HRB500/HRB600钢筋作纵筋的混凝土连续梁弯矩调幅试验研究

郑文忠,李 玲,王 英

(哈尔滨工业大学结构工程灾变与控制教育部重点实验室,哈尔滨 150090)

摘 要:HRB500钢筋、HRB600钢筋已分别纳入《钢筋混凝土结构设计规范》(GB 50010-2010)和《钢筋混凝土用钢 第2部分:热轧带肋钢筋》(GB/T 1499.2-2018)。为考察HRB500钢筋、HRB600钢筋作纵筋的混凝土连续梁弯矩调幅性能,完成了24根两跨连续梁试验。试验结果表明,由于HRB500和HRB600钢筋的屈服强度明显高于HPB235和HRB335钢筋,试验梁中支座控制截面的弯矩调幅不只发生在塑性铰形成之后,在受拉区混凝土进入塑性、经历开裂和裂缝发展直至中支座控制截面受拉纵筋屈服这一较长的塑性发展过程中也存在一定的弯矩调幅。分塑性铰形成前后两阶段对试验梁中支座控制截面弯矩调幅进行考察,第一阶段弯矩调幅幅度 βI介于15.28%~24.21%,第二阶段弯矩调幅幅度βII介于6.91%~30.30%。发现随着受拉纵筋屈服强度的提高,βI增大、βII减小;随着相对受压区高度的增大,βI和 βII均减小;随着中支座宽度的增大,βI和 βII均增大。基于试验数据建立考虑各关键参数影响的两阶段弯矩调幅系数计算公式。

关键词:HRB500/HRB600钢筋;混凝土连续梁;中支座宽度;塑性铰;弯矩调幅

HRB500和HRB600钢筋已分别纳入《钢筋混凝土结构设计规范》(GB 50010-2010)[1]和《钢筋混凝土用钢 第 2部分:热轧带肋钢筋》(GB/T 1499.2-2018)[2]。与HPB235和HRB335钢筋相比,HRB500和HRB600钢筋屈服强度有较大提高,而《钢筋混凝土连续梁和框架考虑内力重分布设计规程》(CECS 51-93)[3]中弯矩调幅系数的取值是基于配置HPB235和HRB335的连续梁及框架试验结果和分析编制的,故该《规程》对HRB500钢筋、HRB600钢筋作纵筋的混凝土连续梁的适用性是受关注的问题之一。

欧洲规范EN 1992-1-1: 2011[4]、澳大利亚规范AS 3600-2009[5]、德国规范 DIN-1045[6]和 CEB-FIP模式规范 MC2010[7]中弯矩调幅幅度均以中支座控制截面相对受压区高度来表达,且钢筋最大力下伸长率越大,弯矩调幅幅度上限值越大;ACI318-14[8]中弯矩调幅幅度以控制截面受压边缘达到混凝土极限压应变εcu时最外排受拉钢筋拉应变εt来表达,考虑到 εcu与(εcut)的比值即为相对受压区高度,故ACI 318-14中弯矩调幅幅度本质上也是以相对受压区高度确定的。但上述各规范中均未考虑受拉纵筋屈服强度对弯矩调幅的影响。

为此,完成了24根HRB500和HRB600钢筋作纵筋的混凝土连续梁静力加载试验。考察了纵向受拉钢筋屈服强度、中支座控制截面相对受压区高度、中支座宽度等参数对连续梁中支座控制截面弯矩调幅的影响[9-20],建立了从加载到中支座控制截面受拉纵筋屈服和从中支座控制截面塑性铰形成至受压边缘达到混凝土达到极限压应变的两阶段弯矩调幅系数计算公式。

1 试验概况

1.1 试件设计及制作

24根两跨连续梁试件中,L-A-1~L-A-12试件受拉纵筋采用HRB500钢筋,L-B-1~L-B-12试件受拉纵筋采用HRB600钢筋。两类试件所用混凝土均分 C40、C50、C60三种强度等级,中支座宽度有100 mm、150 mm、200 mm、250 mm 四种,中支座控制截面相对受压区高度分为0.1、0.2、0.3、0.4。试件截面几何尺寸均为 b×h=180 mm×250 mm,边支座中心至中支座边缘距离均为4050 mm。各试验梁参数选分及配筋见表 1。试验梁按控制截面受拉纵筋配置情况分6种,配筋图如图1所示。

图1 试验梁配筋图
Fig.1 Reinforcement of specimens

1.2 材料力学性能

本试验中HRB500钢筋和HRB600钢筋力学性能见表2。每根试验梁预留9块150 mm×150 mm×150 mm标准立方体试块(3组,每组3块),与试验梁同条件养护,混凝土力学性能见表3。

