摘 要:为建立部分预制装配型钢混凝土(PPSRC)构件的抗剪承载力计算公式,该文设计并进行了7个试件的静力加载试验,考虑了剪跨比、现浇混凝土强度和截面形式三个变化参数对PPSRC构件抗剪性能的影响。通过分析试件的破坏过程、剪力-位移曲线和剪力-应变曲线,对PPSRC构件的破坏机理和抗剪承载力进行研究。基于试验结果,分析了预制装配型钢混凝土构件抗剪承载力的主要影响因素,依据叠加原理提出了部分预制装配型钢混凝土构件斜截面抗剪承载力计算公式。试验结果表明:部分预制装配型钢混凝土构件斜截面破坏形态有斜压破坏和剪压破坏两种形式,预制混凝土和现浇混凝土的协同工作良好;提出的抗剪承载力计算公式可为部分预制装配型钢混凝土构件的设计提供一定的基础。
关键词:预制装配式结构;型钢混凝土柱;静力试验;抗剪性能;抗剪承载力
部分预制装配型钢混凝土(PPSRC)构件是结合型钢混凝土结构[1―5]和预制装配结构[6―7]的特点提出的一种新型构件形式。相比传统的型钢混凝土构件,避免了现场绑扎钢筋、支模板、拆模板等作业,有效简化了现场施工工序、缩短了施工周期、降低了施工能耗[8―9],符合我国大力提倡的绿色建筑理念。
文献[10―11]对部分预制装配型钢混凝土梁的受弯和受剪性能进行了试验研究,结果表明,部分预制装配型钢混凝土梁的预制部分与现浇混凝土的共同工作性能良好,其受力性能和全现浇梁无明显差异。在此基础上,作者提出一种新型的预制装配型钢混凝土柱制作思路,即:首先在工厂加工预制高强混凝土外壳,该高强混凝土外壳包括外围混凝土、纵筋、横向箍筋以及内部型钢。内部空腔模板可采用容易拆卸、可重复使用的充气橡胶内模,使预制外壳的施工进一步简化。其次,待预制外壳达到一定的强度,将其运输至工地安装后再浇筑内部混凝土,形成完整的PPSRC柱。此构件形式解决了预制装配型钢混凝土柱吊装困难和整体性难以保证的缺陷。在PPSRC柱中,预制外壳可选用耐久性好的高强高性能混凝土[12],核心混凝土可选用普通混凝土或者设计为空心截面。
为了研究部分预制装配型钢混凝土柱抗剪承载能力各部分贡献和轴压力的影响,本课题组首先研究部分预制装配型钢混凝土构件截面在无轴力作用下的抗剪承载力,然后再开展不同轴压比下的抗剪承载能力试验研究,采用这种两阶段研究方法,并结合后续的轴力作用下的试验研究结果,得到轴力对抗剪承载能力影响规律,进一步建立有轴力下构件斜截面抗剪承载能力计算公式,用于柱截面抗剪承载能力计算。本文主要针对第一阶段即无轴力下PPSRC构件的斜截面抗剪承载力进行研究。试验中设计了5根实心和2根空心PPSRC构件,主要探究了剪跨比、现浇混凝土强度和截面形式(实心和空心)对PPSRC构件抗剪性能的影响,分析了PPSRC构件的破坏方式、变形能力以及材料应力应变关系,最终基于叠加原理建立了适用于PPSRC构件的抗剪承载力计算公式。
试验设计并制作了7个PPSRC试件,包含5个实心试件和2个空心试件,其中PPSRC-1~ PPSRC-5为实心试件,PPSRC-6~PPSRC-7为空心试件。PPSRC构件截面尺寸为350 mm×350 mm,纵筋采用8根直径为32 mm的PSB1080钢筋,箍筋选用直径为8 mm的HPB300矩形螺旋箍,间距为65mm,混凝土保护层厚度为15mm。内部型钢由2根HN175 mm× 90 mm×5 mm×8 mm的Q235轧制型钢焊接成十字形,预制外壳厚度87.5 mm。试验主要研究参数如表1所示。
试验中,由于剪跨比和加载方式(单点跨中加载和双点对称加载)的不同,在试件制作时试件长度不同。外部预制混凝土和内部现浇混凝土采用不同的混凝土强度,外部预制混凝土采用设计强度等级为C90的高强混凝土,内部现浇混凝土设计强度等级为C20、C50和C90。为保证新旧混凝土之间的纵向共同工作性能,在构件两端型钢翼缘各交叉布置M8.8高强螺栓并根据EC4中高强螺栓抗剪承载能力进行设计计算。试件的截面尺寸和预制外壳分别如图1(a)和图1(b)所示。
表1 试件主要参数
Table 1 Main parameters of specimens

