔试验
Fig.3 Bending pullout test
用内嵌CFRP筋加固混凝土梁做弯曲试验,混凝土胶粘剂-CFRP筋界面粘结性能试验的破坏模式有5种[17]:胶粘剂与CFRP筋粘结牢固,CFRP筋被拉断;CFRP筋与胶粘剂界面抗剪切能力不足,粘结剂与CFRP筋之间的界面剥离,CFRP筋被拔出;内聚体胶粘剂的抗剪切能力不足,胶粘剂内聚体发生双剪错裂;混凝土拉剪劈裂破坏;混凝土-胶粘剂内聚体之间界面破坏。计算加固混凝土梁极限承载力时由于界面破坏的部位不同,其CFRP 筋上总拉力取值不同:当CFRP筋被拔出时,CFRP筋承受的总拉力应取为胶粘剂-CFRP筋之间界面最大总剪力;当胶粘剂剪切错裂破坏时,CFRP筋承受的总拉力为内聚体胶粘剂的总抗剪承载力;当破坏模式为混凝土与内聚体胶粘剂之间界面撕裂时,则CFRP筋总拉力取混凝土与胶粘剂界面之间的抗剪切承载能力;当破坏模式为槽边混凝土劈裂,CFRP筋承受的总拉力应取混凝土抗剪承载能力。
在进行混凝土梁的受弯试验时,计算混凝土梁的承载力一般都假定不计混凝土抗拉承载力,鉴于此,就可以将四点弯混凝土梁中纯弯段混凝土保护层切除(不外露主筋),使梁的侧立面形成一个缺口(宽缺口混凝土梁),当内嵌CFRP筋加固混凝土梁时,CFRP筋在宽缺口处是外露的(图4),在外露的CFRP筋上贴上应变片,就可以很容易地测得CFRP筋的实时轴力并直接获取界面的剥离承载力。为达到上述目的且进一步开展CFRP筋-混凝土界面特性研究,共浇筑了19根钢筋混凝土梁,用于研究和对比CFRP筋加固的宽缺口混凝土梁、加固的普通混凝土梁的相关特性,着重研究CFRP筋-混凝土界面上的粘结剪应力和滑移量,以检验分析模型的正确性。
试验方案如图4所示,在混凝土梁四点弯试验中,将纯弯段混凝土保护层切除,缺口深度与嵌入CFRP筋的开槽同深,均为20 mm,缺口段长l0=600 mm,有研究得到CFRP筋的最优锚固长度l1=750 mm[12,18],为安全起见取l1=1000 mm,这样可增加两端对CFRP筋的嵌固作用。如图4所示,CFRP筋的实际长度为2600 mm。
如图4所示,双加载点的距离为700 mm,缓冲区
和
均处在混凝土梁的纯弯段,在加载初期混凝土不会受到剪切裂缝的影响,可以缓解B点、C点的应力集中。在CFRP筋的l0段中点贴应变片,量测CFRP筋的轴力随梁所受的外荷载的变化情况,在CFRP筋的l1段上密贴应变片,以便量测CFRP筋中应力大小沿其长度方向的分布状况,同时用如图5所示的方法,量测CFRP筋与混凝土界面的相对滑移量。

图4 内嵌CFRP筋加固混凝土梁示意图
Fig.4 Sketch map of the concrete beams strengthened with NSM CFRP

图5 相对滑移测量系统
Fig.5 Measuring system of relative slip
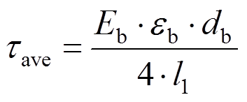
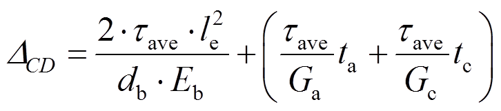
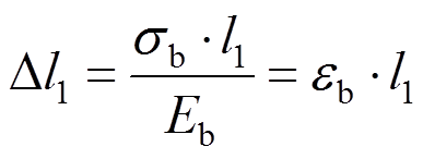
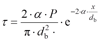
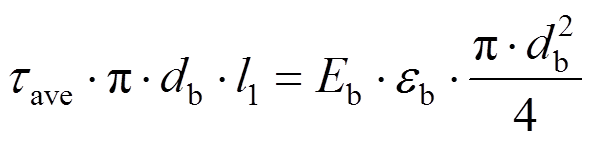
如图1,因梁受弯,在有效锚固长度内胶内聚体与CFRP筋界面上将产生表面剪应力和正应力,CFRP筋的受力相当于外表受到剪应力和正应力的圆柱体(图1(a)),由于筋表面剪应力的作用,导致CFRP筋横截面的正应力沿筋径向非均匀分布,CFRP筋横截面轴心与边缘的变形将会存在一定差异。在梁的加载过程中,设某一荷载等级时,CFRP筋l0段中点贴应变片的应变为
,则CFRP筋中的应力
,CFRP筋中的总拉力为
(
为CFRP筋的有效截面积,Eb为CFRP筋的弹性模量),假设CFRP筋在l1段受力是均匀的,则l1段的伸长
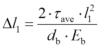
