主余震序列作用下非线性单自由度体系的增量损伤分析

于晓辉1,2,3,乔雨蒙2,3,代旷宇2,3,陶 静2,3,吕大刚2,3

(1.中国地震局工程力学研究所,中国地震局地震工程与工程振动重点实验室,哈尔滨 150090;2.哈尔滨工业大学,结构工程灾变与控制教育部重点实验室,哈尔滨 150090;3.哈尔滨工业大学,土木工程学院智能防灾减灾工业与信息化部重点实验室,哈尔滨150090)

摘 要:同时采用真实主余震序列和人工构造主余震序列作为输入,开展了非线性单自由度体系在主余震序列作用下的增量损伤分析。挑选 75组真实主余震序列,并基于相同的主震记录,分别采用重复法、随机法和衰减法构造不同的人工主余震序列作为输入。分别采用理想弹塑性模型、考虑屈服后刚度的双线型模型和三线型模型,开展主余震序列作用下非线性单自由度体系的反应分析。以修正的 Park-Ang损伤指数作为结构损伤指标,对主余震序列作用下的结构增量损伤进行研究,并对强度折减系数、恢复力模型及主余震序列人工构造方法对增量损伤的影响进行研究。结果表明:余震造成的结构增量损伤不可忽视。基于重复法和随机法合成的人工主余震序列相比真实主余震序列的余震强度偏大,因此会高估余震对结构造成的增量损伤。基于衰减法合成的人工主余震序列的余震强度偏小,会低估余震对结构造成的增量损伤。结构特性对增量损伤的影响很小,体现为不同强度折减系数及不同恢复力模型对结构增量损伤的影响均不明显。

关键词:主余震序列;增量损伤;单自由度体系;重复法;随机法;衰减法

强震活动在空间和时间上均表现出强烈的非平稳性和随机性。历史地震资料表明:一次强震的发生往往在一定的空间和时间范围内伴随着成百上千次余震的发生,其中不乏与主震震级相似的强余震。由于主震和余震发生的间隔时间较短,且主震和余震的特性又存在差异,使得工程结构在主余震序列作用下的累积损伤特性要复杂于结构在单独承受主震作用下的损伤特性。一般说来,余震将加剧结构的损伤效应,导致主震损伤结构出现明显的增量损伤,提高了结构发生严重破坏甚至倒塌的可能性。

为了定量地评价结构在主余震序列作用下的累积损伤特性,国内外研究学者开展了一系列的深入研究,其中,针对非线性单自由度体系(Single-Degree-Of-Freedom,SDOF)所开展的结构在主余震序列作用下的损伤评估方面的研究占了较大比重。例如:Mahin[1]于20世纪80年代率先开展了非线性SDOF体系在主余震序列作用下的非线性反应分析。其后,Sunasaka等[2]、Aschheim 和Black[3]、Amadio等[4]考虑非线性SDOF体系不同恢复力模型的影响,采用Park-Ang损伤指数、位移系数、延性系数等多个结构损伤参数,对余震对结构的附加损伤进行了较为深入地探讨。采用非线性SDOF体系作为研究对象可以获得具有更强适用性的结构反应谱。为此,Hatzigeorgiou等考虑了场地类别、结构延性、结构阻尼比等因素的影响,获得了结构的非线性位移系数谱[5]、延性需求谱[6]和非弹性位移比谱[7],同时在输入的主余震序列中考虑了速度脉冲型地震动的影响[7]。我国学者翟长海等[8]以Park-Ang损伤指数为参数,对主余震序列的累积损伤谱进行了较为深入的研究。于晓辉等[9]提出了“增量损伤”的概念,以533条真实主余震序列作为输入,采用 Park-Ang损伤指数评价地震损伤,定量评价了余震对结构所造成的增量损伤。

在已有关于主余震序列作用下非线性单自由度体系的损伤研究中,主余震序列的构造方法是影响结构损伤评价结果的一个重要因素。现有的主余震序列的构造方法主要可以分为两大类:真实主余震序列和人工(合成)主余震序列。其中,真实主余震序列是通过挑选真实的主震记录和其继发的余震记录构造而成。在所构造的主余震序列中,主震记录和余震记录之间通过一段较长持时(例如:60 s或 100 s)的幅值为零的地震动记录进行连接。与真实主余震序列不同,人工主余震序列是选定主震记录后,将主震记录与人工挑选的余震记录或人为生成的余震记录构造而成。随着国内外强震记录设备数量和性能的不断提升,现有的国内外强震地震动记录数据库中已经包含了较大数目的真实主余震序列。然而,在针对某一具体区域的结构开展研究时,往往会由于历史地震(记录)较少,使得该区域真实主余震序列无法满足分析需要。因此,人工主余震序列在实际工程抗震性能评估应用中不可避免的要被用到。那么,真实主余震序列和人工主余震序列作用对结构的抗震性能评估结果是否有影响就成为了一个值得探讨的问题。

