钢桥面板纵肋与横隔板焊接细节表面缺陷及疲劳效应研究

黄 云,张清华,郭亚文,卜一之

(西南交通大学桥梁工程系,四川,成都 610031)

摘 要:初始焊接缺陷是影响结构件疲劳性能的关键因素之一。在断裂力学评估框架下引入特征化初始焊接缺陷,结合相互作用积分法与复合断裂准则解决由表面缺陷所导致的复合型疲劳裂纹扩展问题,在此基础上编写裂纹扩展模拟程序,建立表面焊接缺陷效应评价方法,通过分析揭示了不同形态和尺度的初始焊接缺陷对于钢桥面板纵肋与横隔板构造细节裂纹扩展关键性度量指标和疲劳寿命预测的影响。结果表明:所建立的方法可有效用于评估焊趾部位表面焊接缺陷对于疲劳性能的效应;面状缺陷对于裂纹扩展度量指标和疲劳寿命预测结果的影响更为显著,其初始缺陷深度和形态均是影响疲劳性能的关键因素,体积型缺陷对于疲劳寿命的影响主要由深度方向的缺陷尺寸决定;焊接缺陷的形态和几何参数取值应根据工程实际和规范建议值共同确定,直接简化为面状缺陷会低估结构件的疲劳寿命;考虑焊接缺陷不确定性的可靠度评估方法尚需进一步研究。

关键词:钢桥面板;焊接缺陷;纵肋横隔板构造细节;断裂力学;应力强度因子;疲劳寿命预测;疲劳裂纹扩展

焊接是正交异性钢桥面板结构最为常用的连接方式之一,各板件通过焊缝连接形成空间有机整体结构并协同受力。焊接工艺施工便捷且易于工厂化制作,在形成标准化、装配化和自动化等方面具有突出优势。但焊接过程涉及焊缝母材物态转变、焊材特性、焊接工艺以及焊缝空间位置与几何形态等多重因素耦合影响,局部构造复杂以及现场手工焊接导致焊接质量难以保证,严格控制各关键因素的量化指标具有较高难度,因此由焊接过程的复杂性和随机性所导致的焊接缺陷不可避免。尽管探伤可对大部分类型的焊接缺陷进行检测,但缺乏有效的方法从根本上消除焊接过程中形成的焊接缺陷。国内外研究者对于典型钢结构桥梁疲劳破坏的广泛调研与统计分析表明[1-5]:焊接缺陷是疲劳断裂的主要因素之一,疲劳裂纹易于在缺陷位置萌生与扩展;缺陷的存在显著降低了构造细节的疲劳抗力和服役质量。国外相关规范与研究成果[6-11]明确指出,应对焊接缺陷对于构造细节疲劳性能的效应进行评估。正交异性钢桥面板结构中大多数焊缝兼具连接与传力双重功能,焊接缺陷的引入将在一定程度上改变局部区域的应力集中程度,成为服役期限内潜在的疲劳裂纹源。基于缺陷本质特征的合理分析,揭示不同类型表面焊接缺陷对疲劳性能的影响效应,对于合理确定典型构造细节的疲劳强度与服役安全性评估均具有重要的理论意义和现实意义。

模型疲劳试验、理论分析与现代无损检测技术相结合是焊接缺陷及其效应研究的重要途径。焊接缺陷的类型、位置与空间几何形态等关键因素均具有较强的随机性,准确测定上述因素是焊接缺陷疲劳性能效应研究的基本前提。研究者联合运用无损检测技术与断面显微分析[12]等方法确定了不同工艺条件下焊接缺陷的类型,并根据其几何形态对缺陷进行特征化,但限于当前无损检测技术的灵敏度,精确测定不同类型初始焊接缺陷的空间几何形态具有较高的难度,导致基于检测数据或随机模拟技术所建立的概率分布均难以合理反映焊接缺陷的统计特性;既有模型疲劳试验[13-15]研究中初始焊接缺陷的引入主要包括自然形成和人工模拟两类。前者具有较大的偶然性且数量有限,后者则忽略了缺陷的随机属性,同时形态特征与真实焊接缺陷存在本质区别,其对于疲劳性能的影响规律与实际焊接缺陷具有较大差异。

正交异性钢桥面板构造细节的疲劳性能对于焊接缺陷具有较高的敏感性,焊根或焊趾位置一旦形成焊接缺陷,将成为控制典型构造细节疲劳性能的关键因素之一。目前国内外主要采用等效初始缺陷法[16]、质量等级S-N曲线评估法[6]和断裂力学方法[6,17-18]对焊接缺陷的疲劳性能效应进行评估。其中,等效初始缺陷法评估流程复杂,不便于工程应用;质量等级评估法依赖于具有较高离散性的疲劳试验结果,且无法直观反映初始焊接缺陷尺度与疲劳性能效应间的定量关系;断裂力学法为国内外相关重要规范推荐的焊接缺陷评估方法,其关键在于合理确定初始焊接缺陷形态和尺寸。Fisher等[1]采用断裂力学法分析了表面焊接缺陷对钢桥面板多个构造细节疲劳寿命的影响;周太全等[19]对具有初始裂纹缺陷钢桥构件的疲劳寿命和裂纹扩展过程进行了研究。但目前基于断裂力学的分析方法将表面缺陷均简化为裂纹缺陷,且仅针对某一确定性初始裂纹尺寸进行分析,上述简化无法反映其他类型面状缺陷和体积型缺陷的特征,以及不同初始缺陷尺度条件下表面焊接缺陷的影响效应。针对目前分析中存在的问题,此处以某大跨度连续钢箱梁桥正交异性钢桥面板纵肋与横隔板构造细节为研究对象,基于不同类型初始焊接缺陷的形态特征对其进行合理简化,在此基础上将其引入断裂力学评估框架,通过对不同缺陷尺度条件下裂纹的扩展特征与疲劳寿命进行深入分析,建立焊接缺陷的评估方法,从而揭示焊接缺陷对疲劳裂纹扩展行为及其构造细节疲劳性能的效应。

