外包钢板-高延性混凝土组合连梁抗震性能试验研究

邓明科1,吕 浩1,宋恒钊1,2

(1. 西安建筑科技大学土木工程学院,西安 710055;2. 上海宝冶建筑设计研究院,上海 200941)

摘 要:为改善小跨高比连梁的抗震性能,采用高延性混凝土(HDC)代替混凝土,设计了2个外包钢板-HDC组合连梁、1个外包钢板-混凝土组合连梁和1个内置钢板-HDC组合连梁试件。通过拟静力试验,研究其破坏形态、变形能力及耗能能力。试验结果表明:采用HDC代替混凝土可提高外包钢板组合连梁的变形能力和耐损伤能力;HDC与钢腹板的协同工作性能较好,有利于钢腹板抗剪作用的发挥;外包钢板-HDC组合连梁的耗能能力明显高于外包钢板-混凝土组合连梁和内置钢板组合连梁;外包钢板-HDC组合连梁的剪压比设计值为0.65~0.70,其剪压比明显高于内置钢板组合连梁。因此,采用外包钢板-HDC组合连梁,可提高小跨高比连梁的剪压比限值,解决连梁设计中剪压比超限的问题。

关键词:高延性混凝土;外包钢板-混凝土组合连梁;小跨高比;拟静力试验;抗震性能

联肢剪力墙结构是一种有效的抗侧力结构体系,在高层或超高层建筑结构中广泛采用。连梁是高层或超高层建筑结构的关键耗能构件,给墙肢提供了足够的约束作用。联肢剪力墙结构中的小跨高比连梁(即跨高比不大于 2.5)在强烈地震作用下容易发生延性不足的剪切破坏,难以发挥连梁的屈服屈服耗能机制和第一道抗震防线作用。

为改善钢筋混凝土连梁的抗震性能,最早由Paulay等[1]提出交叉暗支撑配筋方案,先后被多国规范采用。随后各国学者相继提出菱形配筋[2]、对角交叉斜筋[3-4]、复合斜筋[5]、三层封闭箍筋[6]、内置钢桁架[7]等配筋方式,虽然这些组合连梁可以解决传统钢筋混凝土连梁抗剪能力不足的问题,变形和耗能能力有所提升,但无法从根本上改变混凝土连梁的脆性剪切破坏模式,且施工困难,施工质量难以保证。近些年国内外学者又提出内置钢板-混凝土组合连梁[8-13]、外包钢板-混凝土组合连梁[14],钢板-混凝土组合连梁解决了传统钢筋混凝土连梁抗剪能力不足的问题,具有较好的变形能力与耗能能力,但由于钢材和混凝土的变形能力相差较大,混凝土的耐损伤能力差,二者协同工作性能有待改善。

高延性混凝土[15-17] (high ductile concrete,HDC)是一种具有高强度、高韧性和高耐损伤能力的新型结构材料,具有明显的受拉应变-硬化特性,与高延性水泥基复合材料[18-19] (engineered cementitious composite,ECC)、超高韧性水泥基复合材料[20] (ultra high toughness cementitious composite,UHTCC)、纤维增强混凝土[21-23] (fiber reinforced concrete,FRC)的力学性能相似。梁兴文等[21-23]研究结果表明,纤维增强混凝土可提高连梁的承载力、延性和耗能能力,能够满足强震下的承载力和变形需求。为进一步改善外包钢板组合连梁的延性及耗能能力,有效地减小地震作用所造成的损失,本文提出外包钢板-HDC组合连梁。设计了 2个外包钢板-HDC组合连梁、1个外包钢板-混凝土组合连梁和1个内置钢板-HDC组合连梁,并对其进行拟静力试验,研究其抗震性能,为外包钢板-HDC组合连梁在高烈度设防地区的应用提供参考。

1 试验概况

1.1 试件设计

试验设计并制作了 1个外包钢板-混凝土组合连梁、2个外包钢板-高延性混凝土组合连梁和1个内置钢板-高延性混凝土组合连梁,试件编号分别为CL-2.5、DL-2.5、DL-1.5、DB-1.5,连梁截面尺寸为120 mm×400 mm,不同跨高比是通过改变连梁的跨度来实现的。外包钢腹板厚度为 3 mm,高度为400 mm,配钢率为5.0%。内置钢板厚度为6 mm,高度为 320 mm,配钢率均为 4.21%。试件 CL-2.5和DL-2.5上、下侧纵向受力钢筋均采用216,单侧纵向钢筋的配筋率为0.84%;试件DB-1.5上、下侧纵向受力钢筋均采用 218,单侧纵向钢筋的配筋率为1.12%;箍筋均采用2φ8@150,箍筋配箍率为0.56%,腰筋为210。各试件的设计参数如表1所示。

表1 试件基本参数
Table 1 Parameters of specimens

注: n/l h为连梁跨高比; n l为连梁净跨;h为连梁截面高度。

试件编号布板方式 n/l h 钢板厚/mm 纵筋 配板率ρ/(%)内填材料翼缘 腹板CL-2.5 外包 2.5 8 3 2■16 5.0 混凝土DL-2.5 外包 2.5 8 3 2■16 5.0 HDC DL-1.5 外包 1.5 5 3 — 5.0 HDC DB-1.5 内置 1.5 — 6 2■18 4.2 HDC

