新型组合剪力键抗剪机理及承载力计算方法研究

陈 海1,郭子雄1,2,刘 阳1,2,郭利涛3

(1.华侨大学土木工程学院,福建,厦门 361021;2.华侨大学福建省结构工程与防灾重点实验室,福建,厦门 361021;3.厦门理工学院应用数学学院,福建,厦门 361024)

摘 要:提出了一种带横向栓钉的新型组合PBL剪力键(简称组合剪力键),并开展了6个组合剪力键试件的静力推出试验。建立了组合剪力键的精细化有限元模型,在试验验证的基础上,开展了216个试件的数值模拟和参数分析。基于试验研究和有限元分析结果,对组合剪力键的受力机理进行了分析。研究表明:该组合剪力键具有良好的抗剪性能,其抗剪承载力由PBL部分的混凝土榫柱和横向栓钉共同提供,可按叠加原理进行计算。参数分析表明:增加栓钉直径和混凝土强度均可有效提高组合剪力键抗剪承载力。其中,当栓钉直径由16 mm增至22 mm时,其承载力约提高27.7%;当混凝土强度等级由C30提高至C50时承载力约提高20.6%。但增加开孔直径和肋板厚度对抗剪承载力的提高影响并不明显基于可靠度分析和叠加原理提出了该组合剪力键抗剪承载力计算公式。研究结果可为该新型剪力键的工程应用和后续研究提供参考。

关键词:组合结构;剪力连接件;模型试验;有限元模型;抗剪机理

剪力键是确保钢-混凝土组合结构界面性能和协同工作的重要部件,在组合结构桥梁[1]中得到广泛应用。常见的剪力键有焊钉剪力键[2]和开孔肋板剪力键[3]。此外,根据工程实际需求,国内外学者新型剪力键:抗拔不抗剪连接件[4],Y型PBL剪力键[5],长圆孔PBL剪力键[6]等。

焊钉剪力键与开孔肋板剪力键分别属于柔性剪力键和刚性剪力键[7]。各国规范及国内外学者针对焊钉剪力键[7―10]和开孔肋板剪力键[11―16]均提出了抗剪承载力计算模型、公式和细化分析。但对抗剪需求较大时两种剪力键混合使用的研究仍有所欠缺。

本文针对抗剪需求和拉拔力较大的特定工程需求,提出一种带横向栓钉的新型组合PBL剪力键(后简称组合剪力键)。该剪力键由传统PBL剪力键和栓钉剪力键组合而成。一方面栓钉焊接于肋板未开孔部分,可进一步提高抗剪承载力。另一方面,横向带头栓钉也增强了混凝土和钢翼缘之间的抗掀起力。通过6个试件的推出试验和相应有限元模拟,分析了组合剪力键的抗剪机理。对普通PBL剪力键和栓钉剪力键的几种抗剪承载力计算公式进行评估。最终根据评估结果,应用简单叠加的方式提出了适用于该组合剪力键的抗剪承载力计算公式,并以216个模型的有限元模拟结果验证了该公式的适用性。

1 试验研究

1.1 试件设计与制作

为研究栓钉数量和开孔数量对组合剪力键抗剪性的影响,制作了6个推出试验试件。其中包括2个P组开孔肋板剪力键试件,S组不开孔肋板焊接栓钉剪力键试件,及 PS组组合剪力键试件;具体构造及参数见图1和表1。

试件尺寸及形式参考EC4[8]的相关规定。栓钉直径为19 mm,钉长90 mm,肋板厚度为12 mm,所开圆孔直径为50 mm。试件尺寸和配筋如图2所示,图中尺寸单位均为mm。肋板下方设置有与肋板截面相同的泡沫板,以降低肋板端部混凝土承压作用的影响(如图 2(a)所示)。各试件与混凝土接触的钢翼缘表面均粘贴光滑胶带,以减小粘结摩擦作用(如图 2(a)所示)。