针对这一问题,本文以非线性SDOF体系为研究对象,分别采用真实主余震序列和人工主余震序列作为输入,考虑3种不同滞回模型(包括:理想弹塑性模型、考虑屈服后刚度的双线型模型和三线型模型)的影响,以基于Park-Ang损伤指数的增量损伤比作为评价指标,对结构在真实主余震序列和人工主余震序列作用下的增量损伤进行了分析,对不同主余震序列构造方法对结构增量损伤的影响进行研究。

1 主余震序列的挑选和构造

为了定量评价真实和人工主余震序列对结构增量损伤的影响,本文首先选取一组总计 75条真实主余震序列。在主余震序列的构造中,真实主震和其继发余震之间的间隔时间取为60 s。进一步以已挑选的主余震序列中的 75条真实主震作为人工主余震序列的主震,分别采用3种常用的人工余震构造方法,包括:重复法、随机法和衰减法来人工构造余震,并形成人工主余震序列。由上述可知,真实主余震序列和人工主余震序列的主震记录一致,因此,由它们所引起的结构损伤的不同可以归因为余震构造方法的不同。这也有助于定量地评价人工主余震序列和真实主余震序列对结构损伤的影响。

1.1 真实主余震序列的挑选

开展结构在真实主余震序列作用下的损伤分析有助于工程人员准确了解结构在主震和余震联合作用下的结构累积损伤特征。本文采用文献[10]中所挑选的 75条真实主余震序列作为输入,主余震序列的挑选详细过程及最终挑选地震动列表可参见文献[10]。为保证论文完整性,特将其挑选原则简述如下:

1) 所挑选的主余震地震动源自美国太平洋地震研究中心(Pacific Earthquake Engineering Research Center, PEER)的NGA-West2地震动数据库[11]

2) 所挑选主余震地震动源自23个地震事件;

3) 所挑选的主余震地震动的记录台站应位于自由地表或一层以下结构;

4) 所挑选的主余震地震动的矩震级M w满足:M w≥5.0;

5) 所挑选的主余震地震动的水平几何平均峰值加速度PGA满足:PGA≥0.04 g;

6) 所挑选的主余震地震动的水平几何平均峰值速度PGV满足:PGV≥1.0 cm/s;

7) 所挑选的主余震地震动的30 m平均剪切波速 V S30满足:100 m/s≤V S30≤1000 m/s;

8) 所挑选的主余震地震动的最低可用频率 f z满足:f z≤1Hz;

9) 为避免受单次地震事件影响过大,所挑选的主余震地震动仅包含9条Chi-Chi地震中所记录的主余震序列。

上述 75条主余震地震动记录的震级和断层距关系,如图1所示。由图可知,相比于主震,余震的震级明显减小,断层距显著增大。

图1 真实主震和真实余震的震级-断层距分布
Fig.1 Magnitude-distance distribution of the real mainshock and aftershock ground motion records

图 2给出了一条真实主余震序列的地震动时程。由图可见,主震记录和余震记录之间加入了60 s的时间间隔。这一时间间隔将使得结构在主震作用后的惯性振动充分耗散,回到一个新的平衡位置。

图2 一条真实主余震序列的地震动加速度时程
Fig.2 The acceleration time-history of a specific real mainshock-aftershock earthquake sequence

1.2 基于重复法的人工主余震序列的构造

重复法的基本假设为:余震与主震的地震动特性一致。尽管该假设较为近似,但仍被相关研究人员广泛应用[12-13]。因此,基于重复法构造的主余震序列是以将主震时程重复一次或多次以代表余震,从而构造出重复式人工主余震序列。