。在弹性范围内,可以假定l1段CFRP表面局部受剪力产生的伸长变形,与将CFRP表面局部剪应力全部均摊到长度l1上的均匀表面剪应力作用下的伸长变形相同,则其均值剪应力
为:
(1)
(2)
式中:db为CFRP筋的直径。从l1段中取出dx段如图1(a)所示,同时有:

(3)
在力的作用下,dx微段的伸长
,长度l1段的伸长:
(4)积分得到:
(5)
再求l1段混凝土与胶粘剂内聚体的剪切变形。在l1段内,胶粘剂内聚体双面受到
剪切应力的作用(如图1(b)),混凝土在界面上表面受到
的作用,则胶粘剂的剪切变形
和混凝土表面影响深度内的剪切变形
为:
(6)式中:
、
分别为胶粘剂和混凝土的剪应变;
为胶粘剂的厚度;
为混凝土受到表面剪切力作用时,产生界面剪切滑移量的等效混凝土层厚度,一般取5 mm[19],
、
分别为胶粘剂和混凝土的剪切模量。式(6)所表示的剪切变形的移动方向是相同的,所以叠加两项可以有:
(7)
将式(5)和式(7)的值求代数和为:
(8)即可得到l1段的滑移量
。若通过外置精密位移计测得l1相对于梁体混凝土某固定点的滑移量,即可求得l1段沿线的平均剪应力,并由此可绘制不同外荷载作用下
随外荷载的变化的特征曲线。式(8)经变换可得到:
(9)
对于埋置在胶粘剂内聚体中的CFRP筋,表面上受到胶粘剂传来的正应力和界面剪应力,正应力使CFRP筋与胶粘剂界面粘结更紧密牢固,剪应力由CFRP筋的表面沿筋的横截面梯次向筋轴心传递,这导致其横截面轴心与边缘的变形将会有一定差异,使CFRP筋表面受剪轴向受拉,CFRP筋所受拉力沿其轴向分布不匀,越靠近梁的跨中CFRP筋轴向拉力越大。
CFRP筋与胶粘剂界面剪应力
沿l1长度方向的分布。如图4所示,混凝土梁在受四点弯的情况下,暴露在混凝土梁宽缺口处的CFRP筋直接受拉,埋入到l1段的CFRP筋相当于作拔出试验,应力随着向梁端远离锚固起始点AB或CD截面而逐渐减小,其界面剪应力分布可以借鉴锚入岩体的树脂锚杆拉拔试验模型,将CFRP筋看做是树脂锚杆、混凝土看做岩石、将胶粘剂看做树脂锚固剂,CFRP筋与树脂锚杆、混凝土与岩石及胶粘剂与树脂锚固剂均为同类材料,其剪应力分布可用下式表示[20―21]:
(10)式中:
;
;
;
分别为CFRP筋、混凝土及胶粘剂的弹性模量;
为混凝土、胶粘剂的泊松比;
分别为钻孔直径(开槽直径)、CFRP筋直径、CFRP筋影响范围直径,由于开槽的宽度和深度均为20 mm,所以
= 20 mm;而混凝土受到表面剪应力作用时,产生界面剪切滑移量的等效混凝土层厚度tc一般可取5 mm[19],
=
+2×5=30 mm;x为至锚固起始点(AB截面或CD截面向梁的支座端)的距离;P为筋在暴露段受到的拉力,P=
,
表示CFRP筋的实测拉应变。
当拉拔荷载到一定值时,从锚固起始点开始剪应力会达到剪切强度而出现剪切破坏,随着荷载增加,剪切破坏不断向内发展。CFRP筋的轴力分布。从l1段的CFRP筋中截取微段dx如图1(a)所示,由式(3)将
用
替换有:
(11)式中:
为CFRP筋的轴向应力;
为CFRP筋与胶粘剂之间的粘结剪力。FRP筋应力
与应变
关系为
。由式(10)和式(11)可以获得l1段每个截面上的正应力,通过积分可以求得
,由式(11):
(12)
在CD(图4)截面处,x=0,
代入式(12),
,得:
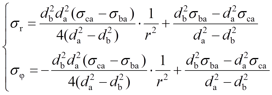
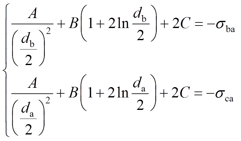
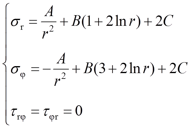
(13)如图6(c)所示,凝固后槽内的胶内聚体是一个断面内圆外方的柱体,假定可以认为是近似的厚壁圆筒,内半径为db/2,外半径为da/2,受内压力为CFRP筋和胶粘剂界面的正应力
及外压力为胶粘剂内聚体与混凝土界面的正应力
,若忽略内外表面剪应力的影响,其应力分布应当是轴对称的,图6(c)所示,因此可取其应力分量表达式(极坐标式)为[22]:


图6 槽内三种材料的受力
Fig.6 Force Analysis of three materials in groove
(14)由边界条件:
(a)
由式(14)看,前两个条件是满足的,而后两个条件要求:
(b)因为(
)和(
)是同一点,不可能有不同的位移,由位移的单值条件可知:B=0,由式(b)求得A和2C:

代入式(14),稍加整理,得到拉梅的解答如下:
(15)从图6(c)可以看出,胶内聚体界面AD、DC、CB均受有
的正应力,
也相当小,而AB面是一个自由面,其上并没有受力,且由式(15),将r=db、r=da分别代入,可以得到
、
的量值非常小,胶内聚体内的
和
对胶内聚体的剪切变形几乎没有作用,可忽略其影响。
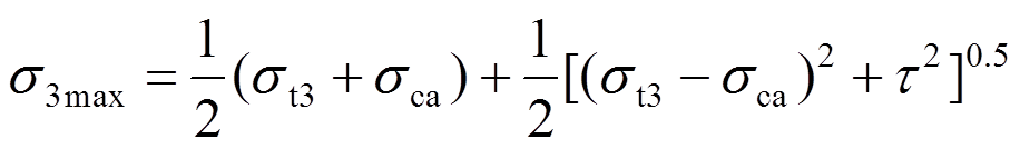
槽边混凝土受到胶粘剂传来的剪应力和正应力,如图6(d)、图7(a)所示,混凝土点1、点3(点2)的应力状态如图7(b)、图7(c)所示,
为梁中混凝土受到的轴向拉应力,其值为
,
、
为槽内胶粘剂对混凝土槽边的剪应力,
、
为胶粘剂与混凝土界面上的正应力
,点1的最大、最小主应力为:



(16)
图7 混凝土槽边应力状态
Fig.7 Stress state of concrete at groove edges
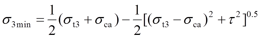
同样点3(点2)处的最大、最小主应力为:


点1和点3相比,显然点3处应先发生破坏。若混凝土的抗拉强度为fct,则当
≥fct时,混凝土就会发生开裂,由于槽边混凝土沿梁的轴向受拉同时受胶粘剂传来的表明剪应力,而剪应力在混凝土中的传递影响深度仅5 mm[19],混凝土剥离破坏就会在比邻界面的混凝土中发生,混凝土强度尤其是抗拉强度将会显著影响界面粘结性能与剥离承载力,主导界面破坏性能。
试验共制作了11根混凝土梁[23],3根梁为对比梁,和本文相关的试验梁为8根宽缺口梁。宽缺口梁的缺口布置及试验方案如图4所示,其中4根梁各内嵌1根CFRP筋(NSM1K系列)梁,4根梁各内嵌2根CFRP筋(NSM2K系列)梁。试验时梁的跨度l=2300 mm。四点弯加载。通过试验对加固混凝土梁进行强度、刚度、抗裂性能的量测及界面特性研究。用电阻应变片来量测应变,用百分表量测挠度,用显微裂缝仪来观察描绘裂缝大小及其发展,用千分表量测滑移量。
通过上述试验,可以很精确地测得外露在宽缺口处的CFRP筋的应变
的大小,可以得到CFRP筋在l1段的平均剪应力
。在测得
和
后,可由式(9)算得l1段的平均剪应力的理论值
,试验值与理论值的比较如表1所示。由表1可知,理论值和实验值吻合较好。
表1 CFRP筋界面平均剪应力对比
Table 1 Compared to interface of average shear stress with CFRP bars

梁编号极限荷载/kN试验实测值理论值/MPa实测值/MPa /(×10-6)/MPa/mm NSM1K114089942.64410.6682.3461.1274.769 NSM1K214098052.88312.8121.9051.5134.443 NSM1K313091782.69811.9882.7180.9934.674 NSM1K414098952.90913.0012.9530.9854.826 NSM2K118095392.80412.8842.9500.9518.726 NSM2K218099272.91912.9432.9330.9954.423 NSM2K315083282.44911.1142.5360.9664.014 NSM2K418085282.50712.0012.7800.9024.504
通过内嵌CFRP筋加固宽缺口混凝土梁中,其组分材料CFRP筋、胶粘剂和混凝土的内力分析,并与试验结果相比较,取得了如下初步研究结论:
(1) 碳纤维增强塑料筋的受力相当于外表受到剪应力和正应力的圆柱体,剪应力靠胶结力提供。筋表面的平均剪应力可以通过宽缺口混凝土梁中CFRP筋外露部分的应变片实测得到,内力分析得到的界面平均剪应力与试验结果吻合较好。由对式(15)的分析看,筋表面正应力的作用可以忽略。
(2) 由于CFRP筋的轴向受力是由表面剪应力来提供,其横截面上的正应力在筋的长度方向成幂指数分布,沿筋截面径向分布不均匀,这导致其横截面中心的变形滞后于筋边缘的变形。
(3) 槽内的胶粘剂凝固后相当于一个断面内圆外方的柱体,其受力可以假定为近似的厚壁圆筒,由内力分析可知,胶粘剂的切向和径向应力对胶体的剪切变形几乎没有影响。
(4) 剪应力是碳纤维增强塑料筋-胶粘剂-混凝土界面的粘结应力的主体,由内嵌加固宽缺口混凝土梁破坏试验可直接获取界面的剥离承载力。按混凝土槽边的应力状态看,界面剥离破坏在比邻界面的混凝土中发生,混凝土抗拉强度将显著影响界面粘结性能与剥离承载力。
参考文献:
[1] Ying Wu, Zhou Yufei, Wu Yanchun, et al. Analytical modeling of the bond–slip relationship at FRP-concrete interfaces for adhesively-bonded joints [J]. Composites Part B: Engineering, 2010, 41(6): 667―672.
[2] 杜修力, 金浏. 考虑过渡区界面影响的混凝土宏观力学性质研究[J]. 工程力学, 2012, 29(12): 72―79.
Du Xiuli, Jin Liu. Research on the influence of interfacial transition zone on the macro-mechanical properties of concrete [J]. Engineering Mechanics, 2012, 29(12): 72―79. (in Chinese)
[3] 陈光明, 刘迪, 李云雷, 等. 抗剪加固FRP与混凝土界面粘结性能的试验研究[J]. 工程力学, 2015, 32(7): 164―175.
Chen Guangming, Liu Di, Li Yunlei, et al. Bond behavior between shear strengthening ERP and concrete: An experimental study [J]. Engineering Mechanics, 2015, 32(7): 164―175. (in Chinese)
[4] 李可, 曹双寅, 潘毅, 等. FRP-混凝土界面黏结性能疲劳试验方案比选分析[J]. 土木工程学报, 2013, 46 (S2): 185―189.
Li Ke, Cao Shuangyin, Pan Yi, et al. Fatigue test program selection for FRP-to-concrete interfacial bonding properties [J]. China Civil Engineering Journal, 2013, 46(Suppl 2): 185―189. (in Chinese)
[5] 何小兵, 严波, 申强. GFRP/CFRP-混凝土界面剪切性能[J]. 建筑材料学报, 2013, 16(6): 1004―1011.
He Xiaobing, Yan Bo, Shen Qiang. GFRP/CFRP composite and concrete interfacial shear performance of interplay hybrid [J]. Journal of Building Materials, 2013, 16(6): 1004―1011. (in Chinese)
[6] 叶苏荣, 孙延华, 熊光晶. 基于”梁段”模型的FRP加固混凝土梁端界面剥离破坏分析[J]. 工程力学, 2012, 29(2): 101―106, 113.
