负刚度非线性能量阱减震控制性能研究

陈洋洋1,陈 凯1,谭 平1,张家铭2

(1.广州大学 减震控制与结构安全国家重点实验室培育基地,广州 510405;2.台湾大学台湾地震工程研究中心,台北 10617)

摘 要:提出设置含负刚度特性的非线性能量阱(NES)来实现结构地震响应控制,针对典型的单层和双层层模型,在附加质量占主质量5%的限定条件下,对采用负刚度NES、立方NES和经典质量调谐阻尼器(TMD)控制方式的装置参数进行数值寻优,对优化的减震控制性能进行对比分析。结果表明,负刚度 NES减震控制性能全面优于已有的立方NES,对主结构动力特性变化的鲁棒性优于TMD,对地震动峰值变化的鲁棒性与TMD相当。应用数值小波变换对体系的地震响应时程进行功率谱分析,揭示了在地震作用过程中,负刚度 NES总体上对主结构产生更为显著、更为持续的瞬时内共振俘获行为,因而其减震效率较高,且由于这种瞬时内共振俘获是在多频域上同时展开的,使其减震控制性能具有强鲁棒性。

关键词:非线性能量阱;瞬时内共振俘获;负刚度;地震响应控制;小波变换

非线性能量阱(nonlinear energy sink,NES)技术是有别于传统质量调谐阻尼器(tuned mass damper,TMD)的附加子结构被动控制技术,其基本原理是通过设置具有强非线性刚度特性的附加子结构,使之对主结构的动力响应形成内共振俘获(internal resonance capture)来吸收和耗散主结构响应能量。由于属被动控制,NES的构造复杂程度总体上与TMD相当,不需附设外部能源和监测反馈控制等系统,其相比主动、半主动控制的系统可靠性高,成本低。由于其控制原理不再局限于调谐作用,优化的单个NES具有比TMD更可观的吸振带宽和鲁棒性,对设计阶段的结构动力分析准确度要求不高,对服役阶段的结构动力特性变化不敏感,具有应用前景。Vakakis等[1]对2008年以前的NES研究成果进行了深入总结,加上各国学者近十年来的进一步研究,逐渐形成了在基本原理与理论分析、试验分析与验证、装置研发与参数优化三方面的研究进展。

在基本原理与理论分析方法方面,最突出的特点是以往基于线性或等效线性化的模态分析理论已不适用于本质非线性的 NES减振控制体系,因此,基于摄动分析理论的方法被发展并初步应用于NES系统的非线性模态分析和内共振俘获机理研究。早期的代表性工作如Gendelman 等[2]、Vakakis和Gendelman[3]、Manevitch等[4]对复变量平均法和复变量多尺度法的发展和完善,该方法是迄今为止唯一一类专门应用于分析 NES系统内共振俘获机理的纯解析方法。然而,其仅适用于解析求解相对简单的立方非线性能量阱(以下简称立方 NES)系统,对于更为复杂的NES类型尚不适用。也正因如此,立方NES成为迄今理论研究最充分的NES类型,如我国学者张也弛[5]、刘中坡等[6]、谭平等[7]应用复变量摄动法分析了立方 NES减振控制体系的主共振行为。

在试验研究与试验分析技术方面,M cfarland等[8]较早的设计了立方NES的试验装置,并发展了基于小波功率谱的分析技术来考察其非稳态响应过程中能量模态分布的演化情况,进一步揭示了NES体系的瞬时内共振俘获行为。此后,作为这一技术的发展和应用,W ierschem等[9―10]分别对9层、6层钢框架模型在冲击荷载作用下的NES控制效果进行试验研究,Li等[11]就立方NES和碰振型NES分别进行试验研究。在针对脉冲激励的减振控制研究基础上,一些学者针对NES体系的地震响应控制开展了试验研究,如Nucera等[12―13]碰振型NES的试验研究,Wierschem等[14]和Luo等[15]完成了较大缩尺比结构模型采用立方NES和碰振型NES技术的试验研究,认为碰振型NES比立方NES控制效果更优,刘中坡等[16]、Wang 等[17―18]、Lu 等[19]分别进行了轨道型NES的振动台试验研究。

