结构基频对冷却塔风振效应的影响

张军锋1,朱 冰1,杨军辉1,葛耀君2,赵 林2

(1.郑州大学土木工程学院,郑州 450001;2.同济大学土木工程防灾国家重点实验室,上海 200092)

摘 要:为明确结构基频f0对冷却塔风振效应的影响,以某大型冷却塔为例,在风振响应时程计算和风振效应特征分析的基础上,通过调整材料弹性模量E实现对f0的改变,以单独分析f0对风振效应尤其是共振分量Rσ的影响,并阐述了该方法的优点。结果表明,根据共振与背景分量Rσ、Bσ在时域内的分离方法,不管f0如何变化,Rσ与Bσ之间的耦合分量始终可以忽略。各响应Rσ随f0的降低而增加,并在f0小于0.7 Hz以后急剧增加,但因Bσ在总脉动响应Tσ中贡献较高,故Tσ和阵风响应因子GRF仅在f0小于0.5 Hz以后才有较明显的增加。各响应Rσ随f0的降低而增加的原因在于风谱能量随频率的降低而增加,且结构f0越小其共振参与模态越多。为方便评价共振响应Rσ随f0的变化,提出参数RP=(1/f0×(1/f0-1/2))综合考虑以上两种因素作为Rσ的评价指标,且各响应的Rσ与RP均呈线性变化。

关键词:冷却塔;风振效应;结构基频;共振分量;阵风响应因子

风荷载是冷却塔的设计控制荷载,其动力作用作为冷却塔结构的关键问题之一,长期受到设计和研究人员的关注,尤其关注动力效应与荷载和结构参数的关系。文献[1]曾对冷却塔风振效应影响因素的研究现状进行了介绍,并在风致动力响应特征分析的基础上,通过调整阻尼比ζ、风速取值 V和风压子午向相关性,详细分析这三个因素对风振效应的影响。但是,结构风振效应最为基础和关键的影响参数是结构基频f0:由于风谱能量随频率的下降而增加,一般来说结构基频f0越低,单个模态的共振效应越大,并且参与共振的模态越多。但是,如果仅选择一座冷却塔为对象,无法分析结构基频f0的影响[1];如果选择多座冷却塔针对结构基频f0的影响进行分析,则所得结果实际上还同时受因结构尺度不同而带来的风压相关性的影响[2―4]

为单独分析基频f0对结构风振效应的影响,以某规划大型冷却塔为例,通过刚体模型风洞试验和结构动力响应时程计算,在前期风致动力响应特征分析的基础上[5],在保持结构尺度参数不变的情况下通过调整材料弹性模量E实现对结构基频f0的改变,单独分析f0对风振效应的影响,本质上是f0对共振分量σR的影响。同时,对这种研究方法的可行性也首先做了探讨。

1 工程背景与分析方法

1.1 工程背景

本研究中的冷却塔(图1)处B类场地,10 m高度基本风速V0=26.7 m/s,对应塔顶风速V H=40 m/s。塔筒和下支柱分别采用C40和C45混凝土,弹性模量E分别为32.5 GPa和33.5 GPa。采用ANSYS进行结构计算,塔筒采用 Shell188单元模拟并划分72×35(环向×子午向)个单元,下支柱和檐口采用Beam188单元模拟。塔筒表面分为环向和子午向两个维度,环向角度θ以迎风点为 0°,逆时针转动为正;子午向以0≤h S/H S≤1表示塔筒相对高度位置。

试验在同济大学TJ-3风洞中进行,模拟B类地貌,几何缩尺比λL=1∶200,采用适当措施进行雷诺数效应补偿。塔顶试验风速10 m/s,即风速比λV=1∶4,时间比λt=1∶50,并据此将试验风压转换到实际结构进行动力计算。信号采样频率312.5 Hz,采样时长19.2 s。风洞试验的详细介绍可见文献[6]。风振动力计算采用时程直接积分法进行,计算方法的详细介绍可见文献[1,5]。

