型钢混凝土空腹叠合梁受剪承载力试验研究

于云龙1,杨 勇1,薛亦聪1,刘亚平2,蒋雪雅1

(1.西安建筑科技大学土木工程学院,陕西,西安710055;2.中国启源工程设计研究院有限公司,陕西,西安710018)

摘 要:为更加深入研究型钢混凝土叠合梁的受剪机理,提出更为优化的截面形式,该文完成了 10个足尺型钢混凝土叠合梁在单调集中荷载作用下的静力试验研究。通过考察剪跨比、截面形式(空腹和实腹)等参数对受剪性能的影响,着重研究了足尺型钢混凝土空腹叠合梁的受剪性能。结合试验结果对各试件的裂缝形态、破坏特征、承载能力、变形等性能进行了分析研究。采用桁架-拱模型并基于变形协调条件将桁架、拱和型钢三者对受剪承载力的作用相结合,建立了适用于型钢混凝土叠合梁的受剪承载力计算方法。结果表明:型钢混凝土空腹叠合梁与实腹叠合梁具有相似的受剪性能和破坏形态,承载力随剪跨比的增大而减小,试件整体性良好;采用JGJ 2016和YB 9082-2006计算的受剪承载力离散型偏大,该文建立的修正桁架-拱模型计算值与试验结果吻合较好。

关键词:装配式结构;型钢混凝土空腹梁;受剪承载力;试验研究;桁架-拱理论;计算方法

型钢混凝土叠合梁也称部分预制装配型钢混凝土梁[1-2](partially steel reinforced concrete structure,简称PPSRC梁)是针对型钢混凝土结构现场施工工序复杂的不足,并结合预制装配结构和型钢混凝土结构特点,所提出的一种结构形式[3-6]。能有效减少现浇型钢混凝土梁施工工序,减少或避免使用临时支撑和模板,提升工业预制化程度。具有承载力好、成本低、施工质量好等诸多优势。

PPSRC梁制作过程主要分为工厂预制和现场浇筑两个阶段,如图1所示。本文基于前期对缩尺PPSRC梁受力性能研究的基础上,进一步对10个足尺 PPSRC梁试件的开展了受剪性能试验研究。主要对截面形式(矩形、T形、空腹和实腹)、剪跨比的参数进行了研究。同时为充分发挥高性能混凝土的良好性能,达到装配式构件能够差异化使用材料的优势,本次试验在预制外壳部分和内部现浇部分同样采用不同类型和强度等级的混凝土,外壳应具有抗裂性、耐久性,故采用RPC混凝土,内部混凝土仍为普通混凝土。

图1 试件构造
Fig.1 Schematic diagram of specimen

前期研究工作[7-13]表明空腹 PPSRC 梁具有与实腹PPSRC梁相似的受弯性能,空腹PPSRC梁在减轻结构自重,节约材料等方面具有明显优势,但其是否同样具有可靠的受剪性能尚未知晓。因此,必须选取合理的计算模型才能准确分析 PPSRC梁的受剪机理。Kim等[14]基于最小能量原理确定了混凝土构件的变角桁架模型的斜压杆角度,通过两点Gauss积分变角桁架模型在单位剪力作用下,所作的剪切功与弯曲功最小,来确定斜压杆角度θ,分析结果与实验结果吻合性较好。Pan等[15]在桁架-拱模型基础上,提出了一种钢筋混凝土柱抗剪强度的表达式,既考虑了混凝土和箍筋对桁架模型抗剪强度的贡献,又通过变形协调考虑了拱作用的贡献,提高了钢筋混凝土柱剪切强度计算的准确性。Choi和 Hong[16]通过研究钢筋混凝土梁截面受压区的破坏机理,基于回归分析提出了试件达到峰值受剪承载力时中和轴与主斜裂缝交点上部混凝土压应变的简化计算方法,该简化计算方法具有较好的可靠度。

故此次对主要对空腹截面的 PPSRC梁进行试验研究,并通过改变加载方式,和剪跨比等参数,考察截面形式对受剪性能和受剪承载能力的影响。结合试验结果分析了 PPSRC梁的受剪机理,提出了适用于PPSRC梁的桁架-拱模型,并基于变形协调条件将桁架、拱和型钢三者对受剪承载力的作用相结合,建立了PPSRC梁的受剪承载力计算方法。采用本文提出的计算方法以及我国相关规范中的计算方法对27个PPSRC梁[8-9]的受剪承载力进行计算,并与试验结果进行比较分析。