图1 剪力键构造示意图
Fig.1 Shear connector configurations

表1 推出试件参数及承载力试验结果
Table 1 Specimens parameters and ultimate shear strength

试件 栓钉数量N s开孔数量N h肋板高度h /mm 试验承载力P t /kN P1 0 1 100 336 P2 0 2 100 452 S1 1 0 90 715 S2 2 0 90 1134 PS1 2 1 100 1330 PS2 1 2 100 950

图2 推出试件构造示意图
Fig.2 Layout of push out specimens

混凝土28 d立方体抗压强度为30.5 MPa。分布钢筋等级为 HPB235,实测屈服强度为 385 MPa,极限抗拉强度为 515 MPa。肋板和工字型钢采用Q235级钢材,屈服强度为336.7 MPa,极限抗拉强度为440 MPa。

1.2 试验装置及量测方案

试验采用 10000 kN电液伺服压剪试验机进行加载。试验装置如图3所示,工字型钢上端端板与上部刚性反力架接触,通过 10000 kN千斤顶向上顶推两块混凝土块对剪力键施加剪力作用。试验前期采用力控制加载至预计抗剪承载力的40%,后转为位移控制;其中力控制时加载速率为 0.5 kN/s,位移控制是加载速率为 0.03 mm/s。加载至 40 mm或承载力下降至峰值荷载50%后停止加载。

图3 试验加载及量测装置图
Fig.3 Test setup and instrumentation.

在试件中部的工字型钢短梁上、下两端各布置两个位移计,分别测量工字型钢的加载端和自由端与试验台座的相对位移。所有力、位移信号均通过电液伺服试验机与DH3816N数据采集仪自动采集。

1.3 试验过程及破坏形态

各试件的破坏形态如图4所示,现象简介如下:

1) 试件P1、P2破坏均以混凝土榫柱剪断为标志。如图4(a)、图4(b)所示,开孔肋板并未有明显变形。混凝土榫柱在靠近自由端一侧出现局部碎裂。肋板表面在圆孔附近出现明显摩擦痕迹。

2) 如图4(d)、图4(e)所示,试件S2、S1破坏形态主要表现为栓钉剪断或栓钉变形、焊缝开裂。加载后期出现较大的响声并伴随承载力突降,其突降幅值约50 kN。

3) 组合剪力键同时存在混凝土榫柱剪坏与栓钉剪断,即为前二者破坏形态的结合(如图4(e)、图4(f)所示)。

图4 剪力键破坏形态
Fig.4 Failure pattern of shear connectors

1.4 荷载-位移曲线

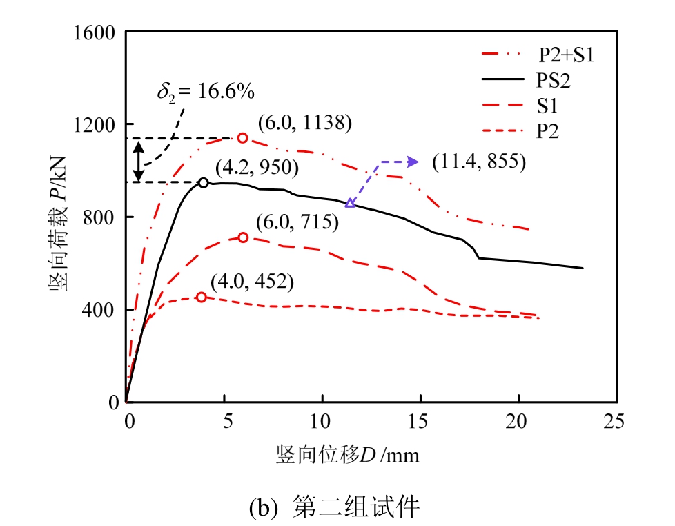
推出试验荷载-滑移曲线如图5所示。其中,Δ是工字型钢的竖向位移,取为自由端和加载端的平均值。P1+S2曲线是由试件P1和试件S2的荷载-滑移曲线叠加得到的计算曲线。同理,P2+S1曲线由曲线P2和曲线S1叠加而成。

