摘 要:为进一步研究混合试验方法的有效性以及高强钢组合K形偏心支撑钢框架的抗震性能,建立了一套基于OpenFresco试验平台的混合试验系统,进行了一个1∶2缩尺的3层高强钢组合K形偏心支撑钢框架结构模型的混合试验。首先通过小工况的预加载研究试验系统的有效性,分析了试验子结构的位移加载精度,作动器加载时差。然后对试件进行正式的混合试验加载,分析了高强钢组合K形偏心支撑钢框架结构在不同工况下的自振频率、位移反应、水平地震作用、滞回性能以及关键部位应变。结果表明:作动器加载位移峰值与计算位移峰值比较接近,最大相对误差为13.60%,各工况下作动器平均每步的加载时差保持在20 ms左右;随着地震波加速度峰值的增大,模型的自振频率下降,刚度出现了一定的退化。各层的变形主要产生在消能梁段的腹板处,以剪切变形为主。模型结构在多遇地震和罕遇地震作用下的最大层间侧移角分别为1/1068和1/197,符合抗震设计规范对层间侧移角限值。综上,基于OpenFresco试验平台的混合试验系统能够较好的反应结构的地震响应,高强钢组合K形偏心支撑钢框架结构具有良好的抗震性能。
关键词:高强钢;偏心支撑;抗震性能;OpenFresco;混合试验
混合试验是随着拟动力试验[1]的发展以及通用有限元软件的开发应用而出现的一种新兴结构试验技术,它结合了实验室结构试验和有限元数值模拟两种结构抗震试验方法。相对于纯有限元模拟,混合试验中模型的刚度由试验实测得到,它能够记录结构真实的刚度变化;相对于拟静力试验,它能够揭示结构在实际地震荷载作用下的响应;相对于传统拟动力试验,使用有限元软件使建模更加方便,同时提高了动力方程的求解效率和精度;相对于振动台试验,它的试验操作更加简单,质量参数提前定义,不用担心配重不足引起结构地震响应失真。
为推动混合试验的研究与应用,国内外学者相继开展了试验平台建立,试验控制加载等研究工作。Stojadinovic等[2]与MTS公司合作,建立了开源混合试验平台OpenFresco。Chae等[3]将非线性有限元程序HybridFEM应用于Leigh RTMD加载设备,对带有磁流变阻尼器支撑的多层框架进行了混合试验研究。Pan等[4]开发了P2P分布式混合试验平台。郭玉荣等[5]开发了基于NetSLab的多自由度桥梁结构远程试验平台。郭珺等[6]研究了试件-加载系统相互作用对实时子结构试验系统的稳定性影响。王贞等[7-8]对实时混合试验中的时滞补偿方法进行了研究,并开发了混合试验平台HyTest。
高强钢组合偏心支撑钢框架结构体系将高强钢承载力高和偏心支撑结构抗震性能好的优势相结合,在大震作用下,采用屈服点较低钢材(如Q235、Q345)的消能梁段充分发展塑性耗散能量,而框架梁、柱等构件由于采用高强度钢材仍保持弹性或部分发展塑性。近年来,该种新型结构体系得到了学者们的广泛关注,Dubina等[9]进行了不同强度钢材组合K形偏心支撑框架结构的拟静力试验研究,其中消能梁段采用屈服点较低的S235钢材,其余构件均采用S355钢材,并对钢材组合情况进行了比较分析。段留省等[10]对高强钢组合K形偏心支撑钢框架平面试件进行单调加载和循环加载试验,以消能梁段长度为变化参数,对两类试件的破坏机理、刚度、滞回性能等抗震性能指标进行了分析研究。田小红等[11]对高强钢组合K形偏心支撑钢框架进行了振动台试验研究,分析了结构在水平地震作用下的动力特性、位移反应、加速度反应等。李慎等[12-14]对多层高强钢组合K形偏心支撑钢框架进行了低周往复加载试验,采用基于性能的抗震设计方法,研究了该结构体系弹塑性状态下的层剪力分布模式,并与普通钢偏心支撑钢框架的抗震性能进行了比较。
目前,多数混合试验仍以单自由度试件加载研究为主,同时考虑到高强钢组合偏心支撑钢框架的研究现状,提出了高强钢组合K形偏心支撑钢框架的多自由度混合加载试验研究。首先建立了一套由OpenSees有限元软件、混合试验平台OpenFresco和MTS电液伺服控制系统组成的混合试验系统,然后利用OpenFresco中的多节点多自由度通用试验单元来对一个3层高强钢组合K形偏心支撑钢框架进行数值定义,最后通过对试验模型进行预加载和正式加载来分别研究该混合试验系统的有效性以及高强钢组合K形偏心支撑钢框架的抗震性能。
本文所建立的混合试验系统如图1所示,主要包括用于数值建模的OpenSees有限元软件、混合试验平台OpenFresco和MTS电液伺服控制系统三部分,其中OpenSees与OpenFresco之间的通信使用TCP/IP协议,OpenFresco与MTS电液伺服控制系统之间采用MTS CSi (MTS Computer Simulation Interface Software)试验接口软件进行连接。在试验过程中,通过MTS CSi将OpenSees计算的位移命令施加给作动器,同时将作动器的反馈力、位移信号发送回OpenSees中,从而实现OpenSees与实验控制系统之间的信息交互。