试件编号截面尺寸/ (mm×mm)长度l /mm剪跨段长度a /mm截面有效高度h0 /mm剪跨比λfcu,o/MPafcu,i /MPa加载方式型钢截面 PPSRC-1350×35013703203201.0104.6121.2两点对称加载十字型钢带花纹封板 PPSRC-2350×35017504803201.5104.6121.2两点对称加载 PPSRC-3350×35021306403202.0104.6121.2两点对称加载 PPSRC-4350×35013704803201.5104.6144.6单点跨中加载 PPSRC-5350×35013704803201.5104.61104.61单点跨中加载 PPSRC-6350×35013704803201.5104.61—两点对称加载 PPSRC-7350×35021304803202.0104.61—两点对称加载

(a) 截面尺寸

(b) 预制外壳
图1 试件截面构造和尺寸 /mm
Fig.1 Details and dimensions of specimen
试验中纵筋采用直径为32 mm的PSB1080钢筋,箍筋采用直径8 mm的HPB300钢筋。型钢强度等级为Q235,规格为HN175×90×5×8。钢筋和型钢的力学性能如表2所示,混凝土的力学性能见 表1。
表2 钢材力学性能
Table 2 Mechanical properties of steel

钢材类型屈服强度fy/MPa抗拉强度fu/MPa弹性模量Es/GPa AT3211031211207 A8416520206 型钢翼缘312438205 型钢腹板273520205
所有试件制作分为两个步骤:第一,在预制工厂加工预制高强混凝土外壳,该高强混凝土外壳包括外围混凝土、纵筋、横向箍筋以及内部型钢,如图1(b)所示。为了达到免内模的目的,试验中采用四块3mm厚的花纹钢板与型钢翼缘焊接,充当内模,不考虑其对试件抗剪性能的影响。在工程应用中,内部空腔模板可采用容易拆卸、可重复使用的充气橡胶内模,使预制外壳的施工进一步简化。第二,待预制外壳达到一定的强度,将其运输至工地安装后再浇筑内部混凝土,形成完整的PPSRC构件。空心试件则只需制作预制外壳,不用浇筑内部混凝土。
本次试验在西安理工大学结构实验室5000 kN压力试验机上进行,采用单调静力加载。为确保柱受力均匀,试验中在试件加载点处铺一层细沙。试件分别采用两点对称加载和单点跨中加载,加载方式采用位移控制,峰值荷载前加载速率为0.3 mm/min,峰值荷载后改为0.5 mm/min。试验加载装置和位移计的布置如图2所示,型钢腹板、箍筋和纵筋的应变片布置如图3所示。