在装置研发方面,由于已有理论和试验研究很大程度上揭示了强非线性刚度特性是NES产生丰富的瞬时内共振行为的必要条件,许多学者致力于构造具有强非线性刚度特性的NES装置形式。Vakakis等[3]率先试制了立方 NES装置,Vaurigaud等[20]、Savadkoohi等[21]研究了布置多个立方NES装置对多自由度体系控制效果的影响。Nucera等[22―23]、Ahmadi等[24]、Gendelman 等[25]、Li等[26]先后对碰振型 NES装置进行试制并研究其减振效果。近年来,Wang 等[17―18, 27]、刘中坡等[16]、Lu 等[19]提出并试制了轨道型NES。以上三类是迄今为止进行了模型试制和振动台试验的NES装置。此外,还有一些学者提出了新的 NES概念形式,如 Schmidt和Lamarque[28]、Lamarque和 Savadkoohi[29]提出具有Saint-Venant摩擦型本构特性的 NES,A l-Shudeifat[30]和 Fang等[31]提出的磁力 NES,Gendelman等[32]和 Al-Shudeifat[33]等提出的带偏心质量的 NES装置,Al-Shudeifat[34]提出的含负刚度项的NES (以下简称负刚度NES)的构造形式。

纵观以上发展现状,目前仅立方NES完成了初步的解析分析,仅立方 NES、碰振型 NES和轨道型NES完成了较完善的数值模拟和模型试验。在设计方面,目前NES的研究还远不及TMD成熟,由于经典的模态调谐理论已不适用,目前尚未见成熟的NES设计公式,也尚未见NES在地震工程中有实质性的应用。在专门针对地震响应的控制研究方面,碰振型NES虽显示出较优越的减震控制效果,但又带来了结构的局部碰撞问题。因此,研究新的具有光滑强非线性回复力的NES,有助于在避免碰振产生的同时实现相对较好的减震功能。

因此,研究含有光滑负刚度特性的NES对结构地震响应的减震控制性能,针对典型分析模型研究其与立方NES和TMD的性能差异,对其性能的鲁棒性进行研究,并分析其在宽频域上的减震控制机理,评估光滑负刚度特性触发NES体系瞬时内共振行为的能力。

2 负刚度NES减震控制体系运动方程

利用弹簧质量系统的几何非线性构形可实现立方NES的典型装置构造,如图1所示,NES质量块m受垂直其运动方向的两侧弹簧连接,u为质量块位移,当处于静力平衡位置u=0时,两侧弹簧垂直于水平运动方向且呈无内力松弛状态,即弹簧自由松弛长度l=l0。k为弹簧刚度,c为运动方向上的等效黏滞阻尼系数,由此可近似构造出作用于质量块m的立方非线性回复力:

许多学者[1―8, 20―21]对式(1)所示的立方非线性回复力进行了研究,由于其不包含线性刚度项,属纯非线性刚度关系,有利于NES与主结构产生内共振行为。

图1 立方NES处于静力平衡状态
Fig.1 Cubic NES at static equilibrium

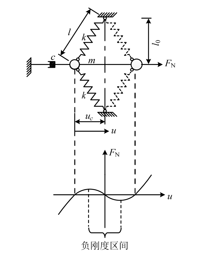
为了实现含负刚度段的弹簧质量系统,可设置弹簧的自由松弛长度l>l0,如图2所示。

由于弹簧的拉压作用,质量块在水平运动方向上将出现两个静力稳定平衡位置u=0和u=2u c,及一个静力不稳定平衡位置u=u c。为了方便示意,图中用实线弹簧和虚线弹簧分别表示两个静力稳定平衡状态,并标出了弹簧位移与非线性回复力 F N曲线的对应关系,其中,回复力F N随着位移u的增加而反而减小的区间,即负刚度区间,该非线性回复力可以写为:

图2 负刚度NES装置示意
Fig.2 Device configuration of NES w ith negative stiffness

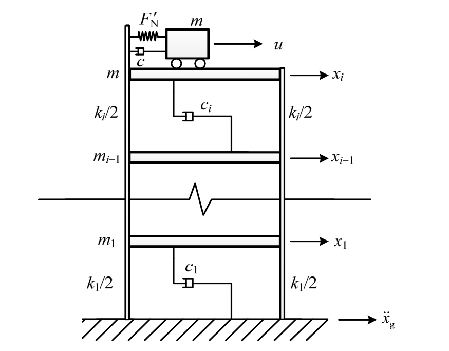
考虑将负刚度 NES与结构层模型顶层连接到一起,如图 3所示,则系统的动力学方程可如下表达:

式中:i为层编号;mi为层质量;ci为层阻尼;ki为层刚度;xi为相对于地面的层位移;g x˙为地震动加速度。 N F′=d F N/d u表示NES关于位移u的刚度函数,若其为常数,则系统退化为线性TMD体系,仅在模态调谐条件下具有明显吸振性能,当其具备非线性性质,则系统属NES体系,刚度的时变性质赋予附加子结构宽频吸振的可能性。

