不同应力路径下堆石料的动力变形特性试验研究

张凌凯1,王 睿2,张建民2,唐新军1

(1. 新疆农业大学水利与土木工程学院,新疆,乌鲁木齐 830052;2. 清华大学水沙科学与水利水电工程国家重点实验室,北京 100084)

摘 要:采用大型多功能静动三轴试验机,对堆石料分别进行了常规三轴循环加载、等p循环加载和等q循环加载三种不同应力路径下的动力变形试验研究,探讨了不同应力路径下围压、固结应力比及动应力比等因素对体应变和偏应变的影响规律及其变形机制。试验结果表明:在循环荷载作用下,不同应力路径对堆石料体应变和偏应变的发展规律影响较大;在等p循环加载作用下引起的往返体应变为负值,即发生剪胀现象,且在轴向剪切时达到最大剪胀值,反向剪切时基本不发生剪胀;在等q循环加载作用下产生较大的残余体应变和残余偏应变,两者均不可忽略不计,主要与堆石料的各向异性和颗粒破碎有关。

关键词:应力路径;堆石料;体应变;偏应变;变形机制

随着我国能源战略结构调整的深入实施,我国还将拟建一批300 m级的高土石坝,而这些高坝多位于地震活动频发的西部地区。基于对国内外土石坝的震害调查分析表明:土石坝坝体发生裂缝、混凝土面板脱空、错台以及接缝开裂等震害现象,主要是由于在地震过程中坝体变形过大以及坝体各部分之间的变形不协调所致[1-3]。同时在坝体运行期间库水位发生周期性涨落,筑坝材料将承受周期性加卸载作用,这些应力路径与常规三轴循环加载有较大差异。因此,正确认识并揭示复杂应力条件下堆石料的动力变形规律及其物理机制具有十分重要的理论和工程意义。

国内外已有堆石料动力变形特性试验研究[4-7]大多采用围压不变的常规三轴循环加载试验,在其它复杂应力条件下的动力变形试验研究鲜有涉及,如大坝在实际运行过程中,库水位的周期性变化致使堆石料的应力状态发生类似于偏应力q不变、球应力p发生循环加卸载作用等。因此,有必要进一步研究堆石料在等p循环加载和等q循环加载等其它应力路径下的变形特性规律。目前关于砂土在等p循环荷载作用下的变形特性研究较多,如Yasufuku等[8]、张建民[9]和陈存礼等[10]所做的试验研究,但是在排除球应力p变化的影响后,专门针对于堆石料在等p循环荷载作用下的变形特性研究较少。关于在等q循环荷载作用下变形特性的研究,按初始固结应力状态可分为等向固结和偏压固结两大类:前者有谷川等[11]、于艺林等[12]和杨光等[13]的试验分析,后者有陈存礼等[14]、陈勇等[15]和赵雅艺等[16]所开展的试验研究。然而在等q循环荷载作用下关于变形特性的论述有较大差异,如陈存礼等[14]认为在等q循环作用下产生较大的体应变,偏应变较小可以忽略不计;然而陈勇等[15]认为在等q的应力状态下,各试样的体应变和偏应变均随着围压加卸载而循环变化,累积的塑性偏应变不可忽略。当前对于等q循环荷载作用下变形特性规律还缺少统一认识,关于堆石料在这方面的研究也相对较少。综上所述,目前关于堆石料在复杂应力条件下的动力变形特性规律认识较为模糊,有待于进一步开展相关试验研究。

基于此,本文以某混凝土面板堆石坝的堆石料为试验材料,采用大型多功能静动三轴试验机,分别进行了常规三轴循环加载、等p循环加载和等q循环加载 3种不同应力路径下的动力变形试验研究,主要探讨了不同应力路径下围压、固结应力比及动应力比等因素对体应变和偏应变的影响规律及其物理机制。