图1 混合试验加载系统
Fig.1 Loading system of hybrid test
原型结构位于抗震设防烈度8度(0.2 g)区,设计地震分组为第二组,Ⅱ类场地,考虑到试验场地、设备性能等限制,将原型结构按1∶2缩尺比例得到3层高强钢组合K形偏心支撑钢框架的试验试件。如图2所示,缩尺后的结构层高为1800 mm,两个方向跨度为2825 mm,消能梁段长度为350 mm。框架柱截面为H145×145×8×10,框架梁截面为H140×100×8×10,消能梁段截面为H140×100×6×10,支撑截面为H100×100×6×10。混凝土楼板采用C30细石混凝土,厚度为80 mm,在各个框架梁和连系梁上翼缘腹板中心处每隔100 mm布置栓钉,以保证钢梁与现浇混凝土楼板可靠连接。模型材料与原型结构一致,框架梁、柱采用Q460C钢,消能梁段和支撑采用Q345B钢,钢材的力学性能参数见表1。

(a) 试件平面图

(b) 试件立面图
图2 试验模型示意图
Fig.2 Test model
表1 钢材力学性能
Table 1 Mechanical properties of steel

钢材厚度t/mm屈服强度fy/MPa极限强度fu/MPa弹性模量E/(×105 MPa)伸长率/(%) Q345B6415.8543.082..1128.36 Q345B10364.1546.502.0128.79 Q460C8473.9635.122.1225.48 Q460C10516.7692.362.0623.84
试验加载装置如图3所示,柱脚与地梁通过地脚螺栓相连,以实现柱脚固端约束的边界条件。模型的竖向荷载通过配重块实现,计算重力荷载代表值时,1层、2层考虑整体的填充墙荷载,3层考虑半层的填充墙荷载,恒荷载的组合值系数取为1,活荷载和雪荷载取为0.5。计算得到楼面配重和屋面配重分别为5.96 kN/m2和4.85 kN/m2,重力加速度g取9.8 m/s2。模型试件总重21.87 t,1层、2层重均为7.44 t,3层重6.99 t,配重总重为14.35 t。
采用三个MTS液压伺服作动器(1层、2层250 t,三层100 t)对试件进行三质点混合试验加载,作动器的一端固定在反力墙上,另一端与位于层高处的分配梁中部相连,通过控制作动器的位移(精度为0.001 mm)来控制试件整体加载过程,加载步长设置为0.3 s。

图3 试验加载装置
Fig.3 Loading setup
根据《建筑抗震设计规范》(GB 5011―2010) (2016年版) (以下简称《抗规》)[15]的相关规定,参考第2.1节中原型结构所在场地类别及地震分组,选取El Centro波、Taft 波、兰州波和汶川波为试验输入原始地震波,计算各地震波的加速度反应谱及平均值,并与规范设计反应谱比较如图4所示。由地震波的实际记录情况,El Centro波记录前10 s包含峰值以及特征段,因此地震波持时均取前10 s;Taft 波、兰州波和汶川波记录前20 s包含峰值以及特征段,因此地震波持时均取前20 s。调整四种地震波原始数据的时间间隔来考虑模型的时间相似关系。