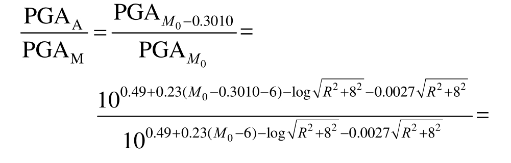
本文按照文献[5]提出的方法,构造以下3种基于重复法的人工主余震序列,即:C1-1(1.0000,1.0000, 0.0000)、C1-2(1.0000, 1.0000, 1.0000)、C1-3(0.8526, 1.0000, 0.8526)。其中,括号中的数值表示对主震和余震地震动加速度时程的调幅系数;C1表示重复式主余震序列,C1-1表示“主震+余震1”序列,C1-2表示“主震+余震1+余震2” 序列。C1-3表示“前震+主震+余震”序列,其中,前震和余震的PGA强度均为主震PGA强度的0.8526,而这一调幅系数的确定过程如下。根据地震震级与地震发生次数之间的Gutenberg-Richter定律:

式中:M为震级;N为发生大于或等于M级地震的次数;A和B是常数。若取B=1.0,并对式(1)两边取对数,可得:

若假设某地区发生一次M≥M 0的地震(M 0为主震震级),则此时 N=1,根据式(2)可进一步计算得到:A=M0。将A=M 0和B=1.0代入式(2)中,可以获得该地区在已发生震级为 M 0的主震条件下,余震震级与其发生次数之间的关系如下:

根据式(2),若取N=2,可得:M as=M0-0.3010;若取N=3,可得:M as=M0-0.4771。上述结果表明:对于震级大于或等于 M 0的主震,根据Gutenberg-Richter定律,将会有 2次 M as≥M0-0.3010的余震或者3次M as≥M 0-0.4771的余震发生。本文仅考虑N=2次余震的情况。

已知余震震级,进一步采用广为采用的Joyner-Boore地震动预测模型来确定余震的PGA强度:

由式(3)和式(4)可知,余震与主震PGA之比为:

图3给出了上述3种重复法基本原则所构造的人工主余震序列示意图。

图3 基于重复法的人工主余震序列加速度时程
Fig.3 The acceleration time-history of artificial mainshock-aftershock sequences generated by the repeated method

1.3 基于随机法的人工主余震序列构造

文献[14]曾提出了一种构造人工主余震序列的随机法。该方法的基本原理是从主震记录库中随机挑选出一条地震动作为余震。相比重复法,随机法通过采用随机挑选余震记录的方法考虑了主震和余震在地震动特性上所存在的差异。根据随机法的基本原理,本文首先以 75条真实主余震序列中的主震记录构成主震记录数据库。针对某一给定主震记录,从主震记录数据库中随机挑选一条记录作为该主震对应的余震记录。值得说明的是,采用随机法所挑选的余震不能是主震本身。此外,所有余震记录彼此不能重复。

1.4 基于衰减法的人工主余震序列构造

由于主震和余震相继发生,因此,主震和其继发余震之间存在物理相关性。鉴于此,已知主震强度可以预测余震强度。进一步可以选择与余震预测强度接近的地震动作为余震记录。在预测余震强度时,通常需要利用地震动强度的衰减关系,因此,上述方法被成为“衰减法”。

本文根据文献[10]介绍的衰减法基本原理,采用以下3个步骤进行余震记录的挑选和人工主余震序列的构造:

1) 备选余震数据库的建立。本文采用Goda等人提出的方法,确立了以下余震记录挑选原则:

① 所挑选的主余震地震动的记录台站应位于自由地表或一层以下结构;

② 矩震级M w≥4.0;

③ 所挑选的主余震地震动的30 m平均剪切波速 V S30满足:100 m/s≤V S30≤1000 m/s;

④ 所挑选的主余震地震动的最低可用频率 f z满足:f z≤0.2 Hz。

根据上述选波原则,在 PEER提供的 NGAWest2的强震数据库中,筛选了符合标准的545条记录作为余震备选库;

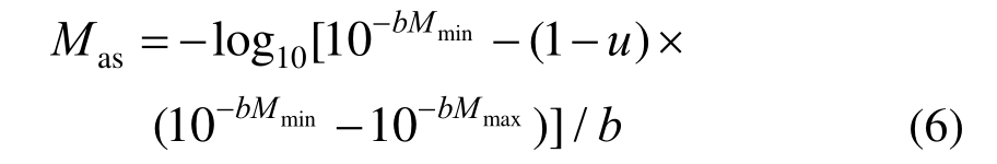
2) 根据震级衰减关系的余震记录的初次筛选。文献[10]推导了广义Omori定律,获得余震震级的衰减关系为:

式中:余震最小震级为 M min=5.0;余震最大震级M max取为主震震级;u是服从标准均匀分布的随机数;b是常数,取为b=0.97。

根据主震的震级信息,通过式(5),可获得余震的震级M as,并根据余震震级对545条余震数据库进行初步的筛选,选择与M as较为匹配的地震动作为余震记录的初选数据库。