1 理论与方法

1.1 焊接缺陷类型及其特征化

目前国内外钢桥面板焊接工艺存在一定的差异且均缺乏现有工艺条件下焊接缺陷相关的定量统计数据,但焊接过程中各关键影响因素与不同类型缺陷间的相关关系决定了焊接缺陷的形成具有一定的规律性。既有疲劳试验、无损检测和缺陷断口形貌观察等研究均表明[6-7,12-15,20]:对于疲劳抗力而言,表面和近表面缺陷的影响大于内部缺陷;不同类型缺陷所导致的疲劳效应存在差异,将所有缺陷直接简化为裂纹与各缺陷实际力学特性并不相符。基于上述研究成果和相关规范对于焊接缺陷疲劳评定相关建议,此处主要针对钢桥面板纵肋与横隔板焊趾位置形成的表面缺陷,将其简化和等效为半椭圆形、半圆形、半椭球形和半球形四种缺陷类型,缺陷简化过程中偏于安全地忽略缺陷与基质间的粘结作用,相应的形态及几何参数如图1所示。

图1 表面焊接缺陷类型及其特征化
Fig.1 Types and characterization of surface weld defects

1.2 基于断裂力学的焊接缺陷效应评估方法

1.2.1 复合型裂纹应力强度因子的求解

正交异性钢桥面板中纵肋与横隔板构造细节交叉焊缝局部区域在面内外荷载耦合作用下处于典型的复合应力状态,考虑到复合型断裂问题中应力强度因子分离的便利性,焊接缺陷效应评估中应力强度因子采用相互作用积分法[21-22]进行计算。

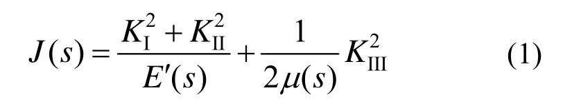
根据既有研究,围绕裂纹尖端一点s任意光滑闭合回路的J积分与能量释放率等价[23],且可表示为复合开裂模式下应力强度因子的函数,如式(1)所示:

式中:KІ、KІІ和KІІІ分别为Ⅰ型(张开型)、Ⅱ型(滑开型)和Ⅲ型(撕开型)裂纹所对应的应力强度因子;E′(s)为弹性模量,对于平面应变状态取E′(s) = E (s) /[1 - ν 2(s)],对于平面应力状态则取E′(s) = E (s );μ(s) = E (s) /2[1 + ν (s )]为剪切弹性模量。

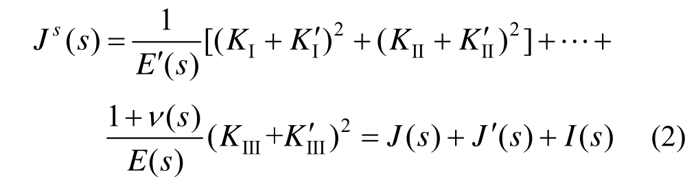
为分别提取各开裂模式所对应的应力强度因子,在裂纹体承受真实荷载状态的基础上引入辅助的应力场和位移场,则真实场与辅助场共同作用下过裂纹尖端任一点s的J积分可表示为:

式中:()J s、()J s′分别为真实场和辅助场所对应的J积分; ()I s为真实场与辅助场相互作用部分,即为相互作用积分; I K′、 II K′和 III K′分别为辅助场Ⅰ型、Ⅱ型和与Ⅲ型裂纹所对应的应力强度因子。对于空间任意三维曲面裂纹,根据J积分的定义,相互作用积分可由过裂纹尖端一点s且垂直于裂纹尖端的围线积分进行计算:()I s=

式中:σij、εij、ui和σij、εij、ui′分别为真实场和辅助场的应力、应变和位移;δlj为克罗内克符号;指标i、j、k和l的取值范围均为1, 2, 3;c l (s)为位于点s裂纹面局部切平面内且垂直于裂纹尖端的单位矢量;Γ(s)为过点s且垂直于裂纹尖端平面内的围线;nj为围线Γ(s)的外法向单位矢量,相应的围线积分域如图2(a)所示。

研究表明,域积分与有限元求解过程具有较好的相容性且比线积分更为精确[24],可利用散度定理将线面积分表示为区域积分的形式:

式中:L c为曲线裂纹微段;Δa(s)为虚拟裂纹扩展量且沿 L c连续变化; fi为裂纹尖端场所受的体力;ql 为在积分域V内平滑变化的标量权函数。

基于域积分法所获得的相互作用积分,联合式(2)与式(4),相互作用积分与应力强度因子间的关系可表示为:

通过依次对式(5)中的应力强度因子指定非零值,则各开裂模式所对应的应力强度因子为:

纵肋与横隔板构造细节交叉焊缝位置由表面焊接缺陷导致的疲劳开裂处于复合开裂模式,其有效应力强度因子可依据 BS7910等相关规范[6-9,25]所推荐的复合断裂准则进行计算:

式中:ΔK eff有效应力强度因子幅值;ΔKІ、ΔKІІ和ΔK ІІI 分别为Ⅰ型、Ⅱ型和Ⅲ型裂纹的应力强度因子幅值;ν为泊松比,此处取值为0.3。

1.2.2 疲劳裂纹扩展与寿命预测

裂纹扩展准则和扩展方向是复合疲劳开裂分析所面临的关键问题。根据纵肋与横隔板构造细节的疲劳损伤特征,焊接缺陷效应分析中可采用常幅疲劳分析方法,裂纹尖端相应的裂纹扩展增量通过指数函数确定:

式中:iaΔ和iKΔ分别为裂纹尖端节点i的扩展增量与应力强度因子幅值;m aΔ和m KΔ分别为裂纹尖端所有节点裂纹扩展增量的中值与应力强度因子幅值的中值;n为由材料特性所确定的裂纹扩展参数。

针对于复合型裂纹的扩展方向,此处采用工程中广泛应用且为试验所证实的最大环向拉应力准则作为裂纹扩展方向的判别依据,相应的裂纹扩展角由Ⅰ型和Ⅱ型裂纹应力强度因子共同确定:

图2 空间三维曲面裂纹围线与等效管状积分域
Fig.2 Contour integral and equivalent tubular integral domains for three-dimensional non-planar curve cracks

焊接缺陷影响条件下可通过有效应力强度因子幅值对简单受力模式下的 Paris公式[26]进行修正以考虑裂纹尖端所处的复合开裂状态,从而在此基础上对其疲劳寿命进行合理预测:

式中: f N 为疲劳裂纹扩展寿命; 0a、 f a分别为初始缺陷和临界裂纹尺寸;C、n为与材料特性相关的扩展参数,根据 BS7910及 IIW 等规范[6-9]建议的推荐值,取C=5.21×10-13 N·mm-3/2,n=3,在实际应用中扩展常数C和n可通过疲劳裂纹扩展性能试验进行确定[27];应力强度因子幅值的门槛值th KΔ为63 N·mm-3/2

考虑到裂纹扩展过程中eff KΔ为非恒定值且无法准确确定其解析表达式,裂纹扩展增量相对较小时可结合式(8)通过迭代计算确定裂纹扩展寿命:

式中:i = 1,2,… ,m 为裂纹扩展分析子步数;Δai为第i步裂纹扩展增量;ΔNi为相应于Δai的裂纹扩展寿命。

1.2.3 焊接缺陷疲劳效应评估方法

研究表明,正交异性钢桥面板纵肋与横隔板构造细节交叉焊缝部位在手工焊接条件下易于形成焊接缺陷、应力集中效应较为突出,横隔板局部开孔阻碍了力流传递且纵肋腹板厚度较薄(通常为8 mm),上述多种因素共同作用下导致该细节的疲劳损伤效应尤为突出。此处偏于安全地以纵肋腹板厚度 1/2(4 mm)作为临界裂纹尺寸,通过建立足尺节段模型,将特征化初始表面缺陷引入裂纹扩展分析子模型和断裂力学评估框架,根据相互作用积分法确定焊接缺陷影响下复合型开裂模式应力强度因子,结合复合断裂准则并基于ANSYS二次开发平台编写不同类型表面焊接缺陷条件下裂纹扩展与模型更新程序,通过对焊接缺陷所导致的复合开裂过程进行有效模拟,深入分析焊接缺陷对复合型裂纹扩展过程和疲劳寿命的影响规律,从而建立焊接缺陷疲劳效应评估方法。相应的评估流程如图 3所示。

图3 焊接缺陷疲劳效应评估流程图
Fig.3 Flow chart of fatigue effect evaluation of weld defects

2 方法验证

为有效验证焊接缺陷及其疲劳效应评估方法的合理性与可行性,采用此方法对处于典型复合开裂模式下含初始缺陷某三点弯曲梁的疲劳裂纹扩展过程进行精细化模拟,并将裂纹扩展路径、疲劳寿命变化关系曲线及预测结果与疲劳试验实测值进行系统对比与分析。

2.1 试验模型

某三点弯曲梁试件[28]材料为低碳钢,其几何尺寸如图4所示。试件中间底部含有长度为15 mm的初始加工缺口,与水平面间夹角为 60°。在外荷载作用下,试件缺口尖端裂纹处于复合开裂状态,其疲劳裂纹扩展参数分别为C=7.5×10-12 1/2 MPa m·,n=2.75。裂纹扩展过程中对裂纹长度进行测量,并获得相应的裂纹扩展路径与疲劳寿命。

图4 三点弯曲梁试件几何尺寸 /mm
Fig.4 Geometry of three-point bending specimen

2.2 试验结果对比分析

根据所提出分析方法和相应的疲劳效应评估流程(见图3),采用ANSYS建立如图5所示的裂纹扩展分析模型,通过编写裂纹扩展与模型更新程序对该三点弯曲梁试件萌生于缺口的疲劳裂纹扩展过程进行模拟分析。有限元模型插入初始裂纹缺口后的单元与节点数分别为91 748个和131 780个,最后一个扩展步对应的单元数和节点数为 114 682个和168 570个,每个扩展步的计算耗时由单元数和节点数所决定。理论分析与试验实测裂纹扩展路径和疲劳寿命与裂纹长度关系曲线的对比分别如图6和图7所示。研究结果表明:理论分析与疲劳试验实测裂纹扩展路径吻合较好,裂纹扩展全过程中疲劳寿命与裂纹长度间的关系曲线基本一致,忽略试验过程中可能存在的相关误差,可认为所提出的分析方法能够较好地对含初始缺陷结构的疲劳裂纹扩展行为进行分析,并在此基础上基于模拟结果对其疲劳效应进行评估。