图4 加速度反应谱
Fig.4 Acceleration response spectra
试验加载时按照加速度由小到大的顺序进行,各工况输入地震波的加速度相似比采用1.2∶1,各水准地震波输入顺序按照El Centro波、Taft 波、兰州波、汶川波的顺序进行,具体加载工况见表2。试验为地震波单向加载,试验开始及每一加载级结束之后,通过小位移加载得到每一级试验工况后试件的刚度。
表2 试验工况
Table 2 Sequence of hybrid test

工况类型工况号PGA/g El Centro波Taft波兰州波汶川波刚度测试 1 0.042(7度多遇)23456 0.084(8度多遇)7891011 0.120(7度设防)1213141516 0.168(9度多遇)1718192021 0.240(8度设防)2223242526 0.264(7度罕遇)2728293031 0.3603233343536 0.480(8度罕遇)3738394041 0.6124243444546 0.744(9度罕遇)4748495051
如图5所示,试件的整体侧向位移值、层间位移值和柱脚位移值均通过线位移传感器测量。试件的应变采用电阻应变计测量,应变片布置于消能梁段翼缘处(测点4、8、12),应变花布置于消能梁段腹板及柱脚与支撑节点腹板处(测点1~3、5~7、9~11)。

图5 测点布置
Fig.5 Instrumentation arrangement of test model
试验单元是OpenFresco中的一个重要组成模块,它可以用来表示OpenFresco软件系统中的试验结构部分,即在实验室做实际试验的试件。如图6所示,目前该模块已经嵌入到允许用户自定义单元类型的有限元软件OpenSees中,从而使有限元程序与OpenFresco实现通信连接。本文利用OpenSees的前后处理软件OpenSeesNavigator(OSN)来进行数值建模,OSN中嵌套了OpenFresco的试验设置模块,因此整个建模过程不再需要通过tcl命令流实现,这也大大降低了试验门槛,有助于混合试验的进一步推广。
前文所建立的三层高强钢组合K形偏心支撑钢框架试验模型即为混合试验的全结构,因此可直接利用试验单元来进行整个模型的数值定义,同时考虑到试验采取多节点多自由度的加载模式,最终选择了OpenFresco中提供的一种允许用户自定义的通用试验单元[16],它可以实现任意多个节点和节点自由度的模拟。

图6 OpenSees与OpenFresco交互示意
Fig.6 Interaction between OpenSees and OpenFresco
如图7所示,为了实现试验模型与试验单元之间合理的简化等效,首先将试件原型以楼层为单元等效为层模型,一方面考虑到在框架结构中梁柱质量通常较小,结构质量主要集中在楼盖上,因此将梁柱质量均集中到层高处,另一方面,由于试验模型层数较少,高宽比也较小,在进行动力分析单向试验加载时,荷载模式主要来自于水平地面运动,此时侧向位移是主自由度,产生的位移、速度和加速度远远大于由于节点转动产生的楼盖梁竖向运动对应值,所以可以假定楼板在其自身平面内为绝对刚性,只考虑楼层的侧向位移作为动力自由度。然后在OpenSees中建立与层模型对应的三节点通用试验单元,节点的竖向坐标对应模型层高,试验模型每一层的质量均集中到节点位置。考虑到模型在平面内比较规整,刚心质心基本保证重合,故忽略扭转效应和扭转自由度,直接建立平面单元即可,因此对每个节点添加单点约束命令Single-Point Constraints,约束其平面外自由度以及平面内的竖向位移和转角位移,简化模型只发生水平向位移。这样,便建立了试验模型与试验单元之间的对应关系。