图3 负刚度NES减震控制体系
Fig.3 Seism ic control system by NES w ith negative stiffness

3 负刚度NES减震控制性能分析方法

3.1 减震控制性能优化

首先在合理的参数设计空间内确定最优参数值。由于 NES是以非线性乃至强非线性系统为基础,其动力特性分析比基于线性理论的TMD复杂得多,目前尚未见适用于负刚度NES参数的设计理论和公式。因此,采用四阶 Lunge-Kutta数值算法计算式(4),对负刚度 NES参数进行设计参数空间内的穷举寻优,以获得数值意义下的最优控制性能。为了综合考虑地震时程响应过程NES吸收和消耗能量的能力,以及对层间位移的控制能力,设定参数优化的目标函数为:

式中:E N、E Z分别为NES和整体结构的阻尼耗能量;Δrms和Δmax分别为受控结构各层层间位移的时程均方根包络值和峰值包络值;Δ0,rms和Δ0,max则是所对应的无控结构的结果;α、β、γ是各指标加权系数。为了进行比较,对相同的主结构模型采用立方NES和TMD的情况也进行了类似的参数优化,优化目标保持一致,在检查避免局部最优的情况下对减震效果进行比较。

对于被动控制方式,为了达到良好的减震控制效果,地震作用下减震控制机制的触发应尽可能早,耗能速率应尽可能快,因此,参考目前普遍做法[1―7,16―18],对结构首先采用初始能量输入以考察附加子结构短时间内对主结构能量的吸收和耗散速率,使非线性体系大空间多参数寻优的计算量控制在合理范围,确定优化参数,在此基础上,加以代表性地震作用时程分析,进行结构减震控制效果的综合分析。

3.2 基于数值小波功率谱的瞬时内共振俘获分析

在地震响应过程中,NES体系的响应动能在各阶非线性模态的分布是时变的,它直接反映了 NES对主结构产生内共振俘获行为的时程演化情况。考虑到负刚度 NES的响应时程属强非线性非平稳过程,传统仅针对频域的傅里叶分析并不能满足这一需求,有必要在时域和频域上同时分析各自由度的响应能量密度。因此,应用数值快速小波变换算法[35]来构造各自由度在地震响应过程中的小波功率谱,即对结构响应的时程序列进行如下离散小波变换,

式中:y[n]为时程响应序列,包括结构的位移、速度和加速度;s为小波尺度;n为离散时间;F和F-1分别表示快速傅里叶正变换和逆变换;*表示共轭复数,其中:

式中:δt为时间步长;Ψ0表示 Morlet母小波的傅里叶变换形式,即:

式中:ω0为 Morlet母小波中心频率;H(ω)为Heaviside单位阶跃函数。采用式(2)获得时频域上的小波功率谱,可观察小波功率谱中各自由度动能在频域上的分布随时间的演化规律,推断不同自由度间瞬时内共振行为特点,更近一步揭示NES对主结构的能量吸收和耗散过程。

4 负刚度NES减震控制性能分析

为了比较不同控制方式的主要行为模式,首先选取单层模型作为控制对象,采用表1所示代表性地震动记录作为结构输入,无控结构的动能响应时程如图4所示。由于NES内共振行为是能量相关的[1],为了使地震时程响应过程中结构大部分时间的能量水平都足以激发NES的内共振俘获行为,选定用于参数优化的结构初始动能为 0.8707 (kg·m2)/s2,即赋予结构初始速度0.1 m/s,从图4可以看到,该能量水平在大部分时间历程上都低于无控结构的抗震响应能量水平。

表1 地震动时程记录
Table 1 Seism ic records

序号 地震动记录 加速度峰值/g 1 El Centro,1940,USA 0.2 2 El Centro,1940,USA 0.3 3 El Centro,1940,USA 0.4 4 Taft,1952,USA 0.2 5 Taft,1952,USA 0.3 6 Taft,1952,USA 0.4 7 天津,1976,中国 0.2 8 天津,1976,中国 0.3 9 天津,1976,中国 0.4 10 Emc_Fairview Ave,1987,USA 0.2 11 Emc_Fairview Ave,1987,USA 0.3 12 Emc_Fairview Ave,1987,USA 0.4 13 Cpc_Topanga Canyon,1994,USA 0.2 14 Cpc_Topanga Canyon,1994,USA 0.3 15 Cpc_Topanga Canyon,1994,USA 0.4 16 Lwd_Del Amo,1994,USA 0.2 17 Lwd_Del Amo,1994,USA 0.3 18 Lwd_Del Amo,1994,USA 0.4 19 Kobe,1995,Japan 0.2 20 Kobe,1995,Japan 0.3 21 Kobe,1995,Japan 0.4 22 汶川,2008,中国 0.2 23 汶川,2008,中国 0.3 24 汶川,2008,中国 0.4