图5 荷载-滑移曲线
Fig.5 Load-slip curves

对比叠加曲线(P1+S2)与试验曲线 PS1可知:两者曲线发展规律基本一致,但叠加曲线的峰值荷载略高于试验曲线的荷载,其相对差值δ1=(V P1+S2-V PS1)/V PS1=8.16%。P1+S2曲线与 PS2也具有相同规律。

如图5所示,增加栓钉和开孔数量均可提高剪力键的抗剪承载力。其中试件S2较试件S1,抗剪承载力提高了 58.8%;试件 P2较试件 P1提高了34.5%。与普通PBL剪力键和栓钉剪力键相比,组合剪力键的抗剪承载力均有所提高:试件PS1较试件P1提高了295.8%,较试件S2提高了17.3%。试件PS2与试件P2和S1相比,承载力分别提高了110.2%和32.9%。

根据 EC4[8],剪力键的变形能力可通过滑移特征量进行评估。EC4[8]将峰值荷载的 90%定义为抗剪承载力特征值,滑移量特征值则取为抗剪承载力特征值对应位移的90%。试件PS1、PS2的滑移量特征值分别是7.9 mm和10.3 mm。二者的滑移量特征值均高于EC4[8]规定的6 mm的延性剪力键滑移特征值,具有良好的变形能力。

2 有限元分析

为深入研究组合剪力键的抗剪机理,建立了精细化的有限元模型,分析了组合剪力键的应力状态和抗剪承载力组成部分。建立了216个有限元模型,并以此进行了参数分析。

2.1 有限元模型概况

采用通用有限元软件 ABAQUS对本文试验进行1∶1实体建模,模型主要包括中部工字型钢梁、组合剪力键、混凝土块与钢筋笼(如图 6所示)。采用动力显式算法进行计算。

2.2 材料本构关系模型

混凝土材料属性采用塑性损伤模型,其应力-应变关系曲线的确定参照文献[6]。栓钉剪力键抗剪以栓钉破坏起控制作用,因此栓钉周围混凝土并未考虑损伤,而PBL剪力键以混凝土破坏为控制工况,其周边混凝土考虑损伤(材料属性分布如图6所示)。塑性损伤可通过 ABAQUS材料库中混凝土塑性损伤模型的子选项(受拉损伤和受压损伤)实现。

图6 有限元模型
Fig.6 Finite element model

钢材本构采用弹塑性强化本构:应力-应变关系采用三折线应力-应变曲线,分别为弹性段、屈服段与强化段。其中弹性模量E s取195 GPa,强化段刚度为 0.01E s,屈服段长度为 9εyy为屈服应变)。详细参数设置参见文献[6]。

2.3 单元类型的选取与网格划分

如图6所示:实体单元采用三维八节点减缩实体单元(C3D8R),主要应用于混凝土、工字型钢与剪力键。钢筋采用三维二节点桁架单元(T3D2)。全局种子尺寸为10 mm~15 mm,栓钉与混凝土榫柱等较为重要的部分最小尺寸为2 mm。

2.4 相互作用与边界条件

试件采用两类界面属性:1) 工字型钢翼缘与混凝土块之间界面经过光滑处理,其摩擦力较小;因而采用切向无摩擦、法向“硬”接触进行模拟;2) 其余钢结构与混凝土部分界面均存在化学粘结力与摩擦力,则采用切向罚函数(其摩擦系数取0.4)、法向“硬”接触进行模拟。

混凝土块底部设为固端约束。加载时,对工字型钢上表面施加一个竖直向下的位移,位移幅值为30 mm,按照平滑时间-位移曲线进行加载。

2.5 有限元结果及分析

有限元分析主要结果如图7所示。模拟所得荷载-滑移曲线与试验所得曲线基本吻合,各试件破坏形态也与实际破坏形态相仿。由组合剪力键分离所得的 PBL分量和栓钉分量的荷载-滑移曲线与实际PBL剪力键和栓钉剪力键荷载-滑移曲线相近。