(a) 加载装置

(b) 位移计和混凝土应变片的布置
图2 试验加载示意图
Fig.2 Diagram of test setup

1—型钢应变花;2—箍筋应变片;3—纵筋应变片
图3 试件应变片布置
Fig.3 Layout of strain gauges of specimens
试验中所有试件均发生剪切破坏,新旧混凝土之间未出现粘结滑移、界面撕裂等破坏,表明预制外壳混凝土与核心混凝土的协同工作性能良好。其中剪跨比为1.0的试件PPSRC-1发生斜压破坏,其他试件均发生剪压破坏,其典型破坏形态如图4所示。
斜压破坏主要表现为斜裂缝首先出现在试件的腹部,纯弯段竖向裂缝在斜裂缝之后相继出现。随着荷载的增加,剪跨段有新的平行斜裂缝产生,斜裂缝间混凝土形成斜向小柱体。达到峰值荷载时,混凝土小柱体被压碎,但试件的剪力-位移曲线在峰值荷载后没有出现明显的下降段,表明型钢在混凝土被压溃之后仍继续承担荷载,试件表现出明显的延性破坏特征。
剪压破坏的试件在加载初期(0 Pu~0.28 Pu),首先在纯弯段出现竖向裂缝,随后在剪跨段出现腹剪斜裂缝。当荷载达到0.70 Pu~0.85 Pu时,剪跨段临界斜裂缝形成,并逐渐向加载点延伸,剪压区高度不断减小,剪压区混凝土在复合受力状态下发生破坏。达到峰值荷载后,所有试件的剪力-位移曲线下降段较为平缓,承载力缓慢下降,表明试件具有良好的变形能力,最终由于斜裂缝达到一定宽度而不能继续承担荷载,试验结束。

图4 试件典型破坏形态
Fig.4 Typical failure patterns of specimens
图5为试验实测的剪力-位移曲线,表3列出了各试件的开裂荷载、峰值荷载和破坏形态。由图5可以看出,所有试件均有较好的变形能力,同时,试件的受剪承载力和初始刚度随剪跨比的增加而降低。在峰值荷载的80%以前,所有试件的位移和荷载基本呈线性关系,随着荷载的增加,型钢和箍筋开始屈服,试件位移增长加快,曲线表现出明显的非线性。峰值荷载之后,所有试件的剪力-位移曲线均有一较长水平段,相比钢筋混凝土构件,型钢混凝土构件具有较好的后期变形能力,表明型钢的存在对混凝土裂缝的开展起着一定的抑制作用,使得PPSRC构件的变形能力显著提高。

图5 试件荷载-位移关系曲线
Fig. 5 Load-slip curves of specimens
表3 试验主要结果
Table 3 Main test results

试件编号Pcr/kNPu/kN破坏形态 PPSRC-18844110斜压破坏 PPSRC-27522892剪压破坏 PPSRC-33922308剪压破坏 PPSRC-48243050剪压破坏 PPSRC-510243630剪压破坏 PPSRC-66282918剪压破坏 PPSRC-72722248剪压破坏
图6(a)和图6(b)分别为箍筋应变和型钢腹板剪应变与试件荷载的关系曲线,由图6可以看出,不论斜压破坏还是剪压破坏,箍筋和型钢腹板均已屈服。同时,在斜裂缝出现之前,型钢剪应变和箍筋应变都很小,剪力主要由混凝土承担。随着荷载的逐渐增加,斜裂缝出现,截面剪应力重分布,混凝土将其承担的大部分剪力转移向与之相交的箍筋和型钢,此时箍筋应变与型钢腹板应变急剧增加,当裂缝处混凝土退出工作后,试件剪力主要由型钢腹板与箍筋承担。但是,同级荷载下型钢腹板的应变远高于箍筋应变,故型钢腹板先于箍筋屈服,且对抗剪贡献大于箍筋。

(a) 荷载-箍筋应变曲线

(b) 荷载-型钢腹板剪应变曲线
图6 试件荷载-应变关系曲线
Fig.6 Load-strain curves of specimens
实心PPSRC构件和空心PPSRC构件的抗剪承载力对比如图7所示。试件PPSRC-3和PPSRC-7的抗剪承载力分别为1154 kN和1124 kN,当剪跨比和截面尺寸均相同时,空心试件的抗剪承载力比实心试件低3%。试件PPSRC-6和PPSRC-2、PPSRC-4、PPSRC-5的受剪承载力分别相差1%、5%和24%。对比发现,当试件内部混凝土强度越高,空心PPSRC构件和实心PPSRC构件的抗剪承载力相差越大,可见内部混凝土对PPSRC构件的抗剪承载力具有较大贡献。

图7 实心构件和空心构件的对比
Fig.7 Comparison of the solid and hollow PPSRC members
剪跨比分别为1.0、1.5和2.0的实心试件PPSRC-1、PPSRC-2和PPSRC-3材料强度和截面尺寸均相同,其抗剪承载力分别为2055 kN、1446 kN和1154 kN。由图8可见,剪跨比对试件的抗剪承载力影响显著,抗剪承载力随剪跨比的增加而降低。空心试件PPSRC-6和PPSRC-7也表现出同样的规律。