图4 无控结构动能响应时程
Fig.4 Kinetic energy response history of primary structure w ithout control

为了使对比相对客观,针对表2所示的同一主结构参数,以式(1)表示统一的优化目标,取加权系数 α=β=γ=1,且附加子结构质量统一为 5%,对三种不同的控制方式的装置参数分别进行数值寻优。其中,对于负刚度NES,优化参数是刚度k、阻尼系数c、弹簧自由松弛长度l和几何参数l0;对于立方 NES,优化参数是刚度 k、阻尼系数 c、弹簧自由松弛长度l;对于经典的线性TMD,优化参数是刚度k和阻尼系数c。所采用的数值寻优步长和参数空间也由表2给出。

表2 单层主结构模型参数及其附加子结构寻优条件
Table 2 Parameters of one-story primary structure and optimization conditions of attached substructure

主结构 参数 mi /kg ki/(N/m) ci /(N·s/m)固定值 165.84 24620 4.04子结构参数 l0/m k/(N/m) c/(N·s/m)优化步长 0.001 246.2 2.02优化空间 0~0.1 0~98480 0~60.6

按上述条件,分别获得三种控制方式的最优参数值如表3所示,后续将对这三种最优参数条件下的减震控制效果进行分析。

表3 单层主结构采用不同控制方式的子结构最优参数值
Table 3 Optimized parameters of different control schemes for one-story primary structure

子结构参数 m/kg k/(N/m) c/(N·s/m) l/m l0/m优化值负刚度NES 8.3 4431.6 18.18 0.1 0.091立方NES 69920.8 24.24 0.1 TMD 1231 24.24

图5给出了优化情况下具有初始动能的主结构自由振动位移时程,可以看到,各控制方式均能使主结构振动迅速消减。然而,对于采用地震时程响应而言,各控制方式的减震控制效果则存在差异,图 6给出了结构在 Kobe(0.2 g)、Taft(0.2 g)和汶川(0.2 g)地震动记录作用下的位移时程,可以看到,优化的负刚度NES和TMD的减震幅度比立方NES更大,立方NES虽然也具有一定控制效果,但其主结构振动衰减速率相对慢一些。

图5 具有初始动能的主结构位移自由衰减时程
Fig.5 Displacement natural attenuation histories of primary structure w ith initial kinetic energy

图6 主结构位移地震响应时程
Fig.6 Displacement seismic response histories of primary structure

下面继续对优化参数条件 Kobe(0.2 g)、Taft(0.2 g)和汶川(0.2 g)地震动作用下三种控制方式的刚度鲁棒性进行分析。图7和图8给出了结构刚度改变对主结构能量响应 E Z和位移时程均方根值Δrms的影响曲线。从图7可以看到,与无控相比,各控制方式均使E Z得到不同程度的降低,而随着主结构刚度的改变,负刚度NES使E Z总体保持在最低水平,TMD次之,立方 NES则相对不理想。从图8可以看到,负刚度NES和TMD控制使Δrms响应比采用立方NES更低,当主结构发生刚度退化时,总体上负刚度NES的减震幅度最大,效果保持最好。

图9列举了主结构刚度偏移为理论设计值50%时的这三条地震动作用的结构位移响应时程,所反映的情况与图8的结论是一致的。

图7 主结构刚度变化对其能量响应的影响
Fig.7 Energy response history of primary structure for various stiffness

图8 主结构刚度变化对位移时程响应均方根值的影响
Fig.8 Influence of stiffness change of main structure on its displacement RMS

图9 主结构刚度偏移为原设计值50%时的位移响应时程
Fig.9 Displacement histories of the primary structure w ith its stiffness changed to 50%

对表1所示的其他21条地震记录输入的时程响应情况及其对主结构的刚度鲁棒性进行了上述类似分析和结果统计,均得到与上述3条地震时程响应类似的控制性能规律。图 10给出了单层主结构刚度退化 50%以后的位移响应时程均方根值的统计情况,可以看到,负刚度NES使主结构在大多数地震动作用下的位移时程响应控制在最低水平,其控制性能对结构刚度退化 50%时的鲁棒性总体上最强,TMD次之,这是主结构刚度退化导致TMD一定程度上“失谐”的结果。

图10 单层主结构考虑刚度退化50%的位移响应时程均方根值
Fig.10 RMS of displacement response histories of one-story primary structure w ith 50% stiffness loss

