加肋板具有(如图1和图2所示)质量轻、刚度大的特点,被广泛应用在机械、航空航天、土木工程等领域中。因此,加肋板各力学性能受到关注,众多学者通过多种方法对其进行了多方面的研究。
图1 地基板
Fig.1 Foundation plates
图2 飞机翼板
Fig.2 Plane w ing plates
对于静力问题,宋超[1]采用无网格法计算了薄板壳的屈曲问题。殷宇[2]将无网格方法与有限元法耦合对层合板壳问题进行特性分析。龚曙光等[3]基于无网格法探讨了几种板壳闭锁问题存在的利弊。彭林欣和柏挺[4]采用无网格伽辽金法分析了波纹板的线性弯曲问题。杨柳和彭建设[5]采用常微分方程(general differential,GD)解法分析了平行四边形板的弯曲问题,结果表明该数值方法能较好求解板的弯曲问题。王克林等[6]采用重傅里叶级数法计算得到了正交各向异性平行四边形板在面内张力与剪力作用下动力学特性如弯曲等问题的精确解析解。方电新等[7]使用无网格伽辽金方法分析求解了平板的弯曲问题。谢根全和刘行[8]应用无网格局部伽辽金法对变厚度薄板进行了弯曲分析,并将所得结果与ANSYS结果对比,验证了该方法的有效性。谭飞和张友良[9]利用杂交边界点法分析了弹性地基板的弯曲问题。曾祥勇等[10]采用无网格自然单元法推导了双参数地基上 Kirchhoff板弯曲挠度的控制方程,并通过算例分析表明了该文方法的可行性和有效性。李顶河等[11]推导了层合板控制方程的无网格列式,计算出板的应力和位移,通过与精确法比较,证明了该方法的正确性。
对于动力问题,M cGee[12-13]对平行四边形板的振动分析进行了文献综述,并为发生在菱形板钝角处的应力奇点对板弯曲振动存在的影响提供获得正确频率的解决方案。Zhou和Zheng[14]运用移动最小二乘法研究了菱形板的自由振动,并得出了稳定的收敛振动结果。Jin和Wang[15]提出了一种新的弱形式积分元法用于精确分析平行四边形板的自由振动,结果表明,在没有明确考虑钝角处弯矩奇点情况下,该方法可得到精确的频率。刘灿礼等[16]运用传递矩阵法求解平行四边形板的自由振动问题,得出在板偏角较小的范围内,该方法可精确应用于平行四边形板的动力学特性分析的结果。李兴辉[17]应用积分法求解弯曲厚矩形板的固有频率问题。曾军才等[18]应用改进傅里叶级数方法,创建了矩形板的振动模型,推导出等同于振动控制方程的矩阵方程,并由此求出控制方程在各种边界条件下的解。彭林欣[19]在一阶剪切变形理论的基础上建立了矩形加肋板的无网格模型,并研究了加肋板的弯曲和振动等问题。Liew等[20]使用瑞利-里兹方法分析了加肋板的动力学特性。
由以上分析可知,多数研究都集中在平板或矩形加肋板上,而对于平行四边形加肋板的研究鲜见相关文献,同时Belytschko等[21]、Li和Liu[22]所提出的无网格方法作为一种新兴的数值方法亦受到学者们的高度重视,成为计算力学界的研究热点之一。无网格法不需要划分网格并且构造高阶形函数简便可求出较好的数值解,Liu[23]指出无网格法相较于有限元在解决复杂工程问题时具有一定的优势。
本文利用无网格的优势,在移动最小二乘近似[24]和一阶剪切变形理论[25]的基础上,分析平行四边形加肋板的自由振动问题。文中给出了平行四边形加肋板的无网格列式,并通过C++编程计算,对不同参数的平行四边形加肋板求解,将本文解与ABAQUS有限元解及现有文献解进行比较分析。研究表明,无网格法能有效地求解平行四边形加肋板自由振动问题,且在肋条位置改变时,不需要重新划分网格。因此该方法可应用于优化加肋平行四边形板的肋条布置,具有一定的工程实际应用价值。
平行四边形加肋板如图3所示,由同种均质材料制成,弹性模量为E,泊松比为ν,密度为ρ,板厚 h p,肋条高 h s。平行四边形平板及其肋条均用一系列点来离散,其无网格模型分别如图4和图5所示。
图5 肋条的无网格模型
Fig.5 Meshfree model of rib
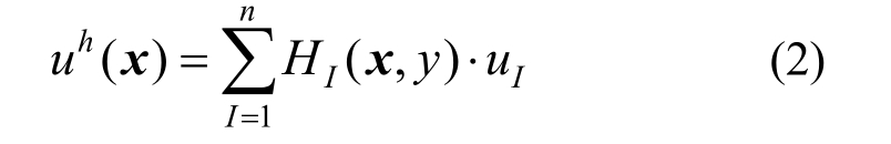
平行四边形加肋板由平板及肋条两部分组成。平板的无网格模型如图4所示,假设平板节点总数为n,由移动最小二乘近似[24]求出平板第I个节点的形函数:
式中:![]()
为二维空间单项式基函数,
。肋条的形函数与此类似,但取一维空间单项式基函数
ω为权函数,取:
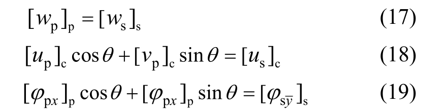
因此,域内函数 u(x)的近似函数 ()h u x可表示为式(2),其中uI为第I个节点的位移。