3) 根据PGA衰减关系的余震记录再次筛选。本文采用文献[15]提出的地震动PGA衰减关系,可建立余震震级M as与余震PGA强度之间的关系为:

式中:F M、F D、F S分别代表震级调幅函数、距离函数和场地放大效应函数;R JB表示 Joyner-Boore断层距;σT表示待预测值与均值预测值之间相差的标准差的倍数。本文未考虑σT,即所取得的 PGA预测值为平均值。

基于步骤2)获得余震震级M as,利用式(6)获得余震PGA的预测值。根据预测得到的余震PGA,对步骤 2)中出现得到的余震记录数据库进行再次筛选,使得所挑选余震地震动的 PGA强度与预测得到的余震 PGA强度相匹配,并将其作为该主震的余震记录,并构成人工主余震序列。

2 真实和人工余震特性分析

本节分别选取峰值加速度(PGA)、重要持时(T d)、卓越周期(T g)和谱加速度强度S a作为地震动参数,对第1部分中所挑选的真实主余震序列和不同方法合成的人工主余震序列的余震特性进行对比分析。所选取的4个地震动参数的计算表达式,如表1所示。其中,S a(T)表示结构自振周期T对应的地震动谱加速度(阻尼比均为5%)。

表1 地震动参数
Table 1 Ground motion intensity measures

名称 英文缩写 表达式峰值加速度 PGA g PGA max ()u t= ˙重要持时 T d A A d (0.95 ) (0.05 )T t I t I= -卓越周期 T g g ()max v S T T T ==谱加速度 S a a() max (,)t S T u t T=

图 4(a)~图 4(c)分别给出为不同合成方法构造的人工余震与真实余震的PGA、T g、T d的比值分布图。图中,对角线上方数据点表示人工余震的地震动参数大于真实余震的地震动参数,对角线下方的点表示人工余震的地震动参数小于真实余震的地震动参数。

由图 4(a)可知,人工余震 PGA大于真实余震PGA的主余震序列数目和其小于余震PGA的主余震序列数目比较接近。此外,采用不同方法得到的人工余震PGA强度较为接近,多分布于0~1 g之间。由图 4(b)可知,人工余震 T d小于真实余震 T d的主余震序列数目占多数。此外,基于重复法和随机法合成的人工余震的T d值分布较为离散,而基于衰减法合成的人工余震的T d值分布较为集中。由图4(c)可知,人工余震T g大于真实余震T g的主余震序列数目与其小于真实余震 T g主余震序列数目几乎相等。此外,人工合成余震的T g值分布较为分散,其中,基于重复法和随机法的人工余震 T g值分布于0 s~6 s内,而基于衰减法的人工余震T g值则主要分布于0 s ~3.2 s内。

图4 人工余震与真实余震的地震动参数对比
Fig.4 Comparisons of the seism ic parameters of the artificial aftershocks on the real aftershocks

为了便于比较和分析,针对不同的地震动参数,包括:PGA、T d和T g,将采用不同合成方法构造的人工余震的相关参数大于真实余震对应参数的人工主余震序列的数目和百分比分别进行统计,如表2所示。由表2可以看出,基于衰减法的人工余震记录中,3种地震动参数大于真实余震参数的比例仅在 20%~30%之间。这一比例明显低于基于重复法和随机法的人工余震。这一结果说明:衰减法会低估余震的强度。基于重复法构造的人工余震参数大于真实余震参数,说明重复法会在一定程度上高估余震参数。此外,随机法构造的人工余震PGA和 T g参数大于真实余震相应参数,而随机法构造的人工余震 T d参数大于真实余震相应参数的比例为46.7%,这说明随机法也会在一定程度上高估余震的强度,但其高估程度要低于重复法。

表2 人工余震参数大于真实余震参数的主余震序列数目及所占比例
Table 2 The number and the corresponding percentages of the artificial mainshock-aftershock sequences w ith the aftershock intensities greater than at of real sequences

人工合成方法 峰值加速度PGA 重要持时T d 卓越周期T g人工>真实 人工>真实 人工>真实重复法 50(66.7%) 39(52.0%) 50(66.7%)随机法 47(62.7%) 35(46.7%) 41(54.7%)衰减法 22(29.3%) 17(22.7%) 21(28.0%)合计 119(52.9%) 91(40.4%) 112(49.8%)