再考察地震动峰值变化对各控制方式的影响。图 11给出了主结构能量响应 E Z随着地震动峰值PGA的变化曲线,可以看到,随着PGA增加,负刚度NES和TMD控制效果的变化相对不明显,它们仍使E Z保持在较低水平,而采用立方NES控制则使E Z则随着PGA的增加显著增大,控制效果相对不理想。

考虑主结构为双层的情形,结构参数如表4所示,各控制方式的参数寻优条件与表2所示相同,采用与前述相同的数值寻优步骤,获得两层主结构采用不同控制方式的最优参数值如表5所示,分析结果表明各控制方式的响应情况和鲁棒性与单层主结构情况的分析结果很类似。图 12给出了双层主结构刚度退化 50%以后位移响应时程均方根值的统计情况,从总体上看,采用不同控制方式的主结构响应与单层模型表现的规律基本一致,这是由于双层结构二阶模态响应并不是控制效果的最主要影响因素。

图11 地震动峰值对主结构能量响应的影响
Fig.11 Energy induced into primary structure for various PGA

层编号( i ) 参数mi/kg ki/(N/m) 阻尼比/(%)1 74.92 28188 0.1 2 74.92 32948

表5 双层主结构采用不同控制方式的子结构最优参数值
Table 5 Optimized parameters of different control schemes for two-story primary structure

控制方式 参数m/kg k/(N/m) c/(N·s/m) l/m l0/m负刚度NES 8.3 4431.6 18.18 0.1 0.091立方NES 69920.8 24.24 0.1 TMD 1231 24.24

图12 双层主结构考虑刚度退化50%的位移响应时程均方根值
Fig.12 RMS of displacement response histories of two-story primary
structure w ith 50% stiffness loss

5 负刚度NES减震控制机理分析

采用数值小波变换绘制主结构和附加子结构在地震响应过程中的小波功率谱,以观察响应能量在主结构和子结构之间的传递过程,分析负刚度NES对主结构形成瞬时内共振俘获的行为机理。采用该方法对表1所列24条地震动作用的时程响应进行分析,图13给出了代表性的Kobe地震动作用下单层结构响应的小波功率谱,并标出主结构的基频以便于观察能量响应的频域分布特点。

从图13(a)可以看到,尽管地震动属宽频输入,但无控结构的响应能量仍然大部分集中在基频附近,且总体上衰减缓慢,符合典型线弹性无控结构的响应特点。图 13(b)和图 13(c)给出相应的 TMD体系响应情况,可以看到,子结构的响应和主结构的响应频率基本一致,都集中在基频附近,且主结构能量消减较为迅速,这说明经典调谐作用使子结构产生了与主结构等频率的吸振行为,符合 TMD调谐的响应特点。

图13(d)和图13(e)描绘了立方NES体系的响应情况,可以看到,立方NES体系的行为区别于无控体系和TMD体系的一个重要特点是,附加子结构的吸振频域不再局限在主结构基频附近。

图13 Kobe地震动记录作用下的位移响应小波功率谱
Fig.13 Numerical wavelet transform spectrum for displacement response under Kobe wave excitation

NES的响应除了大部分在主结构基频附近,在与基频呈 2∶1关系的频域附近及其他频域也有所分布,其响应频域分布更为分散,这是附加子结构非线性体系瞬时内共振行为区别于线性体系瞬时共振行为的重要特点。这说明,立方NES对主结构不仅产生了瞬时1∶1主共振,还产生了瞬时2∶1超谐波内共振,这是立方NES不同于经典TMD体系的减震控制机理。值的注意的是,从该时频谱云图还可以看出,2∶1超谐波内共振俘获行为并不强烈,而1∶1主共振俘获行为也不及TMD的线性共振行为强烈,这就解释了立方NES的减震效果为什么相比TMD无优势,这与前述的时程响应结果结论是一致的。

图13(f)和图13(g)描绘了负刚度NES体系的响应情况,可以进一步看到,相比立方NES和TMD,负刚度 NES的响应能量分布在更广的频域上,在0 Hz~3 Hz同时存在瞬时内共振俘获行为,且各频域的内共振响应更为强烈。值的注意的是,由于负刚度加剧了子结构的低频振动,直接激发了丰富的次谐波内共振俘获行为,因此在次谐波频域上子结构对主结构的能量俘获尤为明显,达到高效的耗能目的,这是负刚度NES相比立方NES减震控制效率大大提高的原因。