由M ises应力云图可知:PBL剪力键未出现明显变形。混凝土榫柱附近的肋板应力较高,但并未屈服。混凝土榫柱的应力超出混凝土单轴抗压强度,但其余混凝土仍处于较低的应力水平。栓钉剪力键的变形主要集中在栓钉脚部区域。栓钉脚部应力最高,脚步周边肋板次之。加载后期栓钉发生较大变形,栓钉脚部应力下降,栓钉头应力增加。

图7(b)、图7(d)右侧两幅插图是栓钉头接触力和位移的关系曲线。由图可知:随着加载位移的增长,栓钉头与混凝土的界面接触力不断增加。这说明栓钉剪力键由栓钉自身抗剪转化为栓钉头与混凝土咬合提供承载力。

由破坏形态、应力分布和应力变化可知,组合剪力键兼具PBL剪力键和栓钉剪力键的特征。

图7 有限元分析结果
Fig.7 Results of FEM analysis

2.6 有限元参数分析

为进一步研究栓钉直径、开孔直径、肋板厚度以及混凝土强度对组合剪力键抗剪性能的影响,建立并分析了216个有限元模型。有限元参数分析结果如图8所示,其中t为肋板厚度,D/mm为肋板开孔直径,d/mm为栓钉直径。详细分析结果如下:

1) 如图8(a)所示,增加栓钉直径可提高组合剪力键的抗剪承载力。当栓钉直径由 19 mm增至22 mm时,板厚15 mm的剪力键的承载力增强幅值明显大于其他板厚剪力键的承载力增强幅值。

说明栓钉对抗剪承载力的贡献受肋板厚度的影响:较厚的肋板能充分发挥栓钉的抗剪承载力,反之则制约栓钉抗剪承载力的发挥。

图8 有限元参数分析结果
Fig.8 Results of FEM parametric analysis

2) 如图8(b)所示,当板厚较厚(如t=12 mm或15 mm)时,增加开孔直径可提高组合剪力键的抗剪承载力。但板厚相对较薄时(如 t=9 mm,d=22 mm时),增加开孔直径容易进一步削弱肋板强度,反而降低其抗剪承载力。

3) 如图8(c)所示,改变肋板厚度对组合剪力键的抗剪承载力并无明显影响。

4) 如图8(d)所示,增加混凝土强度可提高组合剪力键抗剪承载力。

3 抗剪承载力计算公式

3.1 新型组合剪力键抗剪机理

组合剪力键的抗剪机理如图9所示。其抗剪承载力主要由混凝土销栓作用 V p1、肋板与混凝土的摩擦力和化学粘结力V p2(图中未表示)、端部混凝土承压作用V p3和栓钉机械作用V s提供。值得注意的是:端部混凝土承压作用仅在开孔肋板剪力键分段布置时考虑;若开孔肋板通长布置,承压作用相比于全区段混凝土销栓作用与栓钉机械作用是可以忽略的。本文并未考虑端部混凝土承压作用。另一方面,焊接在开孔肋板上的横向栓钉增加了组合剪力键的抗掀起力;与孔内混凝土的销栓作用一同提供法向抗掀起力。

图9 组合剪力键受剪机理
Fig.9 Mechanical behavior of composite shear connector

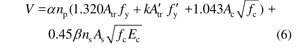
由1.4节和2.5节可知,组合剪力键抗剪承载力由栓钉剪力键与PBL剪力键两部分提供,可按简单叠加进行计算。计算式如下:

式中:n p与 n s分别为开孔与栓钉数量;α 为 PBL剪力键的可靠度系数;β 为栓钉剪力键的可靠度系数;V p 为 PBL剪力键单孔抗剪承载力;V s为栓钉剪力键单钉抗剪承载力。