图7 试验模型等效示意图
Fig.7 Equivalent schematic diagram of test model
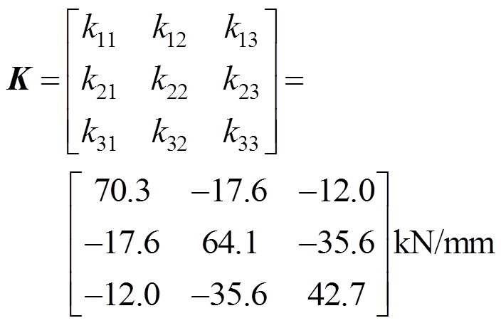
在试验过程中,首先利用三个作动器的反馈位移和反馈力,得到模型的[3×3]水平刚度矩阵,将其发送回试验单元,求出动力方程中的全部恢复力,再利用OpenSees模拟结构的全部惯性力和阻尼力,来对模型进行下一步的动力分析,重复以上步骤,直到试验结束。另外,在试验开始之前通过小位移静力加载(如图6(b)所示)得到试件的初始水平刚度矩阵K(如式(1)所示),并将其输入到试验单元中,用于完成动力分析的第一步求解。结构阻尼采用Rayleigh阻尼,多遇地震取0.045,罕遇地震取0.05。
(1)在正式开始混合试验之前,选取小荷载工况0.042 g、0.084 g两组共八条地震波对试件进行预加载,分析该混合试验系统的加载精度和稳定性。
表3为各工况下框架三层的命令位移和反馈位移的峰值误差对比结果,两者峰值基本接近,最大相对误差为13.60%,能够满足结构工程试验要求。另外,通过对比0.042 g工况下和0.084 g工况下的位移峰值差值,可以看出,随着位移响应峰值的增大,命令位移与反馈位移的相对误差有减小的趋势,这主要是由于当位移较小时,作动器的加载端重量、摩擦力、残余力等相对较大,造成的加载位移精确性的下降。
表3 位移误差
Table 3 Error of displacement

试验工况命令位移峰值A1/mm反馈位移峰值A2/mm相对误差 0.042 gEl Centro波正向0.31120.352413.24 反向-0.4896-0.53549.35 Taft波正向0.43430.46677.46 反向-0.3117-0.354113.60 兰州波正向0.36410.405011.23 反向-0.4146-0.456110.00 汶川波正向0.23350.25207.92 反向-0.2683-0.28225.18 0.084 gEl Centro波正向0.49370.52456.24 反向-0.7415-0.79196.80 Taft波正向0.64390.68466.32 反向-0.5340-0.57427.53 兰州波正向0.46400.49576.83 反向-0.7144-0.76977.74 汶川波正向0.31170.32905.55 反向-0.6185-0.63913.33
表4为计划作动器加载总时长和实际作动器加载总时长的差值比较结果,汶川波的加载步数最多,因此它的加载时长差值最大,Taft波和兰州波次之,El Centro波最短。作动器平均每步的加载时差均在20 ms左右,最大为21.92 ms,这个时间主要包括有限元数值求解、作动器的逼近加载和数据通讯,对于非实时的混合试验,加载时差产生的影响基本可以忽略。
表4 加载时差
Table 4 Loading time difference

试验工况计划加载时长/s实际加载时长/s总时差/s平均每步时差/ms 0.042gEl Centro波300321.4321.4321.43 Taft 波600641.1441.1420.57 兰州波600641.7941.7920.89 汶川波12001287.6887.6821.92 0.084gEl Centro波300318.0118.0118.01 Taft 波600638.8638.8619.43 兰州波600636.1236.1218.06 汶川波12001278.4078.4019.60
正式开始试验加载,在8度设防地震水准之前,由于整体位移响应较小,模型没有明显现象发生。在8度设防地震水准(0.240 g)的El Centro波作用下,模型第一次出现响声,1层、2层北侧消能梁段加劲肋与翼缘交界处出现了轻微的锈皮脱落现象;消能梁段腹板与加劲肋连接处的焊缝也出现了轻微的起皮现象(见图8(a)),这说明在地震作用下,消能梁段处先发生塑性变形,这与设计相符。当试验进行到8度罕遇工况后,模型1层两侧消能梁段上方楼板均出现横向短裂缝(见图8(b)),2层南侧消能梁段上方楼板出现横向贯通裂缝(见图8(c)),同位置楼板与消能梁段上翼缘之间也出现明显的空隙(见图8(d)),由此进一步说明了变形主要集中在每一层的消能梁段处,同时消能梁段在变形过程中受到了楼板的约束,楼板自身也受到了挤压。9度罕遇烈度的汶川波作用下,模型南侧2层消能梁段上方楼板出现横向裂缝,北侧2层裂缝处楼板局部压碎;南北两侧1层梁柱节点位置的楼板出现空隙(见图8(e)),说明在较大的地震波作用下,梁柱节点附近也发生了一定的变形;1层、2层楼板下侧出现了明显的裂缝(见图8(f))。在整个试验加载过程中,框架梁、柱、支撑及消能梁段均未发生局部屈曲、失稳等不可恢复的变形特征。