为进一步分析人工余震与真实余震的反应谱特征,图5给出了阻尼比为5%时,75条主震和75条人工余震及 75条真实余震的归一化加速度反应谱的中位值。对一条给定的地震动记录,归一化的加速度反应谱是先对地震动记录除以该地震动记录的 PGA以实现标准化,再对标准化的地震动记录进行反应谱分析。由图5可以看出,真实余震的谱加速度小于主震的谱加速度。此外,基于重复法的人工余震反应谱中位值和主震反应谱中位值几乎重合;基于随机法的人工余震反应谱中位值略小于主震反应谱中位值,但相比真实余震反应谱中位值略大。此外,在长周期4 s~6 s区间内,基于随机法的人工余震反应谱中位值超过主震反应谱中位值。基于衰减法的人工余震反应谱的中位值,在结构周期为 0.5 s以内时略高于真实余震及主震的反应谱中位值,而在结构周期大于0.5 s后则大幅度低于真实余震。综上可知,基于重复法和随机法的人工主余震序列高估了余震的强度,而基于衰减法的人工主余震序列则低估了余震的强度。

图5 主震和余震的中位值标准化加速度反应谱
Fig.5 Mean value normalization of uniformed acceleration spectrums of mainshocks and aftershocks

3 非线性SDOF体系的建模

本文采用 OpenSees作为非线性分析平台,分别采用3种滞回材料模型,来描述非线性SDOF体系的非线性行为,包括:1) 理想弹塑性模型;2) 考虑屈服后刚度强化的双线型模型;3) 三线型滞回模型。三类模型的骨架曲线如图6所示。

图6 SDOF模型的恢复力曲线
Fig.6 Backbone curves of the SDOF models

表3 SDOF模型编号及模型参数
Table 3 No. of SDOF models and the corresponding parameters

模型编号 模型描述 控制模型的参数Model-1 理想弹塑性0 k为弹性切线刚度pε为屈服位移Model-2 考虑屈服后硬化刚度的双线性模型y F为屈服力0 k为弹性切线刚度b=0.05为屈服后刚度比Model-3 考虑强度、刚度退化的三线性滞回模型1p 1p,ε σ 为屈服位移和屈服力2p 2p,ε σ 为硬化段的位移和力1n 1n,εσ为1p 1p,εσ的负值2n 2n,εσ为2p 2p,εσ的负值位移和力的捏缩系数取1 Model-4 考虑捏缩效应的3线性滞回模型其它参数同Model-3捏缩系数分别取0.8和0.2 Model-5 考虑PΔ-效应3线性滞回模型其它参数同Model-4考虑PΔ-效应

表3对上述3种模型的模型参数进行了定义。其中,考虑屈服后刚度的双线型模型与理想弹塑性模型的区别在于考虑了硬化刚度比 b=5%。三线型滞回模型中,分别考虑了强度退化、刚度退化和捏缩以及P-Δ效应等因素影响,建立3种不同的SDOF体系。为方便表述,将上述3种材料对应的5种单自由度模型分别简称为Model-1~Model-5(见表4)。本文采用的理想弹塑性模型(即Model 1)、双线性模型(即M odel 2)的卸载刚度均与初始刚度相同,和上述模型传统的滞回规则无异,因此不再赘述;本文建立的3种3线性模型(即Model-3~Model-5)其滞回规则由表3中相关参数确定,其滞回曲线如图7所示。选取强度折减系数R=2~R=5,考虑非线性SDOF体系的周期范围为0.2 s~6.0 s,周期间隔为0.05 s,结构阻尼比为5%。

图7 Model-3~Model-5滞回曲线的对比
Fig.7 Hysteretic curves of the Model-3~Model-5

4 非线性SDOF体系的增量损伤分析

针对第3节中建立的5种非线性SDOF模型,以第1节挑选和构造的真实和人工主余震序列的为输入,开展针对不同周期SDOF体系的非线性时程分析,进一步对主余震序列作用下的非线性SDOF体系的增量损伤进行量化,并对SDOF体系的滞回模型及主余震序列构造方法的影响进行分析。

4.1 增量损伤的定义

图8给出了T=1.0 s所对应的Mode-1在一条真实主余震作用下的非线性位移反应时程。由图可以看出,主震损伤结构在余震作用下,发生了较为显著的增量损伤。为了定量地评估余震造成的增量损伤,本文采用文献[16]提出的修正Park-Ang损伤指数作为结构损伤参数,以增量损伤率来定义余震增量损伤。余震增量损伤率的表达式为:

式中:DI MA为主余震序列作用下的结构损伤;DI M为主震作用下的结构损伤。由式(8)可知,增量损伤指数为无量纲的值,其值越大,表明余震对结构造成的增量损伤越大。

图8 主余震序列作用下的结构位移反应及增量损伤
Fig.8 Displacement responses of the structures under a mainshock-aftershock sequence and the incremental damage

表4 本文分析的相关工况
Table 4 The studied cases of this paper

工况 工况描述 SDOF模型 主余震序列1 强度折减系数的影响Model-1(R=2~ R=5) 真实2 恢复力模型的影响Model-1~Model-5(R=3) 真实3 人工和真实主余震序列的影响 Model-1 (R=3) 真实+人工

下面本文将以增量损伤率DIα参数,对主余震序列作用下非线性SDOF体系的增量损伤及其影响因素进行研究。为了方便论述,表4给出了本文所分析的工况。由表可见,理想弹塑性模型 Model-1为基本模型,真实主余震序列为基本输入。

4.2 强度折减系数对增量损伤的影响

以Model-1为基本模型,考虑不同强度折减系数R的影响(R=2~R=5),以75条真实主余震序列作为输入,获得真实主余震序列作用下的增量损伤谱,并进一步计算得到增量损伤谱的中位值,如图9所示。由图可知,随着周期的增大,中位值增量损伤指数逐渐减小,但局部波动剧烈,无明显规律性。此外,不同强度折减系数对应的结构增量损伤谱较接近,表明:在主余震序列作用下,结构强度折减系数对非线性SDOF体系的增量损伤影响程度较小。

图9 具有不同强度折减系数的SDOF体系在真实主余震序列作用下的增量损伤中位值谱
Fig.9 Median values of the incremental damage spectrums under real mainshock-aftershock earthquake sequences for the SDOF systems considering different strength reduction factors

4.3 恢复力模型对增量损伤的影响

为量化恢复力模型对增量损伤的影响,本节分别采用表 4中所考虑的 5种不同恢复力模型(Model-1~Model-5),取强度折减系数 R=3,以 75条真实主余震序列作为输入,计算得到不同恢复模型对应的余震增量损伤中位值谱,如图10所示。

图10 不同恢复力模型对应的增量损伤中位值谱
Fig.10 The median spectra of the incremental damage corresponding to different constitutive models of SDOF systems

由图 10可知,不同的恢复力模型所对应的增量损伤中位值谱变化趋势的在整体上基本保持一致。这一结果说明:恢复力模型对结构增量损伤的影响较小。在短周期内(T<1 s),相比于其他恢复力模型,理想弹塑性模型(Model-1)受余震的影响最大,该模型所对应的增量损伤也较大。Model-3、Model-4和Model-5所对应的增量损伤曲线基本一致,这说明在非线性SDOF体系建模中,模型的退化、捏拢和 P-Δ效应对其在主余震序列作用下的增量损伤影响并不明显。

4.4 主余震序列构造方法对增量损伤的影响

本节以R=3所对应的Model-1为基本模型,分别以真实主余震序列和采用不同方法(重复法、随机法和衰减法)的人工主余震序列作为地震输入,计算得到不同主余震序列作用下的结构损伤,并进一步根据式(6)计算得到非线性 SDOF体系的增量损伤中位值谱,如图11所示。

图11 真实和人工主余震序列的增量损伤中位值谱
Fig.11 The median spectra of the incremental damages under real and artificial mainshock-aftershock sequences

由图 11可以看出:基于重复法和随机法构造的人工主余震序列所造成的余震增量损伤要高于真实主余震序列作用下的结构增量损伤值,而基于衰减法构造的人工主余震序列造成的增量损伤则要低于真实主余震序列造成的增量损伤。具体而言,当结构周期位于3 s~6 s之间时,真实主余震序列所造成的平均增量损伤率大致在 20%~40%;基于重复法构造的人工主余震序列所造成的平均增量损伤率在55%~100%之间;基于随机法构造的人工主余震序列所造成的增量损伤率则高达70%~100%;而基于衰减法构造的主余震序列所造成的增量损伤率却不足15%。