图1 冷却塔特征结构尺度 /m
Fig.1 Dimensions of HCT

1.2 分析方法

对于冷却塔结构,为保持结构尺度不变的情况下改变结构频率,可采用以下三种方法:改变结构的线形、壁厚以及材料弹性模量。但是,前两者对结构基频的改变非常有限:文献[7]对一座高150 m最小壁厚t0=16 cm的冷却塔进行32种线形对比分析,但 f0的变化范围仅在 0.5868 Hz~0.7520 Hz之间,这是由于在保证双曲线的总体外形下,线形的可调整范围仅有喉部高度、顶底倾角以及顶部半径等参数,对结构整体刚度影响不大;文献[8]对一座121.5 m 高的冷却塔将其最小壁厚 t0在 180 mm~300 mm之间调整,但f0的变化范围仅在1.266 Hz~1.516 Hz之间,这是由于壁厚的调整则同时改变了质量和刚度,所以对频率的影响不显著。同样,本文对一座177 m(表1)冷却塔的线形进行调整,所得f0也只在0.879 Hz~1.021 Hz之间,对最小壁厚t0在201 mm~ 341 mm 之间进行调整,所得 f0也只在0.869 Hz~ 0.984 Hz之间。所以,在保持结构尺度不变的情况下对结构频率进行有效调整,只能改变材料弹性模量。

另外,上述两种方法不仅对基频的调整有限,更重要的是对结构的刚度和质量系统都有改变,并且这种改变没有可量化的规律。刚度系统的改变使结构基本的受力性能发生变化,质量系统的变化也会影响结构的惯性效应或着说共振效应,这两者的变化也使结构基频对风振效应的影响同样隐含了多因素的作用。因此,最好能在保持结构质量系统不变的情况下仅仅改变刚度系统,并且对整个刚度系统按比例调整,也即通过调整材料弹性模量改变结构的刚度系统。实际上,这也是分析结构基频对动力响应影响的最佳方式。

众所周知,对于单自由度系统,其在特定动力荷载作用下的位移与其刚度k和频率f0相关(式(1)~式(3))。其中,静力分量Y和背景分量σB仅与k有关,共振分量σR与k、f0和ζ有关,并且f0中同时隐含m和k的影响。同时,Y和σB、σR均与k呈反比关系,也即 k的变化对三分量的影响规律一致。因此,通过对k的比例调整,尽管所得σR会同时受k和f0的影响,但可以通过与Y和σB的对比消除k的影响而仅保留 f0的影响。类似地,对于多自由系统,这一方法依然可行,下文的结果也印证了这一方法。

式中:m、c分别为系统的质量和阻尼,且c=4πmf0ζ,ζ为模态阻尼比;S(f )为荷载p(t)的频谱。

另外,尽管刚度的调整会使结构位移的各分量发生变化,但对于冷却塔结构来说,设计中更关心其内力而非位移。由于对整个结构的弹性模量E进行比例调整,结构各部分之间的刚度比始终保持不变,所以静风荷载作用下的内力并不随E变化;同样,动力荷载作用下内力的背景分量σB亦不随E变化。或者说,对整个结构的弹性模量E进行比例调时,只有内力的共振分量σR随E或者说f0变化,而这正是所期望的,从而给基频对动力响应的影响分析带来了便利,下文的计算结果也印证了上述分析。对于静风位移响应,由于内力不随弹性模量E变化,故各位移将与E成倒数关系,故对其结果表达需要进一步处理,详见下文。另外,通过对下文表1所列177 m和215 m两座冷却塔的静风响应分析,也证实了结构内力不随弹性模量E变化而位移与E成倒数关系。

1.3 弹性模量和基频调整

为合理确定冷却塔基频f0的调整范围,表1列出了已建或在研的部分冷却塔基频。可以看出,已建成冷却塔的基频基本都在0.7 Hz以上,即使未来冷却塔高度达到250 m,基频也都在0.5 Hz以上,所以对f0的下限可设为0.5 Hz左右。由于现阶段冷却塔高度往往在150 m以上,其基频不会太高,故可对f0上限设为1.0 Hz左右。故下文通过对材料弹性模量的调整使本例冷却塔 f0变化范围在 0.4 Hz~1.11 Hz(表2)。另外,弹性模量调整对结构动力特性的影响亦符合动力学概念:结构基频 f0基本与 C1/2成正比(C为弹性模量调整系数);结构前20阶模态亦无变化。图2还给出了前100阶模态的频率及阻尼比ζ。

表1 部分冷却塔的基频
Table 1 Fundamental frequencies of several HCTs

出处 高度/m 最小壁厚t0/m 基频f0/Hz某湿冷塔[9] 167 0.22 0.809某空冷塔[10] 177 0.271 0.927德国Frimmersdorf电厂[11] 200 0.24 0.74某湿冷塔[12] 200 0.25 0.8078本例(在研) 215 0.26 0.763某空冷塔[13](在研) 250 0.42 0.503