图8 剪力和剪跨比的关系曲线
Fig.8 Shear force vs. shear span aspect ratio curves
试验中PPSRC构件预制外壳采用高强混凝土,而内部混凝土强度却有差异。试件PPSRC-2、




PPSRC-4和PPSRC-5的剪跨比均为1.5,内部现浇混凝土抗压强度分别为21.2 MPa、44.6 MPa和104.61 MPa,与其相对应的抗剪承载力分别为1446 kN、1525 kN和1815 kN,表明PPSRC构件的抗剪承载力随现浇混凝土强度的提高而增加,但是试件抗剪承载力增长幅度远小于混凝土强度增长幅度。
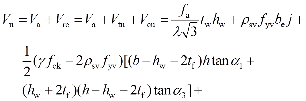
目前,关于型钢混凝土构件的斜截面抗剪承载力存在多种计算方法,本文结合YB 9083―2006《钢骨混凝土结构设计规程》[13],采用叠加法对PPSRC构件斜截面承载力进行计算,即PPSRC构件的抗剪承载力由型钢抗剪承载力和钢筋混凝土抗剪承载力组成,即:
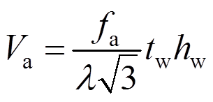
(1)式中:Vu为试件的抗剪承载力;Va和Vrc分别为型钢和钢筋混凝土的抗剪承载力。
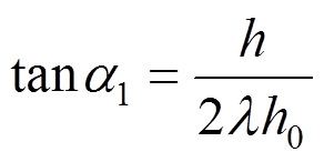
文献[14]指出,梁柱构件弯矩主要由型钢翼缘承担,而剪力和压力主要由腹板承担。文中近似假定型钢腹板全截面处于纯剪状态,同时考虑剪跨比的影响,则型钢腹板的受剪承载力为:
(2)式中:
为腹板厚度;hw为腹板高度;fa为型钢腹板屈服强度。
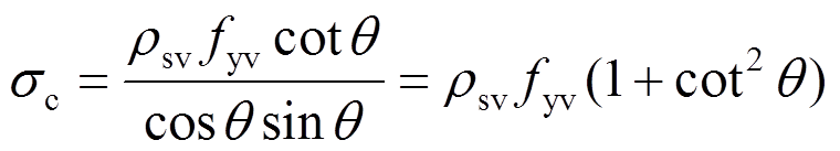
钢筋混凝土部分的抗剪承载力根据桁架-拱理论分析,其理论基础是在箍筋屈服前,各构件之间的关系可理想得视为桁架模型,箍筋屈服之后,混凝土部分对试件抗剪承载力的贡献可按拱模型来计算。
桁架模型认为构件的抗剪承载力由箍筋、纵筋和斜裂缝处的受压混凝土共同承担。下部纵筋为桁架受拉下弦杆,上部受压区混凝土为桁架的受压上弦杆,箍筋为受拉竖杆,裂缝间混凝土为桁架受压斜腹杆,具体如图9所示,图中j为截面有效高度;θ为混凝土压杆的斜压角。