1.3 加载装置及测点布置

两跨连续梁每跨均采用三分点对称加载,在支座、各加载点及跨中布置位移计测量各级荷载作用下试验梁挠度值;在各支座下设置压力传感器,观测支座支反力变化。加载装置如图2所示。

表1 24根试验梁设计参数及配筋
Table 1 Design parameters and reinforcement of 24 specimens

注:1) 箍筋混凝土保护层厚度为25 mm;HRB500钢筋用表示,HRB600钢筋用 表示。
2) 图1中②、④架立钢筋为210。
3) 为保证试验过程中不发生斜截面受剪破坏,试件配置了足够多的箍筋;为实现支座控制截面弯矩充分调幅,跨中配置了相对较多的受拉纵筋。
4) 为保证支座控制截面实现预定的相对受压区高度,对支座及跨中受拉纵筋进行合理截断,表中截断长度L1、L2、L3、L4见图1。
5) 试件按控制截面受拉纵筋配置情况分为六种。Ⅰ:梁上下各配单排2根纵筋;Ⅱ:梁上部配单排2根纵筋,下部配单排3根纵筋;Ⅲ:梁上下各配单排3根纵筋;Ⅳ:上部配单排3根纵筋,下部配双排纵筋;Ⅴ:上部配双排纵筋,下部配单排3根纵筋;Ⅵ:梁上下各配双排纵筋。

试件编号钢筋强度等级混凝土强度等级中支座控制截面相对受压区高度中支座宽度/mm 跨中受拉纵筋① 中支座受拉纵筋③ 试件类型跨中受拉纵筋截断长度 中支座受拉纵筋截断长度L1/mm L3/mm L2/mm L4/mm L-A-1 HRB600 C40 0.09 100 2 16 2 10 Ⅰ 455 ― 836 ―L-A-2 0.20 150 3 18 2 18 Ⅱ 402 922 1023 ―L-A-3 0.30 200 2 20+1 22 3 18 Ⅲ392 857 1064 792 L-A-4 0.39 250 2 22+1 20 2 20+1 22 Ⅲ509 907 1212 856 L-A-5 C50 0.10 100 3 14 3 10 Ⅱ 469 1034 1726 ―L-A-6 0.21 150 3 20 2 20 Ⅱ 372 881 1063 ―L-A-7 0.31 200 2 20+2 22 3 20 Ⅳ793 1112 1112 793 L-A-8 0.40 250 2 20+2 22 3 22 Ⅳ492 774 1195 804 L-A-9 C60 0.10 100 3 14 2 14 Ⅱ 465 1021 943 ―L-A-10 0.21 150 3 22 3 18 Ⅲ342 838 1023 688 L-A-11 0.31 200 4 22 2/2 3 22 Ⅳ391 708 1144 773 L-A-12 0.36 250 3 22 4 20 2/2 Ⅴ490 901 1180 848 L-B-1 HBB500 C40 0.12 100 3■14 2■14 Ⅱ 467 1043 941 ―L-B-2 0.22 150 3■20 3■16 Ⅲ 384 936 981 669 L-B-3 0.33 200 3■22 3■20 Ⅳ 400 838 1133 781 L-B-4 0.36 250 3■20 4■18 Ⅲ 546 958 1261 838 L-B-5 C50 0.12 100 3■14 2■14 Ⅱ 466 1042 941 ―L-B-6 0.25 150 2■22+1■20 3■18 Ⅱ 342 938 1101 ―L-B-7 0.35 200 3■20+2■18 3■22 Ⅵ 354 689 1142 ―L-B-8 0.42 250 4■20 2/2 4■20 2/2 Ⅵ 504 817 1184 696 L-B-9 C60 0.11 100 3■16 2■16 Ⅱ 439 1003 981 ―L-B-10 0.20 150 4■20 3■18 Ⅲ 372 939 981 617 L-B-11 0.27 200 3■20+2■22 3■22 Ⅵ 432 848 1162 726 L-B-12 0.34 250 2■20+3■18 4■20 2/2 Ⅵ 497 962 1181 655

表2 钢筋力学性能
Table 2 Mechanical properties of the steel bars

强度等级 直径/mm 屈服强度f y/MPa抗拉强度f u/MPa屈服应变εy/με弹性模量E s/MPa 强度等级 直径/mm 屈服强度f y/MPa抗拉强度f u/MPa屈服应变εy/με弹性模量E s/MPa HRB500 14 547.36 702.77 2737 2.00×105 HRB600 10 680.12 870.42 3401 2.00×105 16 555.15 729.99 2776 2.00×105 14 651.5 861.67 3258 2.00×105 18 533.60 705.86 2668 2.00×105 18 632.67 841.47 3163 2.00×105 20 555.77 714.31 2779 2.00×105 20 633.28 824.85 3166 2.00×105 22 555.36 705.90 2777 2.00×105 22 612.45 796.44 3062 2.00×105

