脆性岩石材料的非弹性变形和破坏过程主要受微裂隙的起裂、扩展和贯通过程控制。受力条件和细观结构(如层理面、矿物结构、原生节理等)共同决定了岩石材料的宏观变形特性和破坏模式[1―2]。岩石细观结构的空间分布通常是不均匀的而且各向异性的,导致岩石的宏观力学性质具有非均质性和各向异性[3―4]。
为描述脆性岩石的力学特性,学者们提出了很多本构模型,大致可以分为两种,一种是基于经典连续介质理论的宏观唯象模型[5―10],另一种是基于均匀化方法的细观力学模型[11―15]。宏观唯象模型在工程应用上较为简单,但没有考虑细观结构的演化过程;细观力学模型基于均匀化方法,可以考虑细观结构的演化过程,其缺点是对岩石细观结构的描述过于简化,而考虑复杂裂隙结构时又存在理论上的困难。
近年,数值模拟方法在描述岩石材料的破坏过程方面取得了显著的进展,如Moulinec和Suquet[16―17]提出的快速傅立叶变换方法,Potyondy和Cundall[18]提出的离散单元方法,Munjiza等[19]提出的有限/离散单元方法(F/DEM),唐春安和赵文[20]提出的RFPA方法,张振南等[21―22]提出的键元胞模型,潘鹏志等[23]提出的元胞自动机方法,姚池等[24―25]提出的改进刚体弹簧方法等。这些方法的基本思想是在精细化模拟岩石材料细观结构的基础上,利用细观尺度上的简单本构关系模拟微裂隙的产生、扩展和贯通全过程,最终得到岩石的宏观应力-应变曲线和破坏模式。
在模拟岩石的各向异性时,大部分的数值模型都采用了各向同性的岩石基质材料,而通过具有优势方向的节理面分布来获得强度和破坏模式的各向异性[26―28],通常情况下无法展现横观各向同性材料弹性柔度矩阵的对称性。从特征单元体的角度而言,引入优势节理面与所选试件具有相同或相似的尺度,其所得破坏过程和应力-应变曲线结果的合理性和代表性是值得商榷的。
改进刚体弹簧方法目前主要用于各向同性岩石破坏过程的模拟,本文将其推广用于模拟各向异性岩石的损伤破裂过程。各向异性岩石的变形和强度各向异性本质上是由岩石细观结构的定向排列和细观力学参数在不同方向上的差异引起的,在这种思想引导下,本文引入一种各向异性的Voronoi网格以模拟岩石的各向异性细观结构,采用非线性的剪切破坏准则定义界面破坏,界面的细观强度参数和刚度参数随界面的倾角变化,建立了脆性各向异性岩石材料破坏过程的细观数值模型。数值实验结果表明,数值实验结果与实验结果吻合良好,且得到的宏观弹性柔度矩阵具有对称性,从而验证了本文模型的适用性和优越性。
改进刚体弹簧法方法将岩石视作由细小多边形刚性块体胶结而成的集合,相邻块体通过均匀分布在其共同边界上的法向和切向弹簧传递力的作用。在每个刚性块体的质心上定义3个自由度,即x向位移Ux,y向位移Uy和转动角Uθ。系统的总体平衡方程可以由虚功原理推导。
假设对于如图1所示相邻的2个块体,块体1和块体2,在全局坐标系中,其质心分别为(x1,y1)和(x2,y2),取其公共边上的一点P,全局坐标为(x,y),在块体1和块体2上该点分别对应为点P1和点P2。假设块体只发生小转动,根据坐标转换原理,P1和P2的相对位移Δu可以由定义在两块体质心上的位移变量U12表示,如式(1)所示[25]。这种处理方式和张振南等[29―30]提出的单元劈裂法类似,但该方法基于连续介质力学方法,而本文模型属于离散介质力学方法。

图1 界面接触局部变形示意图
Fig.1 Local deformation of interface
其中:

式中:Δun和Δus分别为点P1、P2的相对法向位移和相对切向位移;(l,m)为两块体共同边界上的单位法向向量;U1x、U1y和U1θ分别为块体1质心的x、y向位移和转动角;U2x、U2y和U2θ分别为块体2质心的x、y向位移和转动角。由点P1、P2的相对位移引起的应力按下式计算[25]:
其中:

式中:σn、σs分别为法向应力和切向应力;kn和ks分别为法向刚度和切向刚度。
由虚功原理,对于一个块体系统,有以下关系成立[23]:

式中:
、
、
分别为相邻块体边界、力边界和位移边界;p、f、δu、δ(Δu)分别为外荷载、体积力、虚位移和虚相对位移。
结合式(2)、式(6)和式(9),可以得出改进块体弹簧方法的总体方程为:
破坏准则考虑拉裂破坏和剪切破坏2种破坏方式。在受拉情况下,界面法向正应力σn不能超过界面抗拉强度T,即:
当法向正应力超出抗拉强度时,界面发生拉裂破坏,此时,法向正应力置为0,同时将法向刚度置为一个较小的数(本文为初始法向刚度的10-8),以加快计算收敛。剪切破坏模式由二次非线性破坏准则进行判断,即:
式中,A、B和C为破坏参数,它们同抗拉强度T一起,共同定义了界面的力学强度。
相比Mohr-Coulumb线性准则,二次非线性破坏准则是一个二次非线性准则,能够有效描述岩石界面随围压增大摩擦系数降低的现象。剪切破坏发生后,切应力置为0,同时降低切向刚度以加快计算收敛。该破坏准则如图2所示。

图2 二次非线性破坏准则
Fig.2 Quadratic nonlinear failure criterion
改进刚体弹簧方法计算采用多边形网格。这里首先定义两个倾角,φ为软弱面相对x轴正方向的角度,如图3所示;α为网格中界面相对x轴正方向的角度。

图3 软弱面倾角示意图
Fig.3 The definition of bedding plane orientation
采用Voronoi图生成计算网格。这种网格通过计算机自动生成,通常包含2个步骤:1) 在计算域上随机生成均匀布置的节点集;2) 采用扫描线法对空间点集进行凸域剖分,生成Voronoi图[32]。作者基于点饱和概念,提出了随机均布Voronoi图生成算法[24―25],利用两节点间的允许最小距离lmin控制点的插入,因为各个方向上的最小距离是一样的,所以生成的Voronoi图在几何上具有各向同性的性质。为了得到各向异性的网格,这里将lmin与方向相关,在任一方向φ上,两插入点的最小间距为:
式中:amin、bmin分别为平行于和垂直于软弱面方向上的最小允许距离;φ为任一方向。图4给出了amin = 1.8,bmin= 0.45,φ分别为0°、45°和90°三种条件下在50×100范围内生成的计算网格。

图4 具有不同软弱面倾角的数值试件示意图
Fig.4 Illustration of numerical specimens with different bedding plane orientation
图5为这三个网格在不同方向上,界面累计长度的分布图。可以明显看出,在与软弱面平行的方向上,界面累计长度具有明显的优势,这种优势随着角度向垂直软弱面方向靠近而逐渐递减,在垂直软弱面方向略有增长,计算网格在几何上表现出了明显的各向异性。

图5 不同软弱面倾角试件在各方向上的累计界面长度分布图
Fig.5 Illustration of accumulated length of interfaces lying in different angles
为表现界面细观参数的各向异性,引入一个函数f(α,)φ:
式中:
a、b、c为定义各向异性的参数,本研究中取a=0.1,c=0.1。该函数为一“S”型曲线,其形状如图6所示,此处,b= 0.01099。

图6 函数f(α,)φ示意图
Fig.6 Illustration of the function off(α,)φ
界面刚度采用以下公式定义:

式中:
为预先设定的强度参数;r为切向刚度与法向刚度的比值;h1和h2分别为界面到相邻两块体质心的距离。
界面破坏参数采用以下公式定义:

式中:A0、B0、C0、T0为与软弱面平行的界面(即α-φ= 0)的强度参数;RB为参数B的各向异性系数。
为了检验本文模型模拟真实岩石性质的能力,对Niandou等[33]进行的Tournemire页岩试验进行了模拟,该试验在1 MPa~50 MPa不同围压条件下,对软弱面角度(φ)分别为0°、15°、30°、45°、60°、75°、90°的试件进行了全面的三轴压缩试验,试验结果表明,该种岩石弹性模量随软弱面角度增大而增大,抗压强度先随φ值增大而减小,30°~60°之间降为最低,而后又随φ值的增大而增大,强度随φ值变化呈现出明显的“U”形特征。
界面的细观参数包含变形参数和破坏参数,需要分别对这两组参数进行标定。界面的变形参数为kn和ks,由式(14)~式(16)中的
、r和b三个参数确定。假设实验获得的φ=90°和0°试样的弹性模量分别为
和
,数值计算得到的分别为E1和E2;φ=90°试样试验得到的泊松比为
,数值计算得到的为v1。首先,初步假定
为
(
可以为任意正值,本文中,
=2×109 MPa)。然后,通过调节b值,可以得到很多
曲线和v-r曲线。找到一组b和r,使得
,此时,有
变形参数标定结束。按照上述步骤,根据Niandou实验数据,标定得到的参数见表1,数值结果与试验的对比如图7所示。
表1 细观变形参数
Table 1 Micro deformation parameters
E/GParb 12.97 0.15 0.02173

图7 数值模拟与实验数据得到的不同软弱面倾角试样弹性模量对比图
Fig.7 Comparison of elastic modulus between experimental and simulation results for various orientations of bedding planes
界面破坏参数为A、B、C和T,由式(14)、式(17)~式(20)中的6个参数确定,即A0、B0、C0、T0、RB和b。因为强度最大值和最小值通常在层理面与主加载方向夹角为0°和45°时获得,故界面强度参数的优化标定过程以这两个角度在不同围压条件下获得的强度包络线为目标函数。优化标定过程主要通过试错法进行,经过反复调整参数,使得计算得到的φ=0°和45°的强度包络线同时不断逼近实验曲线。当数值结果与试验结果吻合良好时,认为标定结束。标定参数如表2,利用该组参数计算得到的φ=0°和φ=45°的强度包络线与实验数据的对比如图8所示。
表2 细观破坏参数
Table 2 Micro failure parameters
0A/MPaB0/MPa-1C0/MPaT0/MPaBRb 4 0.08 1.28 1.2 0.5 0.010989