图14给出了该主结构刚度退化50%后结构位移响应的小波功率谱,此时无控主结构的线性基频退化为1.37 Hz。比较图13和图14可以观察到,对于各控制方式,基频的改变使主结构的能量衰减变慢,TMD的调谐作用减弱,NES的内共振俘获行为也减弱,减震控制效果都有所降低。但相比而言,负刚度NES仍使主结构振动能量衰减最快,其低频频域仍然保持着较强烈的瞬时内共振行为,这说明主结构刚度退化对 TMD的模态调谐条件和立方NES性能均起较大影响,对负刚度NES的内共振俘获行为影响相对不大,这就是其表现出更强鲁棒性的原因。

类似的,对其余 23个地震动输入的单层、双层结构响应时程的小波功率谱进行分析,都可以观察到与之类似的规律。

图14 主结构刚度退化为50%后,Kobe地震动记录作用下的位移响应小波功率谱
Fig.14 Numerical wavelet transform spectrum for displacement response under Kobe wave excitation, in case of 50% stiffness loss in primary structure.

6 结论

针对典型的单层和双层层模型,采用负刚度NES实施地震响应控制,并与相应的立方NES和TMD相比,得到如下结论:

(1) 在数值最优的参数条件下,负刚度NES能够使具有初始动能的主结构动力响应加速衰减,其衰减速率与采用立方NES或TMD控制方式基本相当。但从结构地震时程响应来看,负刚度NES对主结构位移和能量响应的减震幅度大于立方NES,总体上与线性的TMD相当。

(2) 在考虑主结构刚度变化的情况下,负刚度NES总体上表现出更优的减震控制性能保持能力,TMD次之,立方NES最差。在考虑地震动峰值变化的情况系啊,负刚度NES和TMD总体上表现出比立方NES更优的减震控制性能保持能力。

(3) 区别于经典 TMD体系的调谐作用原理,NES对主结构产生的瞬时内共振俘获行为揭示了其特有的减震控制机理。基于数值小波变换构造的时频域功率谱,是分析这一机理过程的有效手段。在地震时程作用下,负刚度 NES能够在次、超谐波和主共振频域上对主结构产生总体更为充分的瞬时内共振俘获行为,且由于宽频域内共振对主结构基频的改变不敏感,其减震控制性能具有更强的鲁棒性。

参考文献:

[1] Vakakis A F, Gendelman O V, Bergman L A, et al.Nonlinear targeted energy transfer in mechanical and structural systems I & II [M]. Berlin, Springer Springer Science & Business Media, 2008.

[2] Gendelman O, Manevitch L I, Vakakis A F, et al. Energy pumping in nonlinear mechanical oscillators: Part I—Dynam ics of the underlying ham iltonian systems [J].ASME Journal of Applied Mechanics, 2001, 68(1): 34―41.

[3] Vakakis A F, Gendelman O. Energy pumping in nonlinear mechanical oscillators. Part II—Resonance capture [J].ASME Journal of Applied Mechanics, 2001, 68(1): 42―48.

[4] Manevitch L I, Musienko A I, Lamarque C H. New analytical approach to energy pumping problem in strongly nonhomogeneous 2dof systems [J]. Meccanica,2007, 42(1): 77―83.

[5] 张也弛. 非线性能量阱的力学特性与振动抑制效果研究[D]. 哈尔滨: 哈尔滨工业大学, 2012.Zhang Yechi. Research on the dynam ics and performance of vibration suppression of nonlinear energy sink [D].Harbin: Harbin Institute of Technology, 2012. (in Chinese)

[6] 刘中坡, 吕西林, 王栋, 等. 非线性能量阱刚度优化计算与振动台试验 [J]. 振动与冲击, 2016, 36(20): 77―84.Liu Zhongpo, Lü Xilin, Wang Dong, et al. Stiffness optim ization of nonlinear energy sink and shaking table test [J]. Journal of Vibration and Shock, 2016, 36(20):77―84. (in Chinese)

[7] 谭平, 刘良坤, 陈洋洋, 等. 非线性能量阱减振系统受基底简谐激励的分岔特性分析[J]. 工程力学, 2017,34(12): 67―74.Tan Ping, Liu Liangkun, Chen Yangyang, et al.Bifurcation analysis of nonlinear energy sink absorption system under ground harmonic excitation [J].Engineering Mechanics, 2017, 34(12): 67―74. (in chinese)

[8] M cfarland D M, Bergman L A, Vakakis A F.Experimental study of non-linear energy pumping occurring at a single fast frequency [J]. International Journal of Non-Linear Mechanics, 2005, 40(6): 891―899.

[9] Wierschem N E, Luo J, Hubbard S, et al. Experimental testing of a large 9-story structure equipped w ith multiple nonlinear energy sinks subjected to an impulsive loading[C]. Proceeding of ASCE Structures Congress 2013:2241―2252.