1 试验概况

1.1 试件设计

试验共设计了10个试件,包括2个矩形截面PPSRC梁、2个T形实腹截面PPSRC梁、5个T形空腹截面PPSRC梁及1个实腹截面对比梁。按上述截面类型的不同将所有试件分为 A、B、C三个系列,型钢规格均采用HN500×200×9×14。其中系列 A试件为矩形截面形式,梁截面尺寸为450 mm×650 mm,预制梁宽450 mm,高650 mm,上下各配置5根直径25 mm的HPB400级钢筋,箍筋采用HPB300级钢筋,直径6 mm,间距80 mm。系列B试件为在系列A试件的基础上增加了翼缘板,翼缘板宽880 mm,厚150 mm。其余截面尺寸均与系列 A试件基本相同。系列 C试件尺寸为300 mm×650 mm,预制梁高 500 mm,现浇层厚度为150 mm。下部纵筋均采用PSB1080级钢筋,直径32 mm,箍筋采用HPB300级钢筋,直径6 mm,间距 150 mm。在预制 U形外壳中(梁剪跨段位置)预先放置空腹内模,两内模间距 150 mm,浇筑成型后去掉内模形成预制U形混凝土截面。两个空腹槽之间形成150 mm厚的预制混凝土横肋板,横肋板加强了预制混凝土与后浇筑混凝土之间纵向共同工作性能,PPSRC梁构造如图1所示,试件截面尺寸如图2所示,相关设计参数见表1。

外部预制混凝土和内部现浇混凝土分别采用不同的强度等级,制作过程如图3所示。外部预制混凝土设计强度等级分别为C40和C80,实测28 d立方体抗压强度等级 f cu,o为45.0 MPa(系列 A和系列 B)和 88.8 MPa(系列 C);内部现浇混凝土设计强度 C30,实测 28 d立方体抗压强度等级 f cu,i为31.8 MPa;系列C试件外部预制混凝土采用活性粉末混凝土(RPC),配合比如表 2所示。型钢和钢筋材料强度特征值如表3所示。

图2 试件构造及截面尺寸
Fig.2 Schematic diagram of specimens

表1 试件参数汇总表
Table 1 Matrices of test Specimens

系列 试件编号 截面形式 剪跨比 截面有效高度h0 /mm剪跨段长度a/mm 试件长度/mm 预制混凝土立方体抗压强度f cu,o/MPa现浇混凝土立方体抗压强度f cu,i/MPa A PPSRC-1 矩形(实腹) 1.0 610 610 2300 45.0 31.8 PPSRC-2 矩形(实腹) 1.5 610 915 2700 45.0 31.8 B PPSRC-3 T形(实腹) 1.0 610 610 2300 45.0 31.8 PPSRC-4 T形(实腹) 1.5 610 915 2700 45.0 31.8 C PPSRC-5 T形(空腹) 0.5 600 300 2300 88.8 31.8 PPSRC-6 T形(空腹) 1.0 600 600 2300 88.8 31.8 PPSRC-7 T形(空腹) 1.5 600 900 2750 88.8 31.8 PPSRC-8 T形(空腹) 1.8 600 1080 3200 88.8 31.8 PPSRC-9 T形(实腹) 1.0 600 600 2300 88.8 31.8 PPSRC-10 T形(空腹) 1.0 600 600 2300 88.8 31.8

图3 PPSRC梁试件制作示意图
Fig.3 Construction of the PPSRC beam specimens

表2 RPC配合比
Table 2 m ix proportion of RPC

注:钢纤维体积掺量为钢纤维与混凝土的体积比;除钢纤维外,其余均为与水泥的质量比。

水胶比 水泥 硅灰 粉煤灰 矿渣粉0.22 1 0.15 0.2 0.1粗砂 细沙 减水剂 钢纤维体积掺量0.8 0.5 0.003 0.015

表3 钢材力学性能
Table 3 Mechanical properties of steel

钢材 强度等级 屈服强度f y /MPa 极限强度f u /MPa型钢 翼缘 Q235 272 432腹板 Q235 317 452箍筋 HPB300 387 545纵筋 HRB400 443 598 PSB1080 1103 1211

1.2 试验装置

试验在西安建筑科技大学教育部结构与抗震重点试验室的20 000 kN压剪试验机上进行,采用单调静力加载制度。反力板下设置分配梁将荷载均匀地传至试件顶部,试验加载装置如图4(a)所示,位移计布置见图4(b)所示。