1 试验概况

1.1 试验仪器

本试验采用的是清华大学自行研制的大型多功能静动三轴试验机,该试验机可用于进行土体、岩石与混凝土材料的静动力力学特性三轴试验。轴向最大荷载为 2000 kN,最大变形为 30 cm,最大动荷载为1000 kN,环向最大围压为10 MPa,最大动围压为3 MPa[13]

1.2 试样制备

试验材料选自某混凝土面板堆石坝的堆石料,岩性为弱风化灰岩,颗粒比重为2.70,最小和最大干密度分别为1.76 g/cm3和2.28 g/cm3,控制干密度为 1.95 g/cm3,级配曲线见图 1。试样直径为300 mm,对应的高度为730 mm,共分5层制备。采用试样底部充水,顶部抽气的方法,使试样自下而上逐渐饱和,饱和完毕后逐级施加围压和轴向压力到预定的压力和固结应力比对试样进行固结。

图1 堆石料的颗粒级配曲线
Fig.1 Gradation curves of the rockfill materials

1.3 试验方案

试样固结完毕后,分别对试样的轴向和侧向施加相应的动应力并进行试验,循环振次为 25次,激振波形采用正弦波,为保证试样内部孔隙水能够有充足时间进行排出和流入,选取振动频率为0.02 Hz,具体试验方案见表1。常规三轴循环加载试验是在加载过程中围压保持不变,仅在轴向进行动应力循环加载;等p循环加载试验是采用轴向和侧向动应力反向同步加载的方式,试验过程中保持球应力 p不变,仅偏应力 q发生变化,即:等q循环加载试验是采用轴向和侧向同步加载的方式,试验过程中保持偏应力q不变,仅球应力p发生变化,即:试验的应力路径如图2所示,同时还增加一个等向压缩试验,用于反映试样的初始各向异性,当围压为800 kPa时停止加载。

表1 动力变形试验方案
Table 1 Scheme of the deformation tests

序号 类型 围压/MPa 固结比/K c 1d 3/σσ 3d 3/σσ 1 常规三轴循环加载0.6、1.2、1.8 1.0 0.3 0 1.2 1.5、2.0 0.3 0 2 0.6、1.2、1.8 1.0 0.6 0 1.2 1.5、2.0 0.6 0 3 等p循环加载0.6、1.2、1.8 1.0 0.2 -0.1 1.2 1.5、2.0 0.2 -0.1 4 0.6、1.2、1.8 1.0 0.4 -0.2 1.2 1.5、2.0 0.4 -0.2 5 等q循环加载0.6、1.2、1.8 1.0 0.3 0.3 1.2 1.5、2.0 0.3 0.3 6 0.6、1.2、1.8 1.0 0.6 0.6 1.2 1.5、2.0 0.6 0.6

图2 不同应力路径示意图
Fig.2 Schematic diagram of the different stress paths

在三轴应力状态中,σ1和ε1为轴向的应力和应变,分别为侧向的应力和应变,球应力偏应力体应变 ε偏应变σ1d 为轴向的动应力,σ2d和σ3d为侧向的动应力,常规三轴循环加载试验的动应力为等p循环加载试验的动应力为,等q循环加载试验时动应力为,由于在等p和等q循环加载过程中围压发生变化,导致膜嵌入对结果影响较大,采用张丙印等[17]的方法进行膜嵌入修正。

本文的颗粒破碎指标采用 Marsal[18]定义的颗粒破碎率B g,仅指在循环加载过程中堆石料发生的颗粒破碎,为消除制样和固结过程中所产生的影响,在制样和对应围压固结条件下分别进行了2组平行试验,在测得总的颗粒破碎率后分别减去制样和固结条件下产生的颗粒破碎,以修正循环加载过程中堆石料颗粒破碎的大小。限于篇幅所致,不再详细叙述。