肋条的无网格模型如图5所示,同理可知,肋条的形函数可类似按移动最小二乘法进行计算。
如图 4所示,平板节点自由度包括 u op、v op、w p、φp x、φp y,其中 u op、v op、w p分别表示节点沿 x、y、z方向的平动位移,φp x、φp y分别表示节点绕 y轴和x轴的转角。基于一阶剪切变形理论[25],平板位移场可表示为:
式中:
由平板位移场可求出任意点(x,y)的应变为:
式中:
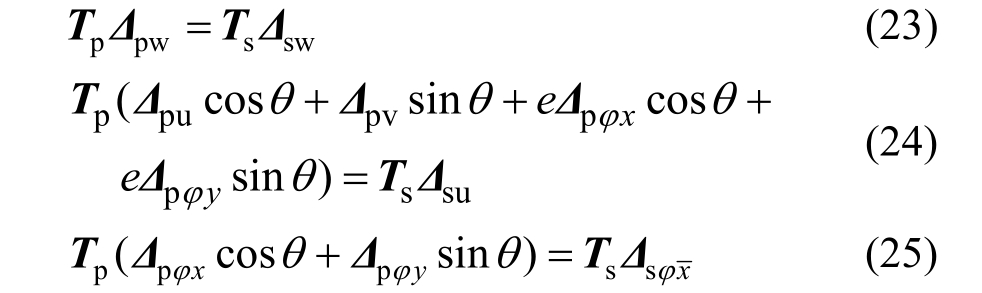
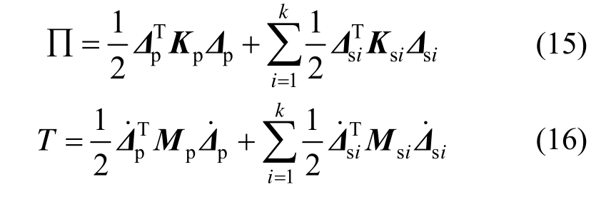
平板的位移、应变见式(4)~式(6),因此,可求出平板的总势能及动能分别如下:
式中:
为剪切修正系数[26],
在求肋条动能及势能时,采用局部坐标,如图5所示,假设单个肋条的节点总数为 m。以梁格来模拟肋条,肋条节点自由度分别为 u0s、 w s、 φs ,其中 u 0s、 w s 分别表示肋条节点沿肋条纵向轴线、z方向的平动位移,φs表示节点绕肋条横向轴线的转角。
根据一阶剪切理论,在局部坐标(x,y)下,其位移场可表示为:
式中:
为肋条形函数;![]()
为肋条第I个节点以时间t为变量的位移函数,将式(9)写成矩阵形式:
肋条上点
的应变:
式中:![]()
由式(10)~式(12)可求出肋条的势能和动能分别为:
式中:
t s、 A s、 I s 分别为肋条截面厚度、截面面积、截面惯性矩,![]()

综上所述,通过叠加原理求出整个加肋板的动能和势能见式(15)、式(16),其中k为肋条数量。
平行四边形加肋板如图6所示,沿肋条方向的剖面图如图7所示,肋条上的一节点S必能在板面上找到与其相应的一点P(P点不一定是板节点),点C为点S和点P在肋条与板接触面上的相应点。肋条节点与板节点之间的位移关系如下:
图6 位移协调示意图
Fig.6 Indication of displacement coordination
图7 加肋板截面
Fig7 Section of plate w ith ribs
肋条上有 m个节点,分别对应板上不同的节点,故有m个类似式(17)~式(19)的关系式:
根据一阶剪切理论及移动最小二乘近似,由式(20)~式(22)可导出:
式中:
若为同心肋条(肋条中轴线与与平板中面重合),e为零。由此可导出肋条节点参数与板节点参数的转换方程:
式中:
R为3n×5n的矩阵,与角度θ有关,当θ=β时,肋条与平板斜边沿平行,当θ=0°或 180°时,肋条处于水平位置; sp T 为3m×3n的矩阵,与 s T及 p T有关。由于肋条可采用独立的坐标系,若肋条改变位置且肋条在板中的长度不变时,只需重新计算矩阵
因此,可以任意改变肋条位置,而不需要重新分布板的结点。记 sp=T T R,则式(26)可以写成:
由式(27)可以导出:
因此,通过位移协调关系所导出的式(27)可将肋条的所有节点参数转换成板的节点参数。
由2.4节所建立转换方程可以推出整个加肋板总势能与总动能的通式:
式中:![]()
由Hamilton原理可知:
将式(29)及式(30)代入式(31),可以导出自由振动的控制方程为:
本文采用完全转换法[27]处理本质边界条件,求出平行四边形加肋板自由振动频率。
以不同参数的平行四边形加肋板为例,并通过C++编程计算,将本文解与ABAQUS有限元解及现有文献解进行比较分析。以验证本文方法的有效性并研究其收敛性。在以下的算例当中,影响域为平行四边形,如图8所示。影响域大小定义为:l1=λ×c1,l2=λ×c2,c1、c2分别为水平方向、斜边方向相邻两节点间的距离,系数 λ=4(肋条取 λ=2)。同时通过ABAQUS对平行四边形加肋板进行三维建模,分析其自振频率,单元类型均为 S4R,网格尺寸均为0.04 m×0.04 m。为方便分析说明,记SSSS为四边简支、CCCC为四边固支。
图8 影响域
Fig.8 Influence domain
为了分析本文无网格方法的收敛性,采用不同均布节点的离散方案进行计算分析,并将计算结果与有限元解对比。
单肋条平行四边形板如图9所示,水平向肋条位于a/2处,a为1 m,b为1 m,h p、t s均为0.01 m,h s为0.1m,β、θ均为60°,密度ρ为2880 kg/m3,弹性模量E为3 GPa,泊松比ν为0.3。有限元离散模型如图10所示,单元总数为700。计算结果见表1所示,其收敛曲线如图11所示。研究表明,当节点数为13×13时,计算结果趋于稳定,可认为该离散方案使计算收敛。
图9 单肋条平行四边形板