图4 试件加载示意图
Fig.4 Schematic diagram and photo of test setup specimens

2 试验结果及分析

2.1 破坏过程与破坏形态

3个系列试件的破坏形态分别如图 5~图 7所示。系列A试件均出现典型的剪切破坏形态,加载初期,加载至约10%的极限荷载时,首先在梁跨中出现一系列细微的垂直裂缝,斜裂缝在垂直裂缝之后相继出现。随着荷载的增加,剪跨段的翼缘顶部表面上发生了一些微小的纵向裂缝。最后,剪跨段斜裂缝宽度不断增大并伴随着加载点顶部的混凝土被压碎,导致荷载急剧下降,试件最终破坏如图5。由于内部型钢的贡献,峰值荷载后下降段均较为平缓,λ=1.5的试件,其下降到85%的峰值荷载时跨中竖向位移达到60 mm左右。系列B试件如图6所示,其破坏形态与系列A试件相似,由于混凝土翼缘板的贡献,系列B试件受剪承载力高于系列A试件。系列C试件主要为采用空腹截面的T形PPSRC梁,破坏过程与系列B试件基本相似。其中λ=1.8的试件PPSRC-8竖向位移达到60 mm曲线仍未出现下降段,其破坏形态均明显不同于钢筋混凝土梁的脆性破坏。试件均表现出较好的变形能力,可以看出预制与现浇混凝土之间无明显滑移。

图5 系列A试件典型破坏形态
Fig.5 Failure mode and damage patterns of specimens of series A

图6 系列B试件典型破坏形态
Fig.6 Failure mode and damage patterns of specimens of series B

图7 系列C试件典型破坏形态
Fig.7 Failure mode and damage patterns of specimens of series C

2.2 主要试验结果

由表4中试验结果的特征荷载值的可以看出,系列B试件的受剪承载力均高于对应的系列A试件,除剪跨比小于1.0的试件PPSRC-5以外,其余试件的开裂荷载均为峰值荷载的 10%~20%左右。系列C试件中,采用空腹截面的试件PPSRC-6开裂荷载明显要高于采用实习截面的试件PPSRC-9。当λ<1的试件主要发生斜压破坏,型钢腹板屈服,支座与加载点连线位置混凝土斜压柱体被压碎而破坏;当1≤λ<1.8的试件主要发生剪压破坏,型钢与箍筋屈服,之后受压区混凝土在压剪复合应力作用下达到混凝土复合受力强度而破坏。

表4 主要试验结果
Table 4 Test results of the specimens

系列 试件编号 垂直裂缝开裂荷载P f,cr/kN斜裂缝开裂荷载P c,cr/kN V u /kN 破坏形态A PPSRC-1 470 650 2170 剪压破坏PPSRC-2 320 600 1600 剪压破坏B PPSRC-3 680 640 2390 剪压破坏PPSRC-4 500 630 1735 剪压破坏C PPSRC-5 3950 1600 2637 斜压破坏PPSRC-6 1650 950 2138 剪压破坏PPSRC-7 830 870 1699 剪压破坏PPSRC-8 850 570 1698 剪压破坏PPSRC-9 400 550 2288 剪压破坏PPSRC-10 320 600 1967 剪压破坏

2.3 剪力-跨中位移曲线

图8给出了试件的剪力-跨中位移曲线,可以看出,试件均有较好的变形能力。系列A试件的受剪性能低于系列B试件,剪跨比小于1.0时,峰值荷载后试件承载力失效较快。系列C试件为空腹截面PPSRC梁,其峰值荷载后的下降段较为明显更,尤其是剪跨比为0.5的试件PPSRC-5。但其受剪承载力仍能达到理想水平,各试件主要试验结果和特征荷载值见表4。

3 受剪承载力影响因素分析

3.1 受压翼缘

前期的研究工作[8]表明 T形截面试件分别在正、负弯矩作用下的受剪承载力相差约20%~40%,混凝土翼缘的贡献不容忽视。本次试验制作了两根矩形截面梁(系列 A)和两根 T形截面对比梁(系列B),通过对比同在正弯矩作用下的两个系列试件的受剪承载力变化,更加直接的体现了翼缘的作用。图9为系列A和系列B试件的受剪承载力对比图,可以看出剪跨比分别为1.0和1.5时T形截面试件承载力约高出矩形截面试件10%和8%。