图9 桁架模型
Fig.9 Truss model
由图9可得,混凝土压杆的垂直分量为:
(3)当箍筋屈服时,受拉竖杆达到最大承载力:
(4)
试验中箍筋采用矩形螺旋箍,箍筋与垂直方向夹角为
,该角度很小,近似认为cos
=1,则箍筋的最大承载力为:
(5)由式(3)和式(5)可得混凝土的应力为:
(6)
在桁架模型中,θ不是一个确定的值,由欧洲CEB-FIP90模式规范可知,斜压角的取值一般为
6.6°≤θ≤45°,即
≤cot θ≤2。同样,ACI 318-08也建议框架梁柱的斜压角θ≥25°,GB 50010―2010中梁柱构件箍筋承担的剪力是按照桁架模型理论得到,其抗剪承载力计算公式的系数为1.0,即θ取45°。同时,如果斜压角θ过小会影响应力的传递,综合考虑,文中取cot θ=1。
在前文的桁架模型分析中,最理想的结果是箍筋屈服时,混凝土也恰好达到fc,即混凝土斜压杆和箍筋受拉竖杆同时达到最大承载力。但在实际情况中,往往箍筋达到屈服时,混凝土未达到其抗压强度,还有富余强度,用σa来表示拱模型中混凝土的强度,即σa=fck-σc。拱模型中混凝土的剪力传递机制如图10所示。由于开裂混凝土受到与受压方向垂直的较大拉应力,相比单轴受压状态,混凝土的强度会有所降低[15],因此引入混凝土软化系数γ,则斜压带混凝土达到极限状态时的抗压强度为σa=γfck-σc。关于软化系数的取值,各国规范不尽相同。本文根据文献[16―17]以及考虑圆柱体抗压强度和棱柱体抗压强度之间的关系,取γ=0.6。

图10 拱模型简化图
Fig.10 Simplified diagram of arch model
由图10的平衡条件可得到拱模型中混凝土的抗剪贡献为:
(7)
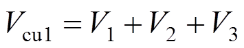
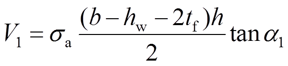
考虑到PPSRC柱中不同区域混凝土受到的约束不同,在此将混凝土划分为三个板块,即型钢翼缘左右两侧、型钢内部以及翼缘上下两侧,这三个板块混凝土拱模型剪力传递机制可分别简化为图11(a)、图11(b)、图11(c)。

图11 PPSRC构件混凝土部分拱模型示意图
Fig.11 Arch model graph of concrete in PPSRC member
根据图11采用拱模型对PPSRC构件三部分混凝土进行分析,型钢翼缘左右两侧混凝土拱模型抗剪承载力可记为:
(8)型钢内部混凝土的抗剪承载力为:
(9)
考虑到型钢翼缘对内部混凝土的约束作用,这里不考虑混凝土的软化系数,即γ=1。
型钢翼缘上下两侧混凝土的抗剪承载力为:
(10)将上述三部分混凝土抗剪承载力叠加可得到混凝土对实心PPSRC构件的抗剪贡献Vcu1:
(11)
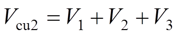
混凝土对空心PPSRC构件的抗剪贡献为Vcu2:
(12)
因此,PPSRC构件的抗剪承载力由型钢和钢筋混凝土两部分的承载力叠加得到,即:

(13)
式中:
;
;
。
通过式(13)得到的计算结果见表4,同时选取YB 9082―2006《钢骨混凝土结构技术规程》[13]、JGJ 138―2016《组合结构设计规范》[18]分别对文中试件的承载力接进行计算。由表4可以看出,规程和规范得到的计算结果都偏于保守,与试验值相差较大。因此,建议采用公式(13)计算PPSRC柱的抗剪承载力。
表4 试验结果和计算结果的对比
Table 4 Comparison of test results and calculated results