对于外包钢板组合连梁,两端均嵌入钢筋混凝土墙肢内,为了保证梁墙节点处连接可靠,钢板锚入墙肢的长度均为 400 mm,其中锚入部分的钢翼缘上设有抗剪栓钉,每侧各布置4个直径为16 mm的栓钉。为保证钢板与混凝土共同工作,采用对穿螺栓连接外包钢板与内填混凝土,对穿螺栓选用直径16 mm的8.8级普通螺栓。图1给出了试件DL-2.5的几何尺寸及配筋图。

图1 试件DL-2.5几何尺寸及配筋
Fig.1 Geometry size and reinforcement of DL-2.5 specimen

对于内置钢板-高延性混凝土组合连梁,为保证钢板在墙肢混凝土内形成有效锚固,钢板在墙肢内锚固长度为 400 mm,竖向钢筋、钢板与底座均采用焊接。为增强钢板与混凝土的粘结作用,沿内置钢板长度方向布置两排对穿螺栓。试件采用可替换式刚性底梁,并在底梁与连梁试验区段之间设置高度为200 mm的外包钢板HDC过渡区域,以便于试件与底梁采用螺栓连接。图 2给出了试件 DB-1.5的几何尺寸及配筋图。

1.2 材料性能

试验采用的高延性混凝土主要成分由水泥、粉煤灰、精细河砂、矿物掺合料、水、高效减水剂和PVA纤维组成。PVA纤维体积掺量为2%,纤维各项力学性能指标如表2所示。

图2 试件DB-1.5几何尺寸及配筋
Fig.2 Geometry size and reinforcement of DB-1.5 specimen

表2 PVA纤维各项性能指标
Table 2 Performance Indicators of PVA

长度L f/mm直径d f/μm长径比抗拉强度f u/MPa弹性模量E f/GPa伸长率A f/(%)12 39 310 1600 40 7

组合连梁的制作和养护均在西安建筑科技大学结构实验室里进行,试件的钢筋骨架如图3所示。试件均为同一批次浇筑,试块与试件在同条件下进行养护。采用边长为150 mm的立方体试块,测得混凝土立方体抗压强度平均值为55.3 MPa,其棱柱体抗压强度按换算取值。依据《高延性混凝土应用技术规程》[24],采用边长为70.7 mm的立方体试块,测得HDC立方体抗压强度平均值为61.5 MPa,HDC棱柱体抗压强度按换算取值。按照《钢及钢产品力学性能试验取样位置及试样制备》(GB/T 2975―1998)的要求,对钢板进行取样试验。钢板和钢筋的材料力学性能如表3所示。

1.3 试验加载

试验加载装置如图4所示。试件下端块固定在刚性台座上,上端块与L形加载梁连接固定。该装置顶部的平行四边形连杆机构可保证施加水平荷载时连梁试件端部不发生转动,即只能产生水平和竖向位移。

图3 组合连梁的钢骨架
Fig.3 Steel skeleton of composite coupling beams

表3 钢板和钢筋的材性指标
Table 3 Material properties of plate and reinforcement

类别 牌号 厚度(直径)/mm屈服强度/MPa抗拉强度/MPa屈服应变/(×10-6)钢板Q235 3 285 439 1383 Q235 5 261 401 1267 Q235 6 248 395 1204 Q235 8 320 487 1553钢筋HPB300 φ6 433 510 2062 HPB300 φ8 405 475 1929 HRB400 ■12 475 622 2375 HRB400 ■16 449 655 2245 HRB400 ■18 427 609 2135 HRB400 ■20 464 601 2320

图4 试验加载装置
Fig.4 Test setup

本次试验采用荷载-位移混合控制加载。试件屈服前按荷载控制,每级荷载增量为 40 kN,每级循环 1次;以试件中钢板(钢筋)达到屈服应变或试件的荷载-位移曲线出现明显转折,作为确定试件屈服的依据,试件屈服后改用位移控制,按屈服位移的整数倍进行加载,每级循环3次,直至试件破坏或荷载下降至最大荷载的85%以下,停止加载。试验加载制度如图5所示。

图5 试验加载制度
Fig.5 Loading protocol of test

1.4 测试方案

试件测点布置如图6所示,在上端块下边缘安装位移计A用于测试连梁的水平位移;在下端块边缘安装位移计F用于测试试件的整体水平滑移值,位移计A、F的差值即为连梁两端的相对线位移Δ。通过位移计B和C测试连梁的弯曲变形;沿试件下部对角线方向布置位移计D和E,测试连梁的剪切转角γ以及剪切变形对应的线位移vΔ。

对于外包钢板组合连梁,分别采用 SFL、SFR和SW表示试件左侧钢翼缘、右侧钢翼缘和钢腹板的应变片。

图6 测点布置
Fig.6 Measuring points arrangement

2 试验结果及分析

2.1 试验过程及破坏形态

2.1.1 试验现象

为了便于描述,规定加载以推为正向,拉为负向。位移角θ定义为连梁两端相对水平位移与连梁净跨的比值,

试件CL-2.5按荷载控制加载时,未出现明显的现象;按位移加载至θ=1/25时,承载力达到峰值荷载,连梁钢腹板右下角出现剪切屈曲,右侧翼缘下部出现局部受压屈曲;加载至θ=1/18时,承载力下降至峰值荷载的85%以下,试验结束。