图5 疲劳裂纹扩展分析有限元模型
Fig.5 Finite element model for fatigue crack propagation analysis

图6 疲劳裂纹扩展路径对比
Fig.6 Comparisons of fatigue crack propagation paths

图7 裂纹长度与疲劳寿命关系曲线
Fig.7 Relationship between crack length and fatigue life

3 算例分析

3.1 计算模型与构造细节疲劳特性

某大跨连续梁桥主梁采用大悬臂钢箱梁结构,其桥面板为典型的正交异性钢桥面板,大桥按双向6车道设计,设计使用寿命为120年。桥面板纵肋与横隔板构造细节焊缝交叉位置采用手工焊接,易于在焊接过程中形成裂纹、气孔、夹渣等初始缺陷。为建立焊接缺陷评估方法并系统研究其对疲劳性能的效应,以该构造细节所在的钢箱梁节段为研究对象,采用通用有限元软件ANSYS建立了横向包含7个纵肋、纵向6个横隔板间距的三维板壳有限元仿真分析模型。模型采用与实桥一致的Q345 qD钢材,各板件厚度以及纵肋几何尺寸和横隔板局部开孔等均与实桥保持一致;长、宽和高分别为15 m、4.2 m和0.7 m,横隔板间距为2.5 m;顶板与横隔板厚度分别18 mm和16 mm;纵肋采用U形闭口纵肋,其几何尺寸与Euro Code3所推荐的公路桥构造形式一致,厚度为 8 mm。基于所建立的板壳模型,为较为准确地分析纵肋与横隔板交叉焊缝局部区域疲劳特性,并在此基础上探究焊接缺陷的影响,建立了缺陷效应分析精细化实体子模型并编写裂纹扩展模拟程序实现缺陷位置裂纹的扩展分析。子模型横向与纵向均为300 mm、高为365 mm,三维板壳节段模型与实体子模型如图 8所示(为便于表述,节段模型未示出中间两个节段的顶板部分)。

图8 三维节段模型与焊接缺陷分析子模型
Fig.8 Three-dimensional segmental model and solid sub-model for weld defect analysis

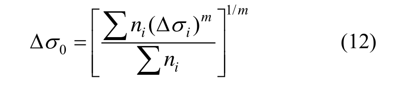
根据《公路钢结构桥梁设计规范》[29],局部构造细节疲劳损伤性能分析采用标准疲劳车进行加载。对于纵肋与横隔板构造细节,其横向疲劳应力幅值影响线相对较短且轮载局部效应较为突出,当采用疲劳荷载计算模型Ⅲ的单车模型进行计算时,单一轮轴横向距离为2 m的轮载以及后轴(距离前轴为 6 m)对于前轴的影响相对较小,分别基于单侧两个轮载和整车模型进行加载所确定的纵肋与横隔板细节的疲劳应力幅值影响线基本相同。在确保计算精度的前提下为提高计算效率,此处采用单侧 2个轮载(第1轴、第2轴单侧轮载)进行加载,计算中考虑了7 cm厚铺装层的扩散效应,单个轮载加载面积为740 mm×340 mm,轮重为60 kN,如图9所示(图中示意轮载面积不包括扩散效应),同时确定了该细节的最不利加载位置及其横向与纵向应力历程,如图10所示。结合线性疲劳累积损伤理论与雨流计数法,可将变幅疲劳强度等效为常幅疲劳强度:

式中:0σΔ和in∑为等效常幅应力幅及其等效作用次数;iσΔ和ni为变幅应力幅及其作用次数;m为疲劳强度S-N曲线对应段的反斜率。

图9 标准疲劳车辆荷载模型及计算轮载 /m
Fig.9 Standard fatigue vehicle model and wheel load

图10 纵肋与横隔板连接焊缝细节应力历程
Fig.10 Stress histories for rib-to-crossbeam welded joints

该大桥设计使用寿命期限内的日均交通量为54 995辆,慢车道与快车道的重车交通量比例为1∶0.1。为便于比较分析,根据有限元分析结果并结合损伤等效原则和式(12),可将该构造细节服役期内的疲劳损伤效应换算为200万次所对应的疲劳强度,相应的等效应力幅值与加载荷载分别为143.7 MPa和295 kN。

3.2 焊接缺陷形态与几何参数

3.2.1 面状缺陷

焊接过程中形成的裂纹、咬边、未熔合和未焊透等均属于常见的面状缺陷类型,其中裂纹易于在结构件表面产生,从而在裂纹尖端形成应力高度集中的局部区域,导致平面裂纹成为对结构件疲劳性能影响最为严重的缺陷形式。研究者所进行的大量理论和试验研究以及缺陷断口观察均表明,面状缺陷位置所萌生的疲劳裂纹在扩展过程中其裂纹面形态近似为半椭圆形和半圆形。对于半椭圆形初始缺陷,焊接缺陷相关评定规范[6-9]建议其初始尺寸取为a0=0.1 mm~0.25 mm,a0/2c0=0.1。针对于面状缺陷的特点,考虑到纵肋腹板厚度仅为 8 mm,此处根据规范推荐取值确定了两种形态下四种不同尺寸初始缺陷的几何参数,见表1所示。

表1 面状初始缺陷几何参数值
Table 1 Metric parameter values of initial planar defects

缺陷形态 类型编号 缺陷几何参数/mm a0 c0半椭圆形SE1 0.2 1.0 SE2 0.5 2.5 SE3 1.0 5.0 SE4 1.5 7.5半圆形SC1 0.2 0.2 SC2 0.5 0.5 SC3 1.0 1.0 SC4 1.5 1.5