3.2 PBL剪力键抗剪承载力计算公式

为评估不同学者提出的 PBL剪力键抗剪承载力计算方法的优劣,共收集了62个PBL剪力键试件的试验数据[6,11,17-20],并应用文献[11-14]所提计算公式对 62个试件的抗剪承载力进行计算。计算结果如图10所示,图中V pc和V pt分别表示PBL剪力键的抗剪承载力计算值和试验值。由图10可知,采用四种公式计算所得数据样本的平均值分别为0.984、0.841、0.783和0.714;标准差分别为0.218、0.411、0.265和0.223。由此可见文献[11]所提计算公式与已有试验数据最为符合,且公式计算结果离散性最低,其计算公式如下:

式中:A tr为贯通钢筋截面积;f y为贯通钢筋的屈服强度; tr A′为横向普通钢筋截面积; y f′为普通钢筋的屈服强度;A c为混凝土榫柱截面积;f c为混凝土立方体强度;αp为钢筋影响系数,取1.32;βp为横向普通钢筋影响系数,当配箍率ρ≤0.18%时,取1.20,当配箍率ρ>0.18%时,取1.04;γp为混凝土榫柱影响系数,取1.95。

3.3 栓钉剪力键抗剪承载力计算公式

图10 PBL剪力键抗剪承载力计算公式评估
Fig.10 Evaluation of design equations for PBL

为评估各国规范[7―10]提出的栓钉剪力键抗剪承载力计算公式的优劣,共收集了 78个栓钉剪力键试件的试验数据[2,21―23],并应用 GB50917[7],EC4(2005)[8],AISC(2016)[9]和 PCI[10]所提计算公式对上述试件的抗剪承载力进行计算。计算结果如图11所示:其中V sc和V st分别表示栓钉剪力键的抗剪承载力计算值和试验值。由图 11可知,采用四种公式计算所得数据样本的平均值分别为0.726、0.897、1.085和1.018;标准差分别为0.338、0.132、0.215和0.239。由此可见中国规范[7]所提计算公式与已有数据最为符合,且公式计算结果离散性最低,计算公式如下:

式中:A s为栓钉横截面面积;E c为混凝土的弹性模量;γs为栓钉材料抗拉强度最小值与屈服强度之比;f sd为栓钉抗拉强度设计值。

图11 栓钉剪力键抗剪承载力计算公式评估
Fig.11 Evaluation of design equations for studs

3.4 可靠度评估

由3.1节分析可知,本文提出的新型组合剪力键抗剪承载力可由PBL剪力键和栓钉剪力键的承载力简单叠加得到。但由于这两部分承载力计算结果与试验结果的比值存在一定离散性,简单叠加的结果会导致组合剪力键承载力计算的可靠度受到影响。

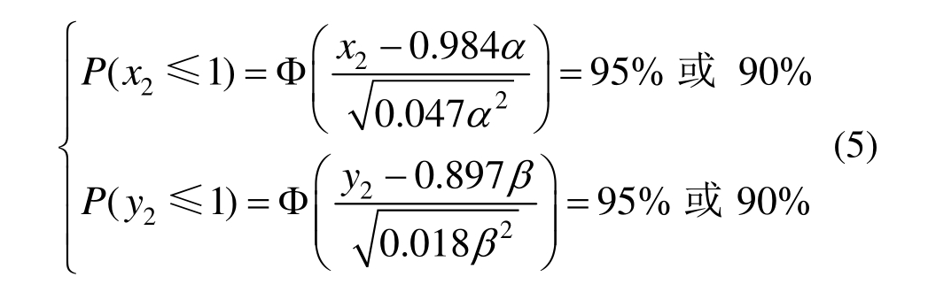
为解决该问题,本文定义4个随机变量x1、y1、x2和y2,具体表达式如下:

利用本文收集的样本数据,4个随机变量的统计结果如图12所示。由图12可知,4个随机变量的概率分布基本满足正态分布。

图12 X1和Y1的概率分布图
Fig.12 Probability distribution of X1 and Y1

采用矩估计法可分别求得X1~N(0.984, 0.047),Y1~N(0.897, 0.018), X2~N(0.984α, 0.047α2),Y2~N(0.897β, 0.018β2)。将 X2与 Y2转为标准正态分布,并构建方程(见式(5))。