[10] Wierschem N E, Luo J, A l-Shudeifat M, et al.Experimental testing and numerical simulation of a six-story structure incorporating two-degree-of-freedom nonlinear energy sink [J]. ASCE Journal of Structural Engineering, 2014, 140(6): 04014027-1―04014027-10.

[11] Li T, Seguy S, Berlioz A. Dynamics of cubic and vibro-impact nonlinear energy sink (NES): analytical,numerical, and experimental analysis [J]. ASME Journal of Vibration & Acoustics, 2016, 138(3): 031010-1―031010-9.

[12] Nucera F, Lacono F L, Mcfarland D M, et al. Application of broadband nonlinear targeted energy transfers for seism ic m itigation of a shear frame: Experimental results[J]. Journal of Sound & Vibration, 2008, 313(1): 57―76.

[13] Nucera F, M cfarland D M, Bergman L A, et al.Application of broadband nonlinear targeted energy transfers for seism ic m itigation of a shear frame:Computational results [J]. Journal of Sound & Vibration,2010, 329(1): 2973―2994.

[14] Wierschem N E, Luo J, Hubbard S, et al. Synergistic combination of multiple nonlinear energy sinks in a large-scale building structure subjected to seismic ground motion [C]. Proceeding of Vienna Congress on Recent Advances in Earthquake Engineering and Structural Dynam ics, 2013: 298―308.

[15] Luo J, Wierschem N E, Hubbard S A, et al. Large-scale experimental evaluation and numerical simulation of a system of nonlinear energy sinks for seism ic m itigation[J]. Engineering Structures, 2014, 77: 34―48.

[16] 刘中坡, 吕西林, 鲁正, 等. 轨道型非线性能量阱振动控制的振动台试验研究 [J]. 建筑结构学报, 2016,37(11): 1―9. (in Chinese)Liu Zhongpo, Lu Xilin, Lu Zheng, et al. Experimental inerstigation on vibration control effect of track nonlinear energy sink [J]. Journal of Building Structures, 2016,37(11): 1―9. (in Chinese)

[17] Wang J, Wierschem N, Spencer B F, et al. Experimental study of track nonlinear energy sinks for dynamic response reduction [J]. Engineering Structures, 2015, 94:9―15.

[18] Wang J, Wierschem N, Spencer B F, et al. Numerical and experimental study of the performance of a single-sided vibro-impact track nonlinear energy sink [J]. Earthquake Engineering & Structural Dynam ics, 2016, 45(4): 635―652.

[19] Lu X, Liu Z, Lu Z. Optimization design and experimental verification of track nonlinear energy sink for vibration control under seism ic excitation [J].Structural Control & Health monitoring, 2017, DOI:10.1002/stc.2033.

[20] Vaurigaud B, Savadkoohi A T, Lamarque C H. Targeted energy transfer w ith parallel nonlinear energy sinks. Part I: Design theory and numerical results [J]. Nonlinear Dynamics, 2011, 66(4): 763―780.

[21] Savadkoohi A T, Vaurigaud B, Lamarque C H, et al.Targeted energy transfer w ith parallel nonlinear energy sinks, Part II: Theory and experiments [J]. Nonlinear Dynamics, 2012, 67(1): 37―46.

[22] Nucera F, Iacono F L, Mcfarland D M, et al. Targeted energy transfers for seism ic m itigation induced by attachments w ith essential stiffness nonlinearities [C].International Symposium on Recent Advances in Mechanics, Dynamical Systems and Probability Theory,2007: 460―471.

[23] Nucera F, Vakakis A F, M cfarland D M, et al. Targeted energy transfers in vibro-impact oscillators for seismic m itigation [J]. Nonlinear Dynam ics, 2007, 50(3): 651―677.

[24] Ahmadi M, Attari N K A, Shahrouzi M. Structural seismic response mitigation using optimized vibro-impact nonlinear energy sinks [J]. Journal of Earthquake Engineering, 2014, 19(2): 193―219.

[25] Gendelman O V, Alloni A. Dynamics of forced system w ith vibro-impact energy sink [J]. Journal of Sound &Vibration, 2015, 358(2015): 301―314.

[26] Li T, Seguy S, Berlioz A. On the dynam ics around targeted energy transfer for vibro-impact nonlinear energy sink [J]. Nonlinear Dynamics, 2017, 87(3):1453―1466.

[27] Wang J, Wierschem N E, Spencer B F, et al. Track nonlinear energy sink for rapid response reduction in building structures [J]. ASCE Journal of Engineering Mechanics, 2015, 141(1): 04014104-1―04014104-10.