表2 弹性模量调整系数及对应的基频
Table 2 f0’s for different elastic modulus coefficients

弹性模量调整系数C基频f0/Hz积分步长Δt/s 涵盖最高频率/Hz涵盖模态数0.27 0.396 1/37.5 1.875>100 0.51 0.545 87 0.72 0.647 67 1.0 0.763 53 1.25 0.853 1/43.8 2.188 55 1.55 0.950 1/50 2.5 59 2.15 1.119 1/56.25 2.813 55

图2 结构频率和阻尼比分布
Fig. 2 Distributions of frequency and damping ratio

需要说明的是,随着结构弹模和频率的变化,时程计算中的时间积分步长Δt同样有所调整(表2),并且对刚度更大的结构减小Δt以计入更多模态;采用瑞利阻尼确定模态阻尼比ζ,并使 1.9 Hz以下模态的ζ均在1%左右;根据结构响应特征,阵风响应因子GRF计算时对环向内力取峰值因子g=4.5,对子午向内力和位移取g=3.75[5]

图3 各响应的均值和阵风响应因子
Fig.3 Mean responses and gust response factors

2 计算结果及分析

2.1 基准工况结果

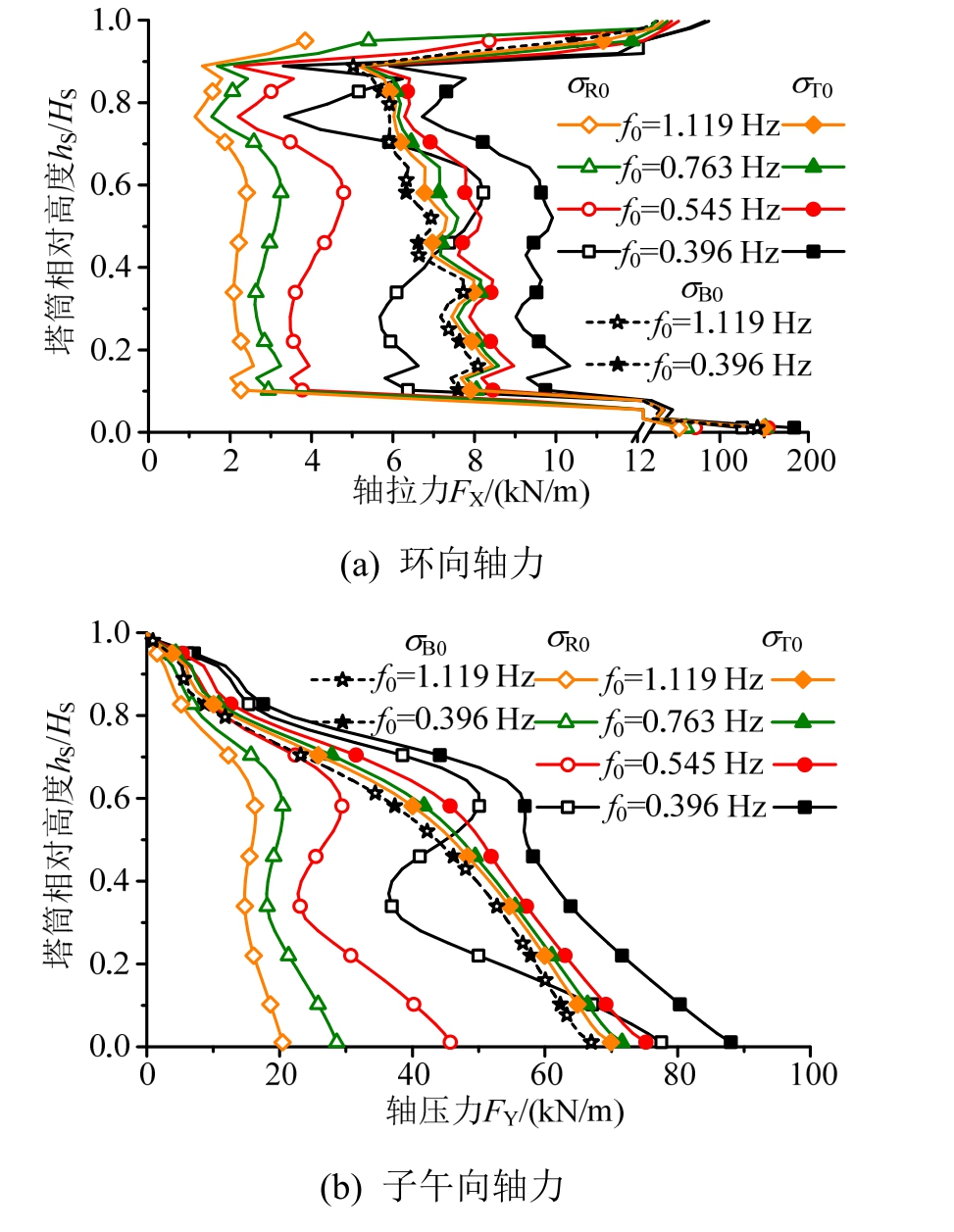
图3首先给出了基准工况(C=1.0)塔筒部分响应的均值 Y和总脉动σT0沿塔筒高度的分布,包括子午向轴拉力F Y,T和轴压力F Y,C,环向轴拉力F X,T和轴压力F X,C,环向内凹和外凸弯矩M X,I、M X,O,内凹和外凸位移U I、U O,并对负均值响应以幅值给出,同时还给出了阵风响应因子GRF。图中各响应的均值 Y和总脉动σT0分量均为本高度断面整个环向的最大值,对结果的详细分析可参见文献[5,14]。

