结构性黄土劈裂注浆力学机理分析

周茗如1,2,卢国文1,2,王 腾1,2,王晋伟3

(1.西部土木工程防灾减灾教育部工程研究中心,甘肃,兰州 730050;2.兰州理工大学 甘肃省土木工程防灾减灾重点实验室,甘肃,兰州 730050;3.大连理工大学 建设工程学部水利工程学院,辽宁,大连 116024)

摘 要:为了在塑性力学与大变形理论基础上分析黄土地区劈裂注浆力学机理,将注浆初始阶段视为无限土体中的圆孔扩张问题,将孔周围的土体应力分布分为3个区域:弹性区、塑性区及破坏区。结合结构性黄土修正剑桥模型,在弹性区采用小变形理论,在塑性区、破坏区采用大变形理论。根据应力平衡方程、应力应变连续边界条件,推导了考虑排水和大变形时塑性区、破坏区半径及竖向、水平劈裂注浆压力的理论解答,最后结合工程算例进行论证。结果表明:该解答综合考虑了黄土的结构性参数、压缩模量、泊松比、内摩擦角、塑性破坏参数、剪胀系数、扩孔形式k及屈服准则等因素;同时,还分析了浆泡周围土体的应力应变分布解及在参数影响下的递变规律;经对比分析发现,该文的劈裂注浆压力理论计算值与工程实测值比较接近,初步证实了理论的可靠性,在黄土地区劈裂注浆工程中具有一定的实用价值。

关键词:岩土力学;圆孔扩张理论;结构性黄土修正剑桥模型;大变形理论;劈裂注浆;递变规律

圆孔扩张理论自被Vesic[1]提出后,便在岩土工程领域得到了广泛应用,如桩基础和地锚承载力的分析[2]、静力触探[3―5]、隧道和地下开挖[6―7]等土工问题。上述分析中均涉及了小孔扩张理论,但所应用岩土材料的复杂本构模型却有所不同。自 1900年摩尔(Mohr)教授建立了著名的 Mohr-Coulomb强度理论(简称M-C强度理论)以来,大量的实验和工程实践已证实,M-C强度理论能较好地描述岩土材料的强度特性,因而在岩土工程领域得到了广泛的应用[8]。Carter等[9]引入M-C强度理论分析了不排水条件下粘性土中圆孔扩张的解析解;Collins和Stimpson[10]提出了应变硬化与软化土体中的圆孔扩张理论的不排水相似方法;周航等[11]基于保角变换方法,利用复变函数理论得到了非圆形孔的弹性理论解析,并详细分析了正方形孔的力学特征。陈昌富和肖淑君[12]考虑岩土材料的拉压模量及软化特性,应用统一强度理论推导了圆孔扩张问题的应力场、位移场及最终扩孔压力解析解,并以此推导了散体材料桩极限承载力计算公式。王志丰和沈永龙[13]基于 Verruijt提供的变形弹性解答,提出了单根水平旋喷桩施工引起的土体变形实用计算方法。张亚国等[14]考虑斜坡体自重,通过坐标变换变化为半无限体中圆孔扩张问题,采用复变函数得到了其解析解。此外,许多研究者将考虑应力历史影响的剑桥模型应用于圆孔扩张理论[15―17]。从以上研究可以看出,以往的问题分析基本是建立在饱和土理论基础上,而在非饱和土地区,尤其黄土地区的研究相对较少。众所周知,剑桥模型或者修正剑桥模型能很好地分析正常固结土或者超固结土的变形特征,是土力学本构模型发展的一次重大革新。胡伟和刘明振[18]结合修正剑桥模型推导了非饱和土扩孔后土体中的应力场与位移场解答,并分析了超固结比对计算结果的影响。但对于天然岩土材料,结构性对土的强度特征及本构模型有重要影响[19],结构性模型已成为21世纪土力学研究的核心问题[20]。不同的结构性对应的临界状态亦有所不同,因而用传统剑桥模型或者修正剑桥模型分析土的力学行为的方法并不完善。

基于以上原因,本文将圆孔扩张理论与结构性黄土修正剑桥模型相结合,对劈裂注浆浆泡周围弹性区及塑性区土体的应力场、应变场进行分析,对黄土地区劈裂注浆压力的设计计算问题进行了研究,以期提出适合于湿陷性黄土地区劈裂注浆压力设计计算方法。

1 力学模型与基本假设

1.1 基本假设

对湿陷性黄土地基劈裂注浆机理的探索,通常研究先类比其他非湿陷性黄土地基注浆,记录注浆过程及参数变化,再经过开挖,基于注浆记录及开挖结果分析劈裂注浆的发生、发展过程。以宁夏同心县某行政办公楼纠偏加固现场试验为例,经开挖分析可知,湿陷性黄土劈裂注浆浆脉分布极其不均匀,大部分浆液首先会沿着土体固有裂隙或者软弱面进行拓展,直至其强度与周围土体接近时,才会在次一级裂隙或软弱面上进行劈裂。根据开挖检查及注浆记录,湿陷性黄土劈裂过程可以分成3个阶段:充填与压密阶段、起裂与上抬阶段及裂缝拓展与板状凝固体形成阶段。因此可以将劈裂注浆初始阶段的整个力学过程分为:土体在受到挤压后的变形、屈服直至最终破坏而被劈裂的过程。基于此,本文作如下假设:

1) 劈裂注浆的起裂与土体抬升阶段可以视为圆孔扩张问题,按照平面应变轴对称解答来处理。为了分析问题方便,将圆孔周围土体的应力分布分为3个区域:破坏区、塑性区和弹性区(如图1所示)。土体初始孔径为a0,初始平均应力为p0,扩孔后,最终扩孔半径为a u,r p为土体弹塑性交界面的半径,r f为塑性区与破坏区交界面半径。r>r p的区域为弹性区,土体处于弹性状态,应力应变服从广义Hooke定律;r f<r<r p表示扩孔后土体的塑性区,土体产生塑性变形,应力应变关系服从结构性黄土修正剑桥模型;a u<r<r f区域为破坏区,土体处于破坏状态,应力路径沿临界状态线CSL运动。

图1 扩孔问题示意图
Fig.1 Sketch of cavity expansion

2) 黄土土体是均匀的各向同性体。

3) 在弹性区中服从弹性小变形理论,在塑性区和破坏区中服从大变形理论。

4) 土体初始压力 p0具有水压力性质,即各方向数值大小相等。

5) 净应力与基质吸力共同引起土体体积的变化,它们之间是耦合的。本文分析过程中,将以粒间应力来代替二者之间的耦合作用应力,不在单独去考虑各自的影响,粒间应力将包括净应力与基质吸力两部分。

6) 为了确定塑性区及破坏区中的应变场,采用非相关联流动准则,平面应变条件下,塑性区及破坏区中内径向与环向塑性应变的关系分别为:

式中:分别为塑性区、破坏区内径向及环向塑性应变增量;h为剪胀特性参数,ξ为剪胀角;f为反映黄土塑性及破坏特性的参数;k为系数,k=1时,为柱形圆孔;k=2时,为球形圆孔。其中:

式中:erε、eθε、erfε、eθfε分别为塑性区、破坏区内径向和环向弹性应变增量。

1.2 结构性黄土修正剑桥模型

1.2.1 结构性黄土临界状态线

如图2所示,依据邓国华等[21]对结构性土的结构性的研究,三轴压缩应力条件下,结构性土的临界状态线CSL可以表述为:

图2 结构性黄土屈服面
Fig.2 Yield surface of structural loess

式中:

c(m n)、φ(m n)分别代表黄土中随结构性参数 m n变化的粘聚力和内摩擦角,它们的关系式为:

式中:a =0.01,b=0.0024,A=80.6。

内摩擦角随结构的变化不显著,本文中认为其为定值,则在p-q平面内CSL为一组平行的直线。

1.2.2 结构性黄土屈服面及原状土压缩曲线

图3和图4中参数定义为:p f、q f分别为破坏状态时的平均应力及偏应力;q p为土体弹塑性交界处的偏应力;CSL为基于结构性黄土剑桥模型的临界状态线:M为CSL直线在p-q平面内裂土体过程中的斜率;λ(m n)为 e-ln p平面内与结构性相关的 CSL斜率;k为压缩过程中卸载段的斜率。M、λ(m n)由试验条件可以测得。在浆液劈裂土体过程中,根据 Collins和Stimpson[10]对于扩孔问题的研究,p、q定义为:

图3 原状土压缩曲线示意图
Fig.3 Compression curve of original soil

边界条件为:

2 浆液压缩黄土的弹塑性解析

2.1 弹性区解析(r≥r p)

扩孔过程中,根据力学平衡方程,任意一点,土体的平衡方程为:

式中:k为系数,柱形扩孔时,k=1;球形扩孔时,k=2。

由假设可知,土体在弹性区遵从小变形理论,则在弹性区的应变为:

在弹性区,根据平面应变条件下轴对称问题解答,结合边界条件式(8),可得弹性状态下土体中的应力场、径向位移、极限弹性应变为:

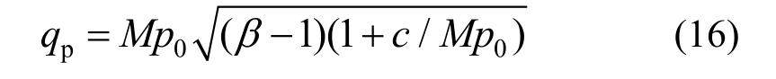
由式(7)、式(11)可得弹塑性交界处的偏应力:

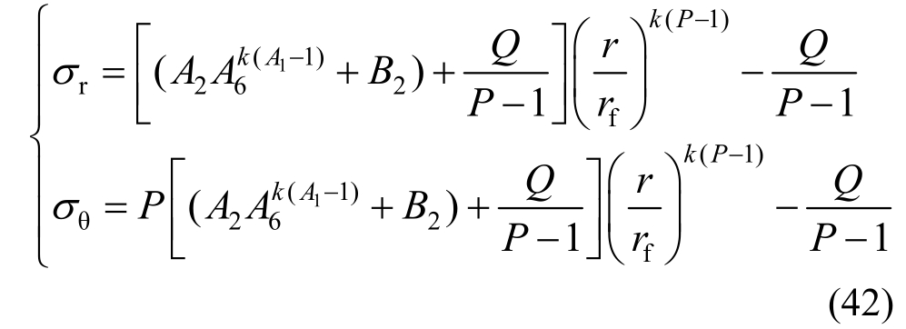
整理式(3)、式(4)可得,结构性黄土剑桥模型的屈服面方程为:

由式(14)代入式(11)可得在整个弹性区有:

将式(15)代入式(14)化简得:

式中,β为土的超固结比,表示为:

将式(16)代入式(13)可得弹性区的极限径向应力为:

式(18)代入式(11)可得:

2.2 塑性区(r f <r <r p)

土体内有初始小孔受球形均布压力,当此压力逐渐增加时,球形小孔周围土体将从弹性状态进入塑性状态,经过一系列屈服面后进入破坏状态。如图4所示,在p-q空间,塑性区的应力路径为BC,为了分析方便,以弹塑性交界面上的B点切线BC1予以代替,B点坐标为