2 试验结果分析与探讨

将各循环加载动应力恢复为零时的变形称为残余变形,往返变形采用文献[10]中的定义,从总的变形中减去残余变形即为往返变形。

2.1 常规三轴循环加载试验

图 3为常规三轴循环加载作用下动应力比为的堆石料体应变vε和偏应变sε与循环振次N的关系曲线。由图3可知,残余变形的特点:① 残余体应变在振动初期发展较快,随着循环振次的增加,增长速率有所减缓,而残余偏应变在初次加载时变形较大,在等向固结状态下,随着循环振次的增加,残余偏应变的大小基本不变或减小,两者均随着围压的增大而增大;② 在围压和动应力比相同的条件下,残余偏应变随着固结应力比的增加而增加,而残余体应变则随着固结应力比的增加而减少。往返变形的特点:① 在循环加载过程中,往返体应变和往返偏应变在开始几周变化较大,后期基本上不随循环振次的增加而变化,幅值大小基本不变;② 在其它试验条件相同的情况下,往返体应变和往返偏应变均随围压的增大而增大,而随固结应力比的增大而减小。

2.2 等p循环加载试验

图 4为等 p循环加载作用下动应力比为的堆石料体应变vε和偏应变sε与循环振次N的关系曲线。由图4与图3的常规三轴循环加载试验结果对比分析可知,除等p循环作用下引起往返体应变有所区别外,其它变形规律基本相同,仅数值大小有所不同,在此将不再详细论述,以下将详细探讨等p循环作用下堆石料往返体应变的变化规律。

图3 常规三轴循环加载作用下σd3=0.6的试验结果
Fig.3 The results of σd3=0.6 under the conventional triaxial cyclic loading

图4 等p循环加载作用下σd3=0.6的试验结果
Fig.4 The results of σd3=0.6 under the p=const cyclic loading

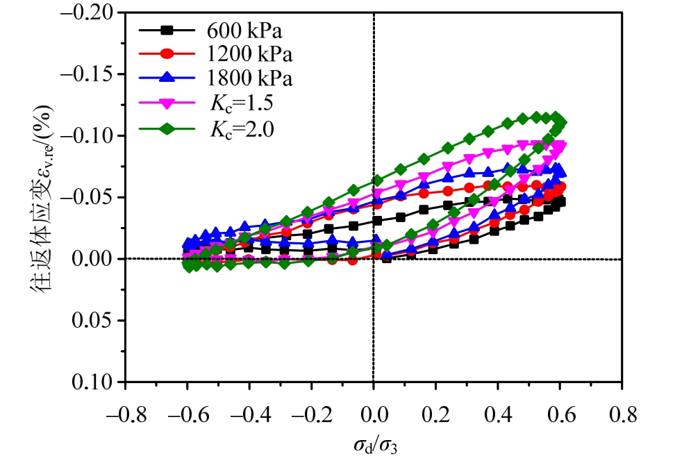
图5 是以图4中的第20次往返体应变为例,往返体应变由总的体应变减去残余体应变所得,探讨等p循环荷载作用下不同初始应力条件对往返体应变的影响规律。由图5可知,往返体应变具有以下特点:① 在一个循环加载周期中,往返体应变总为负值,当动应力比达到最大值时,往返体应变达到最小值,即试样发生剪胀;当动应力比达到最小值时,往返体应变基本为零,即试样反向剪切时未发生明显剪胀现象,这与张建民[9]的砂土扭剪试验结果和杨光等[13]的堆石料偏应力循环试验结果有所不同。② 在固结应力比和动应力比相同的条件下,正向剪切引起的往返体应变随着围压的增大而增大;在围压和动应力比相同的条件下,正向剪切引起的往返体应变随着固结应力比的增大而增大,原因是在一定的动应力作用下,随着固结应力比的增大,土颗粒的初始的剪应力随之增大,有利于土颗粒发生滑移和转动,所以随着固结应力比的增加剪胀现象更加明显。