Fig.9 Skew ribbed plates w ith one rib
图10 离散单元示意图
Fig.10 Schematic diagram of discrete elements
表1 SSSS边界条件下单肋条平行四边形板的频率 /Hz
Table 1 Frequencies of the simply supported skew plates w ith one rib
算例 1 2 3 4有限元 32.366 39.894 50.816 53.911本文解(5×5) 35.7907 43.9813 67.5796 95.9982本文解(7×7) 34.0521 41.6204 56.9135 62.9982本文解(9×9) 34.1062 40.551 53.9147 58.5214本文解(11×11) 33.292 40.482 52.2909 55.0113本文解(13×13) 32.1716 39.8509 50.2331 54.8533本文解(15×15) 31.9657 39.1684 49.024 54.2164
为了进一步验证本文方法的有效性,选取不同类型的平行四边形加肋板进行计算分析,并与现有文献及有限元分析结果进行对比,具体计算结果如下。
2.2.1 与现有文献解对比
图11 收敛曲线
Fig.11 Convergence curve
平行四边形平板如图12所示,a为1 m,b为1 m,h p为 0.01 m,β为 60°,质量密度 ρ为2800 kg/m3,弹性模量E为3 GPa,泊松比ν为0.3。无网格模型采用13×13个均布节点进行离散,有限元模型如图13所示,单元总数为625,提取平板前4阶振动固有频率。将本文解与文献解析解、有限元法解进行对比,结果见表 2。计算表明,本文解与现有文献解、有限元解非常接近,相对误差均在工程允许范围内,有效验证了本文方法的有效性。
图13 有限元模型
Fig.13 Finite element model
2.2.2 与有限元解对比
单肋条平行四边形板如图 14所示,水平向肋条位于 b/2处,a为 2 m,b为 1 m,h p、t s均为 0.01 m,h s为 0.1 m,β 为 60°,θ 为 0°,密度 ρ为 7830 kg/m3,弹性模量E为211 GPa,泊松比ν为0.3。无网格模型仍采用13×13个均布节点进行离散,有限元模型如图15所示,单元总数为1421,计算结果见表3。
表2 SSSS边界条件下平行四边形平板的频率/Hz
Table 2 Frequencies of simply supported skew plates
图14 单肋条平行四边形板
Fig.14 Skew ribbed plates w ith one rib
图15 离散单元示意图
Fig.15 Schematic diagram of discrete element
表3 不同边界条件下单肋条平行四边形板的频率/Hz
Table 3 Frequencies of skew one-ribbed plates w ith different boundary conditions
边界条件 阶次 本文解 有限元解 相对误差/(%)SSSS 1 61.570 60.233 2.2197 2 137.324 137.46 0.0989 3 156.023 160.23 2.6256 4 159.002 161.15 1.3329 CCCC 1 127.925 128.7 0.6058 2 216.196 205.68 4.8641 3 234.64 228.23 2.7318 4 236.151 243.11 2.9468
对于平行四边形加肋板易在钝角处发生应力奇异性问题[29],特别是β取值较小时该问题更加明显。为了求出有效解,本文在钝角处加密布置节点,如图 16所示。为验证本文方法的有效性,在四边简支的情况下改变上一算例中的β值(表4),计算结果见表4。研究表明,本文解与有限元解较为接近,误差均在 5%以内,说明了通过加密布置钝角处的节点可有效地解决发生在平行四边形板钝角处的应力奇点对板振动存在的问题。
图16 节点布置方案
Fig.16 Nodal arranging scheme
表4 不同β单肋条平行四边形板的基频 /Hz
Table 4 Base frequencies of skew one-ribbed plates w ith
different β’s