图4 结构性黄土扩张过程中的p-q路径图
Fig.4 Path diagram of p-q in expansion of structural loess

结构性剑桥模型的屈服面方程为[21]

从式(20)可以发现,最后一项是由于考虑结构性致使CSL不通过原点,式(5)中,当m n=1时,c=0,上式就退化为修正剑桥模型,则说明修正剑桥模型屈服面是结构性剑桥模型的一种特殊形式。

式(20)对八面体正应力p,偏应力q求导可得:

则直线BC1的斜率为:

其中,α为:

式中:G为土体剪切变形模量,表达式为:G=E/2(1+ν);E为土体压缩模量,以上参数均可由试验获得。塑性区应力路径BC1方程表示为:

将B点坐标代入,结合式(22)、式(24)可得BC1方程中系数A、B分别为:

式(7)代入式(24)有:

式中:

式(27)、式(28)代入式(9)结合边界条件式(18)求解得:

式中:

联立式(6)、式(7)、式(27)和式(29)可得土体塑性区内环向应力、正应力、偏应力为:

式中:

由扩张过程中p-q路径图可知,CSL线与BC1交点即为破坏区与塑性区的交界面,在该处满足结构性土的临界线CSL方程式(3)及式(25)、式(31)、式(32),有:

式中:

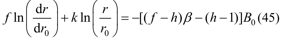
根据假定式(3),塑性区服从大变形理论,则有:

式(35)表示圆孔从r0变化到任意r处的径向应变和环向应变。联立式(1)、式(2)、式(35)有:

式(36)偏微分求解,代入边界条件u r|r=r p=B0r p/k,在弹塑性边界上有:

式(37)应用泰勒级数展开式,忽略u rp/r p的高次项及a0,当a→a u时,最终塑性区半径为:

由式(38)可解得塑性区内的应变场为:

2.3 破坏区解析(a u≤r≤r f)

由图4可知,土体由状态进入破坏状态后,应力路径沿着临界线 CSL运动,由式(3)、式(6)、式(7)可得:

式中:

综合式(40)、式(41)代入式(9),代入边界条件,偏微分求解得浆液压缩黄土土体破坏区内应力场解答为:

排水条件下,黄土的应力应变关系采用“简化三折线模型”[22],根据边界条件有:

在破坏区中,径向、环向总应变为:

式中分别为破坏区内的塑性应变。

根据破坏区内的流动法则及式(43)、式(44),可知破坏区内的位移协调方程为:

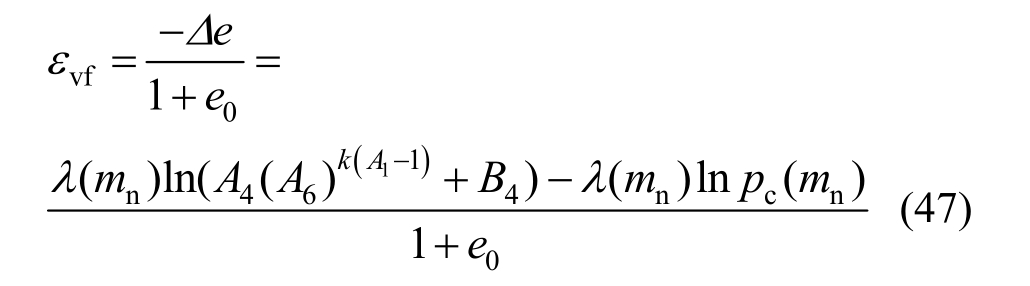
土体进入破坏状态后,如图3所示,结构性土的压缩曲线可以由孔隙比与压缩应力对数值的线性关系描述,λ(m n)为压缩过程斜率,λ与m n关系[17]为 λ=A′ m n +B′ (A′=0.0444,B′=0.0479),p c(m n)为与结构性相关的准先期固结压力。此时土的准先期固结压力和压缩直线段斜率均是结构性参数的关系。压缩体应变可表述为:

结合式(33)、式(34)、式(46),则塑性区与破坏区交界面处的体积应变为:

在破坏区不再产生新的体积变化,则破坏区的体积等于塑性区与破坏区交界面处的体积应变,则有:

解式(48)为:

式(49)中令 r=r f并联立式(47)得塑性区与破坏区交界处的位移为:

根据破坏区内位移协调方程式(46),可解得破坏区内的应变场为:

3 塑性区与破坏区应力应变分析

为了了解排水条件下,考虑剪胀时浆液周围土体塑性区及破坏区在扩孔过程中的应力应变随参数递变规律,选取一组经验参数并借助 MATLAB进行定性分析。其参数如下:E=7500 kPa、ν=0.3、β=1.7、φ(m n)=26°、(C、M、λ)是 m n的函数,m n≥1,依邓国华等[21]研究p c=A c m n+B c(A c、B c为试验参数,分别取值81.028、-19.94)计算先期固结压力。

3.1 塑性区应力应变分析

3.1.1 塑性区应力分析

图5 塑性区中径向应力与参数m n及r/r p的关系
Fig.5 Relationship between radial stress and parameters m n and r/r p in plastic zone

图6 塑性区中环向应力与参数m n及r/r p的关系
Fig.6 Relationship between hoop stress and parameters m n and r/r p in plastic zone