比较基于重复法构造的不同主余震序列(C1-1、C1-2和C1-3)作用下的3条增量损伤中位值谱,可知:仅包含一次余震的主余震序列(C1-1)所对应的增量损伤谱中位值最小,包含前震-主震-余震的主余震序列(C1-3)所对应的增量损伤谱中位值次之,而包含二次余震的主余震序列(C1-2)所对应的增量损伤谱中位值最大,其约为主余震序列 C1-1对应的损伤谱中位值的2倍。上述结果说明:余震次数和余震 PGA的大小对结构的增量损伤影响较大。余震次数越多,余震的 PGA越大,主余震序列所造成的增量损伤越大。

由图 11还可进一步分析人工和真实主余震序列引起的增量损伤中位值谱的变异性大小。由图11可以看出:基于随机法构造的人工主余震序列所引起的结构增量损伤中位值随结构周期的变异性最大,而基于衰减法构造的人工主余震序列所引起的结构增量损伤中位值随结构周期的变异性最小。基于重复法构造的人工主余震序列所引起的增量损伤中位值随结构周期的变异程度与真实主余震序列所引起的增量损伤中位值随结构周期的变异程度相接近。

5 结论

本文以非线性SDOF体系为研究对象,分别挑选真实主余震序列和采用不同方法构造的人工主余震序列作为输入,同时考虑恢复力模型的影响,研究了非线性SDOF体系在真实和人工主余震序列作用下的增量损伤,得到以下主要结论:

(1) 与真实主余震序列相比,基于重复法和随机法构造的人工主余震序列会高估余震的强度,而基于衰减法构造的人工主余震序列会低估余震的强度;

(2) 与真实主余震序列相比,基于重复法和随机法构造的人工主余震序列会对结构造成较大的增量损伤,而基于衰减法构造的人工主余震序列则不会给结构带来显著的增量损伤;

(3) 在真实和人工主余震序列作用下,结构自身的特性对增量损伤评估结果影响很小,体现为不同强度折减系数及SDOF体系的恢复力模型参数对结构增量损伤的影响均不明显。

参考文献:

[1] Mahin S A. Effects of duration and aftershocks on inelastic design earthquakes [C]// Proceedings of the seventh world conference on earthquake engineering,Istanbul, Turkey, 1980, 5: 677-679.

[2] Sunasaka Y, Kirem idjian A S, Toki K. Strength demand spectra w ith uniform damage level in lifetime of structure [J]. Journal of Structural Engineering A, 2002,48: 523-530.

[3] Aschheim M, Black E. Effects of prior earthquake damage on response of simple stiffness-degrading structures [J]. Earthquake Spectra, 1999, 15(1): 1-24.

[4] Amadio C. The effects of repeated earthquake ground motions on the non-linear response of SDOF systems [J].Earthquake Engineering & Structural Dynam ics, 2003,32(2): 291-308.

[5] Hatzigeorgiou G D, Beskos D E. Inelastic displacement ratios for SDOF structures subjected to repeated earthquakes [J]. Engineering Structures, 2009, 31(11):2744-2755.

[6] Hatzigeorgiou G D. Ductility demand spectra for multiple near-and far-fault earthquakes [J]. Soil Dynam ics & Earthquake Engineering, 2010, 30(4):170-183.

[7] Hatzigeorgiou G D. Behavior factors for nonlinear structures subjected to multiple near-fault earthquakes[J]. Computers & Structures, 2010, 88(5/6): 309-321.

[8] Zhai C H, Wen W P, Chen Z Q, et al. Damage spectra for the mainshock-aftershock sequence-type ground motions[J]. Soil Dynam ics & Earthquake Engineering, 2013,45(1): 1-12.

[9] 于晓辉, 吕大刚, 肖寒. 主余震序列型地震动的增量损伤谱研究[J]. 工程力学, 2017, 34(3): 47-53.Yu Xiaohui, Lu Dagang, Xiao Han. Incremental damage spectra of mainshock-aftershock sequence-type ground motions [J]. Engineering Mechanics. 2017, 34(3): 47-53. (in Chinese)

[10] Goda K, Taylor C A. Effects of aftershocks on peak ductility demand due to strong ground motion records from shallow crustal earthquakes [J]. Earthquake Engineering & Structural Dynamics, 2012, 41(15):2311-2330.

[11] Ancheta T D, et al. NGA-West2 database [J]. Earthquake Spectra, 2014, 30(3): 989-1005.

[12] Lee K, Foutch D A. Performance evaluation of damaged steel frame buildings subjected to seism ic loads [J].Journal of Structural Engineering, 2004, 130(4): 588-599.

[13] Li Y, Song R, van de Lindt J W. Collapse fragility of steel structures subjected to earthquake mainshock-aftershock sequences [J]. Journal of Structural Engineering, 2014,140(12). 04014095.