β/(°) 本文解 有限元解 相对误差/(%)55 65.0572 67.537 3.6717 50 69.2856 71.789 3.4871 45 75.071 73.041 2.7792 40 83.1479 81.371 2.1837 30 112.918 117.39 3.8095
2.2.3 重置肋条位置
双肋条平行四边形板如图17所示,Ⅰ号肋条、Ⅱ号肋条分别位于a/2、b/2处,a为2 m,b为1 m,h p、t s均为 0.01 m,h s为 0.1 m,β、θ 均为 60°。肋条材料与板相同,密度ρ为1800 kg/m3,弹性模量E为2.1 GPa,泊松比ν为0.3。无网格模型离散方案为13×13均布节点,有限元三维模型如图18所示,单元总数为1422,计算结果见表5。其余参数不变,将Ⅱ号肋条平移至如图 17所示的虚线位置(记为II′),计算结果见表 6。
图17 双肋条平行四边形板
Fig.17 Skew ribbed plates w ith two ribs
图18 离散单元示意图
Fig.18 Schematic diagram of discrete element
表5 不同边界条件下双肋条平行四边形板的频率/Hz
Table 5 Frequencies of skew double-ribbed plates w ith different boundary conditions
边界条件 阶次 本文解 有限元解 相对误差/(%)SSSS 1 34.592 34.496 0.2775 2 35.2366 35.238 0.0039 3 37.0481 38.804 4.7395 4 41.0558 39.71 3.2779 CCCC 1 49.4207 47.222 4.6561 2 50.6718 49.755 1.8426 3 51.6492 49.895 3.5158 4 53.8943 51.427 4.7977
表6 不同边界条件下双肋条平行四边形板的频率 /Hz
Table 6 Frequencies of skew double-ribbed plates w ith different boundary conditions
边界条件 阶次 本文解 有限元解 相对误差/(%)SSSS 1 10.201 9.9644 2.3745
2 17.9662 18.043 0.4256 3 28.0029 28.772 2.6731 4 30.1721 30.720 1.7835 CCCC 1 18.0029 17.982 0.1162 2 26.371 25.526 3.3104 3 37.697 37.435 0.6999 4 46.102 45.609 1.0809
结果表明:求解不同参数的平行四边形加肋板自由振动问题时,本文解与有限元解的结果接近,相对误差均在 5%之内,进一步有效验证了本文方法的有效性。此外,将肋条位置移动,平板及肋条离散方案可不变,只需重新计算T P矩阵,而不需要进行网格重构。因此,本文方法可适用于结构优化计算,对结构优化设计有一定的参考价值。
本文基于一阶剪切变形理论,应用无网格法对平行四边形加肋板的自由振动问题进行了研究。通过不同的算例,将本文解与有限元解及现有文献解进行比较,分析无网格法计算此类问题的收敛性及有效性。结果表明,采用本文方法求解时,计算结果易趋于稳定,能较快收敛。计算所得的结构自振频率亦与现有文献解、有限元计算结果较为接近,其精度能满足工程要求。由于肋条与平板可采用不同的坐标系,当肋条位置改变时,只有位移协调方程发生改变,故只需重新计算T p矩阵,而不需要重置网格。因此,从工程的角度看,对于求解较为复杂的肋条布置、结构优化等问题,该方法具有一定的优势。
[1] 宋超. 薄板壳屈曲分析的埃尔米特无网格法[C]// 中国计算力学大会 2014暨第三届钱令希计算力学奖颁奖大会论文集. 北京: 中国力学学会计算力学专业委员会, 2014: 1.Song Chao. The ermit meshless method for buckling analysis of thin plate shell [C]// China Computational Mechanics Conference 2014 And The third Proceedings of Qian Lingxi’s Computational Mechanics Awards.Beijing: China Mechanical Society of Computational Mechanics Professional Comm ittee, 2014: 1. (in Chinese)