图8 试验现象
Fig.8 Hybrid test phenomena
利用MATLAB建立分析函数程序,通过输入刚度测试矩阵、质量矩阵,可计算得到得到各工况下模型的自振频率,见表5。由该表可知,结构的基本自振频率为5.827 Hz,随着地震波整体加速度峰值的增大,模型的整体响应随之变大,混凝土楼板出现横向裂缝和表面裂缝,导致结构的刚度稍有降低,周期变长,自振频率减小。
表5 模型自振频率
Table 5 Frequencies of test model

试验工况1611162126 频率/Hz5.8275.8275.8275.8205.8175.800 试验工况3136414651 频率/Hz5.7935.7685.7315.6975.669
图9为模型结构刚度退化率曲线,可以看出,模型的最大刚度退化率为5.349%,表明结构在大震作用下仍具有较大的整体刚度,结构仍处于弹性状态,与试验现象基本相符;当模型输入整体加速度峰值达到8度罕遇水准之后,刚度下降的更加明显,说明模型出现了损伤累加。

图9 模型结构刚度退化率曲线
Fig.9 Stiffness degradation of model structure
各工况下结构各层的最大相对位移包络值如图10所示,可见,模型结构对于四种地震波的位移响应趋势基本一致,呈倒三角形分布。汶川波作用下的位移响应最大,兰州波最小。在多遇地震作用下,模型各层的相对侧移相差不大,说明结构在多遇地震下的整体位移响应较小。当地震烈度接近8度罕遇(0.48 g)时,各楼层的最大相对位移均出现了较明显的变化,且2层变化相对最大。

(a) El Centro波

(b) Taft波

(c) 兰州波

(d) 汶川波
图10 各工况模型最大相对位移
Fig.10 Maximum relative displacement of test model
表6给出了模型结构在不同加速度峰值作用下的最大层间侧移角。可见,模型结构在多遇地震和罕遇地震作用下的最大层间侧移角分别为1/1068和1/197,符合我国《抗规》[14]中最新规定的对多高层钢结构楼层弹性层间侧移角和弹塑性层间侧移角的限制,说明结构能够满足“小震不坏,大震不倒”的抗震设防标准。
表6 模型结构最大层间侧移角
Table 6 Maximum inter-story drifts of test model

峰值加速度/g0.0420.0840.1200.1680.240 最大层间侧移角1/33331/20431/14021/10681/680 峰值加速度/g0.2640.3600.4800.6120.744 最大层间侧移角1/6461/4521/3391/2501/197
模型在不同工况下各楼层的水平地震作用可根据作动器的反馈数据和试验单元反应力的输出结果得到,如图11所示。可以看出,各工况下,模型1层水平地震作用最小,3层最大,大致成倒三角分布,说明结构以剪切变形为主。在多遇地震作用下,模型的整体响应较小,各层水平地震作用相差较小,随着地震波峰值加速度的增加,各层水平地震作用均有不同程度的增大,且增长趋势比较接近,说明模型整体的刚度变化不大。