图8 试件剪力-跨中位移曲线
Fig.8 The shear capacity-displacement of the specimens

图9 系列A与系列B试件受剪承载力对比
Fig.9 Differences of the shear capacities of specimens of series A and series B

3.2 截面形式

本次试验中,试件 PPSCR-6(空腹截面)与试件PPSRC-9(实腹截面)预制外部混凝土均采用活性粉末混凝土,设计强度为C80。现浇内部混凝土设计强度为 C30。试验得出的剪力-跨中挠度曲线如图10所示,可以看出试件加载初期,两个试件的受力形态基本相似,进入弹塑性阶段后,试件PPSCR-6承载力增长较为缓慢。表明空腹试件对受剪承载力有一定的削弱,但程度较小,约为6%左右。两个试件在峰值承载力后均具较为明显的下降段,但仍能保持85%的极限荷载继续工作,表现出较好的延性。

图10 受剪承载力-混凝土强度关系曲线
Fig.10 Shear capacity vs. concrete strength curves

3.3 剪跨比

图 11中给出了试件受剪承载力与剪跨比关系曲线。剪跨比分别为 0.5、1.0、1.5和 1.8的试件PPSRC-5、PPSRC-6、PPSRC-7和PPSRC-8截面尺寸和材料参数均相同,其受剪承载力分别为5274 kN、4276 kN、3398 kN和3396 kN,表明试件受剪承载力随剪跨比的增加而降低,系列A和系列B试件也具有同样的趋势。

图11 受剪承载力-剪跨比关系曲线
Fig.11 Shear capacity vs. shear span-to-depth ratios curves

4 受剪承载力计算方法

目前国内型钢混凝土梁斜截面受剪承载力计算方法主要采用《组合结构设计规范》[10]和《钢骨混凝土结构设计规程》[11]。通过计算表明采用国内已有的两部规程对 PPSRC梁受剪承载力计算所得的结果与试验结果过于保守,不适用于本文提出的PPSRC梁,如表5所示。故本文基于经典桁架-拱模型,对 PPSRC梁的受剪机理进行分析,提出适用于PPSRC梁的受剪承载力计算方法。

表5 计算结果与试验结果对比
Table 5 Comparison of calculated results and test results

受力形式 试件编号 剪跨比 V u /kN V JGJ/V u V YB/V u φ φV c / V u文献[8]PSRC-1-1 1.0 662 0.45 0.58 1.20 0.84 PSRC-1-2 1.5 460 0.50 0.78 1.20 0.92 PSRC-1-3 1.8 392 0.52 0.88 1.20 0.93 PSRC-1-4 1.5 444 0.44 0.73 1.20 0.92 PSRC-1-5 1.5 494 0.53 0.79 1.20 0.89 SRC-1 1.5 515 0.55 0.80 1.20 0.85 PSRC-2-1 1.0 512 0.58 0.76 1 0.91 PSRC-2-2 1.5 375 0.62 0.96 1 0.94 PSRC-2-3 1.8 310 0.66 1.12 1 0.99 PSRC-2-4 1.5 316 0.62 1.03 1 1.09 PSRC-2-5 1.5 393 0.66 0.99 1 0.93 SRC-2 1.5 382 0.74 1.08 1 0.96文献[17]PSRC-21 1.0 670 0.46 0.53 1.20 0.84 PSRC-22 1.5 435 0.57 0.73 1.20 0.91 PSRC-23 2.0 332 0.64 0.88 1.20 0.90 PSRC-24 1.5 420 0.48 0.64 1.20 1.04 PSRC-25 1.5 480 0.60 0.74 1.20 0.85 PSRC-26 2.5 250 0.75 1.09 1.20 1.09 PSRC-27 1.0 585 0.42 0.50 1.20 0.92

注:PSRC-21~PSRC-27为采用蜂窝型钢PPSRC梁,有效截面高度 h0取 h w - D h ,其中 D h 蜂窝孔洞高度; h w蜂窝型钢腹板高度。

续表受力形式 试件编号 剪跨比 V u /kN V JGJ/V u V YB/V u φ φV c / V u本文试件PPSRC-1 1.0 2170 0.72 0.99 1 1.04 PPSRC-2 1.5 1600 0.74 1.26 1 1.07 PPSRC-3 1.0 2390 0.66 0.89 1.20 1.12 PPSRC-4 1.5 1735 0.68 1.16 1.20 1.18 PPSRC-5 0.5 2637 0.76 0.68 1.20 0.91 PPSRC-6 1.0 2138 0.53 0.80 1.20 0.97 PPSRC-7 1.5 1699 0.48 0.97 1.20 0.99 PPSRC-8 1.8 1650 0.43 0.98 1.20 0.88 PPSRC-9 1.0 2288 0.56 0.81 1.20 0.96 PPSRC-10 1.0 1967 0.58 0.86 1 0.88平均值 0.58 0.86 0.96变异系数 0.18 0.21 0.09