试件DL-2.5拉至θ=1/36时,钢腹板上侧中部出现沿45°方向的剪切屈曲拉力带,推至θ=1/29第1次循环,钢腹板中上部出现了剪切屈曲,且钢翼缘受压区开始出现局部受压屈曲;拉至θ=1/29第1次循环,钢腹板中、下部出现三条剪切屈曲拉力带,钢翼缘出现受压屈曲;加载至θ=1/24时,试件达到峰值荷载,此时钢板的屈曲形态如图7(b)所示。加载至θ=1/18时,承载力降至峰值荷载的85%以下,试验结束。

试件 DL-1.5按位移加载至 θ=1/32,钢腹板左上角出现沿 45°方向剪切屈曲拉力带,右侧钢翼缘下部开始出现受压屈曲;推至θ=1/32第3次循环,钢腹板右上角出现剪切屈曲,左侧翼缘下部出现局部受压屈曲,右侧钢翼缘上部出现受压屈曲;推至θ=1/21时,达到峰值荷载,此时钢板的压屈形态如图7(c)所示。加载至θ=1/16第2次循环,承载力下降至峰值荷载的85%以下,试验结束。

图7 峰值荷载时钢板屈曲形态
Fig.7 Buckling shape of steel plates at peak load

试件DB-1.5推至160 kN (θ=1/163)时,右下角出现首条斜裂缝,随着荷载增大,出现多条平行细密斜裂缝;推至360 kN (θ=1/62)时,斜裂缝增多且分布更广,试件屈服;按位移加载至θ=1/30时,主拉裂缝形成,裂缝宽度约为 4 mm,承载力达到峰值荷载,裂缝分布情况如图8(a)所示;加载至θ=1/12时,主斜裂缝宽度已达10 mm,承载力下降至峰值荷载的85%以下,试验结束,裂缝分布情况如图8(b)所示。

图8 DB-1.5试件裂缝分布情况
Fig.8 Cracks distribution of DB-1.5 specimen

2.1.2 钢板剪力分析

钢腹板处于平面应力状态,其测点的正应变和剪应变通过应变花测量的数据确定。

连梁的坐标系如图9所示,x方向为连梁的轴线方向。应变花如图10所示,x-y平面的正应变、剪应变和剪应力可按下式确定。

式中:xε、yε、xyγ分别为钢腹板x方向正应变、y方向正应变和剪应变;1ε、2ε、3ε分别为应变花三个方向的应变值;ν为钢板泊松比,取为0.3;pwτ为钢腹板剪应力。

图9 连梁坐标系
Fig.9 Coordinate system of coupling beam


图10 应变花示意图
Fig.10 Strain-gauge rosette diagram

连梁钢腹板承担剪力可以通过钢腹板剪应力沿梁高积分求得,如下式所示:

式中:h为连梁截面高度; pw t 为钢腹板厚度。

外包钢板组合连梁的总剪力由外包钢板和混凝土承担,其中混凝土承担的剪力 c V可按式(4)计算:

同理,内置钢板组合连梁的总剪力由内置钢板和钢筋混凝土承担,其中钢筋混凝土承担的剪力V R C 可按式(5)计算:

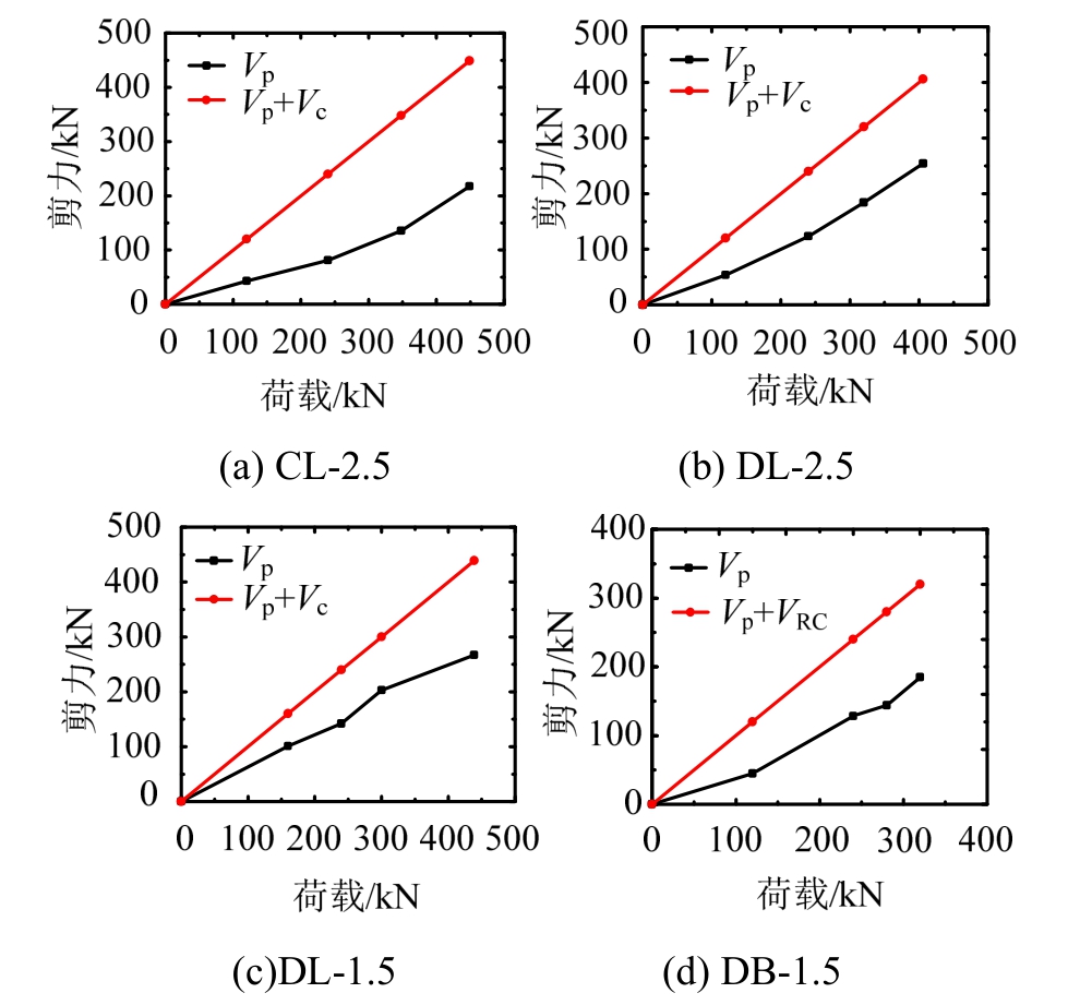
根据试验测试结果,钢腹板屈服以前,组合连梁钢腹板承担的剪力随荷载增加的变化规律如图11所示。由图11可知:

1) 随着荷载增加,组合连梁钢腹板承担的剪力均不断增大。

2) 随着连梁跨高比减小,钢腹板发挥的抗剪作用增大。

3) 当钢腹板接近屈服时,试件CL-2.5、DL-2.5、DL-1.5、DB-1.5钢腹板分别承担的剪力约占连梁总剪力的48.4%、60.8%、62.6%、57.8%,试件DL-2.5钢腹板承担的剪力比例是试件CL-2.5的1.26倍,表明采用 HDC替代普通混凝土更利于钢腹板抗剪作用的发挥,HDC与钢腹板的协同工作性能更好。

图11 组合连梁钢腹板的剪力随荷载的变化
Fig.11 Shear of steel webs along w ith the change of load

2.1.3 钢筋与钢板应变分析

根据试验测试结果,四个试件的钢腹板、钢翼缘、纵筋和箍筋达到屈服时的荷载分析如下:

1) 试件CL-2.5钢腹板在0.78 m P(峰值荷载)时达到屈服,钢翼缘在 0.93 m P时达到屈服,纵筋在(0.74~0.94)m P 之间达到屈服;试件 DL-2.5钢腹板在0.72 m P时达到屈服,钢翼缘在0.95 m P时达到屈服,纵筋在(0.72~0.90)m P 之间达到屈服。表明HDC与钢腹板协同工作可较好发挥钢板的抗剪作用。

2) 试件DL-1.5钢腹板和钢翼缘均在0.74 m P时达到屈服。试件DB-1.5钢腹板在0.73 m P时达到屈服,箍筋在0.83 m P时达到屈服;达到峰值荷载时,纵筋应变为屈服应变的0.72倍~0.95倍。表明钢板组合连梁中钢腹板均充分发挥其抗剪作用。

2.1.4 破坏形态

为观察外包钢板组合试件内部的破坏情况,试验加载结束后,将一侧钢腹板剖开,观察到各试件内部的破坏形态如图12所示。

图12 试件内部的破坏形态
Fig.12 The internal failure modes of specimens

由图12可知,试件CL-2.5出现了明显的交叉斜裂缝,上、下端混凝土均出现压酥及剥落,其下端尤其严重,属于弯剪型破坏;试件DL-2.5的内部HDC仅出现细密的剪切裂缝,钢腹板剪切屈曲明显,属于弯剪型破坏;试件DL-1.5上、下端出现贯通水平裂缝,其他部位出现细密的剪切裂缝,钢腹板剪切屈曲明显,属于剪切型破坏。由图8可见,试件 DB-1.5形成了较宽的剪切裂缝,表现为具有一定延性的剪切破坏。

试件 CL-2.5~DB-1.5与文献[14]的外包钢板混凝土组合连梁试件和文献[12]的内置钢板混凝土组合连梁试件对比分析,具有以下特点:

1) 与试件CL-2.5相比,试件DL-2.5、DL-1.5破坏以前内填 HDC未出现压碎或剥落现象,表明HDC良好的受拉应变硬化特性,可提高组合连梁的耐损伤能力,使试件保持较好的完整性。

2) 采用对穿螺栓拉结,钢板平面外屈曲延迟,钢板屈曲后还可以发挥其斜向拉力场作用。

3) 文献[14]试件 CFSCB1~CFSCB5的角部钢板开裂,裂口迅速扩展,达到峰值荷载。本文试件CL-2.5~DL-1.5始终未出现焊缝撕裂或钢板开裂现象。

4) 文献[12]试件 PRC-CB1~PRC-CB3 破坏时,腹板混凝土大面积压碎、剥落,箍筋外露。而试件DB-1.5仅出现多条细密斜裂缝,达到破坏时仍保持较好的完整性,未出现HDC剥落现象。表明HDC良好的应变硬化特性,可有效控制剪切斜裂缝的开展,防止保护层压碎、剥落,提高内置钢板组合连梁的耐损伤能力。

2.2 滞回曲线

试验测得四个试件的滞回曲线如图 13所示。由图可知,各试件的滞回曲线有如下特征:

1) 加载初期,组合连梁的荷载-位移曲线近似呈线性关系,加载和卸载曲线基本重合,滞回环狭窄细长,残余变形较小,试件基本处于弹性工作状态。

2) 试件屈服以后,CL-2.5的滞回曲线具有轻微的捏拢现象,试件DL-2.5的滞回曲线饱满,是因为HDC中PVA纤维的桥接作用,使内部斜裂缝的开展受到抑制。因此,外包钢板-HDC组合连梁具有更好的耐损伤能力。

图13 试件的滞回曲线
Fig.13 Hysteretic loops of specimens

3) 试件CL-2.5~DL-1.5的滞回曲线接近于梭形,滞回环相对饱满;试件DB-1.5的滞回曲线为反S型,且捏拢现象明显。表明外包钢板组合连梁比内置钢板组合连梁具有更好的延性和耗能能力。

2.3 骨架曲线

根据荷载-位移滞回曲线可以绘出四个组合连梁试件的骨架曲线,如图14所示。采用能量等值法[25],确定试件的屈服位移;以骨架曲线上荷载下降至峰值荷载 85%时对应的点确定极限位移,并以极限位移与屈服位移之比确定位移延性系数。各试件特征点的试验结果见表4。由图14和表4可知:

1) 跨高比对试件承载力的影响较大,跨高比越小,组合连梁的承载力越大。

2) 试件DL-2.5承载力略低于试件CL-2.5,是因为钢翼缘和纵筋均在峰值荷载前达到屈服,使HDC良好的抗剪性能未得到充分发挥。

3) 在跨高比相同条件下,试件DL-1.5的承载力为DB-1.5的1.38倍,表明外包钢板组合连梁的承载力明显高于内置钢板组合连梁。

图14 试件骨架曲线
Fig.14 Skeleton curves of specimens

表4 试件特征点试验结果
Table 4 Experimental results of specimens at characteristic points

注:y P、yΔ、yθ分别为试件的屈服荷载、屈服位移、屈服位移角;m P、mΔ、mθ分别为峰值荷载、峰值位移、峰值位移角;u P、uΔ、uθ分别为破坏荷载、极限位移、极限位移角;μ为位移延性系数。荷载、位移均取试件推、拉两个方向加载的平均值。

数据来源试件编号屈服荷载 峰值荷载 极限位移 μ P y/kN Δy/mm θy P m/kN Δm/mm θm P u/kN Δu/mm θu本试验CL-2.5 491.50 20.45 1/49 568.11 40.06 1/25 482.89 45.17 1/22 2.21 DL-2.5 475.54 18.70 1/54 554.04 41.61 1/24 470.94 46.16 1/22 2.47 DL-1.5 498.89 13.55 1/44 594.65 28.10 1/21 505.46 31.00 1/19 2.29 DB-1.5 375.00 11.77 1/51 429.87 19.60 1/31 365.39 32.85 1/18 2.79文献[14]CFSCB-1 470.00 8.55 1/87 545.00 21.60 1/36 463.50 26.63 1/29 2.10 CFSCB-2 330.00 7.35 1/106 369.00 11.55 1/63 313.50 17.48 1/44 2.43 CFSCB-3 447.50 9.15 1/75 511.00 18.26 1/43 434.50 25.50 1/30 2.86

4) 本文试件DL-2.5与文献[14]中外包钢板-混凝土组合连梁试件 CFSCB1~CFSCB3的剪跨比相同,截面尺寸及配板率接近,试件DL-2.5的极限位移角明显大于试件 CFSCB1~CFSCB3,表明采用HDC代替普通混凝土可提高外包钢板组合连梁的塑性变形能力。

2.4 剪压比

剪压比是反映连梁承担的剪力大小与混凝土强度、截面尺寸之间的关系。剪压比对梁的延性、耗能能力有明显的影响,剪压比设计值λ由式(6)计算。

式中:V为连梁剪力设计值,考虑水平地震作用的荷载分项系数,取 V = 1 .3P m; f c为混凝土抗压强度设计值;b、 h0分别为连梁截面的宽度和有效高度。为与GB 50010―2010《混凝土结构设计规范》中小跨高比连梁的设计剪压比限值进行比较,根据本文材料试验结果,对混凝土试件,按C45考虑,取f c=21.1 MPa ;对HDC试件,按C50考虑,取f c=23.1 MPa ;剪压比设计值λ见表5。

表5 连梁试件的剪压比设计值
Table 5 The design values of shear-compression ratio of coupling beams

数据来源试件编号剪压比设计值λ cλ本试验CL-2.5 0.73 0.34 DL-2.5 0.65 0.30 DL-1.5 0.70 0.35 DB-1.5 0.55 0.24文献[14]CFSCB-1 0.82 0.26 CFSCB-2 0.56 0.22 CFSCB-3 0.70 0.38

为进一步分析高延性混凝土承担的剪力,考虑到本文和文献[14]中各试件达到峰值荷载以前钢腹板均已达到屈服,扣除各试件中钢腹板的抗剪贡献,其剪压比cλ可由式(7)计算。

式中:f v为钢腹板抗剪强度设计值;t w、h分别为钢腹板截面的厚度和高度。

由表5可见:

1) 扣除钢腹板受剪承载力以后,试件 DL-2.5的剪压比设计值分别是试件 CFSCB-1、试件CFSCB-2的1.15倍、1.36倍,表明采用HDC代替普通混凝土可提高小跨高比连梁的剪压比。