(a) El Centro波

(b) Taft波

(c) 兰州波

(d) 汶川波
图11 各工况模型水平地震作用
Fig.11 Horizontal seismic force of test model
图12为不同强度汶川波作用下,模型基底剪力-顶点位移滞回曲线。由图可见,7度罕遇地震作用下,模型处于弹性状态,8度罕遇地震作用下,模型有进入塑性的趋势,但基本仍处于弹性状态,9度罕遇地震作用下,形成了滞回环,结构的非线性特征更为明显。

(a) 7度罕遇

(b) 8度罕遇

(c) 9度罕遇
图12 基底剪力-顶点位移滞回曲线
Fig.12 Hysteretic loops of base shear and top displacement
图13为不同强度汶川波作用下,模型层剪力-层间位移滞回曲线。由图可见,7度罕遇时,各层结构均处于弹性阶段;8度罕遇时,3层结构处于弹性阶段,1、2层结构有进入塑性趋势;9度罕遇时,3层结构仍处于弹性阶段,1、2结构出现滞回环,且2层比1层明显。

(a) 7度罕遇,1层 (b) 8度罕遇,1层

(c) 9度罕遇,1层 (d) 7度罕遇,2层

(e) 8度罕遇,2层 (f) 9度罕遇,2层

(g) 7度罕遇,3层 (h) 8度罕遇,3层

(i) 9度罕遇,3层
图13 层剪力-层间位移滞回曲线
Fig.13 Hysteretic loops of story shear and inter-story drift
图14给出了汶川波作用下,各层测点的应变值。可以看出,消能梁段腹板处的应变值明显高于翼缘处的应变值,说明消能梁段以剪切变形为主,且各层消能梁段腹板处的应变值始终大于对应层梁柱节点处测点的应变值,这均符合本结构的设计思想。在7度多遇到7度罕遇之间,各测点的应变值平稳增长,相差较小;在接近8度罕遇时,应变值已经出现了明显的增长,但整体斜率变化不大,试件基本仍处于弹性状态;在接近9度罕遇时,应变曲线斜率稍有降低趋势,说明结构已经有了从弹性状态至塑性状态的应力变化趋势。
由1层测点的应变值可以看出,由于柱脚与地梁刚接并且设置了加劲板,提高了底层的刚度,因此柱脚处节点也分担了更多的地震作用力;由2层测点的应变值可以看出,2层变形基本集中在消能梁段腹板处,梁柱节点及消能梁段翼缘处应变均较小,同时2层消能梁段腹板处应变值比1层、2层都要大,可以认为是薄弱层;3层测点处,消能梁段腹板和翼缘翼缘处承担了大部分的地震作用力。