经典桁架-拱计算方法如下[12]

式中:V c1为桁架模型对受剪承载力的贡献;V c1为拱模型对受剪承载力的贡献;b为梁截面宽度;h为梁截面高度;θ为桁架模型中斜压带混凝土与轴向的夹角;σc2为桁架模型中斜压带混凝土的压应力;h c为拱体截面高度,为方便计算取 h c=h/2;α为拱体模型中混凝土与轴向的夹角,为方便计算取tan α = h / (2l )。

可以看出在该模型中,最终试件的受剪承载力为桁架部分作用承载力与拱部分承载力的简单叠加,难以保证变形协调,即其计算结果为真实受剪承载力的下限解,同时桁架作用与拱作用各自对抗剪的贡献难以分配。简化时拱体宽度计算取试件计算截面高度一半作为拱高,缺乏理论依据。

为解决上述存在问题基于修正压力场[13]的桁架部分受剪承载力为:

式中,系数β的取值采用Bentz提出的简化公式,无需迭代求解:

式中: s x e等效裂缝间距,取 s xe =300;εx截面中心沿x向的应变。

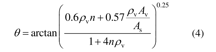
斜压杆角度θ的取值采用 Kim 等[14]基于最小能量原理,即所作的剪切功与弯曲功最小来确定。

Pan等[15]提出在RC梁受剪过程中,桁架部分竖向变形应与拱部分竖向变形相等,已达到协调变形的效果,故:

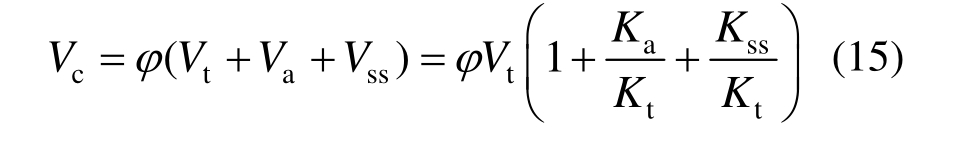
式中: t V为桁架部分受剪承载力; a V为拱部分受剪承载力; t K为桁架部分抗剪刚度; a K为拱部分抗剪刚度。

图12 桁架部分在剪力作用下竖向变形图
Fig.12 Vertical deformation of reinforcement truss under shear

图13 拱部分在剪力作用下竖向变形图
Fig.13 Vertical deformation of concrete arch under shear

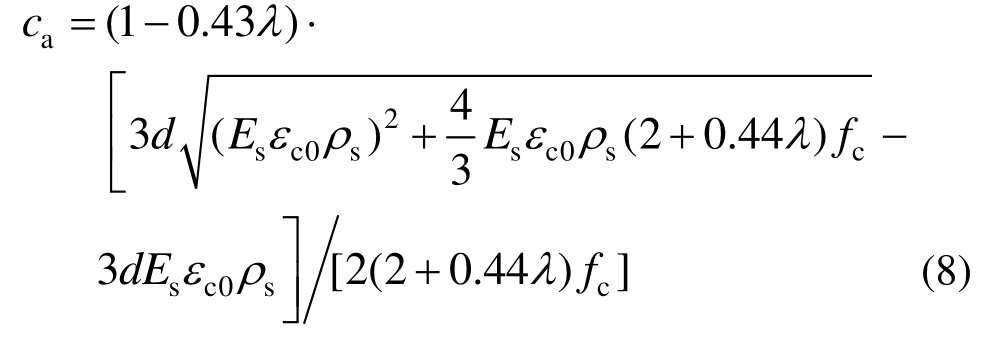
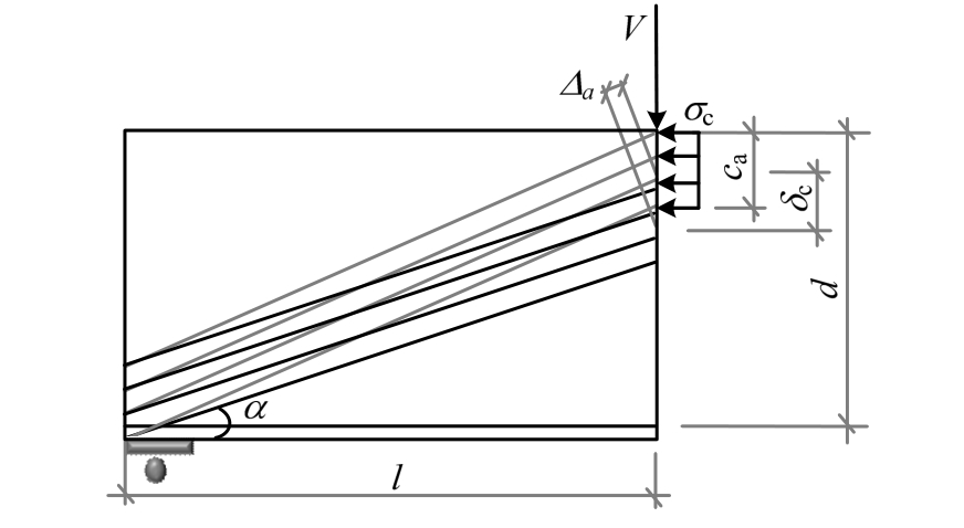
Choi等[16]基于截面分析及回归分析推导出了c a 的取值,如式(8)所示:

基于RC梁考虑变形协调的桁架-拱模型,本文考虑型钢对抗剪作用提出 SRC梁考虑变形协调的桁架-拱模型。

型钢部分受剪承载力可通过变形协调关系得出,在SRC梁受剪过程中,桁架部分竖向变形、拱部分竖向变形、型钢部分竖向变形相等,已达到协调变形的效果,故:

式中: ss V 为型钢部分受剪承载力; ss K 为型钢部分抗剪刚度。

型钢部分的受剪承载力及抗剪刚度的计算简图如图14所示。

型钢部分的受剪承载力 ss V 可由式(10)确定:

型钢在剪力作用下竖向变形:

则型钢部分在剪力作用下的抗剪刚度为:

图14 型钢在剪力作用下竖向变形图
Fig.14 Vertical deformation of steel shape under shear

在对受剪承载力进行计算时,根据 PPSRC梁的截面特点,对相关计算参数做如下修正:

1) 混凝土的抗剪作用。

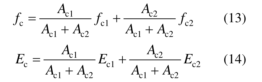
采用混凝土等效轴心抗拉强度f c,及等效弹性模量 E c来综合考虑预制和现浇两部分不同混凝土强度的贡献,分别采用式(13)和式(14)计算。

式中:A c1、A c2分别为现浇和预制部分截面面积;f c1、f c2分别为现浇和预制混凝土轴心抗压强度;E c1、E c2分别为现浇和预制混凝土的弹性模量。

2) 混凝土翼缘的抗剪作用。

文献[18]给出T形截面试件翼缘宽度大于2倍梁截面宽度时,受剪承载力约保持1.2倍的矩形截面梁承载力且不再增长,翼缘宽度小于2倍梁截面宽度时,受剪承载力基本成线性增长,故采用放大系数φ来考虑翼缘对承载力的影响,PPSRC梁的受剪承载力计算公式如式(15)所示。

由图15可以看出《钢骨混凝土结构设计规程》和《组合结构设计规范》的计算结果离散度偏大,剪跨比为1.0的试件尤为明显,29个试件的计算结果与试验结果之比的平均值分别为0.58和0.86,变异系数为0.18和0.20,偏差较大。采用基于桁架-拱模型的修正计算结果与试验结果之比为0.96,变异系数为 0.09。所有计算点在的直线上下波动,剪跨比为1.5的试件计算点吻合度最高说明本文提出的建议方法是均是合理的。

图15 相关方法计算的受剪承载力与试验结果比较
Fig.15 Comparison of calculated results and test results

5 结论

结合3种系列10个足尺试件的PPSRC梁受剪承载力试验研究结果,对影响 PPSRC受剪性能的关键影响因素进行了分析,并基于桁架-拱模型的基础上,给出使用于 PPSRC梁斜截面承载力计算公式。并得出以下结论:

(1) 本文提出的空腹 PPSRC梁自重约为实腹PPSRC梁的20%,两者具有相似的破坏形态和相近的受剪承载能力,所采用的空腹预制截面构造形式和连接方式可行,有利于节省材料,减轻结构自重。