2) 试件 DL-1.5的剪压比设计值均高于试件DL-2.5,表明外包钢板组合连梁的剪压比随着跨高比减小有所提高。

3) 扣除钢腹板受剪承载力以后,试件 DL-1.5的剪压比设计值为试件DB-1.5的1.46倍,表明外包钢板组合连梁剪压比明显高于内置钢板试件。

4) 外包钢板-HDC组合连梁试件的剪压比设计值为0.65~0.70,明显高于GB 50010—2010《混凝土结构设计规范》中跨高比 l n /h ≤ 2 .5时连梁剪压比限值0.15。因此,采用外包钢板组合连梁可提高小跨高比连梁的剪压比限值,解决连梁设计中剪压比超限的问题。

2.5 耗能能力

各个试件在低周反复荷载作用下各特征点的累积耗能如表6所示。由表6可知:

1) 试件DL-2.5在屈服荷载、峰值荷载和破坏荷载时对应的累积耗能分别为试件CL-2.5的1.71倍、1.28倍和1.32倍,表明采用HDC代替普通混凝土可显著提高外包钢板组合连梁的耗能能力。

2) 试件DL-2.5在屈服荷载、峰值荷载和破坏荷载时对应的累积耗能分别为试件DL-1.5的2.33倍、2.45倍和2.68倍,表明外包钢板组合连梁耗能能力随着跨高比的减小而降低。

3) 试件DL-1.5在屈服荷载、峰值荷载和破坏荷载时对应的累积耗能分别为试件DB-1.5的1.70倍、4.22倍和2.14倍,表明外包钢板组合连梁耗能能力明显优于内置钢板组合连梁。

4) 本文试件DB-1.5与文献[12]中内置钢板-混凝土组合连梁试件PRC-CB1~PRC-CB3的剪跨比相同,截面尺寸及配板率接近,但试件 DB-1.5在屈服荷载、峰值荷载和破坏荷载时对应的累积耗能明显大于试件 PRC-CB1~PRC-CB3,表明采用 HDC代替普通混凝土可显著提高内置钢板组合连梁的耗能能力。

表6 连梁试件的累积耗能
Table 6 Energy dissipation of coupling beams

数据来源试件编号累积耗能E/(kN·m)屈服荷载 峰值荷载 极限位移本试验CL-2.5 23.64 139.81 193.79 DL-2.5 40.47 179.30 255.92 DL-1.5 17.36 73.33 95.49 DB-1.5 10.24 17.35 44.58文献[12]PRC-CB1 0.67 4.12 19.79 PRC-CB2 1.81 6.47 26.23 PRC-CB3 3.51 9.63 28.83

2.6 刚度退化

4个组合连梁的割线刚度按式(8)计算[26]

式中: iK为第i级加载下的刚度; iP和 iP- 分别为第i级加载下正、反向水平荷载值;分别为第i级加载下正、反水平荷载值对应的位移。

图 15为 4个试件的刚度退化曲线。试件CL-2.5、DL-2.5、DL-1.5、DB-1.5的初始刚度值分别为76.18 kN/mm、79.09 kN/mm、89.63 kN/mm、59.80 kN/mm。由图15可知:

1) 4个试件的刚度退化呈现递减规律,随着位移的不断增大,刚度退化曲线斜率的绝对值不断减小,说明其刚度退化趋势逐渐减小。

2) 随着跨高比的减小,连梁的初始刚度增大,试件的刚度退化加快,跨高比对组合连梁的刚度退化影响较大。

3) HDC的弹性模量低于混凝土,但其纤维桥联作用提高了 HDC组合连梁的耐损伤能力,使其初始刚度退化较慢,其后期刚度的变化规律与混凝土组合连梁基本一致。

图15 试件刚度退化曲线
Fig.15 Curves of stiffness degradation of specimens

3 结论

(1) 外包钢板-HDC组合连梁破坏以前,内填HDC未出现压碎或剥落现象,表明HDC良好的受拉应变硬化特性,可提高组合连梁的变形能力和耐损伤能力,使试件保持较好的完整性。

(2) HDC与钢腹板的协同工作性能较好,采用HDC替代混凝土利于钢腹板抗剪作用的发挥,外包钢板-HDC组合连梁试件的承载力明显高于内置钢板组合试件。

(3) 采用HDC替代混凝土,外包钢板组合连梁的耗能能力得到明显提高,其耗能能力随着跨高比的减小而降低,且外包钢板-HDC组合连梁耗能能力明显优于内置钢板组合试件。

(4) 本文 2个外包钢板-HDC组合连梁试件的剪压比设计值为0.65~0.70,且外包钢板-HDC组合连梁剪压比明显高于内置钢板试件。因此,采用HDC代替混凝土可提高小跨高比连梁的剪压比限值,解决连梁设计中剪压比超限的问题。

参考文献:

[1] Paulay T, Binney J R. Diagonally reinforced coupling beams of shear walls [J]. ACI Special Publication, 1974,42: 579―598.

[2] 孙占国, 林宗凡, 戴瑞同. 菱形配筋剪内墙连梁的受力性能[J]. 建筑结构学报, 1994, 15(5): 14―23.Sun Zhanguo, Lin Zongfan, Dai Ruitong. Behavior of coupling beams of shear wall reinforced w ith inclined rhomboidal bars [J]. Journal of Building Structures,1994, 15(5): 14―23. (in Chinese)

[3] Paulay T. Seism ic design in reinforced concrete: The state of the art in New Zealand [J]. Bulletin of the New Zealand National Society for Earthquake Engineering,1988, 21(3): 208―233.