图5 往返体应变 εv.re与 σd3的关系曲线
Fig.5 The relation curves of εv.re and σd3

图6 为堆石料等向压缩试验的轴应变与体应变的比值示意图,由图6可知,轴向变的大小明显小于体应变的 1/3,即说明堆石料存在明显的初始各向异性。图7为等p循环荷载作用下的堆石料颗粒破碎率,由图7可以看出,在其它试验条件相同的情况下,随着围压、固结应力比及动应力比的增加,堆石料的颗粒破碎率B g也随之增加。基于上述关于堆石料的各向异性以及等p循环作用下发生的颗粒破碎率,反向剪切时往返体应变为零可能原因是:由于堆石料具有较强的各向异性,导致反向剪切引起的剪胀较小,同时在等p循环过程中堆石料发生颗粒破碎引起体缩,两者导致反向剪切时往返体应变基本不发生剪胀。

2.3 等q循环加载试验

图6 等向压缩作用下轴应变ε1与体应变εv的比值
Fig.6 The ε1v under the isotropic compression

图7 等p循环作用下的颗粒破碎率B g
Fig.7 The B g under the p=const cycle loading

图 8为等 q循环加载作用下动应力比为的堆石料体应变εv和偏应变εs与循环振次N的关系曲线。由图8(a)试验结果可看出,在等q循环加载条件下,当其它试验条件相同时,残余体应变和往返体应变的变形规律与常规三轴循加载作用下体应变的变形规律基本相同;由图环8(b)可知,在其它试验条件相同的情况下,往返偏应变均随着围压和固结比的增大而增大;残余偏应变在等向固结状态下为负值,且随着围压的增大其绝对值也随之增大,随着固结应力比的增加,残余偏应变由负值变为正值。陈存礼等[14]认为砂土在等q循环加载作用下,产生较大的残余体应变,产生的残余偏应变较小可以忽略不计;而堆石料在等 q循环加载作用下,产生较大的残余体应变和残余偏应变,两者均不可忽略不计。

图9为等q循环荷载作用下堆石料的颗粒破碎率,由图9可以看出在等q循环加载作用下,当其它试验条件相同时,堆石料的颗粒破碎率B g均随着围压、固结应力比以及动应力比的增大而增大,即在等 q循环加载作用下堆石料发生明显的颗粒破碎;图10为等q循环加载作用下残余轴应变与残余体应变的比值,由图10可以看出,在K c=1.0时,残余轴应变明显小于残余体应变的 1/3,表明轴向的压缩性小于水平方向的压缩性,说明堆石料具有较强的各向异性。随着固结应力比的增加,残余轴应变与残余体应变的比值随之增加,说明固结应力比的增大有利于残余轴应变的发展。

图8 等q循环加载作用下σd3=0.6的试验结果
Fig.8 The results of σd3=0.6 under the q=const cyclic loading

图9 等q循环作用下的颗粒破碎率B g
Fig.9 The B g under the q=const cycle loading

图10 残余轴应变与残余体应变的比值
Fig.10 The relationship between residual axial strain and residual volumetric strain

基于上述对堆石料在等q循环加载作用下颗粒破碎和各向异性特性的分析,残余体应变产生的原因可能是:① 在等 q循环加载作用下由于堆石料发生大量颗粒破碎,导致产生较大的残余体应变。② 在等向固结状态时,由于堆石料具有较强的各向异性,在等q循环作用下堆石料存在潜在的循环剪切作用引起体积收缩;随着固结应力比的增加,土骨架结构趋于更加紧密的状态,导致残余体应变随着固结应力比的增加而减小。残余偏应变产生的原因可能是:由于堆石料初始的各向异性程度较大,轴向弹性模量大于侧向弹性模量,导致试样的轴向应变明显小于侧向应变,所以在等向固结状态时,在等q循环作用下产生的偏应变为负值;随着固结应力比的增加使土体内部存在初始剪应力,增强土体的各向异性,有利于残余轴应变的发展,最终导致偏应变方向发生变化。

3 结论

通过对堆石料进行3种不同应力路径下的动力变形试验研究,重点探讨了不同应力路径下堆石料体应变vε和偏应变sε的变形规律及其物理机制,基于试验结果得出以下结论:

(1) 堆石料在等p和等q的循环作用下均产生明显的体应变和偏应变,且可分为往返变形和残余变形两部分,不同应力路径对堆石料体应变和偏应变的发展规律影响较大。

(2) 堆石料在等 p循环作用下引起的往返体应变在轴向剪切时达到最大剪胀值,反向剪切时基本不发生剪胀。主要是由于堆石料具有较强的各向异性,反向剪切引起的往返体应变较小,且在循环剪切过程中,堆石料发生颗粒破碎引起体积收缩,两者导致反向剪切时往返体应变基本不发生剪胀。

(3) 堆石料在等 q循环作用下产生较大的残余体应变和残余偏应变,残余体应变和残余偏应变的产生主要与循环过程中发生的颗粒破碎和堆石料的各向异性有关。

参考文献:

[1] 杨泽艳, 周健平, 王富强, 等. 300 m 级高面板堆石坝安全性及关键技术研究综述[J]. 水力发电, 2016,42(9): 41―45.Yang Zeyan, Zhou Jianping, Wang Fuqiang, et al.Research summary on safety and key technologies of 300m-level face rockfill dam [J]. Water Power, 2016,42(9): 41―45. (in Chinese)

[2] 陈生水, 霍家平, 章为民. “5.12”汶川地震对紫坪铺混凝土面板坝的影响及原因分析[J]. 岩土工程学报,2008, 30(6): 795―801.Chen Shengshui, Huo Jiaping, Zhang Weim in. Analysis of effects of “5.12” Wenchuan earthquake on Zipingpu concrete face rockfill dam [J]. Chinese Journal of Geotechnical Engineering, 2008, 30(6): 795―801. (in Chinese)

[3] 陈生水, 方绪顺, 钱亚俊. 高土石坝地震安全评价及抗震设计思考[J]. 水利水运工程学报, 2011, 3(1): 17―21.Chen Shengshui, Fang Xushun, Qian Yajun. Thoughts on safety assessment and earthquake-resistance for high earth-rock dams [J]. Hydro-Science and Engineering,2011, 3(1): 17―21. (in Chinese)

[4] Yasuda N, Matsumoto N. Dynam ic deformation characteristics of sands and rockfill materials [J].Canadian Geotechnical Journal, 1993, 30(5): 747―757.

[5] Yasuda N, Matsumoto N, Yoshioka R, et al. Undrained monotonic and cyclic strength of compacted rockfill material form triaxial and torsional simple shear tests [J].Canadian Geotechnical Journal, 1997, 34(3): 357―367.

[6] 沈珠江, 徐刚. 堆石料的动力变形特性[J]. 水利水运科学研究, 1996, 6(2): 143―150.Shen Zhujiang, Xu Gang. Deformation behavior of rock material under cyclic loading [J]. Hydro-Science and Engineering, 1996, 6(2): 143―150. (in Chinese)

[7] 邹德高, 孟凡伟, 孔宪京, 等. 堆石料残余变形特性研究[J]. 岩土工程学报, 2008, 30(6): 807―812.Zou Degao, Meng Fanwei, Kong Xianjing, et al.Residual deformation behavior of rockfill materials [J].Chinese Journal of Geotechnical Engineering, 2008,30(6): 807―812. (in Chinese)

[8] Yasufuku N, Murata H, Hyodo M. Yielding characteristics of anisotropically consolidation sand under low and high stresses [J]. Soils and Foundations,1991, 31(1): 95―109.

[9] 张建民. 砂土的可逆性和不可逆性剪胀规律[J]. 岩土工程学报, 2000, 22(1): 12―17.Zhang Jianm in. Reversible and irreversible dilatancy of sand [J]. Chinese Journal of Geotechnical Engineering,2000, 22(1): 12―17. (in Chinese)

[10] 陈存礼, 谢定义. 偏应力往返作用下饱和砂土变形特性的试验研究[J]. 岩石力学与工程学报, 2005, 24(4):669―675.Chen Cunli, Xie Dingyi. Testing study on deformation characteristics of saturated sand under repeated deviatoric stress [J]. Chinese Journal of Rock Mechanics and Engineering, 2005, 24(4): 669―675. (in Chinese)