3.2.2 体积型缺陷

根据试验研究结果[13-15],结构件在实际焊接过程中所形成的缺陷形态并非全为面状,若直接简化为面状缺陷则会低估疲劳裂纹萌生寿命在疲劳总寿命中所占的比例,导致评价结果偏于保守;对于气孔和夹渣等焊接缺陷,其形态呈现出椭球形或球形特征。鉴于形成于焊缝表面的焊接缺陷对于疲劳性能的影响远大于内部缺陷,因此此处主要针对焊趾表面形成的气孔和夹渣,将其简化为半椭球和半球形两种形态。为便于与半球形缺陷进行对比分析,半椭球缺陷深度方向短半轴 a0取为与长半轴c0相同的初始尺寸,不同形态下四组初始缺陷几何参数值如表2所示。

3.3 焊接缺陷效应分析

基于所建立的焊接缺陷疲劳效应分析方法和理论分析模型,根据初始缺陷几何参数取值将其分别引入实体子模型,在所获得的200万次等效疲劳应力幅值作用下分析不同形态和尺寸焊接缺陷位置裂纹的扩展过程。理论分析中整体板壳模型和实体子模型分别采用SHELL63单元和SOLID185单元模拟,缺陷位置裂纹前缘采用 15节点退化楔形体单元和周围所包裹的两层 20节点六面体单元环共同形成裂纹前缘“模板”,并采用 SOLID187单元实现裂纹尖端应力-应变场奇异性的精确模拟,裂纹前缘奇异单元及裂纹面有限元模型如图11所示。对于面状缺陷,裂纹前缘模板位于深度方向的裂纹尖端,而对于体积型缺陷则位于图 1中由 a0轴和c0轴所确定深度方向的裂纹尖端。裂纹前缘模板半径取为0.06 mm,相应的最小网格尺寸为0.02 mm,并由裂纹尖端区域逐步向周围裂纹面过渡至2 mm,单元尺寸满足楔形体单元对于应力强度因子计算精度的要求。所有分析中裂纹扩展步长结合既有研究结果和规范建议统一划分如下:第 1步~5步为0.2 mm,第 5步~10步为 0.4 mm,此后步长均为0.8 mm。通过对不同缺陷所导致的疲劳裂纹扩展进行分析,从应力强度因子和裂纹扩展速率变化规律、裂纹扩展形态以及疲劳寿命预测等方面揭示焊接缺陷对于纵肋横隔板构造细节疲劳性能的效应。

表2 体积型初始缺陷几何参数值
Table 2 Geometric parameter values of initial volumetric defects

缺陷形态 类型编号 缺陷几何参数/mm a0 b0 c0半椭球形HE11 0.2 a0/3 0.2 HE12 a0/2 HE13 2a0/3 HE21 0.5 a0/3 0.5 HE22 a0/2 HE23 2a0/3 HE31 1.0 a0/3 1.0 HE32 a0/2 HE33 2a0/3 HE41 1.5 a0/3 1.5 HE42 a0 /2 HE43 2a0/3半球形HS1 0.2 0.2 0.2 HS2 0.5 0.5 0.5 HS3 1.0 1.0 1.0 HS4 1.5 1.5 1.5