解方程可求得α95%=0.746,β95%=0.895;α90%=0.792,β90%=0.935。其中,α95% 和β95%分别表示P(x2≤1)和P(y2≤1)均为95%时,对应α和β的取值。此时,可认为PBL剪力键和栓钉剪力键的抗剪承载力计算值不小于对应试验值的概率为95%,即计算公式的可靠度为95%。因此,可将α95%和 β95%定义为可靠度取为95%时,PBL剪力键和栓钉剪力键的抗剪承载力计算公式的可靠度系数。同理,将α90%和 β90% 定义为可靠度取为 90%时对应的可靠度 系数。

3.5 新型组合剪力键抗剪承载力计算公式及验证

根据3.1节~3.3节的分析,组合剪力键抗剪承载力计算公式如下:

式中:当可靠度取为95%时,α=0.746,β=0.895;可靠度取为 90%时,α=0.792,β=0.935;k表示横向普通钢筋影响系数,具体取值参照文献[11]。

以已完成的216个有限元模型模拟所得的抗剪承载力与式(6)计算所得抗剪承载力进行对比,对比结果如图13所示。

图13 组合剪力键抗剪承载力计算公式评估
Fig.13 Evaluation of equation for new connectors

图13 中:V c为抗剪承载力计算值,V FEM为抗剪承载力模拟值;其比值的平均值和标准差分别为0.930和 0.135。因此式(6)较为准确地预测此类新型组合剪力键。

4 结论

本文针对抗剪及抗拉拔需求较大的特定工况提出了一种提出了一种新型组合剪力键。对其抗剪性能进行试验研究和有限元分析;对多种抗剪承载力计算公式进行数理统计分析。可得如下结论:

(1) 试验表明,该组合剪力键破坏形态兼备普通PBL剪力键和栓钉剪力键破坏形态的特征,且具有良好的抗剪性能。其承载力近似等于对应普通PBL剪力键和栓钉剪力键的抗剪承载力之和;可按普通PBL与栓钉剪力键抗剪承载力简单叠加计算。

(2) 所建立的有限元模型可较为准确地反映该组合剪力键的受力过程和抗剪性能。组合剪力键各部分的应力云图分别与 PBL剪力键和栓钉剪力键对应部分的应力云图相似,也证明了简单叠加法计算组合剪力键承载力的合理性。

(3) 有限元参数分析表明,增加栓钉直径和提高混凝土强度均能较为明显地提高组合剪力键的抗剪承载力。其中,当栓钉直径由 16 mm增至22 mm时,其承载力约增加27.7%;当混凝土强度等级由C30提高至C50时,承载力约提高20.6%。

(4) 有限元参数分析表明,增大开孔直径可提高组合剪力键的抗剪承载力,但增幅不大。改变肋板厚度对组合剪力键的抗剪承载力并无明显影响。其中,当开孔直径由30 mm增至60 mm时,承载力仅提高约5.0%。

(5) 对多种计算PBL和栓钉剪力键的抗剪承载力计算公式的准确性和离散型进行了评估。基于简单叠加的方法,提出了针对该新型组合剪力键的抗剪承载力计算公式。

参考文献:

[1] 刘玉擎. 组合结构桥梁[M]. 北京: 人民交通出版社,2005: 22.Liu Yuqing. Composite bridge [M]. Beijing: China Communication Press, 2005: 22. (in Chinese)

[2] Ollgaard J G, Slutter R G, Fisher J W. Shear strength of stud connectors in lightweight and normal-weight concrete [J]. AISC Engineering Journal, 1971, 8(2): 55―60.

[3] Leonhardt F, Andrä W, Andrä H P, et al. Neues,vorteilhaftes verbundmittel für stahlverbund-tragwerke mit hoher dauerfestigkeit [J]. Beton-und Stahl- Betonbau,1987, 82(12): 325―331.