(a) 1层测点

(b) 2层测点

(c) 3层测点
图14 汶川波作用下各测点应变值
Fig.14 Variation of strain under Wenchuan wave
本文通过对一个3层高强钢组合K形偏心支撑钢框架进行混合试验研究,得到以下结论:
(1) 利用有限元软件OpenSees的前后处理程序OpenSeesNavigator来进行整个模型的建立以及试验工况的设置,这种可视化操作大大提高了试验工作效率,降低了混合试验门槛,有助于混合试验方法的进一步推广。
(2) 在预加载试验中,各工况下命令位移和反馈位移的峰值基本接近,最大相对误差为13.60%,且随着地震动加速度峰值增大,误差有减小趋势。作动器平均每步的加载时差保持在20 ms左右,这个时间主要由动力方程求解以及设备通讯产生,在非实时的混合试验加载中,这个时差产生的影响基本可以忽略。
(3) 在8度多遇地震作用下,模型结构处于弹性状态;在接近9度罕遇地震时,模型的刚度出现了一定的退化,自振频率下降8.89%,说明结构出现了塑性损伤。
(4) 模型结构对于四种地震波的位移响应趋势基本一致,均呈倒三角形分布,在地震加速度峰值接近8度罕遇时,模型各层的相对位移响应变化明显;模型结构在多遇地震和罕遇地震作用下的最大层间侧移角分别为1/1068和1/197,符合抗震设计规范对层间侧移角的限值。
(5) 各工况下,模型1层水平地震作用最小,3层最大,大致成倒三角分布,说明结构以剪切变形为主。各层的变形主要产生在消能梁段的腹板处,通过腹板的剪切变形来耗能,且2层对应位置应变最大,1层次之,3层最小。
综上,基于OpenFresco试验平台的混合试验系统能够较好的反应多自由度结构的地震响应,高强钢组合K形偏心支撑钢框架结构具有良好的抗震性能。
参考文献:
[1] Takanashi K, Udagawa K, Seki M, et al. Nonlinear earth- quake response analysis of structures by a computer actuator on-line system (Part 1 detail of the system ) [J]. Transactions of the Architectural Institute of Japan, 1975, 229: 77-83, 190.
[2] Stojadinovic B, Mosqueda G, Mahin S A. Event-driven control system for geographically distributed hybrid simulation [J]. Journal of Structural Engineering, 2006, 132(1): 68-77.
[3] Chae Y, Ricles J M, Sause R. Large-scale real-time hybrid simulation of a three-story steel frame building with magneto-rheological dampers [J]. Earthquake Engineering & Structural Dynamics, 2015, 43(13): 1915-1933.
[4] Pan P, Tomofuji H, Wang T, et al. Development of peer-to-peer (P2P) internet online hybrid test system [J]. Earthquake Engineering & Structural Dynamics, 2006, 35(7): 867-890.
[5] 郭玉荣, 范云蕾, 曾东, 等. 网络化结构实验室:桥梁结构远程拟动力试验平台开发与应用[J]. 工程力学, 2010, 27(增刊1): 94-98.
Guo Yurong, Fan Yunlei, Zeng Dong, et al. Networked structural laboratories: development and application of remote pseudo-dynamic testing platforms for bridge structures [J]. Engineering Mechanics, 2010, 27 (Suppl 1) : 94-98. (in Chinese)
[6] 郭珺, 唐贞云, 陈适才, 等. 试件-加载系统相互作用对实时子结构试验系统稳定性影响[J]. 工程力学, 2016, 33(11): 59-67.
Guo Jun, Tang Zhenyun, Chen Shicai, et al. The influence of specimen-transfer-system interaction on the stability of real-time substructuring system [J]. Engineering Mechanics, 2014, 33(11): 59-67. (in Chinese)
[7] 王贞, 刘进进, 吴斌. 实时混合试验近完全时滞补偿方法的参数确定[J]. 工程力学, 2014, 31(10): 158-166.
Wang Zhen, Liu Jinjin, Wu Bin. Parameter determination of near complete time delay compensation method for real time hybrid test [J]. Engineering Mechanics, 2014, 31(10): 158-166. (in Chinese)
[8] 杨格, 王贞, 吴斌, 等. 建筑结构混合试验平台HyTest开发研究[J]. 建筑结构学报, 2015, 36(11): 149-156.
Yang Ge, Wang Zhen, Wu Bin, et al. Development of HyTest for structural hybrid simulation [J]. Journal of Building Structures, 2015, 36(11): 149-156. (in Chinese)
[9] Dubina D, Stratan A, Dinu F. Dual high-strength steel eccentrically braced frames with removable links [J]. Earthquake Engineering & Structural Dynamics, 2008, 37(15): 1703-1720
[10] 段留省, 苏明周, 郝麒麟, 等. 高强钢组合K形偏心支撑钢框架抗震性能试验研究[J]. 建筑结构学报, 2014, 35(7): 18-25.
Duan Liusheng, Su Mingzhou, Hao Qilin, et al. Experimental study on seismic behavior of high strength steel composite K-type eccentrically braced frames. Journal of Building Structures, 2014, 35(7): 18-25.
[11] 田小红, 苏明周, 连鸣, 等. 高强钢组合K形偏心支撑框架结构振动台试验研究[J]. 土木工程学报, 2016, 49(3): 56-63.
Tian Xiaohong, Su Mingzhou, Lian Ming, et al. Shake table test of high-strength steel composite K-eccentrically braced frames [J]. China Civil Engineering Journal, 2016, 49(3): 56-63. (in Chinese)