[28] Schmidt F, Lamarque C H. Energy pumping for mechanical systems involving non-smooth saint-venant terms [J]. International Journal of Non-Linear Mechanics, 2010, 45(9): 866―875.

[29] Lamarque C H, Savadkoohi A T. Targeted energy transfer between a system w ith a set of saint-venant elements and a nonlinear energy sink [J]. Continuum Mechanics and Thermodynamics, 2015, 27(4): 819―833.

[30] Al-Shudeifat M A. Asymmetric magnet-based nonlinear energy sink [J]. Journal of Computational & Nonlinear Dynam ics, 2015, 10(1): .

[31] Fang X, Wen J, Yin J, et al. Highly efficient continuous bistable nonlinear energy sink composed of a cantilever beam w ith partial constrained layer damping [J].Nonlinear Dynamics, 2017, 87(4): 2677―2695.

[32] Gendelman O V, Sigalov G, Manevitch L I, et al.Dynam ics of an eccentric rotational nonlinear energy sink [J]. ASME Journal of Applied Mechanics, 2012,79(1), 011012: 1―9.

[33] Al-Shudeifat M A, Wierschem N E, Bergman L A, et al.Numerical and experimental investigations of a rotating nonlinear energy sink [J]. Meccanica, 2017, 52(4-5):763―779.

[34] A l-Shudeifat M A. Highly efficient nonlinear energy sink[J]. Nonlinear Dynamics, 2014, 76(4): 1905―1920.

[35] 成礼智. 小波与离散变换理论及工程实践[M]. 北京:清华大学出版社, 2005.Cheng Lizhi. Wavelet, discrete transform theory and engineering practice [M]. Beijing: Tsinghua University Press, 2005. (in Chinese)

A STUDY ON STRUCTURAL SEISM IC CONTROL PERFORMANCE BY NONLINEAR ENERGY SINKS W ITH NEGATIVE STIFFNESS

CHEN Yang-yang1 , CHEN Kai1 , TAN Ping1 , CHANG Chia-m ing2
(1. State Key Laboratory for Seismic Reduction, Control and Structural Safety (Cultivation), Guangzhou University, Guangzhou 510405, China;2. National Center for Research on Earthquake Engineering, Taiwan University, Taipei 10617, China)

Abstract: A nonlinear energy sink (NES) w ith negative stiffness is presented for structural seism ic response control. Typical analysis model is studied by attaching a NES w ith negative stiffness, a NES w ith cubic nonlinear stiffness, or a classical tuned mass damper (TMD). The parameters of different devices are optim ized numerically,and their control performaces are compared under the condition that the attaching mass is less than 5% of the parimary structure. The anlysis results shows that the seismic control performance of the present NES w ith negative stiffness is thoroughly superior to that w ith cubic stiffness. As the dynam ic characteristics vary, its control performance shows stronger robustness than that of the TMD. As the peak ground accceration varies, it shows similar robustness performance as the TMD. The numerical wavelet transformation is applied to analyze the structural seism ic response histories by power spectra. The results indicate that more intense and durable transient internal resonance captures can be obtained by the NES w ith negative stiffness, and thus it shows higher control efficiency. Furthermore, as such transient internal resonance captures can be derived in a w ide frequency domain, particularly as those transient subharmonic resonance captures are insensitive to variation of foundamental frequency of the primary structure, its control performance possesses strong robustness.

Key words: nonlinear energy sink; seism ic resoponse control; negative stiffness; transient internal resonance capture; wavelet transform

中图分类号:TU352.1+1

文献标志码:A

doi: 10.6052/j.issn.1000-4750.2018.01.0053

文章编号:1000-4750(2019)03-0149-10

收稿日期:2018-01-17;修改日期:2018-06-25

基金项目:国家重点研发计划项目(2017YFC0703600);国家自然科学基金项目(51578168);广州市珠江科技新星项目(201610010159);广东省自然科学基金项目(2016A030313544)

通讯作者:陈洋洋(1981―),男,广东人,副研究员,博士,从事结构减震控制研究(E-mail: yychen@gzhu.edu.cn).

作者简介:

陈 凯(1992―),男,福建人,硕士生,从事结构减震控制研究(E-mail: 2443230078@qq.com);

谭 平(1973―),男,湖南人,研究员,博士,从事结构减震控制研究(E-mail: ptan@gzhu.edu.cn);

张家铭(1979―),男,台湾人,助理教授,博士,从事结构减震控制研究(E-mail: changcm@ntu.edu.tw).