[4] 聂建国, 李一昕, 陶慕轩, 等. 新型抗拔不抗剪连接件抗拔性能试验 [J]. 中国公路学报, 2014, 27(4): 38―45.Nie Jianguo, Li Yixin, Tao Muxuan, et al. Experimental research on uplift performance of a new type of uplift restricted-slip free connector[J]. China Journal of Highway and Transport, 2014, 27(4): 38―45. (in Chinese)

[5] Kim S, Park S, Kim K, et al. Generalized formulation for shear resistance on Y-type perfobond rib shear connectors[J]. Journal of Constructional Steel Research, 2017, 128:245―260.

[6] Zheng S, Liu Y, Yoda T, et al. Parametric study on shear capacity of circular-hole and long-hole perfobond shear connector [J]. Journal of Constructional Steel Research,2016, 117: 64―80.

[7] GB 50917―2013, 钢-混凝土组合桥梁设计规范[S].北京: 中国计划出版社, 2013.GB 50917―2013, Code for design of steel and concrete composite bridges [S]. Beijing: China Architecture Industry Press, 2013. (in Chinese)

[8] EN 1994-2:2005, Eurocode 4 - Design of composite steel and concrete structures- Part 2: General rules and rules for bridges [S]. European Committee for Standardization,2005.

[9] ANSI/AISC 341-16, Seism ic provisions for structural steel buildings [S]. Chicago (IL): American Institute for Steel Construction, 2016.

[10] Precast/Prestressed Concrete Institute. PCI design handbook: Precast and prestressed concrete [M]. Chicago(IL): Precast/Prestressed Concrete Institute, 2004.

[11] 胡建华, 叶梅新, 黄琼. PBL剪力连接件承载力试验[J]. 中国公路学报, 2006, 19(6): 65―72.Hu Jianhua, Ye Meixin, Huang Qiong. Model test of bearing capacity of PBL shear connector [J]. Chinese Road Transaction, 2006, 19(6): 65―72. (in Chinese)

[12] 宗周红, 车惠民. 剪力连接件静载和疲劳试验研究[J].福州大学学报(自然科学版), 1999, 27(6): 61―66.Zong Zhouhong, Che Huim in. Experimental study of shear connector under static and fatigue loading [J].Journal of Fuzhou University (Natural Science), 1999,27(6): 61―66. (in Chinese)

[13] Oguejiofor E C, Hosain M U. Numerical analysis of push-out specimens w ith perfobond rib connectors [J].Computers & Structures, 1997, 62(4): 617―624.

[14] Medberry S B, Shahrooz B M. Perfobond shear connector for composite construction[J]. Engineering Journal-American Institute of Steel Construction, 2002,39(1): 2―12.

[15] 肖林, 强士中, 李小珍, 等. 考虑开孔钢板厚度的PBL剪力键力学性能研究[J]. 工程力学, 2012, 29(8): 282―288.Xiao Lin, Qiang Shizhong , Li Xiaozhen, et al. Research on mechanical performance of PBL shear connectors considering the perforated plate’s thickness [J]Engineering Mechanics, 2012, 29(8): 282―288. (in Chinese)

[16] 汪维安, 李乔, 赵灿晖, 等. 混合结构PBL剪力键的荷载-滑移特征曲线研究[J]. 工程力学, 2015, 32(3): 57―65.Wang Weian, Li Qiao, Zhao Canhui, et al. Study on load-slip characteristic curve of perfobond shear connectors in hybrid structures [J] Engineering Mechanics, 2015, 32(3): 57―65. (in Chinese)

[17] Su Q, Yang G, Bradford M A. Bearing capacity of perfobond rib shear connectors in composite girder bridges [J]. Journal of Bridge Engineering, 2016, 21(4):6015001―6015009.

[18] Da C Vianna J, de Andrade S A L, Da S Vellasco P C G,et al. Experimental study of perfobond shear connectors in composite construction [J]. Journal of Constructional Steel Research, 2013, 81: 62―75.