图8 针对φ=0°和φ=45°两个试件强度包络线的标定结果
Fig.8 Calibration of strength envelops with specimens of φ= 0° andφ=45°
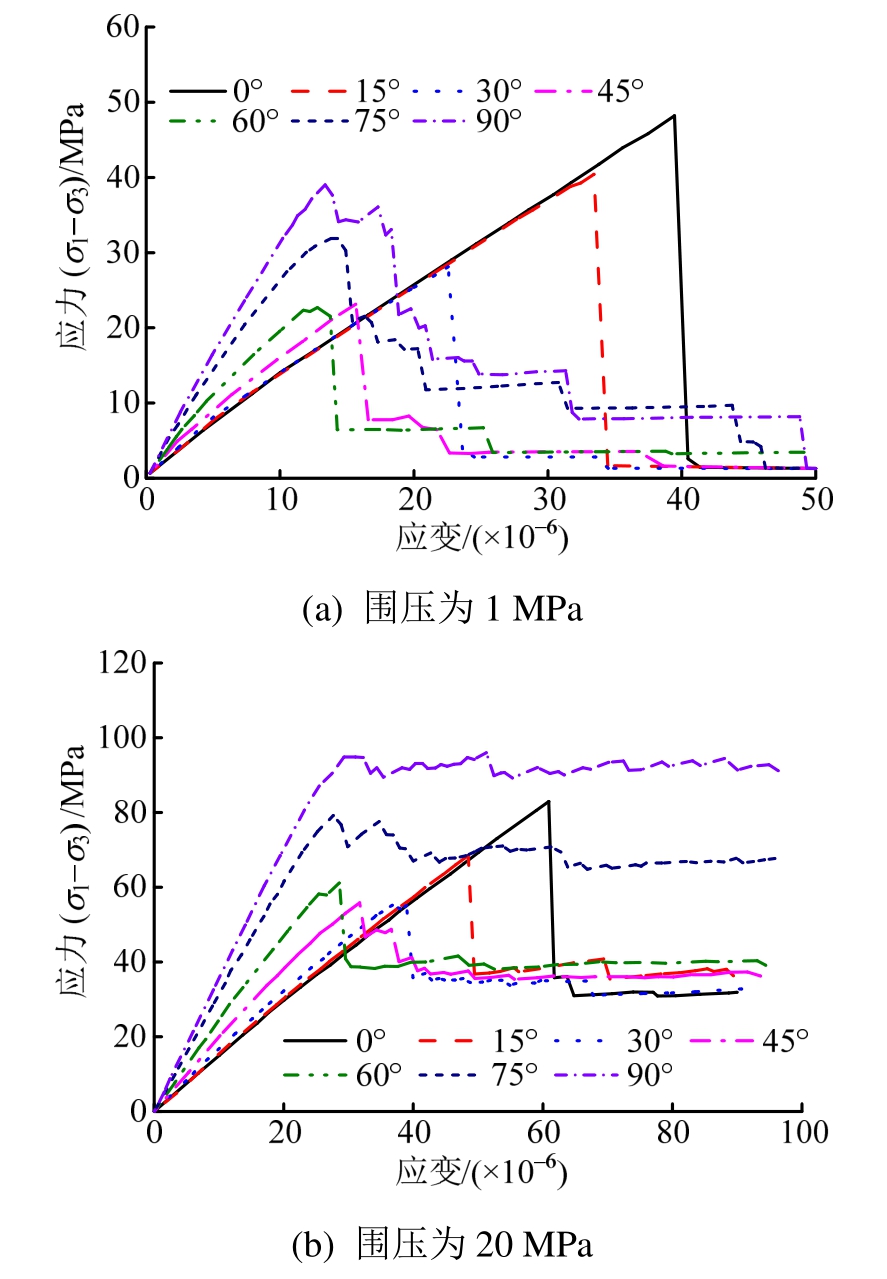
利用表1和表2所列细观参数,模拟软弱面角度(φ)分别为0°、15°、30°、45°、60°、75°、90°七个数值试件在不同围压条件下的压缩破坏过程,得到各试件在1 MPa和20 MPa围压条件下的应力-应变曲线如图9所示,随着围压增大,抗压强度逐渐增大,且有脆性向延性过渡的趋势,符合一般的岩石力学规律。各工况下峰值强度如图10(b)所示,图10(a)给出了Niandou试验的结果,可以看出,计算结果的数值和趋势与试验结果十分接近,从而验证了本文模型计算脆性岩石强度各向异性的能力。
图11给出了0°、45°和90°三个不同试件分别在1 MPa、20 MPa和40 MPa围压条件下通过计算得到的破坏形态,0°和90°试样的破坏模式主要为共轭剪切破坏,45°试样主要为沿层理面方向的剪切滑移。总体上,随着围压的增大,剪切带的倾角逐渐减小,这符合一般的岩石力学规律,与试验结果也较为相符[33]。

图9 不同围压条件不同加载角度的应力-应变曲线
Fig.9 Stress-strain curves of specimens with different bedding plane orientations under various confining pressures

图10 含不同软弱面倾角试件在不同围压条件下的破坏强度
Fig.10 Peak stress vs orientation of bedding planes on tournemire shale under compression with various confining pressures

图11 不同结构面倾角试件在不同围压条件下的破坏模式
Fig.11 Failure modes of specimens with different orientation of bedding planes under various confining pressure
设φ=90°和φ=0°两个试件的弹性模量分别为E1和E2,泊松比分别为ν1和ν2,根据虎克定律,横观各向同性材料的弹性柔度矩阵可表示为:

式中:G12为宏观剪切模量。能量守恒定律要求该矩阵为对称矩阵[33],即有
ν2/ν1。本文模型计算得到的
分别为36.0 GPa和15.3 GPa,ν1、ν2分别为0.2和0.47,
ν2/ν1,基本满足弹性柔度矩阵的对称条件。
图12给出了b= 0.01099时,
和
随r的变化规律,可以看出,当r≤0.9,两条曲线基本重合,而当r>0.9时,两条曲线不再重合。由此可以得出,当r≤0.9时,本文模型是能够满足弹性柔度矩阵对称性的,这在利用离散数值计算方法计算材料各向异性时是不常见的,这也体现了Voronoi图形良好的统计性能。