[12] 李慎, 苏明周, 连鸣, 等. 多层高强钢组合 K 形偏心支撑钢框架抗震性能研究[J]. 土木工程学报, 2015, 48(10): 38-47.
Li Shen, Lian Ming, Su Mingzhou, et al. Seismic behavior of multi-storey high strength steel composite K-eccentrically braced steel frame [J]. China Civil Engineering Journal, 2015, 48(10): 38-47. (in Chinese)
[13] 李慎, 连鸣, 苏明周. 高强钢组合K形偏心支撑钢框架弹塑性状态的层剪力分布研究[J]. 工程力学, 2016, 33(12): 167-175.
Li Shen, Lian Ming, Su Mingzhou. Seismic shear of K-type eccentrically braced steel frames with high strength steel in elasto-plastic state [J]. Engineering Mechanics, 2016, 33(12): 167-175. (in Chinese)
[14] 李慎, 苏明周, 连鸣. 基于性能设计的高强钢组合K形偏心支撑钢框架抗震性能研究[J]. 建筑结构, 2015, 45(6): 71-79.
Li Shen, Lian Ming, Su Mingzhou. Seismic behavior study of K-typed eccentricially braced steel frames with high strength steel combination based on performance design method [J]. Building Structure, 2015, 45(6): 71-79. (in Chinese)
[15] GB 50011―2010 (2016 年版), 建筑抗震设计规范[S]. 北京: 中国建筑工业出版社, 2010.
GB 50011―2010 (2016 edition), Code for seismic design of buildings [S]. Beijing: China Architecture Industry Press, 2010. (in Chinese)
[16] Schellenberg A, Kim H K, Takahashi Y, et al. OpenFresco command language manual [M]. Berkeley, US: The Regents of the University of California, 2009: 38-39.
HYBRID TEST ON THE SEISMIC BEHAVIOR OF HIGH STRENGTH STEEL COMPISITE K-ECCENTRICALLY BRACED STEEL FRAMES
Abstract: A loading system of hybrid testing based on OpenFresco was established to study the effectiveness of the system. A hybrid test of a 1/2 scaled three-story high strength steel composite K-eccentrically braced steel frame (K-HSS-EBF) was conducted to investigate the seismic performance of the structure model. The effectiveness of the test system is studied by preloading the specimen under small load conditions. The displacement loading precision of the experimental substructure and the loading time difference of the actuators are analyzed. The natural frequency, displacement response, horizontal seismic force, hysteretic behavior and the strain of key parts were obtained from the hybrid test. The results show that the peak displacement of the actuator is close to the calculated peak displacement. The maximum relative error is 13.60% and the average loading time difference of the actuator was kept at approximately 20 ms under different conditions. With the increase of the seismic peak acceleration, the natural frequency decreases and the stiffness of the structure degrades slightly. The deformation of each story is mainly in the web of the energy dissipation beam, which is mainly shear deformation. The maximum inter-story drift of the model structure under the frequent and rare earthquakes are 1/1068 and 1/197, respectively, which meet the inter-story drift limit in the seismic design code for buildings. In conclusion, the hybrid test system based on OpenFresco can better respond to the seismic response of the structure and the K-HSS-EBFs have good seismic performance.
Key words: high strength steel; eccentrically braced; seismic performance; OpenFresco; hybrid test
文章编号:1000-4750(2019)04-0100-09
中图分类号:TU317.1;TU392
文献标志码:A
doi:10.6052/j.issn.1000-4750.2018.01.0060
收稿日期:2018-01-19;
修改日期:2018-12-07
基金项目:国家自然科学基金项目(51178382);陕西省教育厅重点实验室项目(16JS048,16JS049,17JS061)
苏明周(1971―),男,河南人,教授,博士,博导,从事钢结构稳定、新型结构体系和设计理论研究(E-mail: sumingzhou@163.com);
马 磊(1984―),男,陕西人,助工,硕士,从事工程结构抗震理论及试验方法研究(E-mail: malei0504@126.com);
韩 丹(1994―),女,陕西人,硕士生,从事工程结构抗震理论及试验方法研究(E-mail: 779205027@qq.com).