图5 、图6分别为塑性区径向及环向应力与参数m n及r/r p的关系。从图中可以看出,对于柱形孔而言,当 r/r p≥0.7时,应力与 r/r p为线性关系;r/r p≤0.7时,应力与r/r p为非线性关系。当以球孔形式扩张时,r/r p≤0.5时,m n对应力的影响显著,应力与二者的非线性关系随r/r p的减小愈显著。相同条件下,球孔扩张的径向应力值要远远大于环向应力值。

3.1.2 塑性区应变分析

图7表示塑性区径向及环向应变与土体参数h与β的关系。从图中可以看出,剪胀对应变的影响较固结比显著,因此剪胀对应变的影响将是工程应用的重点。随着剪胀系数的增大,应变值反而越小,当 h≥2时,产生的应变将很小;且可以发现,应变随固结比的增大先增大后减小。究其主要原因,由式(15)、式(16)可知,当 m n=1,β=2时,土体的初始屈服点位于破坏线上,即意味着土体屈服就趋于破坏,致使其在塑性区产生的应变将很小。当h≤2时,无论是径向应变还是环向应变,扩孔产生的应变与二者呈非线性关系,且球形扩孔产生的应变远远大于柱孔产生的应变值。

图7 塑性区中应变与参数h和β的关系
Fig.7 Relationship between strain and parameters h and β in plastic zone

图 8表示塑性区径向及环向应变与参数 m n和r p/r的关系。从图中可以看出,对于柱形扩孔而言,在参数m n和r p/r的共同作用下,应变随二者的增大线性增大。当以球孔形式扩孔时,应变与二者呈非线性关系。在其他条件相同时,球形扩孔产生的应变值要远大于柱形扩孔。因此,结构性对黄土应变的影响是扩孔问题分析中不可忽略的一个因素。

图8 塑性区中应变与参数m n和r p/r的关系
Fig.8 Relationship between strain and parameters m n and r p/r in plastic zone

3.2 破坏区应力应变分析

3.2.1 破坏区应力分析

图9 破坏区中径向应力与参数m n和r/r f的关系
Fig.9 Relationship between radial stress and parameters m n and r/r f in damage zone

图10 破坏区中环向应力与参数m n和r/r f的关系
Fig.10 Relationship between hoop stress and parameters m n and r/r f in damage zone

图9 、图10分别表示破坏区径向及环向应力与参数m n及r/r p的关系。从图中可以看出,对于柱形孔而言,在参数m n及r/r f的共同作用下,应力随二者的增大而线性增大,但变化趋势不显著。以球孔形式扩张时,当参数m n值一定,r/r f≤0.3时,球孔产生的应力随 r/r f的减小而非线性增大。而当参数r/r f值一定时,应力随着m n的增大线性增大,且该趋势随着r/r f值的减小越来越明显。在参数相同情况下,球孔产生的径向应力值要远大于环向应力值。

3.2.2 破坏区应变分析

图11表示破坏区应变与参数h及f的关系,从图中可以看出,f对应变的影响较h显著,而h对应变的影响不明显。对于环向应变而言,不论是柱形扩孔还是球形扩孔,当h一定时,应变随着参数f的增大而非线性增大,反之则减小。相同条件下,柱形扩孔产生的应变较球孔大。而对径向应变来说,应变随二者的增大而增大,但变化趋势不明显。

图11 破坏区中应变与参数h和f的关系
Fig.11 Relationship between strain and parameters h and f in damage zone

图12 表示破坏区应变与参数m n及a u/r的关系,从图中可以看出,a u/r对破坏区应变影响较m n显著。当参数 m n一定时,应变随 a u/r的增大而增大;参数a u/r一定时,随m n的增大而减小,且m n≥1.3后,产生的应变将很小。整体来说,在m n及a u/r的共同作用下,二者对环向应变的影响较径向应变显著。

3.3 排水条件下劈裂注浆压力计算

3.3.1 浆液竖向劈裂土体时的劈裂注浆压力

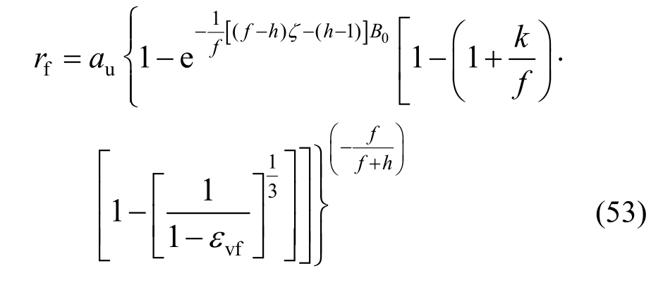
当扩孔达到极限压力,在r=r f处径向应变连续,由式(45)、式(50)联立,忽略u rf /r高阶项,a0/a u→0时,在塑性区与破坏边界上有

图12 破坏区中应变与参数m n和a u/r的关系
Fig.12 Relationship between strain and parameters m n and a u/r in damage zone

则破坏区半径为:

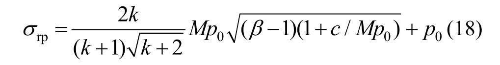
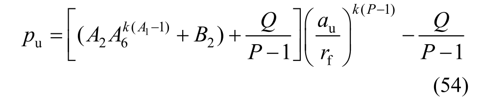
当小孔扩张达到极限扩孔压力后,根据r=r f处径向应力连续,结合式(43)得最终扩孔压力为:

当孔径a→a u时,a0/a→0,将a u/r f的值代入式(54)则可得极限扩孔压力:

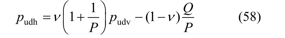
3.3.2 浆液水平劈裂土体时的劈裂注浆压力

当劈裂流动阶段,浆液在劈裂面上形成的竖向劈裂注浆压力迅速推动裂缝张开,在裂缝最前端出现应力集中,裂缝拓展到一定程度,当注浆压力大于或等于土体自重时,土体中大小主应力发生换位,此时压力值为水平劈裂注浆压力值。有:

在应力空间内即有:

式(57)代入式(56)可得浆液水平劈裂土体时浆液的水平压力为:

3.3.3 破坏区半径参数分析

取结构性参数 m n=1,φ=18°,E=5500 kPa,ν=0.35,β=1.8,h=(1~2),f=(1~4),定性分析破坏区半径在剪胀系数h与塑性破坏系数f影响下的变化规律。

从图13可以看出,柱孔扩张时,在剪胀系数h与塑性破坏系数f的共同作用下,破坏区半径随二者的增大非线性增大。当h一定时,破坏区半径r f随f的增大先减小后增大;当f一定时,r f随h的增大而增大,球孔扩张时破坏区半径的变化规律与柱孔一致。相同情况下,柱孔扩张产生的破坏区半径大于球孔。总的来说,f对破坏区半径的影响较 h显著,所以在扩孔问题研究中,考虑塑性破坏系数f的影响十分重要。

图13 破坏区半径r f与h和f的关系图
Fig.13 Relationship between radius r f and h and f in damage zone

3.3.4 竖向及水平劈裂注浆参数分析

为分析排水条件下,考虑剪胀及结构性时,浆液竖向及水平劈裂压力随土体参数的变化规律,取一组土体参数进行定性分析。参数如下:E=7500 kPa、ν=0.3,φ(m n)=26°,(C、M、λ)是 m n的函数,本文中,其余参数与前文取法一致。图15分析中取 m n=1,h=f=1,压缩模量取值范围为3 MPa~7.5 MPa,泊松比取值范围为0.25~0.42。

从图 14可以看出,无论是球形孔扩张还是柱形孔扩张,在剪胀系数与结构性参数共同作用下,劈裂注浆压力 p u与二者的关系呈非线性先减小后增大趋势,表明了土体剪胀特性与结构性对最终扩孔压力大的影响。究其原因主要是扩孔初期需要较大的扩孔压力克服土体剪胀与结构性,随后出现应变塑性破坏效应使得p u减小,随着剪胀向剪缩过渡及与结构性增强耦合作用,p u又开始变大,土体压缩范围也逐步增大。

图14 劈裂注浆压力与m n及h的关系
Fig.14 Relationship between fracturing grouting pressure and parameters m n and h

从图15可以看出,无论是柱孔还是球孔,竖向劈裂注浆压力随着压缩模量的增大而增大,随泊松比的增大而减小,整体来说,劈裂注浆过程中土体的压缩模量较泊松比对土体的注浆压力影响更灵敏。

图15 竖向劈裂注浆压力与E及ν的变化关系图
Fig.15 Relationship between vertical fracturing grouting pressure and parameters E and ν

4 工程实例与分析

为了更好地研究黄土地区劈裂注浆力学机理及注浆压力的设计计算,进一步验证本文研究理论的有效性。特在陇东某场地办公楼开展现场注浆试验。其目的是通过注浆试验进一步研究注浆压力、注浆量随时间的变化规律,以期获得黄土地区劈裂注浆的劈裂注浆机理以及注浆压力设计计算方法。

4.1 工程概况

某办公楼场地位于黄土高原董志塬,查阅该建筑地勘报告所知,湿陷等级为Ⅱ级自重湿陷性黄土。整个建筑物横跨在沟壑之上,原始地貌为沟壑填土。该办公楼的使用过程中,陆续发现室内局部墙体有开裂现象,尤其在结构变形缝附近尤为明显;建筑物有不均匀沉降现象,诸多实际问题已经严重影响了建筑物的使用功能。经鉴定该建筑需要进行加固后使用,对地基处理的方法经研究采用注浆法加固。

4.2 试验设计

1) 土体力学性能参数

根据现场地勘报告,查得注浆试验区的土体物理力学性能如表1。

表1 注浆试验区土体物理力学性能
Table 1 Physical and mechanical properties of soil mass in grouting test area

含水率w/(%) 天然密度ρ/(g/cm3) 干密度ρd/(g/cm3) 比重G S 天然孔隙比e 粘聚力c/kPa 内摩擦角φ/(°)13.22 1.62 1.43 2.71 0.895 26.00 29.40

2) 试验设备及仪器

① 注浆材料及试验管材

灌浆材料:注浆材料水泥采用普通硅酸盐水泥。

② 试验管材

注浆管设计参数:注浆管管长 2.0 m,其中注浆有效注浆孔深为 3 m,出浆孔距注浆管底部距离为0.5 m,在距离管口1.0 m处封孔注浆,注浆孔孔径8 mm。具体设计如图16所示。

该注浆系统是本课题组提出的一种新型注浆系统,正在申请国家专利(未列出)。包括钢管和注浆管,钢管通过螺纹管、螺纹帽和注浆管相连,螺纹管和螺纹帽配合使用,钢管底部三面开孔,做螺纹处理,用于与加工的定向劈裂装置相连,底部做密封处理。实质是通过注浆管管底装配反向增压定向装置,与上部止浆塞协同工作,使得压力可以定向集中传输到孔口位置,以达到降低能耗,提高注浆效率的目的。