[2] 殷宇. 层合板壳结构的无网格方法分析及其应用[D].苏州: 苏州大学, 2013.Ying Yu. The analysis and application of meshless method for lam inated plate and shell strctures [D].Suzhou: Suzhou University, 2013. (in Chinese)
[3] 龚曙光, 曾维栋, 张建平. Reissner-M indlin板壳无网格法的闭锁与灵敏度分析及优化的研究[J]. 工程力学,2011, 28(4): 42-48.Gong Shuguang, Zeng Weidong, Zhang Jianping. Study on numerical locking and sensitivity analysis and optim ization of reissner-m indlin plate and shell w ith meshless method [J]. Engineering Mechanics, 2011,28(4): 42-48. (in Chinese)
[4] 彭林欣, 柏挺. 波纹夹层板线性弯曲分析的无网格伽辽金法[J]. 工程力学, 2011, 28(8): 17-22.Peng Linxin, Bai Ting. Bending analysis of corrugatedcore sandw ich plates by the element-free galerkin method [J]. Engineering Mechanics, 2011, 28(8): 17-22. (in Chinese)
[5] 杨柳, 彭建设. 解平行四边形板弯曲问题的 GD法[J].成都大学学报(自然科学版), 2014(3): 230-233.Yang Liu, Peng Jiancheng. Necessary and sufficient conditions of metapositive definite matrices [J]. Journal of Chengdu University (Natural Science Edition), 2014(3): 230-233. (in Chinese)
[6] 王克林, 李璐, 汤翔, 等. 有自由边的各向异性平行四边形板的弯曲、振动与屈曲的傅里叶分析[J]. 工程力学, 2008, 25(3): 31-37.Wang Kelin, Li Lu, Tang Xiang, et al. Free vibration,buckling and bending analyses of anisotropic skew plates w ith free edges using fourier series [J]. Engineering Mechanics, 2008, 25(3): 31-37. (in Chinese)
[7] 方电新, 李卧东, 王元汉, 等. 用无网格法计算平板弯曲问题[J]. 岩土力学, 2001, 22(3): 347-349.Fang Dianxin, Li Wodong, Wang Yuanhan, et al.Calculating plate bending problem by meshless method[J]. Rock and Soil Mechanics, 2001, 22(3): 347-349.(in Chinese)
[8] 谢根全, 刘行. 基于无网格Local Petrov-Galerkin法的变厚度薄板的弯曲分析[J]. 工程力学, 2013, 30(5):19-23, 62.Xie Genquan, Liu Xing. The bending of thin plates w ith varying thickness based on meshless local Petrov-Galerkin method [J]. Engineering Mechanics, 2013,30(5): 19-23, 62. (in Chinese)
[9] 谭飞, 张友良. 弹性地基板弯曲的杂交边界点法[J].工程力学, 2013, 30(4): 35-41.Tan Fei, Zhang Youliang. A hybrid boundary node method for the bending of plates on elastic foundation[J]. Engineering Mechanics, 2013, 30(4): 35-41. (in Chinese)