表3 混凝土力学性能
Table 3 Mechanical properties of the concrete

注:f cc1f cu,对于C50及以下普通混凝土αc1=0.76;对于C80混凝土αc1=0.82,中间按线性插值。

混凝土设计强度等级立方体抗压强度实测值f cu/MPa轴心抗压强度换算值f c/MPa C40 48.0 36.5 C50 55.2 41.8 C60 68.6 53.5

图2 试验梁加载
Fig.2 Specimens test

为测量塑性铰区长度范围内各截面实际曲率分布,在中支座宽度及中支座边缘两侧1.5h0 (h0为梁截面有效高度)范围内的一根负弯矩筋上密布宽度1 mm、标距2 mm的钢筋应变片,相邻两应变片间距30 mm。为保证所粘贴应变片在试验梁受力过程中的存活率,对受拉纵筋开槽并将应变片沿筋长粘贴在槽底。为不损伤钢筋横肋,尽量减少对纵筋粘结性能的影响,槽口应紧贴纵肋,槽宽×槽深=4 mm×4 mm,如图3所示。

2 试验结果

2.1 试验现象

图3 钢筋剖槽贴应变片
Fig.3 Strain gauges in notch of reinforcement

图4 为部分试验梁荷载-位移全曲线。在加载过程中各试验梁分别经历了中支座控制截面开裂(A/A'点)、跨中截面开裂(B/B'点)、中支座控制截面纵向受拉钢筋屈服即塑性铰形成(C/C'点)、中支座控制截面受压边缘达到混凝土极限压应变即设计用承载能力极限状态(D/D'点)、跨中控制截面纵向受拉钢筋屈服(E/E'点)、所加荷载达到峰值荷载(F/F'点)及作用荷载随变形增大而减小几个阶段。图 5所示为中支座截面附近受压区混凝土被压碎,图 6所示为跨中控制截面附近受压区混凝土被压碎。

2.2 中支座控制截面附近区域纵向受拉钢筋应变实测值及塑性铰转角

图4 荷载-位移曲线
Fig.4 Load-deflection curves of specimens

图5 中支座控制截面附近受压区混凝土被压碎
Fig.5 Concrete of the compression zone at mid-support is crushed

图6 跨中控制截面附近受压区混凝土被压碎
Fig.6 Concrete of the compression zone at m id-span is crushed

在设计用承载能力极限状态下,各试验梁中支座负弯矩筋拉应变实测值如图7所示。图中横坐标为各测点距中支座中心的水平距离(原点为支座中心)。由于钢筋应变片测量范围为±20000 με,对于相对受压区高度较小(如 ξ≤0.1)的试验梁,钢筋应变大于20000 με,故其具体拉应变值是基于平截面假定计算确定的。

由于试验梁中支座宽度仅为其东、西两跨跨度的2.43%~5.99%,在支座宽度范围内的弯矩值与支座边缘弯矩值十分接近,因此本文试验梁中支座宽度应计入塑性铰长度。由于中支座中心东西两侧塑性铰转动是异向的,故应将其作为两个塑性铰对待,中支座东、西两侧屈服点所辖长度为支座中心两侧实际塑性铰长度之和(见表4)。基于钢筋应变实测值及平截面假定计算确定塑性铰区内各测点曲率,如图7所示。令φy为截面受拉钢筋屈服时对应的曲率、φu为截面受压边缘达到混凝土极限压应变时对应的曲率,按与实际塑性铰区长度范围内塑性曲率分布曲线所围面积相等的原则,对应高度为(φuy)的矩形区段的长度即为两侧等效塑性铰长度之和[21-24](见表4),曲率等效矩形如图7所示。由于试验梁两跨为对称加载,以中支座中心东、西两侧等效塑性铰长度之和的1/2计算每侧相对塑性铰转角,计算结果见表4。

2.3 支座反力实测结果

图7 设计用承载能力极限状态下中支座受拉纵筋应变分布及曲率分布图
Fig.7 Strain distribution and curvature distribution of the tensile longitudinal reinforcement at the design ultimate state

图8 为试验梁支座反力实测值和弹性计算值随外荷载的变化情况。其中,由于试验梁两跨为对称加载,两边支座支反力实测值相近,取其平均值用于对比。图8中从左到右各平行于纵轴的虚线对应于图4中A、B、C、D、E、F各点。由图中可看出在荷载较小阶段,支反力实测值与弹性计算值吻合相对较好;随着荷载增大,边支座支反力实测值高于其弹性计算值且提高幅度越来越大,中支座支反力实测值低于其弹性计算值且降低幅度越来越大,进而使得中支座控制截面弯矩实测值低于其弹性计算值且幅度越来越大。

表4 中支座中心两侧区域相对塑性转角
Table 4 Relative plastic hinge rotations at the both sides of the m id-support