需要说明,图4(c)的GRF为响应极值与均值的比值(式(4)),也即 Davenport方法[15]。而文献[5]对式(4)所示比值称为动力放大系数D,但这一称谓并不合适:因为动力放大系数的概念源于经典的动力学教材[16],由于动力分析所施加荷载是零均值的,故其表达式为总脉动响应幅值与背景响应幅值的比值,可粗略表示为式(5),实质为共振效应或者说惯性效应权重的体现。另外,如果对式(5)计及均值响应则有式(6),这也是德国冷却塔设计规范[17]所采用的形式,并称之为共振因子γ。可见,不同文献对风荷载脉动效应的表达并不一致,参阅时需要注意。

式中:g为峰值因子;g T和g B为区分总脉动和背景分量而单独给出的峰值因子;sign(Y)判断均值的正负。

为便于下文对比,图4还给出了各内力和位移的背景分量σB0和共振分量σR0,与总脉动分量σT0类似,两者同样为整个断面的最大值,同时还给出了σT0位置对应的共振和背景分量并用σB,T和σR,T表示。需要说明,本文σT直接来自动力时程计算,σB则来自不计入惯性效应的时程计算,上述两个时程结果的差值即为共振响应时程,从而可得σR:计算方法详见文献[1]。

图4 各响应的三个脉动响应分量
Fig.4 σB0R0 and σT0 of different responses

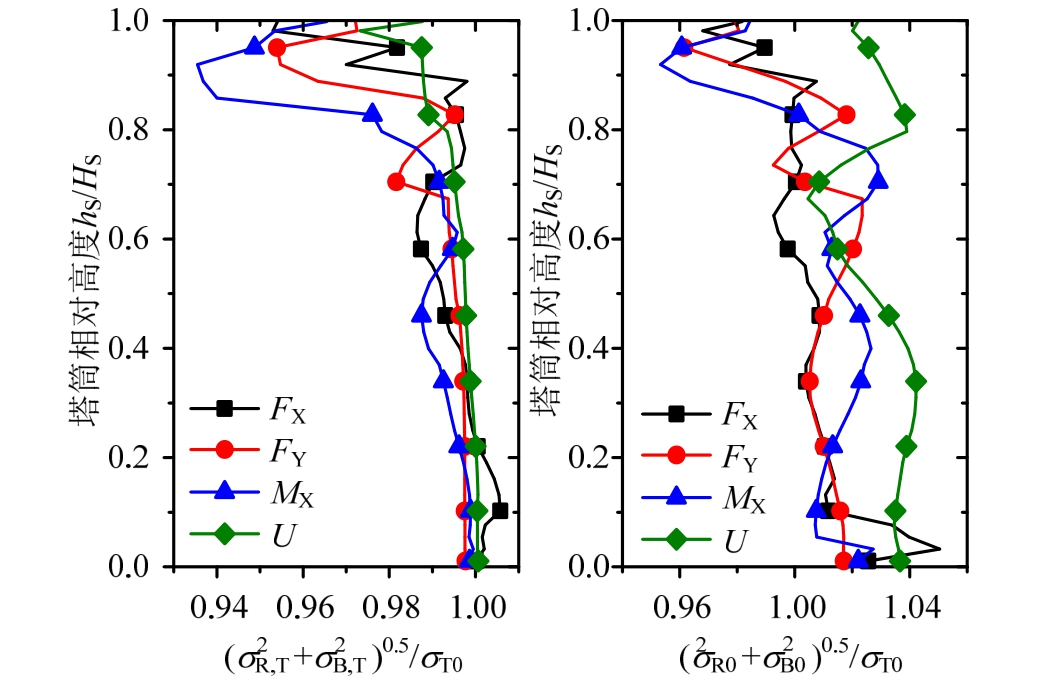
可以看出,尽管σR对σT的贡献随位置和响应而变化,但各响应的σT均以σB为主,尤以 F X和 F Y的最为明显,M X的σR贡献在各响应中相对最大:文献[1]对此有详细故不再赘述。另外,σR与σB之间的耦合分量可以忽略[1]:如以σB,T和σR,T采用式(7)计算,则所得结果与σT0的偏差仅在-7%~1%以内,并且偏差主要出现在塔顶区域;即使采用σB,0和σR,0采用式(7)计算,所得偏差也仅在-5%~5%以内(图5)。