图12E1 /E2、ν2 /ν1与r的关系
Fig.12 Relationship betweenE1 /E2,ν1/ν2andr
为考察网格各向异性对宏观变形和强度各向异性的影响,将式(14)中的b和式(18)中的RB均设置为1,即不考虑细观变形和强度参数的各向异性,其他输入细观变形参数和破坏参数与表1和表2相同,研究式(13)中网格各向异性参数
分别为1、2、3、4、5、10、15、20、30时,对φ=0°、45°和90°三个方向试样弹性模量和1MPa围压条件下抗压强度的影响规律。图13给出了网格各向异性参数对φ=0°、45°和90°三个方向试样宏观弹性模量的影响,可见,网格各向异性参数对宏观弹性模量各向异性具有显著影响,总体上,随着
增大,弹性模量各向异性逐渐增强,而当
>15时,增大
值对三个不同方向弹性模量的影响较小,说明几何各向异性对变形特性的影响是有限的。图14给出了不同
值对φ=0°、45°和90°三个方向试样1 MPa围压时抗压强度的影响,可见,随着
增大,各个角度的抗压强度均有下降趋势,
>5时,下降趋势变缓。

图13 几何各向异性对φ=0°、45°和90°三个方向弹性模量的影响
Fig.13 Effects of geometry anisotropy on elastic moduli with φ=0°,45° and 90°