梁序号 中支座中心东、西两侧实际塑性铰长度之和/mm中支座中心东、西两侧等效塑性铰长度之和/mm屈服曲率φy/(×10-5 mm-1)极限曲率φu/(×10-5 mm-1)每侧相对塑性转角(θp/h0)/ (×10-5 mm-1)L-A-1 615.90 194.31 1.98 13.40 5.16 L-A-2 428.79 217.57 2.26 6.19 1.99 L-A-3 509.24 220.29 2.59 4.09 0.77 L-A-4 387.23 290.18 2.90 3.16 0.18 L-A-5 585.09 189.09 2.05 12.18 4.46 L-A-6 531.55 224.93 2.29 5.95 1.92 L-A-7 459.36 232.93 2.63 3.90 0.70 L-A-8 468.59 297.73 2.70 3.45 0.52 L-A-9 582.72 223.39 1.98 12.09 4.81 L-A-10 548.00 230.00 2.29 5.63 1.79 L-A-11 525.91 258.58 2.52 3.88 0.82 L-A-12 413.77 265.88 3.01 3.69 0.31 L-B-1 426.60 205.84 1.72 10.47 4.19 L-B-2 451.35 220.67 2.08 5.67 1.84 L-B-3 382.03 243.07 2.41 3.72 0.74 L-B-4 583.60 292.27 2.50 3.44 0.64 L-B-5 463.59 209.95 1.72 10.47 4.27 L-B-6 475.68 239.68 2.12 4.83 1.51 L-B-7 446.77 238.74 2.50 3.44 0.52 L-B-8 317.64 263.60 3.13 3.24 0.07 L-B-9 537.64 217.05 1.73 11.30 5.25 L-B-10 667.64 247.02 1.89 6.02 2.37 L-B-11 503.31 256.94 2.24 4.33 1.24 L-B-12 377.91 261.56 2.75 3.95 0.82

图8 各试验梁支反力实测值与弹性计算值对比
Fig.8 Comparisons between elastic calculations and test values of support reactions

3 弯矩调幅分析

将HRB500钢筋、HRB600钢筋作受拉纵筋的混凝土连续梁弯矩调幅分两阶段进行考察:第一阶段是由受拉区混凝土进入塑性,经历开裂和裂缝发展,到中支座控制截面受拉纵筋屈服引起的弯矩调幅;第二阶段是从中支座控制截面受拉纵筋屈服到受压边缘,达到混凝土极限压应变引起的弯矩调幅。本文重点关注受拉纵筋屈服强度f y、中支座控制截面相对受压区高度ξ、中支座宽度a以及混凝土抗压强度f c对两阶段弯矩调幅的影响。

3.1 弯矩调幅全过程

由支座支反力实测值可计算确定中支座控制截面实际弯矩值;由外荷载可计算中支座控制截面弹性弯矩值[25-27]。由式(1)得到各级荷载作用下中支座控制截面弯矩调幅系数。

式中:M e,i、M t,i分别为加载至第i级荷载时,中支座控制截面弹性弯矩计算值和弯矩实测值;M e,u为设计用承载能力极限状态对应的极限荷载作用下,中支座控制截面弹性弯矩计算值。

各试验梁加载过程中弯矩调幅系数随中支座控制截面弯矩实测值变化全过程如图9所示。图9中A、B、C、D点同图4,中支座控制截面开裂、受拉纵筋屈服和受压边缘达到混凝土极限压应变时刻对应的弯矩调幅系数计算结果见表5。

3.2 第一阶段弯矩调幅

第一阶段弯矩调幅系数按下式计算:

式中,M e,y、M t,y分别为屈服荷载作用下,中支座控制截面弹性弯矩计算值和弯矩实测值。

3.2.1 相关参数对第一阶段弯矩调幅的影响

图10为f c、ξ和a相同时,第一阶段弯矩调幅幅度β随f y的变化情况。由该图可知,随着f y的提高第一阶段调幅幅度增大。这是由于钢筋屈服强度提高,由受拉区混凝土进入塑性到混凝土开裂、裂缝发展再至钢筋屈服这一过程会变长,使第一阶段调幅幅度增大。以HRB500钢筋作受拉纵筋的试验梁第一阶段弯矩调幅系数为基准,引入钢筋屈服强度对第一阶段弯矩调幅影响系数ηsI,按下式计算:

图9 各试验梁弯矩调幅全过程
Fig.9 Process of moment redistribution in all test specimens

表5 各试验梁对应各特征点时刻中支座控制截面弯矩调幅计算结果
Table 5 Moment redistribution of the m id-support section at each characteristic point of test specimens