图11 裂纹前缘模板与奇异单元
Fig.11 Template and singular elements at the crack front

3.3.1 疲劳裂纹扩展关键指标

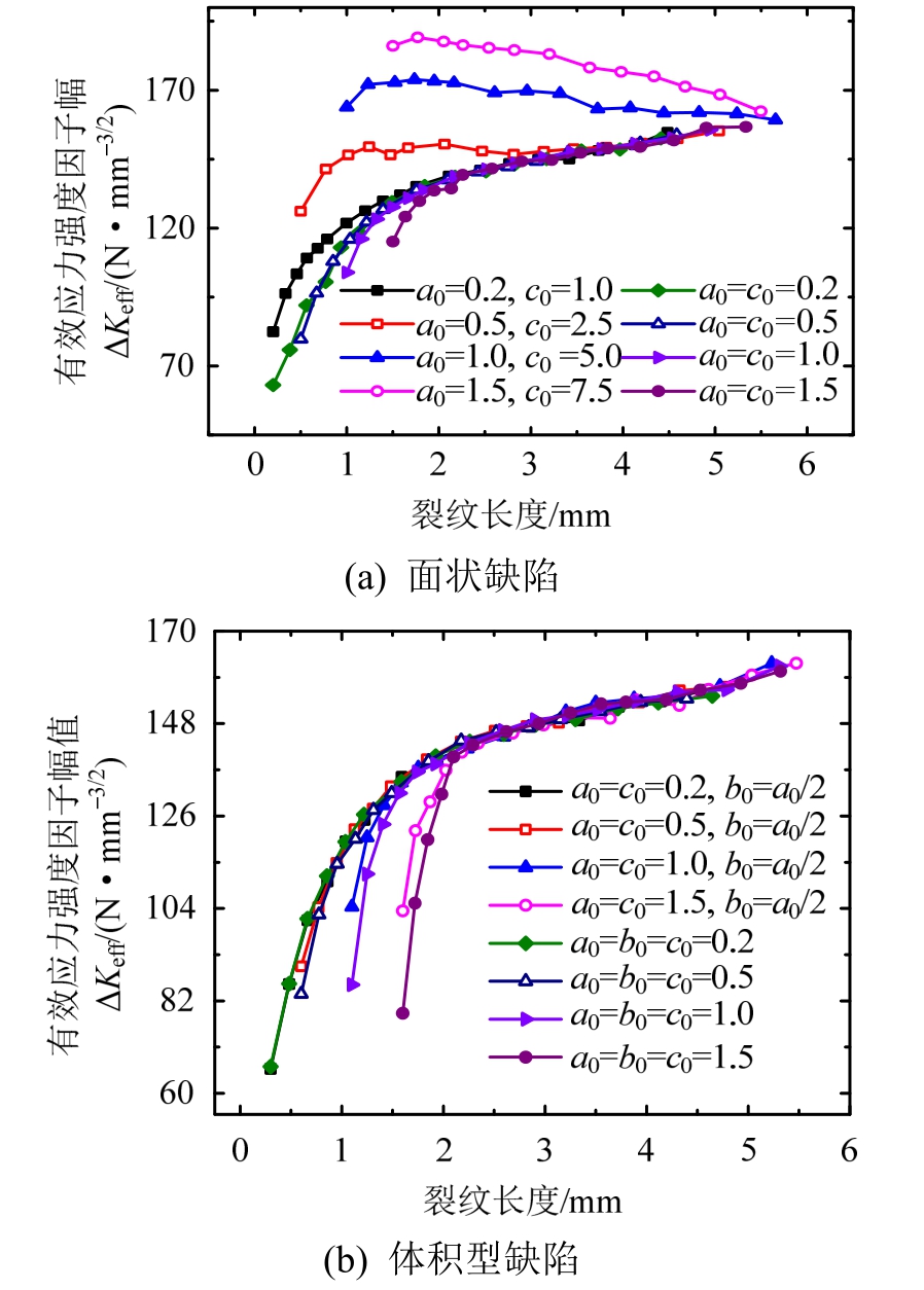
应力强度因子与裂纹扩展速率作为疲劳裂纹扩展的重要度量指标,直接决定着裂纹扩展所处的状态和结构件的疲劳寿命。初始焊接缺陷尺寸与类型的不同导致上述关键指标在裂纹扩展过程中呈现出差异性的变化规律,根据分析结果,相应于不同的初始缺陷类型,纵肋与横隔板构造细节在复合开裂状态下其有效应力强度因子幅值与裂纹扩展速率的变化分别如图12和图13所示。图中裂纹长度为裂纹沿板厚方向的扩展长度,限于篇幅,对于半椭球形缺陷仅列出b0=a0/2时的分析结果。

图12 有效应力强度因子幅值变化规律
Fig.12 Variations of effective stress intensity factor amplitudes

图13 疲劳裂纹扩展速率变化规律
Fig.13 Variations of fatigue crack propagation rates

研究结果表明,除半椭圆形缺陷外,其余三种缺陷形态下有效应力强度因子幅值的变化规律较为一致,达到相同裂纹长度时,同一形态下应力强度因子幅值基本相同,仅在裂纹扩展初期因初始缺陷尺寸不同而存在一定差异;随着初始缺陷尺寸的增加,半椭圆形缺陷条件下初始阶段的有效应力强度因子幅值受缺陷深度影响较为显著,缺陷深度超过一定长度(约 1 mm)后应力强度因子幅值呈下降趋势,表明深度与长度的比值对于裂纹扩展初期的有效应力强度因子幅值具有显著影响,但随裂纹扩展相应幅值间的差异逐渐减小。对于疲劳裂纹扩展速率,面状缺陷与体积型缺陷的裂纹扩展速率变化趋势基本一致,焊接缺陷形态与裂纹扩展长度相同时,相应于同类缺陷的裂纹扩展速率近似相等,不再受初始缺陷几何尺寸的影响。

3.3.2 裂纹扩展形态

裂纹扩展过程中其形态变化本质上由应力强度因子和裂纹扩展增量所确定,在统一的裂纹扩展增量条件下,相应于不同初始缺陷的裂纹扩展形态对比如图14所示。体积型初始缺陷几何参数b0对裂纹形态影响较小,此处仅列出 b0=a0/2时的裂纹扩展形态对比结果。

根据分析结果,半椭圆形缺陷位置所萌生的疲劳裂纹在扩展过程中其形态变化与其余三类缺陷存在显著差异,前者随初始缺陷深度a0的增大,裂纹形状比均呈现先快速减小后趋于相同量值的趋势,表明裂纹扩展初期深度方向扩展较快而后期则长度方向扩展较快;对于半圆形和体积形缺陷位置萌生的疲劳裂纹,因缺陷形态和几何尺寸的不同,裂纹扩展形态初期存在一定差异,裂纹扩展至一定长度后,其形状比变化趋势和量值基本一致,不再受初始缺陷的影响。

3.3.3 疲劳寿命预测

图14 裂纹扩展形态对比
Fig.14 Comparisons of crack grow th shape changes

对于类似于纵肋与横隔板一类典型疲劳易损细节而言,初始焊接缺陷在一定程度上改变了该位置所萌生疲劳裂纹的局部应力-应变状态和裂纹扩展行为,并最终导致疲劳寿命的降低。基于分析结果,采用1.2节所述方法对不同初始缺陷类型下裂纹扩展寿命及其变化规律进行预测,如图15所示,达到假定临界裂纹长度时疲劳寿命预测结果的对比如图16所示。图16中“HE i”表示同组三类初始缺陷HE i1、HE i2和HE i3(i=1, 2和3)。

图15 基于缺陷类型与裂纹长度的疲劳寿命预测
Fig.15 Fatigue life predictions under different initial weld defects and crack lengths