[11] 谷川, 王军, 蔡袁强, 等. 循环球应力对饱和软粘土动应变发展规律的影响及作用机制[J]. 岩土力学与工程学报, 2013, 32(5): 1057―1066.Gu Chuan,Wang Jun,Cai Yuanqiang, et al. Effects of cyclic spherical stress on dynam ic strain law of saturated soft clay and its action mechanism [J]. Chinese Journal of Rock Mechanics and Engineering, 2013, 32(5):1057―1066. (in Chinese)

[12] 于艺林, 王富强, 张建民. 球应力循环加载下粒状土变形规律与本构描述[J]. 清华大学学报(自然科学版),2010, 50(9): 1365―1368.Yu Yilin,Wang Fuqiang,Zhang Jinmin. Deformation characteristics and constitutive modeling of granular soils during cyclic loading w ith spherical stresses [J].Journal of Tsinghua University (Science and Technology),2010, 50(9): 1365―1368. (in Chinese)

[13] 杨光, 孙江龙, 于玉贞, 等. 偏应力和球应力往返作用下粗粒料的变形特性[J]. 清华大学学报(自然科学版),2009, 49(6): 822―825.Yang Guang, Sun Jianglong, Yu Yuzhen, et al.Deformation characterisitics of coarse-grained materials during cyclic loading of deviatoric and spherical stresses[J]. Journal of Tsinghua University (Science and Technology), 2009, 49(6): 822―825. (in Chinese)

EXPERIMENTAL STUDY ON DYNAM IC DEFORMATION CHARACTERISTICS OF ROCKFILL MATERIALS UNDER DIFFERENT STRESS PATHS

ZHANG Ling-kai1 , WANG Rui2 , ZHANG Jian-min2 , TANG Xin-jun1
(1. College of Hydraulic and Civil Engineering, Xinjiang Agricultural University, Urumqi, Xinjiang 830052, China;2. State Key Laboratory of Hydroscience and Engineering, Tsinghua University, Beijing 100084, China)

Abstract: Dynam ic deformation experiments of rockfill materials were carried out by using the large-scale triaxial apparatus, such as the conventional triaxial cyclic loading, the p=const cyclic loading and the q=const cyclic loading. The influence and deformation mechanisms of confining pressure, consolidation stress ratio and dynam ic stress ratio on the volumetric strain and deviatoric strain were discussed. The test results indicated that different stress paths had a great influence on the development pattern of the volumetric strain and deviatoric strain under the cyclic loading. The reciprocating volumetric strain was negative under the p=const cyclic loading,indicating dilatancy w ith its maximum dilatancy occurring in the axial shearing, while the shear dilatancy did not show in the reverse shearing. The large residual volumetric strain and residual deviatoric strain were produced under the q=const cyclic loading, which were not negligible, and it was mainly related to the anisotropy and particle breakage of the rockfill materials.

Key words: stress path; rockfill materials; volumetric strain; deviatoric strain; deformation mechanism

中图分类号:TU411.8

文献标志码:A

doi: 10.6052/j.issn.1000-4750.2018.01.0072

文章编号:1000-4750(2019)03-0114-07

收稿日期:2018-01-25;修改日期:2018-04-08

基金项目:水沙科学与水利水电工程国家重点实验室科研课题项目(2018-KY-04);国家自然科学基金项目项目(51678346,51708332)

通讯作者:张建民(1960―),男,陕西人,教授,博士,博导,主要从事岩土工程方面的教学和研究(E-mail: zhangjm@tsinghua.edu.cn).

作者简介:

张凌凯(1987―),男,山西人,博士生,主要从事堆石料静动力特性及本构模型方面的研究(E-mail: xjau_zlk@163.com);

王 睿(1987―),男,陕西人,助理研究员,博士,主要从事岩土工程抗震方面的研究(E-mail: wangrui_05@tsinghua.edu.cn);

唐新军(1959―),男,陕西人,教授,博士,博导,主要从事当地材料坝设计理论方面的研究(E-mail: tangxj59@163.com).