图5 各响应背景和共振分量的耦合性
Fig.5 Coupling effect between σB and σR

值得注意的是,除塔筒顶端位移U外,各响应的σB0和σB,T均相等,说明σB0和σT0的位置重合,对σB和σT的环向分布分析也印证了这一点,这实际上也是因为σB在σT中占绝对主要成分,故σT0出现在σB0位置。另一方面,σR0和σR,T的位置并不重合,但两者数值相差不大,尤其对于三个内力。故下文仅以σB0、σR0和σT0为对象分析各自随基频的变化。

2.2 基频对σR和σT的影响

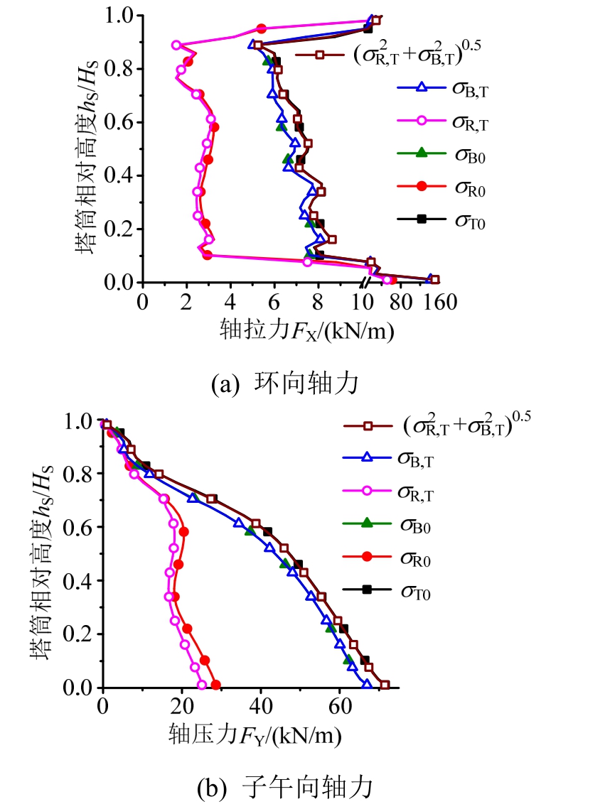
前文已述,脉动风作用下,结构内力的 Y和σB不随弹性模量E和基频f0变化,σR的变化纯粹来自 f0变化而引发的共振效应的改变,故下文对内力直接给出不同 E值对应的σR和σT;但对于位移,σR的变化来自两个原因(式(3)),一方面是刚度变化各响应分量的影响,另一方面是 f0变化而引发的共振效应的变化。为屏蔽刚度的影响而仅保留f0的影响,对不同弹性模量E所得位移各分量值,包括 Y、σB、σR和σT,均乘以弹性模量调整系数 C(表 2)进行调整。由此所得各响应σR0和σT0随基频f0的变化如图6示。

从图6可以看出,随f0的减小,各响应σR明显增加,尤其是在f0小于0.7 Hz以后;σR的增加也使σT随之增加,但幅度有限,并且因σR对σT的贡献有限,σT的明显增加发生在f0小于0.5 Hz以后。但是,即使在f0=0.545 Hz和f0=0.396 Hz,σR与σB之间的耦合分量依然可以忽略:以σB,T和σR,T用式(7)所得σT与σT0的偏差仍与基准模型(图5)一致。