[4] Mai-Quang K, Han S W, Shin M, et al. Reduction of reinforcement congestion in slender coupling beam using bundled diagonal bars [J]. Magazine of Concrete Research, 2017, 69(22): 1―13.

[5] 傅剑平, 皮天祥, 韦锋, 等. 钢筋混凝土联肢墙小跨高比复合斜筋连梁抗震性能试验研究[J]. 土木工程学报,2011, 44(2): 57―64.Fu Jianping, Pi Tianxiang, Wei Feng, et al. Experimental study on seism ic behaviors of small-aspect-ratio coupling beams in RC structural walls proportioned w ith combined slanting reinforcements [J]. China Civil Engineering of Journal, 2011, 44(2): 57―64. (in Chinese)

[6] 梁兴文, 李方圆, 张涛, 等. 新配筋方案小跨高比连梁抗震性能试验研究[J]. 工程力学, 2009, 26(12): 119―126.Liang Xingwen, Li Fangyuan, Zhang Tao, et al.Experimental study on seism ic behaviour of new reinforcement scheme deep coupling beams [J].Engineering Mechanics, 2009, 26(12): 119―126. (in Chinese)

[7] 李贤, 夏承柱, 沙士钰, 等. 小跨高比钢-混凝土组合连梁抗震性能试验研究[J]. 建筑结构学报, 2015,36(增刊 1): 337―342.Li Xian, Xia Chengzhu, Sha Shiyu, et al. Experimental study on seism ic behavior of deep steel-concrete composite coupling beams [J]. Journal of Building Structure, 2015, 36 (Suppl 1): 337―342. (in Chinese)

[8] Lam W Y, Su R, Pam H J. Experimental study on embedded steel plate composite coupling beams [J].Journal of Structural Engineering-ASCE, 2005, 131(8):1294―1302.

[9] Su R, Pam H J, Lam W Y. Effects of shear connectors on plate-reinforced composite coupling beams of short and medium-length spans [J]. Journal of Constructional Steel Research, 2006, 62(1/2): 178―188.

[10] Su R, Lam W Y, Pam H J. Behavior of embedded steel plate in composite coupling beams [J]. Journal of Constructional Steel Research, 2008, 64(10): 1112―1128.

[11] 张刚. 钢板-混凝土连梁抗震性能的试验研究[D]. 北京: 清华大学, 2005.Zhang Gang. Experimental study on seism ic behavior of steel plate reinforced concrete coupling beams [D].Beijing: Tsinghua University, 2005. (in Chinese)

[12] 史庆轩, 田建勃, 王秋维, 等. 小跨高比钢板-混凝土组合连梁抗震性能试验研究[J]. 建筑结构学报, 2015,36(2): 104―114.Shi Qingxuan, Tian Jianbo, Wang Qiuwei, et al.Experimental research on seism ic behavior of plate-reinforced composite coupling beam w ith small span-to-depth ratio [J]. Journal of Building Structure,2015, 36(2): 104―114. (in Chinese)

[13] 田建勃, 史庆轩, 王南, 等. 基于软化拉-压杆模型的小跨高比钢板-混凝土组合连梁受剪承载力分析[J].工程力学, 2016, 33(5): 142―149.Tian Jianbo, Shi Qingxuan, Wang Nan, et al. Shear strength of plate-reinforced composite coupling beams w ith small span-to-depth ratio using softened strut-and-tie model [J]. Engineering Mechanics, 2016,33(5): 142―149. (in Chinese)

[14] 聂建国, 胡红松. 外包钢板-混凝土组合连梁试验研究(I): 抗震性能[J]. 建筑结构学报, 2014, 35(5): 1―9.Nie Jianguo, Hu Hongsong. Experimental research on concrete filled steel plate composite coupling beams (I):Seism ic behavior [J]. Journal of Building Structures,2014, 35(5): 1―9. (in Chinese)

[15] 寇佳亮, 邓明科, 梁兴文. 延性纤维增强混凝土单轴拉伸性能试验研究[J]. 建筑结构, 2013(1): 59―64.Kou Jialiang, Deng M ingke, Liang Xingwen.Experimental study of uniaxial tensile properties of ductile fiber reinforced concrete [J]. Building Structure,2013, 43(1): 59―64. (in Chinese)

[16] 邓明科, 孙宏哲, 梁兴文, 等. 延性纤维混凝土抗弯性能的试验研究[J]. 工业建筑, 2014, 44(5): 85―90.Deng M ingke, Sun Hongzhe, Liang Xingwen, et al.Experimental study of flexural behavior of ductile fiber reinforced concrete [J]. Industrial Construction, 2014,44(5): 85―90. (in Chinese)

[17] 邓明科, 秦萌, 梁兴文. 高延性纤维混凝土抗压性能试验研究[J]. 工业建筑, 2015, 45(4): 120―126.Deng M ingke, QinMeng, Liang Xingwen. Experimental study of compressive behavior of high ductility fiber reinforced concrete [J]. Industrial Construction, 2015,45(4): 120―126. (in Chinese)

[18] LI Victor C. 高延性纤维增强水泥基复合材料的研究进展及应用[J]. 硅酸盐学报, 2007, 35(4): 531―536.Li Victor C. Process and application of engineered cementations composites [J]. Journal of the Chinese Ceram ic Society, 2007, 35 (4): 531―536. (in Chinese)

[19] Li V C, Wang S, Wu C. Tensile strain-hardening behavior of PVA-ECC [J]. ACI Material Journal, 2001, 98(6):483―492.