试件编号Vc1/kNVc2/kNVup/kNVu/kNVc1/VuVc2/VuVup/Vu PPSRC-19251029171220550.450.500.83 PPSRC-2762914125814460.530.630.87 PPSRC-3661838103111540.570.730.89 PPSRC-4777929132215250.510.610.87 PPSRC-5806958148818150.440.530.82 PPSRC-6732884121014590.500.610.83 PPSRC-763681299511240.570.720.89 平均值0.510.620.86 变异系数0.080.110.03
注:Vc1是根据《组合结构设计规范》计算的结果;Vc2是根据《钢骨混凝土结构技术规程》计算的结果;Vup是根据本文式(13)计算的结果;Vu是试验值。
(1) PPSRC构件预制混凝土和现浇混凝土之间未出现粘结滑移、界面撕裂等现象,两者之间共同工作性能良好,故本文提出的新型截面形式和连接方式可行。
(2) 在静力受剪过程中,实心和空心PPSRC构件的破坏形态类似,所有试件均发生剪切破坏,剪跨比小于1的试件发生斜压破坏,剪跨比在1.5~2.0之间的试件发生剪压破坏;由于内部型钢的作用,所有试件在破坏时均表现出明显的延性特征。
(3) PPSRC构件的抗剪承载能力随剪跨比的增大而减小,当剪跨比为1.0~2.0时,PPSRC构件的斜截面抗剪承载力随现浇混凝土强度的提高而增大。对比空心试件比实心试件的抗剪承载力发现内部混凝土对PPSRC构件的抗剪承载能力具有较大贡献。
(4) 在试验基础上,依据叠加理论提出了PPSRC构件的抗剪承载力计算公式,该公式考虑了不同区域混凝土对构件抗剪承载力的贡献。按该式得到的计算值与试验值的平均值为0.86,变异系数为0.03,与试验值吻合较好,该公式可为下一步开展有轴力作用下PPSRC柱的抗剪承载力计算奠定一定的基础。
参考文献:
[1] Hajjar J F. Composite steel and concrete structural systems for seismic engineering [J]. Journal of Constructional Steel Research, 2008, 58(5―8): 703―723.
[2] 杨勇, 郭子雄, 薛建阳, 等. 型钢混凝土粘结滑移性能试验研究[J]. 建筑结构学报, 2005, 26(4): 1―9.
Yang Yong, Guo Zixiong, Xue Jianyang, et al. Experiment study on bond slip behavior between section steel and concrete in SRC structures [J]. Journal of Building Structures, 2005, 26(4): 1―9. (in Chinese)
[3] 郑山锁, 胡义, 车顺利, 等. 型钢高强高性能混凝土梁抗剪承载力试验研究[J]. 工程力学, 2011, 28(3): 129―135.
Zheng Shansuo, Hu Yi, Che Shunli, et al. Experimental study on the shear capacity of SRSHPC beams [J]. Engineering Mechanics, 2011, 28(3): 129―135. (in Chinese)
[4] 刘祖强, 薛建阳, 韩琛, 等. 实腹式型钢混凝土T形柱抗震性能试验研究[J]. 工程力学, 2018, 35(5): 17―26.
Liu Zuqiang, Xue Jianyang, Han Chen, et al. Experimental study on seismic performance of solid steel reinforced concrete T-shaped column [J]. Engineering Mechanics, 2018, 35(5): 17―26. (in Chinese)
[5] 王妮, 陈宗平, 陈宇良. 型钢混凝土L形柱空间角节点抗震性能分析[J]. 工程力学, 2018, 35(5): 180―192.
Wang Ni, Chen Zongping, Chen Yuliang. Analysis on seismic performance of steel reinforced concrete L-shaped column space corner joints. [J]. Engineering Mechanics, 2018, 35(5): 180―192. (in Chinese)
[6] 姜效亭. 装配式型钢混凝土柱连接处抗震性能研究与应用[D]. 合肥: 安徽建筑大学, 2016.
Jiang Xiaoting. Prefabricated steel reinforced concrete column joints seismic performance research and application [D]. Hefei: Anhui Jianzhu University, 2016. (in Chinese)
[7] 马宁. 预制装配型钢混凝土T型梁抗弯性能研究[D]. 西安: 西安建筑科技大学, 2015.
Ma Ning. Study on flexural behavior of prefabricated and assembly steel reinforced concrete T-beam [D]. Xi’an: Xi’an University of Architecture and Technology, 2015. (in Chinese)
[8] Hwang J H, Lee D H, Oh J Y, et al. Seismic performances of centrifugally-formed hollow-core precast columns with multi-interlocking spirals [J]. Steel & Composite Structure, 2016, 20(6): 1259―1274.
[9] Xiao C, Deng F, Chen T, et al. Experimental study on concrete-encased composite columns with separate steel sections [J]. Steel & Composite Structure, 2017, 23(4): 483―491.
[10] Yang Yong, Yu Yulong, Guo Yuxiang, et al. Experimental study on shear performance of partially precast Castellated Steel Reinforced Concrete (CPSRC) beams [J]. Steel & Composite Structures, 2016, 21(2): 289―302.
[11] Yang Yong, Xue Yicong, Yu Yunlong, et al. Experimental study on flexural performance of partially precast steel reinforced concrete beams [J]. Journal of Constructional Steel Research, 2017, 133: 192―201.