图6 各响应的三个脉动响应分量随基频的变化
Fig.6 σB0, σR0 and σT0 of different responses

随f0的减小,σT的增加完全来自σR的增加,有必要给出σR随f0的变化关系。实际上,不同规范和学者给出的关系式也不一致:英国规范[18]根据文献[19]研究给出子午向轴力的共振分量随 f0的变化如式(8);德国规范[17]则采用了文献[20]的研究成果,用共振因子γ(式(6))表示共振分量的贡献,但其γ与f0之间并无明确的函数关系(式(9),表3),而文献[20]则给出了σR随f0的变化关系(式(10))。

式中:B、K为计算参数;V S为场址风速;J表示函数关系;q b(H)为塔顶风压;V G为塔顶风速;L为紊流积分尺度,其他结构参数参见图1。

表3 德国规范共振因子γ 取值
Table 3 Dynamic factor, γ, for VGB code

RI 0 2 4 6 8 10 γ 1.00 1.02 1.05 1.08 1.12 1.17

对上述两国冷却塔规范中共振分量σR的表达有以下两点说明。首先,其σR计算并没有使用风谱S(f ),只是将基频f0置于分母,隐式的表达随频率下降而增加的风谱能量S(f)将引起σR的增加;而在大多数国家的荷载规范中,σR的计算都直接或间接使用了风谱S(f )的表达式[21],这也导致荷载规范中σR的计算更为复杂。另外,上述两国冷却塔规范的σR表达式来自试验和计算结果的统计拟合,而各国荷载规范的σR则有详细的理论推导。这也是因为各国荷载对风振效应仅计入一阶模态的贡献[22],推导过程较为简单,而冷却塔的频率密集,参与共振的模态数量较多[1,5],理论推导过程复杂,难以给出简化实用的计算公式。因此,下文同样采用统计拟合的方法给出σR的表达式。

为便于实际应用,并同时考虑基频f0变化对单个模态共振响应以及参与模态数量这两个因素的综合影响,给出参数RP=(1/f0×(1/f0-1/2))作为σR0的评价指标:其中 1/f0表示单个模态贡献;(1/f0-1/2)表示共振参与的频段范围,即从f0~2 Hz;两者直接相乘以近似考虑两方面的影响。如果结构基频大于2 Hz,则取RP=0。根据表2多个模型的计算结果,给出σR0与RP关系如图7所示。可以看出,对于不同位置的各个响应,σR0与RP均近乎线性变化,只是斜率略有差异,各响应的斜率从大到小依次为:M X、U、F Y和 F X,各高度位置的斜率均值分别为0.45、0.41、0.36和0.32,此顺序也与图3(c)中GRF的大小顺序一致。这也说明用参数RP作为共振响应的表示指标是合适的。

2.3 基频对GRF的影响

阵风响应因子GRF作为风振效应的最终表达,图8给出了其随基频f0的变化,并且环向弯矩M X和位移U各自的两个代表值,M X,O和M X,I以及U O和U I,的GRF随f0的变化几乎一致,故仅给出M X,I和U O的GRF,这两个GRF也分别是相对较大的。可以看出,在f0>0.6 Hz时,只有M X的GRF随f0的降低而有所增加,其他响应的 GRF基本不随 f0变化;在f0<0.6 Hz时,各响应的GRF都随f0的降低而有所增加,在f0<0.5 Hz后则随f0的降低而急速增加:这些都可以从图 6所示 f0对各响应σR和σT的影响规律得以解释。综合表1所列不同高度冷却塔的基频f0和图8所示GRF随f0的变化可知,对于现阶段即使215 m高的冷却塔,其阵风响应因子受结构f0的影响可以忽略,但如果未来冷却塔高度持续增加而使 f0进一步下降,则须考虑 f0对 GRF的影响。

图7 各响应共振分量随参数RP的变化
Fig.7 Relationships of σR0 and RP for different responses

图8 各响应GRF随基频f0的变化
Fig.8 Relationships between GRF and f0 for different responses

3 结论

以风洞试验所得风压为基础,在前期风振响应计算和风振效应特征分析的基础上,通过调整结构弹性模量E改变结构基频f0并详细分析了f0对冷却塔风振效应的影响,主要结论如下:

(1) 对于冷却塔结构,通过调整结构弹性模量E可以在保持结构尺度参数和荷载参数不变的情况下独立分析基频f0对风振效应的影响,并且此方法所得内力的均值和背景分量不随E变化,更方便分析共振分量随基频f0的变化;

(2) 对于基准结构,各响应的σR均以σT为主;随f0的减小,各响应σR明显增加,尤其是在f0小于0.7 Hz以后;σR的增加也使σT随之有所增加,但因σB始终有较大幅值而使σT增幅有限,并且σT仅在f0小于0.5 Hz以后才有较明显的增加;根据f0对各响应σR和σT的影响规律可知,各响应的GRF都随f0的降低而有所增加,并在f0<0.5 Hz后则随f0的降低而急速增加。

(3) 根据所提出的共振与背景分量在时域内的分离方法,不管 f0如何变化,所得σR与σB之间的耦合分量始终可以忽略;

(4) 冷却塔结构密集的频率分布使其必须计入较多的共振参与模态,为评价共振响应σR00随f0的变化,提出参数RP=(1/f0×(1/f0-1/2))作为σR0的评价指标,且各响应的σR0与RP均呈线性变化;

尽管文中详细分析了f0变化对各响应σR和σT影响以及各响应GRF的变化,并给出了σR0与参数 RP的线性关系,但仍未给出考虑基频变化的便于结构设计的实用计算表达式,仍需进一步进行研究。

参考文献:

[1] 张军锋, 朱冰, 葛耀君, 等. 冷却塔风振效应特征及影响因素分析[J]. 振动与冲击, 2018, 37(18): 201―208.Zhang Junfeng, Zhu Bing, Ge Yaojun, et al. Features of w ind dynam ic effects of a hyperboloidal cooling tower and the influence factors [J]. Journal of Vibration and Shock, 2018, 37(18): 201―208. (in Chinese)

[2] Ke S T, Ge Y J, Zhao, L. Wind-induced vibration characteristics and parametric analysis of large hyperbolic cooling towers w ith different feature sizes [J].Structural Engineering and Mechanics, 2015, 54(5):891―908.

[3] Singh M P, Gupta A K. Gust factors for hyperbolic cooling towers [J]. Journal of the Structural Division,1976, 102(2): 371―386.

[4] 卢文达, 王养琪, 蓬静欣, 等. 双曲冷却塔的阵风响应[J]. 中国电机工程学报, 1982(1): 45―61.Lu Wenda, Wang Yangqi, Peng Jingxin, et al. Response of hyperbolic cooling tower to turbulent w ind [J].Proceedings of the CSEE, 1982(1): 45―61. (in Chinese)

[5] 张军锋, 葛耀君, 赵林. 冷却塔风振响应时程计算与风振系数分析[J]. 振动与冲击, 2017, 36(3): 163―171.Zhang Junfeng, Ge Yaojun, Zhao Lin. Wind induced responses of a hyperboloidal cooling tower in time-domain and the gust effect factor analysis [J].Journal of Vibration and Shock, 2017, 36(3): 163―171.(in Chinese)

[6] 张军锋, 葛耀君, 赵林, 等. 双曲冷却塔表面三维绕流特性及风压相关性研究[J]. 工程力学, 2013, 30(9):234―242.Zhang Junfeng, Ge Yaojun, Zhao Lin, et al. Wind tunnel study on the three dimensional flow and spatial correlation properties of w ind loads on hyperboloidal cooling towers [J]. Engineering Mechanics, 2013, 30(9):234―242. (in Chinese)

[7] Noh S Y, Lee S Y. Evaluation of the natural draught cooling tower shell using linearly and non-linearly numerical analysis [J]. Journal of vibroengineering,2012, 14(3): 1011―1020.

[8] 鲍侃袁. 大型双曲冷却塔的风荷载和风致响应理论分析与试验研究[D]. 杭州: 浙江大学, 2009.Bao Kanyuan. Theoretical and experimental research on w ind load and wind induced response of large hyperbolic cooling towers [D]. Hangzhou: Zhejiang University,2009. (in Chinese)

[9] Zhang JunFeng, Chen Huai, Ge YaoJun, et al. Effects of stiffening rings on the dynamic properties of hyperboloidal cooling towers [J]. Structural Engineering and Mechanics, 2014, 49(5): 619―629.