图14 几何各向异性对1 MPa围压时φ=0°、45°和90°三个方向试样抗压强度的影响
Fig.14 Effects of geometry anisotropy on compressive strength under confining pressure 1 MPa withφ=0°,45°and 90°
在改进刚体弹簧方法的基础上,提出了一种各向异性的多边形网格生成方法,给出了细观参数各向异性的赋值函数,从而建立了脆性各向异性岩石损伤破坏过程的数值模型。通过对Niandou页岩试验[33]的模拟,可以得到以下结论:
(1) 本文模型可以很好地模拟Niandou试验展现出的岩石各向异性特征,不管是宏观变形参数如弹性模量和泊松比,还是抗压强度,在定性和定量上都与试验结果吻合良好。
(2) 本文模型得到的宏观弹性模量和泊松比,在弹性柔度矩阵中表现出了良好的对称性,这在离散数值方法模型中是很少见的,说明采用的Voronoi网格具有很好的统计性能。
本文模型目前还只能模拟二维岩石力学问题,且无法考虑峰值前的强非线性变形。
[1] Hudson J A,Harrison J P,Popescu M E.et al.Engineering rock mechanice-an introduction to the principles [J].Applied Mechanics Reviews,2002,55(2):72.
[2] Kranz R L.Microcracks in rocks: a review [J].Tectonophysics,1983,100(1): 449―480.
[3] 杨雪强,李子生,燕全会,等.横观各向同性岩石类材料的破坏准则[J].工程力学,2012,29(12): 328―333.Yang Xueqiang,Li Zisheng,Yan Quanhui,et al.Failure criterion for transversely isotropic rock materials [J].Engineering Mechanics,2012,29(12): 328―333.(in Chinese)
[4] 赵颖.各向异性双重孔隙介质的应力与油水两相渗流耦合理论模型[J].工程力学,2012,29(2): 222―229.Zhao Ying.Fully coupled dual-porosity model for oil-water two-phase flow in anisotropic formations [J].Engineering Mechanics,2012,29(2): 222―229.(in Chinese)
[5] Ju J W.On energy-based coupled elastoplastic damage theories: Constitutive modeling and computational aspects [J].International Journal of Solids and Structures,1989,25(7): 803―833.
[6] Chow C L,Wang J.An anisotropic theory of elasticity for continuum damage mechanics [J].International Journal of Fracture,1987,33(1): 3―16.
[7] Swoboda G,Yang Q.An energy-based damage model of geomaterials—II.Deduction of damage evolution laws[J].International Journal of Solids and Structures,1999,36(12): 1735―1755.
[8] 胡大伟,朱其志,周辉,等.脆性岩石各向异性损伤和渗透性演化规律研究[J].岩石力学与工程学报,2008,27(9): 1822―1827.Hu Dawei,Zhu Qizhi,Zhou Hui,et al.Research on anisotropic damage and permeability evolutionary law for brittle rocks [J].Chinese Journal of Rock Mechanics and Engineering,2008,27(9): 1822―1827.(in Chinese)
[9] 周建军,周辉,邵建富.脆性岩石各向异性损伤和渗流耦合细观模型[J].岩石力学与工程学报,2007,26(2): 368―373.Zhou Jianjun,Zhou Hui,Shao Jianfu.Coupled micromechanical model for anisotropic damage and permeability variation in brittle rocks [J].Chinese Journal of Rock Mechanics and Engineering,2007,26(2): 368―373.(in Chinese)
[10] 朱合华,黄伯麒,张琦,等.基于广义Hoek-Brown准则的弹塑性本构模型及其数值实现[J].工程力学,2016,33(2): 41―49.Zhu Hehua,Huang Boqi,Zhang Qi,et al.Elastoplastic rock constitutive model based on generalized Hoek-Brown strength criterion and its numerical implementation [J].Engineering Mechanics,2016,33(2):41―49.(in Chinese)
[11] Andrieux S,Bamberger Y,Marigo J J.Un modèle de matériau microfissuré pour les roches et les bétons [J].Journal de Mécanique Théorique et Appliquée,1986,5(3): 471―513.
[12] Gambarotta L,Lagomarsino S.A microcrack damage model for brittle materials [J].International Journal of Solids and Structures,1993,30(2): 177―198.
[13] Pensee V,Kondo D,Dormieux L.Micromechanical analysis of anisotropic damage in brittle materials [J].Journal of Engineering Mechanics,2002,128(8): 889―897.
[14] 朱其志,胡大伟,周辉,等.基于均匀化理论的岩石细观力学损伤模型及其应用研究[J].岩石力学与工程学报,2008,27(2): 266―272.Zhu Qizhi,Hu Dawei,Zhou Hui,et al.Research on homogenization-based mesomechanical damage model and its application [J].2008,27(2): 266―272.(in Chinese)
[15] 陈进,陈祥福.岩石工程渐进破坏分析的边界元法[J].工程力学,1991,8(4): 128―137.Chen Jin,Chen Xiangfu.Boundary element method for non-linear analysis the progressive failure of rock engineering [J].Engineering Mechanics,1991,8(4):128―137.(in Chinese)
[16] Moulinec H,Suquet P.A fast numerical method for computing the linear and nonlinear mechanical properties of composites [J].Comptes Rendus de l'Académie des Sciences.Série II,Mécanique,Physique,Chimie,Astronomie,1994,318(11): 1417―1423.
[17] Moulinec H,Suquet P.A numerical method for computing the overall response of nonlinear composites with complex microstructure [J].Computer Methods in Applied Mechanics and Engineering,1998,157(1): 69―94.