(2) 型钢混凝土空腹叠合梁的在剪跨比由 1.0~1.8之间时,斜截面承载力随着剪跨比减小而提高。当剪跨比1λ<时,发生剪切斜压破坏,当剪跨比1 1.8λ<≤时,发生剪压破坏。

(3) 采用JGJ 138—2016计算PPSRC梁的受剪承载力偏低,与试验值比值的平均值为0.58,变异系数为0.18,采用YB 9082—2006计算的受剪承载力与试验值比值的平均值为0.86,变异系数为0.21,两部规程计算结果离散性较大。

(4) 本文建立的 PPSRC梁修正桁架-拱模型,具有明确的力学模型,计算结果离散度较两部规程偏小,具有较高的准确性,适用于剪跨比小于 2.0的PPSRC梁。

参考文献:

[1] 杨洋. 预制装配型钢混凝土梁负弯矩区抗剪性能及设计方法研究[D]. 陕西: 西安建筑科技大学, 2015.Yang Yang. Experimental study on shear performance and design methods of prefabricated steel reinforced concrete (PPSRC) beam under hogging bending moment[D]. Shaanxi: Xi’an University of Architecture &Technology, 2015. (in Chinese)

[2] 郭宇翔. 预制装配蜂窝型钢混凝型梁抗剪性能及设计方法试验研究[D]. 陕西: 西安建筑科技大学, 2015.Guo Yuxiang. Experimental study on shear performance of prefabricated castellated steel reinforced concrete(PCSRC) beam [D]. Shaanxi: Xi’an University of Architecture & Technology, 2015. (in Chinese)

[3] Hong W K, Kim J M, Park S C, et al. Composite beam composed of steel and precast concrete. (Modularized Hybrid System, MHS) Part II: analytical investigation[J]. Structural Design of Tall & Special Buildings, 2009,18(8): 891-905.

[4] 邓明科, 马福栋, 李勃志, 等. 基于修正拉-压杆模型的型钢混凝土深梁受剪承载力分析[J]. 工程力学,2017, 34(12): 95-103.Deng M ingke, Ma Fudong, Li Bozhi, et al. Analysis on shear capacity of SRC deep beams based on modified strut-and-tie model [J]. Engineering Mechanics, 2017,34(12): 95-103. (in Chinese)

[5] 郑山锁, 胡义, 车顺利, 等. 型钢高强高性能混凝土梁抗剪承载力试验研究[J]. 工程力学, 2011, 28(3): 129-135.Zheng Shansuo, Hu Yi, Che Shunli, et al. Experimental study on the shear capacity of SRSHPC beams [J].Engineering Mechanics, 2011, 28(3): 129-135. (in Chinese)

[6] 贾金青, 姚大立, 余芳. 预应力型钢超高强混凝土梁受剪承载力试验研究[J]. 工程力学, 2014, 31(8): 126-133.Jia Jinqing, Yao Dali, Yu Fang. Experimental study on shear capacity of prestressed I-steel ultrahigh reinforced concrete beams [J]. Engineering Mechanics, 2014, 31(8):126-133. (in Chinese)

[7] Yang Y, Xue Y, Yu Y, et al. Experimental study on flexural performance of partially precast steel reinforced concrete beams [J]. Journal of Constructional Steel Research, 2017, 133: 192-201.

[8] 杨勇, 于云龙, 杨洋, 等. 部分预制装配型钢混凝土梁受剪性能试验研究[J]. 建筑结构学报, 2017, 38(6):46-53.Yang Yong, Yu Yunlong, Yang Yang, et al. Experimental study on shear performance of partially precast steel reinforced concrete (PPSRC) beams. [J]. Journal of Building Structures, 20175, 38(6): 46-53. (in Chinese)

[9] Yang Y, Yu Y, Guo Y, et al. Experimental study on shear performance of partially precast Castellated Steel Reinforced Concrete (CPSRC) beams [J]. Steel &Composite Structures, 2016, 21(2): 289-302.

[10] JGJ 138-2016, 组合结构设计规范[S]. 北京: 中国建筑工业出版社, 2016.JGJ 138-2016, Code for design of composite structures[S]. Beijing: China Architecture & Building Press, 2016.(in Chinese)

[11] YB 9082-2006, 钢骨混凝土结构技术规程[S]. 北京:冶金工业出版社, 2006.YB 9082-2006, Technical specification of steelreinforced concrete structures [S]. Beijing: Metallurgical Industry Press, 2006. (in Chinese)

[12] Vecchio F J, Collins M P. The modified compression field theory for reinforced concrete elements subjected to shear [J]. ACI Structural Journal, 1986, 83(2): 219-231.