[10] 张军锋, 葛耀君, 赵林. 双曲冷却塔结构特性新认识[J]. 工程力学, 2013, 30(6): 67―76.Zhang Junfeng, Ge Yaojun, Zhao Lin. New perceptions on the structure behavior of hyperboloidal cooling towers[J]. Engineering Mechanics, 2013, 30(6): 67―76. (in Chinese)

[11] Busch D, Harte R, Niemann H J. Study of a proposed 200m high natural draught cooling tower at power plant Frimmersdorf/Germany [J]. Eng. Struct., 1998, 20(10),920―927.

[12] 邹云峰, 牛华伟, 陈政清. 基于完全气动弹性模型的冷却塔风致响应风洞试验研究[J]. 建筑结构学报,2013, 34(6): 60―67.Zou Yunfeng, Niu Huawei, Chen Zhengqing. Wind tunnel test on w ind-induced response of cooling tower based on full aero-elastic model [J]. Journal of Building Structures, 2013, 34(6): 60―67. (in Chinese)

[13] 赵海, 白国良, 徐亚洲, 等. 初始缺陷对超大型双曲冷却塔极限承载力的影响[J]. 西安建筑科技大学学报(自然科学版), 2011, 43(6): 777―783.Zhao Hai, Bai Guoliang, Xu Yazhou, et al. The influence of initial imperfections on the ultimate bearing capacity of super-large hyperbolic cooling tower [J]. Journal of Xi’an University of Architecture and Technique (Natural Science Edition), 2011, 43(6): 777―783. (in Chinese)

INFLUENCES OF THE FUNDAMENTAL FREQUENCY ON THE W IND DYNAM IC EFFECTS OF A HYPERBOLIC COOLING TOWER

ZHANG Jun-feng1 , ZHU Bing1 , YANG Jun-hui1 , GE Yao-jun2 , ZHAO Lin2
(1. School of Civil Engineering, Zhengzhou University, Zhengzhou 450001, China;2. State Key Laboratory for Disaster Reduction in Civil Engineering, Tongji University, Shanghai 200092, China)

Abstract: Studies were initiated for clear interpretation of the influence of the fundamental frequency, f0, on the w ind dynamic effects of hyperbolic cooling towers (HCTs). Based on the preceding w ind dynam ic calculation in time domain and the features of dynam ic effects, a new method was proposed to adjust f0 and brought into the follow ing operation. In this new method, the material elastic modulus E was changed to get different f0’s and corresponding w ind dynam ic effects, especially the resonance component, Rσ. The advantages of this method are also presented. The results show that the coupling effect between the resonance and background components, Rσ and Bσ, obtained in time domain is negligible no matter what value the f0 takes. Rσ increases w ith the decrease of f0, especially when f0 is less than 0.7 Hz. However, the total gust response, Tσ, increases more slow ly w ith the decrease of f0 because the significant contribution of Bσ and Bσ does not change w ith f0. Therefore, Tσ shows quick increase only if f0 is less than 0.5 Hz. There are two reasons for the increase of Rσ when f0 decreases: 1) the w ind spectrum increases w ith the decrease of frequency and 2) more resonant modes would be excited. A parameter RP=(1/f0×(1/f0-1/2)), which could cover the above two reasons, was proposed for convenient evaluation of Rσ. A linear relationship is found between Rσ of all responses and the parameter RP.

Key words: cooling towers; w ind dynamic effects; fundamental frequency; resonance component; gust response factor

中图分类号:TU33+2;TU271.1

文献标志码:A

doi: 10.6052/j.issn.1000-4750.2018.01.0020

文章编号:1000-4750(2019)03-0131-08

收稿日期:2018-01-08;修改日期:2018-07-24

基金项目:国家自然科学基金项目(51508523)

通讯作者:张军锋(1983―),男,河南平顶山人,博士生,从事结构和桥梁抗风研究(E-mail:brilliantshine@163.com).

作者简介:

朱 冰(1995―),男,江西九江人,硕士生,从事结构抗风研究(E-mail: 535453402@qq.com);

杨军辉(1994―),河南开封人,硕士生,从事结构抗风研究(E-mail: 363265313@qq.com);

葛耀君(1958―),男,上海人,教授,博士,博导,从事结构和桥梁抗风研究(E-mail: yaojunge@tongji.edu.cn);

赵 林(1974―),男,黑龙江省牡丹江人,讲师,博士,从事结构和桥梁抗风研究(E-mail: zhaolin@tongji.edu.cn).