编号中支座控制截面开裂 中支座控制截面受拉纵筋屈服 中支座控制截面受压边缘达到混凝土极限压应变弹性弯矩计算值e cr M /(kN·m)实测值t cr M /(kN·m) βcr/(%)弹性弯矩计算值ey M /(kN·m)实测值ty M /(kN·m) βy/(%)弹性弯矩计算值eu M /(kN·m)实测值tu M /(kN·m) βu/(%)L-A-1 7.38 4.24 6.11 28.89 16.41 24.21 51.54 24.06 53.33 L-A-2 7.90 7.38 0.55 67.65 47.46 21.44 94.16 53.53 43.15 L-A-3 10.78 6.95 2.77 100.68 75.99 17.88 138.12 90.57 34.42 L-A-4 9.97 8.38 1.09 114.07 89.50 15.80 145.85 104.57 28.31 L-A-5 9.36 7.59 3.67 30.37 19.39 22.79 48.20 24.59 48.98 L-A-6 10.96 10.51 0.41 76.75 53.09 21.77 108.68 66.76 38.57 L-A-7 10.18 7.17 2.20 110.27 71.60 20.30 137.24 91.16 33.58 L-A-8 11.16 6.61 3.72 87.49 65.80 17.72 122.46 87.78 28.32 L-A-9 13.82 9.33 7.37 43.12 28.77 23.58 60.86 33.13 45.57 L-A-10 13.55 11.73 1.28 106.60 74.25 22.76 142.12 91.56 35.57 L-A-11 13.85 6.58 5.84 104.82 82.74 17.74 124.48 89.59 28.03 L-A-12 13.56 10.95 2.26 105.36 82.72 19.62 115.36 84.75 26.53 L-B-1 7.44 6.29 1.81 31.77 20.04 18.35 63.94 32.82 48.65 L-B-2 8.00 6.89 1.17 68.35 51.00 18.25 95.06 52.86 44.39 L-B-3 10.84 7.68 2.72 84.93 67.00 15.46 116.01 75.85 34.61 L-B-4 7.16 6.46 0.68 74.15 58.51 15.28 102.36 68.93 32.67 L-B-5 8.73 6.88 3.66 31.68 21.94 19.26 50.59 27.32 45.99 L-B-6 9.75 7.98 1.64 60.26 39.83 19.00 107.48 68.15 36.60 L-B-7 7.23 6.43 0.62 109.69 85.90 18.47 128.80 87.85 31.79 L-B-8 8.85 5.83 2.20 106.29 83.75 16.48 136.79 95.00 30.55 L-B-9 8.02 5.12 3.70 49.14 34.49 18.74 78.18 42.40 45.76 L-B-10 12.83 11.84 0.90 79.97 59.66 18.44 110.15 70.92 35.61 L-B-11 11.98 8.78 2.34 100.68 79.49 15.50 136.79 96.44 29.50 L-B-12 11.74 9.59 1.73 100.31 77.82 18.03 124.79 85.26 31.68

图10 受拉纵筋屈服强度f y对βI的影响
Fig.10 Effect of yield strength of tensile reinforcement f y on βI

当 f y和 f c相同时,令 δ1=100/a、δ2=0.1/ξ,则可得 δβ随 ξ的变化情况如图 11 所示、β2随 a 的变化情况如图12所示。由图11、图12可知,对于本文试验梁第一阶段调幅系数随中支座控制截面相对受压区高度的增加而减小,随中支座宽度的增加而增大。

图13为f y、ξ和a相同时,第一阶段调幅幅度β随f c的变化情况。可以看出,随着混凝土抗压强度的变化第一阶段弯矩调幅幅度变化规律并不明显。因此,在C40~C60不考虑混凝土强度的影响。

图11 中支座控制截面相对受压区高度ξ对δβI的影响
Fig.11 Effect of neutral axis depth factor at the intermediate support section ξ on δβI

图12 中支座宽度a对βI2的影响
Fig.12 Effect of w idth of intermediate support a on βI2

图13 混凝土抗压强度f c对βI的影响
Fig.13 Effect of concrete compressive strength f c on βI

3.2.2 第一阶段弯矩调幅系数公式建立

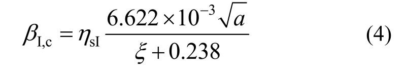
以中支座控制截面相对受压区高度ξ和中支座宽度a为横坐标、以第一阶段调幅系数β为纵坐标建立坐标系,将各试验梁第一阶段弯矩调幅系数试验值置于该坐标系中,则 HRB500钢筋、HRB600钢筋作受拉纵筋的两跨连续梁第一阶段弯矩调幅系数拟合曲面分别如图14(a)、图14(b)所示,经拟合按下式计算:

式中,ηsI为受拉纵筋屈服强度对第一阶段弯矩调幅影响系数,按式(3)计算。统计分析表明,拟合曲面计算值βI,c与试验值βI,t之比的平均值 x =1.006,标准差σ x=0.084,变异系数δx=0.084,计算值和试验值分布如图14(c)所示。