[10] 曾祥勇, 张鹞, 邓安福. 双参数地基上 Kirchhoff板计算的无网格自然单元法[J]. 工程力学, 2008, 25(5):196-201.Zeng Xiangyong, Zhang Yao, Deng Anfu. Natural element method for computation of Kirchhoff plate bending on two-parameter soil foundation [J].Engineering Mechanics, 2008, 25(5): 196-201. (in Chinese)
[11] 李顶河, 徐建新, 卿光辉. Ham ilton体系下含弱粘接复合材料层合板的无网格求解方法[J]. 工程力学, 2012,29(2): 9-15.Li Dinghe, Xu Jianxin, Qing Guanghui. Meshless method of composite laminated plates w ith bonding interfacial imperfections in Hamilton system [J].Engineering Mechanics, 2012, 29(2): 9-15. (in Chinese)[12] M cGee O G. Flexural vibrations of clamped-free rhombic plates w ith corner stress singularities, Part 1:Review of research [J]. Journal of Vibration & Control,2015, 21: 2583-2603.
[13] M cGee O G. Flexural vibrations of clamped-free rhombic plates w ith corner stress singularities, Part II:comparison of solutions [J]. Journal of Vibration &Control, 2015, 21(13): 2639-2660.
[14] Zhou L, Zheng W X. Vibration of skew plates by the MLS-Ritz method [J]. International Journal of Mechanical Sciences, 2008, 50(7): 1133-1141.
[15] Jin C, Wang X. Weak form quadrature element method for accurate free vibration analysis of thin skew plates[J]. Computers & Mathematics w ith Applications, 2015,70(8): 2074-2086.
[16] 刘灿礼, 袁丽芸, 王俊鹏, 等. 传递矩阵法分析平行四边形板的自由振动问题[J]. 广西科技大学学报, 2017,28(2): 99-105.Liu Canli, Yuan Liyuan, Wang Junpeng, et al. Analysis of free vibration of paralled quadrilateral plate by transfer matrix method [J]. Journal of Guangxi University of Science and Technology, 2017, 28(2): 99-105. (in Chinese)
[17] 李兴辉. 应用边界积分法求解弯曲厚矩形板的固有频率[D]. 秦皇岛: 燕山大学, 2016.Li Xinghui. Applied to the boundary integral method to solve the natural frequency of bending thick rectangular plates [D]. Qinhuangdao: Yanshan University, 2016. (in Chinese)
FREE VIBRATION ANALYSIS OF RIBBED SKEW PLATES W ITH A MESHFREE METHOD