[18] Potyondy D O,Cundall P A.A bonded-particle model for rock [J].International Journal of Rock Mechanics and Mining Sciences,2004,41(8): 1329―1364.
[19] Munjiza A,Owen D R J,Bicanic N.A combined finite-discrete element method in transient dynamics of fracturing solids [J].Engineering Computations,1995,12(2): 145―174.
[20] 唐春安,赵文.岩石破裂全过程分析软件系统RFPA2D[J].岩石力学与工程学报,1997,16(5): 507―508.Tang Chunan,Zhao Wen.RFPA2D system for rock failure process analysis [J].Chinese Journal of Rock Mechanics and Engineering,1997,16(5): 507―508.(in Chinese)
[21] Zhang Z N.Discretized virtual internal bond model for nonlinear elasticity [J].International Journal of Solids and Structures,2013,50(22-23): 3618―3625.
[22] Zhang Z N,Yao Y,Mao X.Modeling wave propagation induced fracture in rock with correlated lattice bond cell[J].International Journal of Rock Mechanics and Mining Sciences,2015,78: 262―270.
[23] 潘鹏志,丁梧秀,冯夏庭,等.预制裂纹几何与材料属性对岩石裂纹扩展的影响研究[J].岩石力学与工程学报,2008,27(9): 1882―1889.Pan Pengzhi,Ding Wuxiu,Feng Xiating,et al.Research on influence of pre-existing crack geometrical and material properties on crack propagation in rocks [J].Chinese Journal of Rock Mechanics and Engineering,2008,27(9): 1882―1889.(in Chinese)
[24] 姚池,姜清辉,邵建富,等.一种模拟岩石破裂的细观数值计算模型[J].岩石力学与工程学报,2013,32(增刊2): 3146―3153.Yao Chi,Jiang Qinghui,Shao Jianfu,et al.A mesoscopic numerical model for simulation of rock fracturing [J].Chinese Journal of Rock Mechanics and Engineering,2013,32(Suppl 2): 3146―3153.(in Chinese)
[25] Yao C,Jiang Q H,Shao J F.Numerical simulation of damage and failure in brittle rocks using a modified rigid block spring method [J].Computers and Geotechnics,2015,64: 48―60.
[26] 梁正召,唐春安,李厚祥,等.单轴压缩下横观各向同性岩石破裂过程的数值模拟[J].岩土力学,2005,26(1): 57―62.Liang Zhengzhao,Tang Chunan,Li Houxiang,et al.A numerical study on failure process of transversely isotropic rock subjected to uniaxial compression [J].Rock and Soil Mechanics,2005,26(1): 57―62.(in Chinese)
[27] Lisjak A,Tatone B S A,Grasselli G,et al.Numerical modelling of the anisotropic mechanical behaviour of opalinus clay at the laboratory-scale using fem/dem [J].Rock Mechanics and Rock Engineering,2014,47(1):187―206.
[28] 姚池,李瑶,姜清辉,等.应力作用下软硬互层岩石破裂过程的细观模拟[J].岩石力学与工程学报,2015,34(8): 1542―1551.Yao Chi,Li Yao,Jiang Qinghui,et al.Mesoscopic model of failure process of interlayered rock under compression[J].Chinese Journal of Rock Mechanics and Engineering,2015,34(8): 1542―1551.(in Chinese)
[29] Zhang Z N,Chen Y.Simulation of fracture propagation subjected to compressive and shear stress field using virtual multidimensional internal bonds [J].International Journal of Rock Mechanics and Mining Sciences,2009,46(6): 1010―1022.
[30] 张振南,陈永泉.一种模拟节理岩体破坏的新方法:单元劈裂法[J].岩土工程学报,2009,31(12): 1858―1865.Zhang Zhennan,Chen Yongquan.Novel numerical approach to jointed rock mass simulation: Element partition method [J].Chinese Journal of Rock Mechanics and Engineering,2009,31(12): 1858―1865.(in Chinese)
[31] 姚池,李瑶,姜清辉,等.基于改进刚体弹簧方法的开挖损伤演化分析[J].岩石力学与工程学报,2015,34(10): 1959―1966.Yao Chi,Li Yao,Jiang Qinghui,et al.Numerical simulation of excavation damaged zone using the modified rigid body spring method [J].Chinese Journal of Rock Mechanics and Engineering,2015,34(10):1959―1966.(in Chinese)
[32] Fortune S.A sweepline algorithm for Voronoi diagrams[J].Algorithmica,1987,2(1/2/3/4): 153―174.
[33] Niandou H,Shao J F,Henry J P,et al.Laboratory investigation of the mechanical behaviour of tournemire shale [J].International Journal of Rock Mechanics and Mining Sciences,1997,34(1): 3―16.
NUMERICAL SIMULATION OF DAMAGE AND FAILURE PROCESS IN ANISOTROPIC BRITTLE ROCKS
姚 池(1986―),男,湖北人,副教授,博士,主要从事与岩石细观破坏和水力耦合数值模型研究(E-mail: chi.yao@ncu.edu.cn);
何 忱(1994―),男,江西人,硕士生,主要从事三维裂隙岩体渗流数值模型研究(E-mail: c.he_daniel@foxmail.com);
杨建华(1986―),男,湖北人,副教授,博士,主要从事与工程爆破相关的岩石动力学研究(E-mail:yangjianhua86@ncu.edu.cn);
姜清辉(1972―),男,江西人,教授,博士,博导,主要从事岩土力学数值方法的教学与研究(E-mail: jqh1972@yahoo.com.cn).