3.3 第二阶段弯矩调幅

第二阶段弯矩调幅系数按下式计算:

图14 ξ、a与 βI拟合曲面
Fig.14 Fitting surface of a, ξ versus βI

式中,M t,u为设计用承载能力极限状态对应的极限荷载作用下,中支座控制截面弯矩实测值。

3.3.1 相关参数对第二阶段弯矩调幅的影响

在f c、ξ和a相同情况下,f y对第二阶段弯矩调幅幅度βII的影响如图15所示。可以看出,βII随受拉纵筋屈服强度的提高而减小,这是由于钢筋屈服强度越高,对应截面屈服曲率越大,塑性铰转动能力降低,调幅幅度减小。以HRB500钢筋作受拉纵筋的试验梁第二阶段弯矩调幅系数为基准,引入钢筋服强度对第二阶段弯矩调幅影响系数 ηsII,按下式计算:

图15 受拉纵筋屈服强度f y对βII的影响
Fig.15 Effect of yield strength of tensile reinforcement f y on βII

当 f y和 f c相同时,令 δ1=100/a、δ2=0.1/ξ,则δ1·βII随 ξ的变化情况如图 16 所示、βII2随 a 的变化情况如图17所示。由图16可知,第二阶段弯矩调幅系数随中支座控制截面相对受压区高度的增加而减小,这是由于相对受压区高度增大,截面极限曲率减小,导致截面塑性铰转动能力减小,弯矩调幅幅度减小。由图 17可知,对于本文试验梁第二阶段调幅系数随中支座宽度的增加而增大。

图18为f y、ξ和a相同时,第二阶段弯矩调幅幅度βII随f c的变化情况。可以看出,随混凝土强度的增高 βII多略呈减小趋势。以C40混凝土试验梁第二阶段弯矩调幅系数为基准,引入混凝土抗压强度对第二阶段弯矩调幅影响系数ηc II,按下式计算:

3.3.2 第二阶段弯矩调幅系数公式建立

图16 中支座控制截面相对受压区高度ξ对δ1·βII的影响
Fig.16 Effect of neutral axis depth factor at the intermediate support section ξ on δ1·βII

图17 中支座宽度a对βII2的影响
Fig.17 Effect of w idth of intermediate support a on βII2

图18 混凝土强度f c对βII的影响
Fig.18 Effect of concrete compressive strength f c on βII

以相对塑性转角θp/h0为横坐标、以第二阶段弯矩调幅系数βII·(1/ηcII)为纵坐标建立坐标系,将各试验梁第二阶段弯矩调幅系数试验值置于该坐标系中,则HRB500钢筋、HRB600钢筋作纵向受拉钢筋的连续梁中支座控制截面第二阶段弯矩调幅系数拟合曲线分别如图19(a)、图19(b)所示,经拟合按下式计算:

式中,ηsII、ηcII为受拉纵筋屈服强度和混凝土抗压强度对第二阶段弯矩调幅影响系数,分别按式(6)和式(7)计算。统计分析表明,拟合曲线计算值βII,c与试验值 βII,t之比的平均值 x =1.006,标准差 σ x=0.133,变异系数δx=0.133,计算值和实测值分布如图19(c)所示。

HRB500钢筋、HRB600钢筋作纵向受拉钢筋的连续梁中支座控制截面总弯矩调幅系数按下式计算:

式中,βI按式(4)计算,βII按式(8)计算。经分析,计算值βc与试验值βt之比的平均值标准差变异系数

图 19 θp/h0与 βII拟合曲线
Fig.19 Fitting curves of θp/h0 versus βII

4 结论

通过对24根HRB500/HRB600钢筋作纵筋的混凝土连续梁进行试验研究,得到以下结论:

(1) 针对HRB500钢筋和HRB600钢筋屈服强度明显高于HPB235钢筋和HRB335钢筋的客观现实,提出了高强热轧钢筋作纵筋的连续梁弯矩调幅并不只发生在塑性铰形成之后,在受拉区混凝土进入塑性、经历开裂和裂缝发展直至中支座控制截面受拉纵筋屈服这一较长的塑性发展过程中同样存在一定量值的弯矩调幅。进而提出了应将HRB500钢筋和HRB600钢筋作纵筋的连续梁弯矩调幅分成塑性铰形成前后两阶段进行计算的思路和方法。

(2) 发现随着受拉纵筋屈服强度的提高,中支座控制截面第一阶段弯矩调幅增大、第二阶段弯矩调幅减小;随着相对受压区高度的增大,中支座控制截面两阶段弯矩调幅均减小;随着中支座宽度的增大,中支座控制截面两阶段弯矩调幅均增大。基于试验数据建立考虑各关键参数影响的两阶段弯矩调幅系数计算公式。

参考文献:

[1] GB 50010-2010, 混凝土结构设计规范[S]. 北京: 中国建筑工业出版社, 2010.GB 50010-2010, Code for design of concrete structures[S]. Beijing: China Architecture & Building Press, 2010.(in Chinese)

[2] GB/T 1499.2-2018, 钢筋混凝土用钢 第2部分: 热轧带肋钢筋[S]. 北京: 中国标准出版社, 2018.GB/T 1499.2-2018, Steel for the reinforcement of concrete-Part 2: Hot rolled ribbed bars [S]. Beijing:Standards Press of China, 2018. (in Chinese)

[3] CECS 51-93, 钢筋混凝土连续梁和框架考虑内力重分布设计 [S]. 北京: 中国计划出版社, 1992 CECS 51-93, Specification for design of reinforced concrete continuous beams and frames considering redistribution of internal forces [S]. Beijing: China Plan Publishing Company, 1992. (in Chinese)

[4] EN1 992-1-1: 2011, Design of concrete structures [S].European Comm ittee of Standardization, 2011.

[5] AS 3600-2009, Concrete structures [S]. Sydney:Standards Australia BD-002, 2009.

[6] DIN 1045-3: 2001, Concrete reinforced and prestressed concrete structures [S]. Berlin, 2001.

[7] FIB Bulletin 65: model code 2010, final draft- Volume 2[S]. Germany: Document Competence Center Siegar Kastle e. K, 2012.

[8] ACI 318-14, Building code requirements for structural concrete and commentary [S]. ACI Committee, American Concrete Institute, International Organization for Standardization, 2014.

[9] Mostofinejad D, Farahbod F. Parametric study on moment redistribution in continuous RC beams using ductility demand and ductility capacity concept [J].Iranian Journal of Science and Technology, 2007,31(B5): 459.

[10] 常莹莹, 贡金鑫. 钢筋混凝土受弯构件的延性及弯矩重分布[J]. 建筑科学与工程学报, 2010, 27(2): 38-44.Chang Yingying, Gong Jinxin. Ductility and moment redistribution of reinforced concrete flexural members[J]. Journal of Architecture and Civil Engineering, 2010,27(2): 38-44. (in Chinese)

[11] 郑文忠, 李和平, 王英. 超静定预应力混凝土结构塑性设计[M]. 哈尔滨: 哈尔滨工业大学出版社, 2002:78-104.Zheng Wenzhong, Li Heping, Wang Ying. Plastic design of statically indeterm inate prestressed concrete structure[M]. Harbin: Harbin Institute of Technology Press, 2002:78-104. (in Chinese)

[12] Zheng Wenzhong, Zhou Wei. Experimental research on plastic design method and moment redistribution in continuous concrete beams prestressed w ith unbonded tendons [J]. Magazine of Concrete Research, 2010,62(1): 51-64.

[13] Scott R H, Whittle R T. Moment redistribution effects in beams [J]. Magazine of Concrete Research, 2005, 57(1):9-20.

[14] Oehlers D J, Haskett M, A li M S M, et al. Moment redistribution in reinforced concrete beams [J].Proceedings of the ICE-Structures and Buildings, 2010,163(3): 165-176.

[15] 王英, 周威, 郑文忠. 跨中集中荷载下两跨 UPC矩形截面连续梁塑性铰性能[J]. 土木工程学报, 2008,41(5): 26-32.Wang Ying, Zhou Wei, Zheng Wenzhong. Performance of plastic hinge in a two-span continuous rectangular cross-section beam prestressed w ith unbonded tendons under concentrated load at mid span [J]. China Civil Engineering Journal, 2008, 41(5): 26-32. (in Chinese)

[16] 郑文忠, 王钧, 韩宝权, 等. 内置H型钢预应力混凝土连续组合梁受力性能试验研究[J]. 建筑结构学报,2010, 31(7): 23-31.Zheng Wenzhong, Wang Jun, Han Baoquan, et al.Experimental research on mechanical behavior of continuous prestressed composite concrete beams w ith encased H-steel [J]. Journal of Building Structures, 2010,31(7): 23-31. (in Chinese)

[17] 李莉, 郑文忠. 活性粉末混凝土连续梁塑性性能试验[J]. 哈尔滨工业大学学报, 2010, 42(2): 193-199.Li Li, Zheng Wenzhong. Experimental study on plastic property of reactive pow der concrete continuous beams[J]. Journal of Harbin Institute of Technology, 2010,42(2): 193-199. (in Chinese)

[18] 解恒燕, 郑文忠. 内置钢箱-混凝土连续组合梁受力性能试验[J]. 哈尔滨工业大学学报, 2010, 42(2): 186-192.Xie Hengyan, Zheng Wenzhong. Experimental research on mechanical behavior of continuous encased steel box concrete beam [J]. Journal of Harbin Institute of Technology, 2010, 42(2): 186-192. (in Chinese)

[19] Ko M Y, Kim S W, Kim J K. Experimental study on the plastic rotation capacity of reinforced high strength concrete beams [J]. Materials and Structures, 2001,34(5): 302-311.