[14] Li Q, Ellingwood B R. Performance evaluation and damage assessment of steel frame buildings under main shock-aftershock earthquake sequences [J]. Earthquake Engineering & Structural Dynam ics, 2007, 36(36):405-427.

[15] Boore D M, Atkinson G M. Boore-Atkinson NGA ground motion relations for the geometric mean horizontal component of peak and spectral ground motion parameters [R]. US, Pacific Earthquake Engineering Research Center, 2007, PEER Report: 57-79.

[16] Kunnath S K, Reinhorn A M, Park Y J. Analytical modeling of inelastic seismic response of RC structures[J]. Journal of Structural Engineering, 1990, 116(4):996-1017.

INCREMENTAL DAMAGE ANALYSIS OF NONLINEAR SINGLE-DEGREE-FREEDOM SYSTEMS SUBJECTED TO MAINSHOCK-AFTERSHOCK EARTHQUAKE SEQUENCES

YU Xiao-hui1,2,3 , QIAO Yu-meng2,3 , DAI Kuang-yu2,3 , TAO Jing2,3 , LU Da-gang2,3
(1. Institute of Engineering Mechanics, China Earthquake Adm inistration,Key Laboratory of Earthquake Engineering and Engineering Vibration, China Earthquake Adm inistration, Harbin 150090, China;2. Key Lab of Structure Dynam ic Behavior and Control of China M inistry of Education, Harbin Institute of Technology, Harbin 150090, China;3. Key Lab of Smart Prevention and M itigation of Civil Engineering Disaster of the M inistry of Industry and Information Technology,Harbin Institute of Technology, Harbin 150090, China)

Abstract: The incremental damage of nonlinear single-degree-of-freedom (SDOF) systems subjected to real and artificial mainshock-aftershock (MA) sequences is evaluated. A suite of 75 real mainshock-aftershock sequences is selected. Based on the same mainshock records, different methods including the repeated method, the random ized method and the attenuated method are also adopted to generate artificial MA sequences as earthquake inputs. The nonlinear responses of the SDOF systems due to earthquake sequences are calculated considering different hysteretic models, including the elastic-plastic model, the bilinear model considering the post-yielding hardening, and the trilinear model. The modified Park-Ang damage index is used as a structural damage index,and the structural cumulative damages and the incremental damages due to MA sequences are examined by considering the effects of different strength reduction factors, different hysteretic models and different MA sequences. The results show that the aftershock-induced incremental damages of structures cannot be neglected.The aftershock records from the artificial MA sequences generated by the repeated method and the randomized method have stronger intensities than that from the real MA sequences. This may cause the overestimation of the incremental damage of structures due to aftershock. However, the intensities of the aftershock records for the artificial MA sequences generated by the attenuated method are smaller than that of the real MA sequences, which may lead to an underestimation of the incremental damage of structures due to aftershock. The characteristics of structural systems have ignorable effects on aftershock-induced incremental damage since the effects of strength reduction factors and hysteretic models on the incremental damage of structures are not significant.

Key words: mainshock-aftershock sequences; incremental damages; SDOF systems; repeated method;random ized method; attenuated method

中图分类号:TU311.3

文献标志码:A

doi: 10.6052/j.issn.1000-4750.2017.12.0941

文章编号:1000-4750(2019)03-0121-10

收稿日期:2017-12-12;修改日期:2018-08-31

基金项目:中国地震局工程力学研究所基本科研业务费专项资助项目(2018D08);国家自然科学基金项目(51408155,51378162,51778198);国家建设高水平大学公派研究生项目(201606120187)

通讯作者:吕大刚(1970―),男,黑龙江人,教授,博士,博导,副院长,从事抗震可靠性、易损性和鲁棒性研究(E-mail: ludagang@sina.com).

作者简介:

于晓辉(1982―),男,辽宁人,副研究员,博士,从事地震易损性和概率风险分析的研究(E-mail: yxhhit@126.com);

乔雨蒙(1989―),男,河南驻马店人,博士生,从事主余震序列作用下结构抗震性能评估方面的研究(E-mail: ymqiao@hit.edu.cn);

代旷宇(1991―):男,河南驻马店人,博士生,从事结构地震风险分析方面的研究(E-mail: daikuangyu@126.com);

陶 静(1992―),女,河南南阳人,硕士,从事主余震序列作用下结构非线性反应方面的研究(E-mail: 1185357633@qq.com).