[13] Bentz E C, Vecchio F J, Collins M P. Simplified modified compression field theory for calculating shear strength of reinforced concrete elements [J]. ACI Structural Journal,2006, 103(4): 614-624.

[14] Kim J H, Mander J B. Influence of transverse reinforcement on elastic shear stiffness of cracked concrete elements [J]. Engineering Structures, 2007,29(8): 1798-1807.

[15] Pan Z F, Li B. Truss-Arch model for shear strength of shear-critical reinforced concrete columns [J]. Journal of Structural Engineering, 2013, 139(4): 548-560.

[16] Choi K K, Hong G P. Unified shear strength model for reinforced concrete beams-Part II: verification and simplified method [J]. ACI Structural Journal, 2007,104(2): 153-161.

[17] 于云龙. 部分预制装配型钢混凝土梁基本性能及设计方法研究[D]. 陕西: 西安建筑科技大学, 2017.Yu Yunlong. Study on mechanical performance and design method on partially precast steel reinforced concrete beams [D]. Shanxi: Xi'an University of Architecture & Technology, 2017. (in Chinese)

[18] 过镇海. 钢筋混凝土原理[M]. 北京: 清华大学出版社,2013.Guo zhenhai. Principle of reinforced concrete [M].Beijing: Tsinghua University Press, 2013. (in Chinese)

EXPERIMENT STUDY ON THE SHEAR CAPACITY OF STEEL REINFORCED CONCRETE HOLLOW COMPOSITE BEAMS

YU Yun-long1 , YANG Yong1 , XUE Yi-cong1 , LIU Ya-ping2 , JIANG Xue-ya1
(1. School of Civil Engineering, Xi’an University of Architecture & Technology, Shaanxi, Xi’an 710055, China;2. China Qiyuan Engineering Corporation, Shaanxi Xi’an 710018, China)

Abstract: In order to investigate the shear mechanism of steel reinforced concrete composite beams and further optimize their section shapes, a static experiment w ith ten full-scaled specimens was carried out. The developments of strain, crack propagation, failure mode, deformation and shear capacity were thoroughly explored and the effects of aspect ratio and section shape (solid and hollow) were critically exam ined. On the basis of the test results, a proposed truss-arch model, which takes the compatibility of a truss, an arch and steel shape into account, was applied to establish the calculation method for the shear capacity of steel reinforced concrete hollow composite beams. The results indicated that: the specimens w ith solid section and hollow section both suffered sim ilar failure modes and exhibited sim ilar shear bearing capacities, and the shear bearing capacity decreased w ith the increase of the aspect ratio. The shear capacity calculated by the JGJ 138-2016 and YB 9082-2006 shows high discreteness. The shear strengths obtained by the proposed method (compatible truss-arch model) agreed well w ith those from the experiment.

Key words: precast structure; steel reinforced concrete hollow beams; shear capacity; experimental study;truss-arch model; calculation method

中图分类号:TU398.9;TU317.1

文献标志码:A

doi: 10.6052/j.issn.1000-4750.2017.12.0991

文章编号:1000-4750(2019)03-0214-10

收稿日期:2017-12-28;修改日期:2018-04-19

基金项目:国家自然科学基金项目(51478287,51578443);国家重点研发计划项目(2017NYFC0703404)

通讯作者:于云龙(1989―),男,陕西西安人,工程师,工学博士,从事预制装配型钢混凝土结构研究(E-mail: yyllyp126@sina.com).

作者简介:

杨 勇(1976―),男,江西吉安人,教授,工学博士,博导,主要从事钢-混凝土组合结构、结构抗震加固、预制装配结构研究(E-mail: yyhhp2004@163.com);

薛亦聪(1992―),男,陕西西安人,博士生,从事预制装配型钢混凝土结构研究(E-mail: xjdxyc@foxmail.com);

刘亚平(1988―),女,河南洛阳人,工程师,工学硕士,从事装配式工业厂房研究(E-mail: xjdliuyaping@163.com);

蒋雪雅(1991―),女,河南商丘人,硕士生,从事预制装配型钢混凝土结构研究(E-mail: 1241476144@qq.com).