Ye Surong, Sun Yanhua, Xiong Guangjing. Analysis on end debonding failure of FRP strengthened RC beams based on a “beam segment” model [J]. Engineering Mechanics, 2012, 29(2): 101―106, 113. (in Chinese)
[7] 徐涛, 唐春安, 张永彬, 等. FRP-混凝土界面剥离破坏过程并行数值模拟[J]. 固体力学学报, 2011, 32(1): 88―94.
Xu Tao, Tang Chunan, Zhang Yongbin, et al. Parallel simulation of FRP-concrete debonding failure process [J]. Chinese Journal of Solid Mechanics, 2011, 32(1): 88―94. (in Chinese)
[8] 郭诗惠. 孔搏, 蔡春声, 等. GFRP-混凝土组合板界面抗剪连接性能的试验研究[J]. 工程力学, 2017, 34(2): 216―225.
Guo Shihui, Kong Bo, Cai Chunsheng, et al. Experimental study on the interface behavior of GFRP- concrete composite deck [J]. Engineering Mechanics, 2017, 34(2): 216―225. (in Chinese)
[9] 陈俊敏. 表层嵌贴CFRP板条—混凝土界面粘结性能的研究[D]. 长沙: 长沙理工大学, 2012.
Chen Junmin. Study of the bond performance between CFRP strips and concrete in NSM reinforcement [D]. Changsha: Changsha University of Science & Technology, 2012. (in Chinese)
[10] 史晓宇, 陈世鸣, 裘子豪. 组合板剪切-粘结机理及承载能力试验[J]. 同济大学学报(自然科学版), 2012, 40(5): 666―672.
Shi Xiaoyu, Chen Shiming, Qiu Zihao. Experiment investigation on shear bond mechanism and strength of composite slabs with steel profiles [J]. Journal of Tongji University (Natural Science), 2012, 40(5): 666―672. (in Chinese)
[11] Hee Young Lee, Woo Tai Jung, Wonseok Chung. Flexural strengthening of reinforced concrete beams with pre-stressed near surface mounted CFRP systems [J]. Composite Structures, 2017, 3(163): 1―12.
[12] 张拓. GFRP复合钢筋混凝土梁界面剪切破坏形式与规律[D]. 重庆: 重庆交通大学, 2013.
Zhang Tuo. Study on interface shear failure forms and rules of GFRP reinforced concrete compound beam [D]. Chongqing: Chongqing Jiaotong University, 2013. (in Chinese)
[13] Shi Jiawei, Zhu Hong, Wu Zhishen, et al. Bond behavior between basalt fiber-reinforced polymer sheet and concrete substrate under the coupled effects of freeze-thaw cycling and sustained load [J]. Journal of Composites for Construction, 2013,17(4): 530―542.
[14] Nakaba K, Toshiyuki K, Tomoki F, et al. Bond behavior between fiber-reinforced polymer laminates and concrete [J]. ACI Structural Journal, 2001, 98(3): 359―367.
[15] Ueda T, DaiJ G, Sato Y. A nonlinear bond stress-slip relationship for FRP sheet-concrete interface [C]. International Symposium on Latest Achievement of Technology and Research on Retrofitting Concrete Structures, Kyoto, Japan, 2003(113): 113―120.
[16] 任振华. 碳纤维增强材料加固π型混凝土梁应变协调关系及界面特性研究[D]: 南京: 河海大学, 2012.
Ren Zhenhua. Research on relationship of strain coordination and interface properties for π RC beam strengthened with carbon fiber reinforced plastic [D]. Nanjing: Hohai University, 2012. (in Chinese)
[17] 任振华, 曾宪桃, 刘汉龙, 等. 复合内嵌筋材加固混凝土梁破坏模式分析[J]. 防灾减灾工程学报, 2012, 32(6): 657―664.
Ren Zhenhua, Zeng Xiantao, Liu Hanlong, et al. The failure modes of reinforced concrete beams strengthened with multiple near-surface mounted bar [J]. Journal of Disaster Prevention and Mitigation Engineering, 2012, 32(6): 657―664. (in Chinese)
[18] 吴以莉, 姚谏, 朱晓旭. 内嵌CFRP加固混凝土梁粘结性能试验分析[J]. 建筑技术, 2010, 41(5): 454―456.