[19] Ahn J, Lee C, Won J, et al. Shear resistance of the perfobond-rib shear connector depending on concrete strength and rib arrangement [J]. Journal of Constructional Steel Research, 2010, 66(10): 1295―1307.

[20] Candido-Martins J P S, Costa-Neves L F, Vellasco P C G D. Experimental evaluation of the structural response of Perfobond shear connectors [J]. Engineering Structures,2010, 32(8): 1976―1985.

[21] Xue W, Ding M, Wang H, et al. Static behavior and theoretical model of stud shear connectors [J]. Journal of Bridge Engineering, 2008, 13(6): 623―634.

[22] Lee P G, Shim C S, Chang S P. Static and fatigue behavior of large stud shear connectors for steel-concrete composite bridges [J]. Journal of Constructional Steel Research, 2005, 61(9):1270―1285.

[23] 丁发兴, 倪鸣, 龚永智, 等. 栓钉剪力连接件滑移性能试验研究及受剪承载力计算[J]. 建筑结构学报, 2014,35(9): 98―106.Ding Faxing, Ni M ing, Gong Yongzhi, et al.Experimental study on slip behavior and calculation of shear bearing capacity for shear stud connectors [J].Journal of Building Structures, 2014, 35(9): 98―106. (in Chinese)

STUDY ON THE SHEAR RESISTING MECHANISM AND STRENGTH FOR AN INNOVATIVE COMPOSITE SHEAR CONNECTOR

CHEN Hai1 , GUO Zi-xiong1,2 , LIU Yang1,2 , GUO Li-tao3
(1. College of Civil Engineering, Huaqiao University, Xiamen, Fujian 361021, China;2. Key Laboratory for Structural Engineering and Disaster Prevention of Fujian Province, Huaqiao University, Xiamen, Fujian 361021, China;3. Department of Mathematics, Xiamen University of Technology, Xiamen, Fujian 361024, China)

Abstract: This paper describes an innovative perfobond rib shear connector, which is welded w ith horizontal headed stud (denoted as composite connector hereinafter). Monotonic push-out tests of six specimens were carried out. Accurate nonlinear finite element models of the connector were established. A total of 216 push-out specimens were analyzed after they were calibrated against the experimental data in the scope of this study. Based on the experimental and numerical results, the shear resisting mechanism of the composite connector was analyzed. The results show that the composite connector has good shear resisting performance. Its shear strength,provided by the concrete dowels and horizontal headed studs, can be calculated by the superposition principle.The numerical results show that increases in the stud diameter and concrete strength would enhance the shear capacity of the composite connectors. The strength is increased by 27.7% when the stud diameter changed from 16 mm to 22 mm and increased by 20.6% when the concrete grade is changed from C30 to C50. The shear strength of the connector is affected slightly w ith an increase in the angles between the ribs. Several formulas of shear strength for the perforated rib shear connector and headed stud connector were estimated. Finally, a formula was proposed to predict the shear strength of a composite shear connector. This paper provides a reference for the application and further research of the composite connector.

Key words: composite structure; shear connectors; model test; FEM model; shear resisting mechanism

中图分类号:TU398.9

文献标志码:A

doi: 10.6052/j.issn.1000-4750.2018.01.0058

文章编号:1000-4750(2019)03-0159-10

收稿日期:2018-01-18;修改日期:2018-08-12

基金项目:国家自然科学基金项目(51878304,51578254);福建省科技计划重大项目(2015J4007)

通讯作者:刘 阳(1982―),男,山东人,副教授,博士,主要从事钢-混凝土组合结构研究(E-mail: lyliuyang@hqu.edu.cn).

作者简介:

陈 海(1990―),男,福建人,博士生,主要从事钢_混凝土组合结构研究(E-mail: 1300222006@hqu.edu.cn);

郭子雄(1967―),男,福建人,教授,博士,博导,院长,主要从事工程结构抗震防灾研究(E-mail: guozxcy@hqu.edu.cn);

郭利涛(1982―),男,河南人,副教授,博士,主要从事数学研究(E-mail: guolitao@xmut.edu.cn).