图16 疲劳寿命预测结果对比
Fig.16 Comparisons of predicted fatigue lives

由图15和图16所示疲劳寿命预测结果对比可知,对于所有焊接缺陷类型,疲劳裂纹扩展至相同长度时,随初始缺陷深度a0的增大疲劳寿命依次降低。面状初始缺陷深度 a0与长度 c0的比值对于疲劳寿命具有显著影响,且随比值减小疲劳寿命大幅降低;而体积型缺陷控制参数尺寸b0对于疲劳寿命预测结果的影响较小,此类型缺陷对于疲劳寿命的效应主要由缺陷深度 a0控制。当初始缺陷深度 a0达到 1.0 mm或 1.5 mm时,仅半圆形初始缺陷在a0=1.0 mm影响下纵肋与横隔板细节的疲劳寿命满足设计要求,相应的疲劳寿命为235.9万次,其余类型初始缺陷条件下其疲劳寿命均低于200万次。初始缺陷深度a0为1.0 mm时,两类面状缺陷对于疲劳寿命的影响具有最大差异,半椭圆形与半圆形缺陷下疲劳寿命预测值分别为 118.8万次和 235.9万次,两者相差117.1万次;而a0为1.5 mm时,两类体积型缺陷下疲劳寿命预测值相差最大且仅为9.4万次。当初始缺陷深度a0相同时,面状缺陷与体积型缺陷对疲劳寿命影响的差异在 a0为1.5 mm时达最大,相应于半椭圆形和半圆形初始缺陷的疲劳寿命分别为77.7万次和164.9万次。

4 结论

基于焊接缺陷形态特征对其进行合理简化,结合断裂力学提出了焊接缺陷疲劳效应评估方法,通过模型试验对其可行性与合理性进行了验证,在此基础上针对正交异性钢桥面板结构中纵肋与横隔板这一典型疲劳易损细节,分析不同形态和尺度的初始焊接缺陷对于其疲劳性能的影响,根据分析结果得出如下结论:

(1) 在断裂力学框架下引入特征化的初始焊接缺陷,采用相互作用积分法分离基本开裂模式下的应力强度因子,通过退化楔形体单元实现裂纹尖端奇异性的模拟,结合复合断裂准则与ANSYS二次开发编写焊接缺陷条件下裂纹扩展与模型更新程序可建立表面焊接缺陷疲劳性能效应的评估方法;

(2) 初始焊接缺陷对于度量疲劳裂纹扩展状态的关键指标均具有一定影响,疲劳寿命预测结果对于面状缺陷的形态和初始几何参数值均较为敏感,而体积型缺陷对于疲劳寿命的影响则主要由缺陷深度控制,其余缺陷尺寸影响相对较小;

(3) 初始缺陷深度为1.5 mm时,所有类型表面缺陷影响下纵肋与横隔板焊接细节的疲劳寿命均小于设计寿命;面状缺陷影响下疲劳寿命预测值间的最大差值为117.1万次,体积型为9.4万次,而面状缺陷与体积型缺陷之间则为87.2万次;

(4) 面状缺陷和体积型缺陷对于疲劳性能的效应存在显著差异,直接简化为面状缺陷可能会低估构造细节的疲劳寿命,缺陷特征化应综合考虑工程实践与缺陷评定规范建议而确定;

(5) 焊接缺陷的形成具有较强的随机性,基于统计数据以概率形式考虑初始焊接缺陷几何参数的不确定性,从而建立焊接缺陷疲劳效应的可靠度评估方法有待于进一步研究。

参考文献:

[1] Fisher J W. Fatigue and fracture in steel bridges: case studies [M]. New York: John Wiley & Sons, 1984: 1.

[2] Gurney T R. Fatigue of welded structures [M].Cambridge: Cambridge University Press, 1979.

[3] 张清华, 卜一之, 李乔. 正交异性钢桥面板疲劳问题的研究进展[J]. 中国公路学报, 2017, 30(3): 14―30, 39.Zhang Qinghua, Bu Yizhi, Li Qiao. Review on fatigue research of orthotropic steel bridge deck [J]. China Journal of Highway and Transport, 2017, 30(3): 14―30,39. (in Chinese)

[4] 黄云. 基于损伤力学的正交异性板疲劳裂纹形成寿命研究[D]. 成都: 西南交通大学, 2013.Huang Yun. Fatigue crack initiation life prediction of orthotropic steel decks based on damage mechanics [D].Chengdu: Southwest Jiaotong University, 2013. (in Chinese)

[5] Guerchais R, Morel F, Saintier N. Effect of defect size and shape on the high-cycle fatigue behavior [J].International Journal of Fatigue, 2017, 100: 530―539.

[6] BS7910, Guide on methods for assessing the acceptability of flaws in metallic structures [S]. London:British Standard Institution, 2013.

[7] BS7608, Guide to fatigue design and assessment of steel products [S]. London: British Standard Institution, 2014.

[8] Hobbacher A F. Recommendations for fatigue design of welded joints and components [M]. Sw itzerland:Springer International Publishing, 2016.

[9] Radaj D, Sonsino C M, Fricke W. Fatigue assessment of welded joints by local approaches [M]. Cambridge:Woodhead Publishing, 2006.

[10] Maddox S J. Assessing the significance of flaws in welds subject to fatigue [J]. Welding Research Supplement,1974, 53(9): 401―409(s).

[11] Moore P, Booth G. The welding engineer’s guide to fracture and fatigue [M]. Cambridge: Woodhead Publishing, 2014.

[12] Wang G, Liao T W. Automatic identification of different types of welding defects in radiographic images [J]. NDT& E International, 2002, 35(8): 519―528.