WuYili, Yao Jian, Zhu Xiaoxu. Analysis on bonding performance test of mound CFRP strengthened concrete beam [J]. Architecture Technology , 2010, 41 (5): 454―456. (in Chinese)
[19] 陆新征. FRP-混凝土界面行为研究[D]. 北京: 清华大学, 2004.
Lu Xinzheng. Studies on FRP-concrete interface [D]. Beijing: Tsinghua University, 2004. (in Chinese)
[20] 康红普, 崔千里, 胡滨, 等. 树脂锚杆锚固性能及影响因素分析[J]. 煤炭学报, 2014, 39(1): 1―10.
Kang Hongpu, Cui Qianli, Hu Bin, et al. Analysis on anchorage performances and affecting factors of resin bolts [J]. Journal of China Coal Society, 2014, 39(1): 1―10. (in Chinese)
[21] 李青锋, 易厚, 朱川曲. 树脂锚杆锚固段剪应力分布及其损伤模式分析[J]. 湖南科技大学学报, 2016, 31(1): 12―18.
Li Qingfeng, Yi Hou, Zhu Chuanqu. Distribution of shear stress on resin bolt of anchoring rods and its damage model analysis [J]. Journal of Hunan University of Science & Technology (Natural Science Edition), 2016, 31(1): 12―18. (in Chinese)
[22] 徐芝纶. 弹性力学[M]. 北京: 高等教育出版社, 2006: 9―35, 54―87.
Xu Zhilun. Theory of elasticity [M]. Beijing, Higher Education Press, 2006: 9―35, 54―87.(in Chinese)
[23] 任振华, 曾宪桃, 周丰峻. 内嵌CFRP筋加固混凝土梁桥界面特性研究的宽缺口梁法[J]. 中国公路学报, 2015, 28(7): 58―65.
Ren Zhenhua, Zeng Xiantao, Zhou Fengjun. Research on interface properties of concrete beam bridges strengthened with near-surface Mounted carbon fiber reinforced plastic bar by using wide-notch concrete beam method [J]. China Journal of Highway and Transport, 2015, 28(7): 58―65. (in Chinese)
INTERNAL FORCE ANALYSIS AND EXPERIMENTAL INVESTIGATIONS OF WIDE-GAP CONCRETE BEAMS STRENGTHENED WITH NEAR- SURFACE MOUNTED CARBON FIBER REINFORCED PLASTIC BARS
Abstract: The internal force analysis was made on three media of the carbon fiber reinforced plastic (CFRP) bar, adhesive and concrete and two interfaces including the CFRP to adhesive and concrete to adhesive interfaces of wide-gap beams strengthened with near-surface mounted carbon fiber reinforced plastic bars. The findings show that the shear stress is the main part of the stress in the CFRP bar-adhesive-concrete interfaces. It is more convenient to obtain the interface strength by destruction tests of wide-gap concrete beams strengthened with near-surface mounted (NSM) CFRP bars. A CFRP bar under forces is equivalent to a cylinder that bears shear stress and normal stress on the surface. The shear stress was provided by the bonding force, and the effects of normal stress can be ignored. The average shear stress on the surface of a CFRP bar can be obtained by strain gages in the wide gap. The analysis results are in good agreement with the experimental results. The distribution of cross-sectional normal stress of the carbon fiber reinforced plastic bar is non-uniform and exhibits a power distribution along the length, which leads to certain differences about the deformation between the center and the edge of the cross section of the CFRP bar. The adhesive cohesive body after solidification inside the groove is a column section circle that can be approximately assumed as a thick wall cylinder. The glue cohesion in the tangential and radial stress has almost no effect on the shear deformation of the adhesive cohesive body. Interfacial debonding damage occurred in the concrete near the interface. The concrete strength will significantly affect the performance and the peel bond strength.
Key words: near-surface mounted; carbon fiber reinforced plastic bar; strengthening; wide-gap concrete beam; internal force; experimental investigation
文章编号:1000-4750(2019)04-0117-08
中图分类号:TU375.1
文献标志码:A
doi:10.6052/j.issn.1000-4750.2018.01.0084
收稿日期:2018-01-29;
修改日期:2018-07-21
基金项目:国家自然科学基金项目(51478346);湖南省自然科学基金项目(2017JJ4016);湖南省教育厅重点项目(16A050);湖南省自然科学基金项目(2018JJ4042);中国博士后基金项目(2016M591707)
孙浚博(1992―),男,江苏连云港人,博士生,主要从事混凝土加固及混凝土3D打印技术研究(E-mail: 835357191@qq.com).