图16 注浆管设计图
Fig.16 Fracturing pipe design

③ 试验设备

本次试验采用的现场施工设备有:钻孔机、注浆机、拌浆设备、32 mm注浆管、输浆管、止浆塞、流量计、压力表、管钳剪、称量设备、摄像机等。

4.3 劈裂注浆压力及流量时程分析

试验过程中将整个试验实施过程用摄像机进行全程追踪,将注浆压力P及注浆量Q随时间t的变化情况绘制成P-Q-t图,如图17所示。

图17 注浆管P-Q-t图
Fig.17 P-Q-t diagram of fracturing pipe

通过试验发现,注浆开始后,注浆压力持续增加,当达到峰值压力后注浆压力快速降低,停止注浆。峰值压力为480 kPa左右,该过程历时100 s,进入注浆间歇后,注浆压力降低至 0 kPa,此时注浆量为 0.202 m3。随后在 200 s时开始二次注浆,注浆压力随时间快速增大,达到第二次峰值压力后,注浆压力减小,注浆量随时间线性增长。该过程随时间反复交替进行,当注浆时间为 880 s时,地面冒浆,停止注浆。由此可见,定向反向增压注浆管的使用可以使注浆压力轻松达到土体劈裂注浆压力,随着劈裂不断蔓延拓展,注浆压力反复变化,一直持续到注浆结束。

4.4 劈裂注浆压力预估公式验证

土体参数如表1所示,其中泊松比取ν=0.35,剪胀系数取h=1.0,塑性破坏系数f=1.0,根据结构性黄土粘聚力c与结构性参数m n的关系,取结构性参数m n=1.433。基于结构性黄土本构模型的扩孔理论求解,柱孔劈裂时的竖直及水平劈裂注浆压力分别为457.159 kPa、504.716 kPa;球孔劈裂时竖直及水平注浆压力为551.295 kPa、632.015 kPa。为了更直观地验算本文的理论计算值,在空间构造 P-Q-t三维图(图18),给出对应的峰值压力点坐标。我们可以看出,基于结构性黄土剑桥模型的柱形扩孔劈裂注浆压力预估公式计算值与实测值比较接近,误差的存在可能是由于推导中忽略了孔初始半径 a0及u rf/r f、u rp/r p高阶项或土体试验土样选取、计算参数取值、注浆时压力表记录及浆液配比等因素的影响。通过现场试验结果一定程度上验证了本文理论的有效性,可为湿陷性黄土地区诸如劈裂注浆等土工问题提供一定的理论指导。

图18 峰值压力坐标图
Fig.18 Peak pressure coordinate diagram

4.5 黄土劈裂注浆机理研究

注浆机压力小指针在试验过程中会以一定弧度反复振动,其变化速率与注浆机机械性能有关,注浆压力不是一个一直稳定的值,因此在图 19中注浆过程中的某一刻,会出现最大稳定压力值、最小稳定压力值与平均稳定压力值,对应于压力表上的极大、极小与平均值。

从图 19可以发现,初次注浆过程中注浆压力随时间的变化比较平稳,说明此时注浆形式主要为压密注浆和渗透注浆。注浆过程中压力出现了几次较小的峰值,初步判断可能是土体小范围劈裂。二次注浆过程中,压力上下波动比较剧烈,可能的原因为土体裂纹尖端能量的聚集与释放交替进行。压力较初次注浆时明显增大。随着劈裂的持续进行,裂缝不断向前拓展,靠近二次劈裂结束位置时,压力骤减,说明裂缝尖端的能量已不足以再使得裂缝拓展。当裂缝不再拓展时,压力缓慢降低,此时主要以挤密土体、巩固裂缝为主,直至注浆结束为止。在整个黄土注浆过程中,注浆机理主要以劈裂为主渗透压密为辅,出现了三次较为剧烈的压力峰值和一次较为平稳的压力峰值,表明土体中出现了范围较大的劈裂注浆现象。对注浆管附近土体进行开挖(图20),土体形成较大范围的浆脉,扩散距离较远。说明在反向增压注浆管的作用下压力可以集中释放,形成的高应力促使土体主要以劈裂注浆为主。

图19 注浆管压力分布曲线
Fig.19 Pressure distribution curves of fracturing pipe

图20 注浆孔形成的浆脉图
Fig.20 Slurry veins formed by grouting cavity

通过以上对于理论计算值与实测数据的对比及压力分析来看,在注浆试验过程中,初次注浆主要以压密注浆与渗透注浆为主,小范围发生劈裂现象。二次注浆时注浆机理主要以劈裂注浆为主,压密注浆与渗透注浆为辅,土体产生较大范围的劈裂现象。

由此可知,在黄土压力分析中,不仅要对压力值的大小和变化进行控制,还要对压力进行分段控制。实际上,土体的浆脉是裂缝不断拓展的结果,浆液在土中传输的过程中需要不断克服土的粘聚和摩擦,存在着一定程度的能量损失,与传统意义上只控制压力大小的概念有明显不同。同时可以看出,采用合适的强度准则对理论计算值影响较大,结构性的考虑可以在一定程度上降低理论结果的误差。

5 结论

本文基于结构性黄土剑桥模型的圆孔扩张理论,考虑了排水条件,建立了基于扩孔理论的劈裂注浆起裂压力分析模型。将劈裂注浆浆泡周围土体应力分布分为弹性区、塑性区及破坏区。在弹性区服从小变形理论,塑性区及破坏区服从大变形理论且采用非关联流动法则。根据应力平衡方程,应力与应变连续边界条件,并结合工程实际算例进行对比分析,得出以下结论:

(1) 基于结构性黄土剑桥模型扩孔理论,推导了黄土地区劈裂注浆初始阶段的最终扩孔半径、破坏区半径、竖向及水平注浆压力的理解解答以及浆液周围土体的应力-应变分布解。

(2) 分析表明,本文所得理论考虑了黄土的结构性参数、压缩模型、泊松比、内摩擦角、塑性破坏参数、剪胀系数、扩孔形式k及屈服准则等因素。同时采用 MATLAB分析了不同区域的应力应变解答及在参数影响下的递变规律,因此本文理论可为黄土地区劈裂注浆设计与施工提供参考。

(3) 通过对于理论计算值与实测数据的对比及压力分析来看,基于结构性黄土剑桥模型的柱形扩孔劈裂注浆压力预估公式计算值与实测值比较接近。在注浆试验过程中,初次注浆主要以压密注浆与渗透注浆为主,小范围发生劈裂现象。二次注浆时注浆机理主要以劈裂注浆为主,压密注浆与渗透注浆为辅,土体产生较大范围的劈裂现象。

参考文献:

[1] Vesic A S. Expansion of cavites in infinite soilmass [J].Journal of the Soil Mechainics and Foundation Division,ASCE, 1972, 98(3): 265―290.

[2] Dyba V P, Skibin E G. Evaluation of bearing capacity of driven piles, based on the results of solutionof the cylindrical cavity expansion problem [J]. Soil Mechanics& Foundation Engineering, 2017, 53(6): 381―384.

[3] Chen S L, Abousleiman Y N. Cavity expansion in strain hardening frictional soils under drained condition [J].International Journal for Numerical & Analytical Methods in Geomechanics, 2018, 42(1): 1―11.

[4] Mo P Q, Yu H S. Drained cavity expansion analysisw ith a unified state parameter model for clay and sand [J].Canadian Geotechnical Journal, 2017, 67(2): 1―13.

[5] Zhou H, Liu H L, Zha Y H, et al. Influence of stress anisotropy on the cylindrical cavity expansion in undrained elastic-perfectly plastic soil [J]. Science China Technological Sciences, 2018, 61(3): 1―11.

[6] 吴创周, 杨林德, 李秋实. 弹脆塑性围岩应力和位移的广义SMP准则解[J]. 工程力学, 2013, 30(8): 223―228.Wu Chuangzhou, Yang Linde, Li Qiushi. Perfect elastic-brittle-plastic solution of axisymmetric circular opening in rock mass on extended SMP criterion [J].Engineering Mechanics, 2013, 30(8): 223―228. (in Chinese)

[7] 孟强, 赵洪波, 茹忠亮, 等. 锚杆支护圆形隧洞弹塑性解[J]. 工程力学, 2015, 32(7): 17―25.Meng Qiang, Zhao Hongbo, Gu Zhongliang, et al.Analytical solution for circular tunnels w ith rock bolts[J]. Engineering Mechanics, 2015, 32(7): 17―25. (in Chinese)

[8] 刘时鹏, 施建勇, 雷国辉, 等. K0固结饱和土体柱孔扩张问题一种相似解法[J]. 工程力学, 2016, 33(12):128―134.Liu Shipeng, Shi Jianyong, Lei Guohui, et al. A similaritysolution method of cylindrical cavity expansion in K0 consolidation soils [J]. Engineering Mechanics,2016, 33(12): 128―134. (in Chinese)

[9] Carter J P, Booker J R, Yeung S K. Cavity expansion in cohesive frictional soils [J]. Geotechnique, 1986, 36(3):349―358.

[10] Collins I F, Stimpson J R. Sim ilarity solutions for drained and undrained cavity expansions in soils [J].Geotechnique, 1994, 44(1): 21―34.

[11] 周航, 孔纲强, 刘汉龙. 正方形孔扩张弹性分析[J]. 工程力学, 2013, 30(12): 182―186.Zhou Hang, Kong Gangqiang, Liu Hanglong. Elasitic analysis of square cavity expansion [J]. Engineering Mechanics, 2013, 30(12): 182―186. (in Chinese)

[12] 陈昌富, 肖淑君. 基于统一强度理论考虑拉压模量不同散体材料桩承载力计算[J]. 工程力学, 2007, 24(10):105―112.Chen Changfu, Xiao Shujun. Bearing capacity of aggrecate pile w ith different ratio of tension modulus to compression modulus based on unified strength theory[J]. Engineering Mechanics, 2007, 24(10): 105―112. (in Chinese)

[13] 王志丰, 沈永龙. 单根水平旋喷桩施工引起周围土体变形的实用计算方法研究[J]. 工程力学, 2017, 34(5):78―85.Wang Zhifeng, Shen Yonglong. An approach to calculated ground deformation induced by installation of single horizontal JET grout column [J]. Engineering Mechanics, 2017, 34(5): 78―85. (in Chinese)

[14] 张亚国, 李镜培, 饶平平. 倾斜坡体中圆孔扩张的弹塑性力学解析[J]. 工程力学, 2014, 31(7): 23―29.Zhang Yaguo, Li Jingpei, Rao Pingping. Elastic stress analysis of circular cavity expansion under a slope [J].Engineering Mechanics, 2014, 31(7): 23―29. (in Chinese)

[15] Zou J F, Du J M. A new approach for the quasi-plane strain-softening problem of cylindrical cavity expansion based on Cam-Clay model [J]. Journal of Mechanical Science & Technology, 2017, 31(3): 1315―1320.