[20] Bagge N, O’Connor A, Elfgren L, et al. Moment redistribution in RC beams - A study of the influence of longitudinal and transverse reinforcement ratios and concrete strength [J]. Engineering Structures, 2014,80(5):11-23.

[21] Cohn M Z, Riva P. Flexural ductility of structural concrete sections [J]. PCI Journal, 1991, 36(2): 361-369.

[22] Kheyroddin A, Naderpour H. Plastic hinge rotation capacity of reinforced concrete beams [J]. International Journal of Civil Engineering, 2007, 5(1): 30-47.

[23] Haskett M, Oehlers D J, A li M S M, et al. Rigid body moment-rotation mechanism for reinforced concrete beam hinges [J]. Engineering Structures, 2009, 31(5):1032-1041.

[24] 李龙起, 周东华, 廖文远, 等. 腹板开洞钢-混凝土连续组合梁塑性铰及内力重分布试验研究[J]. 工程力学,2015, 32(11): 123-131.Li Longqi, Zhou Donghua, Liao Wenyuan, et al.Experimental study on plastic hinge and international force redistribution for continuous steel-concrete composite beams w ith web openings [J]. Engineering Mechanics, 2015, 32(11): 123-131. (in Chinese)

[25] 杜进生, 赵益鹏. 体外预应力混凝土连续梁的弯矩重分布试验研究[J]. 工程力学, 2013, 30(3): 263-269.Du Jinsheng, Zhang Yipeng. Experimental study of moment redistribution in externally prestressed concrete continuous beams [J]. Engineering Mechanics, 2013, 30(3): 263-269. (in Chinese)

[26] Lou T, Liu M, Lopes S M R, et al. Moment redistribution in two-span prestressed NSC and HSC beams [J].Materials & Structures, 2017, 50(6): 246.

[27] Visintin P, Ali M S M, et al. Experimental investigation of moment redistribution in ultra-high performance fibre reinforced concrete beams [J]. Construction & Building Materials, 2018, 166(March): 433-444.

EXPERIMENTAL STUDY ON MOMENT REDISTRIBUTION IN REINFORCED CONCRETE CONTINUOUS BEAMS W ITH HRB500/HRB600 STEEL BARS

ZHENG Wen-zhong , LI Ling , WANG Ying
(Key Laboratory of Disaster and Control in Structural Engineering of China M inistry of Education, Harbin Institute of Technology, Harbin 150090, China)

Abstract: HRB500 and HRB600 steel bars have been adopted by ‘Code for design of concrete structures’ (GB 50010-2010) and ‘Steel for the reinforcement of concrete-Part 2: Hot rolled ribbed bars’ (GB/T 1499.2-2018). In order to investigate the moment redistribution in continuous reinforced concrete beams w ith HRB500 and HRB600 steel bars as tensile longitudinal bars, 24 two-span continuous beams were tested in this study. The test results showed that the moment redistribution occurred not only after the formation of plastic hinge but in the process from plastic development of the tensile concrete to the formation of the plastic hinge. The moment redistribution was investigated in two stages, namely, before and after the appearance of the plastic hinge. The first-stage moment redistribution (βI) was between 15.28%~24.21% and the second-stage moment redistribution(βII) was between 6.91%~30.3%. It was found that the increase in the yield strength of tensile longitudinal steel bars led to an increase in βI but a decrease in βII. Moreover, βI and βII increased w ith the increase in the w idth of the m id-support and the decrease in the relative depth of the compressive zone. Formulas for the moment redistribution of two stages considering the effects of the key factors were proposed based on the test results.

Key words: HRB500/HRB600 steel bars; concrete continuous beams; w idth of intermediate support; plastic hinge; moment redistribution

中图分类号:TU375.1

文献标志码:A

doi: 10.6052/j.issn.1000-4750.2018.01.0073

文章编号:1000-4750(2019)03-0079-16

收稿日期:2018-01-25;修改日期:2018-07-02

基金项目:教育部博士点基金资助项目(20132302110064),国家自然科学基金项目(51678190,51378146)

通讯作者:郑文忠(1965―),男,天津蓟县人,长江学者特聘教授,工学博士,博导,主要从事混凝土结构研究(E-mail: hitwzzheng@163.com).

作者简介:

李 玲(1990―),女,黑龙江双鸭山人,博士生,主要从事混凝土结构研究(E-mail: liling0048hit@163.com);

王 英(1968―),女,四川万县人,副教授,工学博士,主要从事混凝土结构研究(E-mail: wangying888@hit.edu.cn).