[20] 徐世烺, 李贺东. 超高韧性水泥基复合材料直接拉伸试验研究[J]. 土木工程学报, 2009, 42(9): 32―41.Xu Shilang, Li Hedong. Uniaxial tensile experiments of ultra-high toughness cementitious composite [J]. China Civil Engineering of Journal, 2009, 42(9): 32―41. (in Chinese)

[21] 梁兴文, 车佳玲, 邓明科. 对角斜筋小跨高比纤维增强混凝土连梁抗震性能试验研究[J]. 建筑结构学报,2013, 34(8): 135―141.Liang Xingwen, Che Jialing, Deng M ingke.Experimental research on seism ic behavior of diagonally reinforced FRC coupling beams w ith small span-to-depth ratio [J]. Journal of Building Structure, 2013, 34(8):135―141. (in Chinese)

[22] 梁兴文, 邢朋涛, 刘贞珍, 等. 小跨高比纤维增强混凝土连梁抗震性能试验及受剪承载力研究[J]. 建筑结构学报, 2016, 37(8): 48―57.Liang Xingwen, Xing Pengtao, Liu Zhenzhen, et al.Experimental study on seismic behavior and shear capacity of FRC coupling beams w ith small span-to-depth ratio [J]. Journal of Building Structure,2016, 37(8): 48―57. (in Chinese)

[23] 梁兴文, 刘贞珍, 邢朋涛, 等. 纤维增强混凝土对角斜筋小跨高比连梁抗震性能试验研究及受剪承载力分析[J]. 土木工程学报, 2017, 50(2): 27―35.Liang Xingwen, Liu Zhenzhen, Xing Pengtao, et al.Experimental study on seism ic behavior and shear capacity of diagonally reinforced fiber-reinforced concrete coupling beams w ith small span-to-depth ratio[J]. China Civil Engineering Journal, 2017, 50(2): 27―35. (in Chinese)

[24] DBJ61/T112—2016, 高延性混凝土应用技术规程[S].北京: 中国建筑工业出版社, 2016.DGJ61/T112—2016, Technical specification for application of high ductile concrete [S]. Beijing: China Architecture and Building Press, 2016. (in Chinese)

[25] 姚谦峰, 陈平. 土木工程结构试验[M]. 北京: 中国建筑工业出版社, 2001: 220.Yao Qianfeng, Chen Ping. Structural test of civil engineering [M]. Beijing: China Architecture and Building Press, 2001: 220. (in Chinese)

[26] JGJ/T 101―2015, 建筑抗震试验规程[S]. 北京: 中国建筑工业出版社, 2015.JGJ/T 101―2015, Specification for seismic test of building [S]. Beijing: China Architecture and Building Press, 2015. (in Chinese)

EXPERIMENTAL RESEARCH ON ASEISM IC BEHAVIOR OF HIGH DUCTILE CONCRETE FILLED STEEL PLATE COMPOSITE COUPLING BEAMS

DENG M ing-ke1, LÜ Hao1, SONG Heng-zhao1,2
(1.School of Civil Engineering, Xi’an University of Architecture and technology, Xi’an 710055, China,2. Shanghai Baoye Institute of Architectural Design, Shanghai 200941, China)

Abstract: To improve the aseismic behavior of coupling beams w ith a small span-to-depth ratio, high ductile concrete (HDC) is used to replace the concrete. Two HDC filled steel plate composite coupling beams, one concrete filled steel plate composite coupling beam and one HDC steel plate composite coupling beam, were designed. The failure pattern, deformation capacity and energy dissipation capacity of composite coupling beams were studied by the quasi-static tests. The experimental results show that the deformability and damage-tolerance of the steel plate composite coupling beams can be improved by replacing concrete w ith HDC. The synergistic performance of HDC and steel webs is good, which is beneficial to the shear effect of steel webs. The energy dissipation of the HDC filled steel plate composite coupling beams is significantly higher than those of the concrete filled steel plate composite coupling beam and of the HDC steel plate composite coupling beam. The design values of shear-compression ratio of the HDC filled steel plate composite coupling beams is 0.65-0.70,which is obviously higher than that of the HDC steel plate composite coupling beam. Therefore, the shear-compression ratio lim itation of the coupling beams can be improved by using the HDC filled steel plate composite coupling beams, and the problem of shear-pressure ratio ultra-lim it of coupling beam in design can be solved.

Key words: high ductile concrete; concrete filled steel plate composite coupling beam; small span-to-depth ratio; quasi-static test; seism ic behavior

中图分类号:TU398.9

文献标志码:A

doi: 10.6052/j.issn.1000-4750.2017.12.0972

收稿日期:2017-12-25;修改日期:2018-07-24

基金项目:国家自然科学基金项目(51578445)

通讯作者:邓明科(1979―),男,四川南充人,教授,工学博士,博导,从事高性能材料与新型结构体系研究(E-mail: dengm ingke@126.com).

作者简介:

吕 浩(1986―),男,河南开封人,博士生,从事高性能土木工程材料研究(E-mail: lvhao2017@126.com);

宋恒钊(1990―),男,江苏南京人,助理工程师,硕士,从事高性能土木工程材料研究(E-mail: 953699231@qq.com)..