[16] Silvestri V, Tabib C. Analysis of cylindrical cavity expansion in modified cam clay w ith k0 consolidation[C]// International Congress and Exhibition Sustainable Civil Infrastructures: Innovative Infrastructure Geotechnology. Egypt: Springer, Cham, 2017: 297―310.

[17] Rao P, Chen Q, Li L, et al. An elastoplastic solution for spherical cavity expansion in modified cam clay soil under drained condition [J]. International Journal of Geomechanics, 2017, 17(8): 1.

[18] 胡伟, 刘明振. 非饱和土中球孔扩张的弹塑性分析[J].岩土工程学报, 2006, 28(10): 1292―1297.Hu Wei, Liu M ingzhen. Elastic-panstic solution of expansion of sphere cavity in unsaturated soils [J].Chinese Journal of Geotechnical Engineering, 2006,28(10): 1292―1297. (in Chinese)

[19] 骆亚生, 谢定义, 邵生俊, 等. 复杂应力条件下的土结构性参数[J]. 岩石力学与工程学报, 2004, 23(24):4248―4251.Luo Yasheng, Xie Dingyi, Shao Shengjun, et al.Structural parameter of soil under complex stress conditions [J]. Chinese Journal of Rock Mechanics and Engneering, 2004, 23(24): 4248―4251. (in Chinese)

[20] 沈珠江. 土体结构性的数学模型-21世纪土力学的核心问题[J]. 岩土工程学报, 1996, 18(1): 95―97.Sheng Zhujiang. The mathematic model of structural soils[J]. Chinese Journal of Geotechnical Engineering,1996, 18(1): 95―97. (in Chinese)

[21] 邓国华, 邵生俊, 佘芳涛. 结构性黄土的修正剑桥模型[J]. 岩土工程学报, 2012, 34(5): 834―841.Deng Guohua, Shao Shengjun, She Fangtao. Modified Cam-clay model of structured loess [J]. Chinese Journal of Geotechnical Engineering, 2012, 34(5): 834―841. (in Chinese)

[22] 罗战友, 夏建中, 龚晓南. 不同拉压模量及软化特性的球形孔扩张问题的统一解[J]. 工程力学, 2006,23(4): 22―27 Luo Zhanyou, Xia Jianzhong, Gong Xiaonan. Unified solution for the expansionof spherical cavity in strain-softening materials w ith different elastic moduli in tensile and compression [J]. Engineering Mechanics,2006, 23(4): 22―27. (in Chinese)

MECHANISM ANALYSIS OF STRUCTURED LOESS FRACTURING GROUTING

ZHOU M ing-ru1,2 , LU Guo-wen1,2 , WANG Teng1,2 , WANG Jin-wei3
(1. Western Engineering Research Center of Disaster M itigation in Civil Engineering of M inistry of Education,Lanzhou University of Technology, Lanzhou, Gansu 730050, China;2. Key Laboratory of Disaster Prevention and Mitigation in Civil Engineering of Gansu Province, Lanzhou University of Technology, Lanzhou, Gansu 730050, China;3. School of Hydraulic Engineering, Dalian University of Technology, Dalian, Liaoning 116024, China)

Abstract: Based on the theory of plastic mechanics and large-deformation, this paper analyzes the mechanical mechanism of fracturing grouting in loess area. It treats the early phase of grouting as the problem of cavity expansion in infinite soil and divides the stress distribution due to the cavity expansion in soil into three zones:elastic zone, plastic zone and damage zone. Combined w ith the modified Cam-clay model of structural loess, the deformation follow ing small deformation assumption in elastic zone and large deformation assumption in plastic and damage zones is taken into consideration. According to the stress equilibrium equation and stress-strain continuous boundary conditions, the radius of the plastic and damage zones, the vertical and horizontal fracturing grouting pressures are deduced considering the drainage conditions and large deformation. Finally, the paper demonstrates these by engineering cases. The results show that the solution takes into account the structural parameters, compressive modulus, Poisson's ratio, internal friction angle, damage coefficient, dilatancy coefficient, form of expanding, k, yield criterion and so on. At the same time, the stress-strain distribution solution for the soil around the slurry and the grading regularity of them under the influence of the parameters are analyzed. The comparative analysis shows that the calculated value of the fracturing grouting pressure is very close to the measured value in projects, which prelim inarily verifies the reliability of the theory. Therefore, the paper has considerable practical value in fracturing grouting in loess area.

Key words: rock and soil mechanics; cavity expansion theory; modified Cam-clay model of structured loess;large deformation theory; fracturing grouting; grading regularity

中图分类号:TU472

文献标志码:A

doi: 10.6052/j.issn.1000-4750.2018.01.0067

文章编号:1000-4750(2019)03-0169-13

收稿日期:2018-01-26;修改日期:2018-07-12

基金项目:国家自然科学基金项目(51368038)

通讯作者:卢国文(1993―),男,甘肃白银人,硕士生,主要从事黄土劈裂注浆理论研究(E-mail: guowen_lu93@163.com).

作者简介:

周茗如(1965―),男,陕西人,教授,硕士,主要从事黄土地区地基加固研究(E-mail: 904105782@qq.com);

王 腾(1986―),男,山东人,博士生,主要从事黄土地区地基加固研究(E-mail: 562998591@qq.com);

王晋伟(1991―),男,山西人,博士生,主要从事黄土地区地基加固研究(E-mail: 731363440@qq.com).