[12] 聂建国, 王洪全, 谭英, 等. 钢-高强混凝土组合梁的试验研究[J]. 建筑结构学报, 2004, 25(1): 58―62.
Nie Jianguo, Wang Hongquan, Tan Ying, et al. Expermental study on composite steel-HSC beams [J]. Journal of Building Structures, 2004, 25(1): 58―62. (in Chinese)
[13] YB 9083―2006, 钢骨混凝土结构设计规程[S]. 北京: 冶金工业出版社, 2006.
YB 9083―2006, Specification for design of steel-reinforced concrete structures [S]. Beijing: Metallurgical Industry Press, 2006. (in Chinese)
[14] 赵鸿铁. 钢与混凝土组合结构[M]. 北京: 科学出版社, 2001.
Zhao Hongtie. Steel-concrete composite structure [M]. Beijing: Science Press, 2001. (in Chinese)
[15] Hwang S J, Lu W Y, Lee H J. Sheer strength prediction for reinforced concrete corbels [J]. ACI Structural Journal, 2000, 97(4): 543―552.
[16] ACI 318, Building code requirements for structural concrete and commentary [S]. Farmington Hill, MI USA: American Concrete Institute, 2011.
[17] 张士前, 陈宗平, 王妮, 等. 型钢混凝土十形柱空间节点受剪机理及抗剪强度研究[J]. 土木工程学报, 2014, 47(9): 84―93.
Zhang Shiqian, Chen Zongping, Wang Ni, et al. Shear mechanism and shear strength of steel reinforced concrete (SRC) cross-shape 3D column-beam joints [J]. Journal of Civil Engineering, 2014, 47(9): 84―93. (in Chinese)
[18] JGJ 138―2016, 组合结构设计规范[S]. 北京: 中国建筑工业出版社, 2016.
JGJ 138―2016, Code for design of composite structures [S]. Beijing: China Architecture Industry Press, 2016. (in Chinese)
EXPERIMENTAL STUDY ON THE OBLIQUE SECTION SHEAR CAPACITY OF PARTIALLY PREFABRICATED STEEL REINFORCED CONCRETE (PPSRC) MEMBERS
Abstract: To study the shear capacity of partially prefabricated steel reinforced concrete (PPSRC) members, static loading tests of seven PPSRC specimens were designed and carried out in this study. The effects of the shear span ratio, the strength of cast-in-place inner concrete, and the section shape on the shear behavior of the PPSRC members were investigated. Furthermore, the failure mechanism and shear capacity of PPSRC members were studied by analyzing the failure progress and the curves of shear force versus both displacement and strain. According to the test results, the main factors affecting the shear capacity of PPSRC members were analyzed, and the oblique section shear capacities of PPSRC members were proposed using the superposition method. The experimental results showed that the failure patterns of the oblique section of the PPSRC members included diagonal compression failure and shear compression failure. Moreover, prefabricated concrete and cast-in-place inner concrete of members combined completely. The formula for calculating the shear capacity lays a solid foundation for the design of PPSRC members.
Key words: prefabricated structure; steel reinforced concrete column; static test; shear performance; shear capacity
文章编号:1000-4750(2019)04-0109-08
中图分类号:TU398+.9
文献标志码:A
doi:10.6052/j.issn.1000-4750.2018.01.0071
收稿日期:2018-01-25;
修改日期:2018-06-28
基金项目:国家自然科学基金项目(51578443,51478287);国家重点研发计划项目(2016YFC0701400);陕西省自然科学基金项目(2015JM5187)
张锦涛(1992—),男,河南人,工学硕士,主要从事钢-混凝土组合结构受力性能及研究(E-mail: 798342498@qq.com);
林 冰(1968—),男,陕西人,教授级高级工程师,工学博士,主要从事钢-混凝土组合结构受力性能及研究 (E-mail: 394032421@qq.com);
于云龙(1989—),男,陕西人,工程师,工学博士,主要从事钢-混凝土组合结构受力性能及研究(E-mail: yyllyp126@sina.com).