[13] Murakami Y. Metal fatigue: effects of small defects and nonmetallic inclusions [M]. Oxford: Elsevier, 2002.

[14] 刘曦. 含焊接缺陷构件的疲劳试验研究[J]. 化工机械,2012, 39(2): 162―164.Liu Xi. Fatigue testing research of components w ith welding defects [J]. Chemical Engineering & Machinery,2012, 39(2): 162―164. (in Chinese)

[15] 沈士明, 刘曦, 戴树和. 焊缝中体积型缺陷的疲劳行为和评定[J]. 压力容器, 1995, 12(6): 491―495.Shen Shim ing, Liu Xi, Dai Shuhe. The fatigue behaviour and evaluation in welds of non-planar defect [J]. Pressure Vessel Technology, 1995, 12(6): 491―495. (in Chinese)

[16] Xiang Y, Lu Z, Liu Y. Crack grow th-based fatigue life prediction using an equivalent initial flaw model. Part I:Uniaxial loading [J]. International Journal of Fatigue,2010, 32(2): 341―349.

[17] 霍立兴. 焊接结构的断裂行为及评定[M]. 北京: 中国建筑工业出版社, 2000.Huo Lixing. Fracture behavior and evaluation of welded structures [M]. Beijing: China Building Industry Press,2000. (in Chinese)

[18] 王元清, 廖小伟, 周晖, 等. 基于SINTAP-FAD方法的含裂纹缺陷钢结构构件安全性评定研究[J]. 工程力学,2017, 34(5):42―51.Wang Yuanqing, Liao Xiaowei, Zhou Hui, et al. Safety assessment of steel structure components w ith crack defects w ith SINTAP-FAD method [J]. Engineering Mechanics, 2017, 34(5):42―51. (in Chinese)

[19] 周太全, 陈鸿天. 具初始裂纹钢桥梁焊接构件疲劳裂纹扩展和疲劳寿命计算[J]. 船舶力学, 2009, 13(1):91―99.Zhou Taiquan, Chen Hongtian. Fatigue crack grow th and fatigue life evaluation for welded steel bridge members w ith initial crack [J]. Journal of Ship Mechanics, 2009,13(1): 91―99. (in Chinese)

[20] Petcher P A, Dixon S. Weld defect detection using PPM EMAT generated shear horizontal ultrasound [J]. NDT &E International, 2015, 74: 58―65.

[21] Yau J F, Wang S S, Corten H T. A m ixed-mode crack analysis of isotropic solids using conservation laws of elasticity [J]. Journal of Applied Mechanics, 1980, 47(2):335―341.

RESEARCH ON SURFACE DEFECTS AND FATIGUE EFFECTS AT RIB-TO-CROSSBEAM WELDED JOINTS OF ORTHOTROPIC STEEL BRIDGE DECKS

HUANG Yun , ZHANG Qing-hua , GUO Ya-wen , BU Yi-zhi
(Department of Bridge Engineering, Southwest Jiaotong University, Chengdu, Sichuan 610031, China)

Abstract: The initial weld defect is one of the key factors which have major influences on the fatigue performance of structures and components. Characteristic initial weld defects were introduced into the fracture mechanics evaluation framework, the interaction energy integral method and mixed-mode fracture criterion were adopted to address the fatigue crack propagation caused by surface defects. On this basis, an analytical approach,which can assess the impact of surface defects on fatigue, was established by means of w riting a program of simulating fatigue crack grow th. Detailed analysis was carried out to reveal the effects of initial weld defects w ith different shapes and dimensions on the key indices of crack propagation and fatigue life prediction at the rib-to-crossbeam welded joints of orthotropic steel bridge decks. The results indicate that the proposed approach can be effectively applied to evaluate the influences of surface weld defects on the fatigue properties of weld toes.Planar defects have more remarkable influences on the evaluation indices of crack propagation and of predicted fatigue life; initial depth and shape are both critical factors that have a significant impact on fatigue performance;and the influences of volumetric weld defects are mainly controlled by the size in the depth direction. The shape and geometric parameter values of initial weld defects should be determ ined according to engineering practice and recommended values from specifications, and the fatigue life could be underestimated if all the defects are roughly simplified as planar defects. Further research should be dedicated to the reliability assessment method considering the uncertainty of weld defects.

Key words: orthotropic steel bridge deck; weld defect; rib-to-crossbeam welded joint; fracture mechanics;stress intensity factor; fatigue life prediction; fatigue crack propagation

中图分类号:U443.31

文献标志码:A

doi: 10.6052/j.issn.1000-4750. 2017.12.0973

文章编号:1000-4750(2019)03-0203-11

收稿日期:2017-12-25;修改日期:2018-07-19

基金项目:国家自然科学基金项目(51778533;51578455);国家科技支撑计划项目(2006BAG04B03);湖北省交通运输厅科技项目(2017-538-2-4)

通讯作者:张清华(1975―),男,河南虞城人,教授,博士,博导,主要从事高性能钢结构与钢-混组合结构桥梁研究(E-mail: sw jtuzqh@126.com).

作者简介:

黄 云(1985―),男,云南富民人,博士生,主要从事高性能钢结构与钢-混组合结构桥梁研究(E-mail: civilhy@163.com);

郭亚文(1993―),男,河南鹿邑人,硕士生,主要从事高性能钢结构与钢-混组合结构桥梁研究(E-mail: yawenguoguo@163.com);

卜一之(1961―),男,北京人,教授,博士,博导,主要从事高性能钢结构与钢-混组合结构桥梁研究(E-mail: yizhibu@163.com).