随着混凝土的广泛使用,混凝土材料的耐久性问题日益突出,硫酸盐侵蚀是影响混凝土结构耐久性的一项重要因素[1-2]。在实际工程中混凝土结构往往处于不同的硫酸盐环境中,硫酸根离子渗入混凝土中发生复杂的物理化学反应,导致混凝土力学性能劣化和混凝土结构寿命降低。经过多年的研究,人们对硫酸盐侵蚀机理有了比较清晰的认识[3-4]。硫酸根离子通过多种途径进入混凝土内部后,与水泥水化产物发生一系列化学反应、物理结晶,生成膨胀性物质,改变了混凝土的孔隙结构,产生的膨胀应力导致内部微裂纹的萌生、扩展,最终导致混凝土材料力学性能劣化。
研究者对硫酸盐侵蚀后混凝土的力学性能开展了大量的试验研究。陈钱[5]开展了不同浓度硫酸钠溶液的混凝土浸泡试验研究,利用超声波波速的变化表征受侵蚀混凝土的内部损伤。蒋敏强等[6]利用超声检测技术研究了不同浓度硫酸盐侵蚀下水泥砂浆试件的动弹性模量。施峰等[7]开展了硫酸盐加速侵蚀作用下混凝土立方体的抗压性能试验,引入混凝土腐蚀损伤度的概念并建立了抗压强度变化率方程。梁咏宁等[8]通过实验室加速侵蚀方法对硫酸盐侵蚀混凝土进行单轴抗压试验,获得不同侵蚀时期混凝土应力-应变全曲线试验数据。如上所述,现有的硫酸盐侵蚀试验研究大多集中于混凝土材料宏观力学性能(弹性模量、强度等)的影响分析。建立的本构关系大多为宏观唯象本构模型,侧重于试验数据的经验拟合,参数缺乏明确的物理含义,很难从本质上揭示混凝土材料的力学性能退化规律。混凝土力学性能的劣化是微观结构演化在宏观上的反映,为从本质上揭示侵蚀混凝土材料的力学机理,有必要采用宏-细-微观多尺度方法对材料的力学性能进行研究。如何定量描述混凝土微观结构变化与宏观力学性能之间的关系仍需进行深入的探讨[9-10]。
自从1982年Krajcinovic[11]针对混凝土单轴拉伸过程提出平行杆模型(PBS)以来,统计损伤理论逐渐成为混凝土、岩石损伤力学一个新的研究热点[12]。该类损伤模型的共同特点是:从统计上唯象刻画随机、非均质的细观损伤演化过程,略去损伤物理过程的细节;采用统计学概率分布的方法并假设细观连续渐进式的损伤累积过程。白卫峰等[13-16]假设准脆性材料细观存在断裂和屈服两种损伤机制,建立了混凝土三轴正交异性统计损伤模型,预测复杂荷载环境下混凝土的本构行为;将材料变形破坏过程理解为以“损伤”为代价,通过自身能动的调整以适应外界荷载环境的“进化”过程。目前,统计损伤理论研究的热点是针对普通混凝土在常规状态下单轴、多轴力学行为的模拟,尚未有利用统计损伤理论研究受侵蚀混凝土细观劣化机制方面的报道。
基于宏观试验现象及统计损伤理论,本文建立了考虑硫酸盐侵蚀效应的混凝土统计损伤本构模型,模拟硫酸盐侵蚀后混凝土单轴、双轴受压破坏过程的力学行为,探讨硫酸盐侵蚀效应对混凝土细观损伤演化过程的影响机理。本文规定:拉应力、拉应变为正,压应力、压应变为负;且![]()
![]()
硫酸盐侵蚀造成混凝土材料微结构的损伤和宏观力学性能的劣化,是化学侵蚀和硫酸盐结晶共同作用的结果。以硫酸钠(Na2SO4)溶液为例,硫酸根离子(
)跟水泥水化产物发生化学反应、物理结晶,生成膨胀性物质包括[4]:钙矾石(3CaO·Al2O3·CaSO4·31H2O)、石膏(CaSO4·2H2O)和硫酸钠盐结晶(Na2SO4·10H2O)等,改变了混凝土微结构组成成分和力学性质。主要反应方程式如下:

在侵蚀初期,膨胀性产物能够填充混凝土初始微孔隙、微裂缝而提高结构密实度,使得混凝土宏观力学性能(弹性模量、强度)会有所提高。随着侵蚀时间的增加,生成的膨胀物逐渐塞满混凝土内部的孔隙及裂缝而产生膨胀应力,当应力超过孔隙抗拉强度时产生新的微裂缝,导致混凝土力学性能降低。
生成石膏过程会消耗水泥石中的Ca(OH)2,破坏Ca(OH)2的晶体结构;同时由于PH值的降低导致水化硅酸钙凝胶体(C-S-H)发生脱钙分解。造成混凝土强度损失、孔隙率增加、粘结性下降。
统计损伤理论忽略损伤的微观细节,将代表体积单元抽象为由N(N→∞)个细观单元(微弹簧、微杆件等,具有相同的截面积dA和刚度dk)组成的复杂系统,如图1所示。通过赋予每个微单元不同的力学参数(强度、特征应变等)并假设其服从某种统计分布形式,引入材料的细观非均质特性。

图1 代表体积单元
Fig.1 Representative volume element
2.1.1 基本假定
1) 细观损伤机制概括为两类损伤模式:① 断裂损伤,表征微裂纹的萌生、扩展;② 屈服损伤,表征微裂纹的相互作用及微结构受力骨架的调整。可分别用细观单元(微杆件)的断裂和屈服进行表征。如图2所示,每个微杆件由弹簧、滑片、胶结杆三部分组成,并被赋予两个特征应变(断裂应变εR和屈服应变εy),微杆件存在弹性-断裂和屈服-断裂两种破坏模式,假设两特征应变各自服从独立的统计分布形式。混凝土变形破坏本质上为细观断裂、屈服损伤模式的连续累积演化过程。

图2 修正平行杆模型
Fig.2 Improved parallel bars system
2) 宏观试验现象和突变理论[17]均表明,准脆性材料变形破坏过程呈现两个明显阶段,即分布式损伤累积阶段和宏观裂缝扩展阶段。前者反映了损伤累积的过程,是变形的主要阶段;后者由局部破坏区内的宏观裂纹控制,表现出明显的尺寸效应。屈服损伤模式反映了材料潜在力学性能进一步发挥的能力,通过屈服损伤模式将混凝土宏观应力-应变行为分为均匀损伤和局部破坏两个阶段,与突变论的两阶段特征相对应,体现了损伤破坏由量变到质变的过程,其中临界状态具有敏感性特征。
2.1.2 IPBS模型
基于Krajcinovic[11]建立的PBS模型,白卫峰等[13-16]进一步提出了修正平行杆模型(IPBS),用于模拟混凝土单轴拉伸变形破坏过程,考虑细观屈服、断裂两种损伤模式。通过引入若干简化假设,将两类损伤演化过程解耦(具体过程可参考文献[13、16]),从有效应力和名义应力的角度理解整个损伤演化过程。本构关系如下:

式中:E0为初始弹性模量;ε为拉应变;σE、σN分别为有效应力和名义应力;p(εy)、q(εR)分别为微杆件屈服、断裂对应的概率密度函数;D′y、DR分别为由微杆件的屈服和断裂所引起的系统弹性模量的累计损伤。DR与微裂纹的密度相关,D′y反映了材料潜在力学性能发挥的程度。
2.1.3 临界状态的界定
文献[13―15]中,将临界状态定义为材料变形从均匀损伤向局部破坏转变的状态,标志着材料进入破坏阶段,在整个变形破坏过程中起到关键的作用。通常将出现第1条宏观裂纹的状态作为临界状态。试验表明[16],混凝土试件单轴拉伸过程中出现宏观裂纹的状态通常出现在峰值名义应力状态之后。应该注意到,由于认识和试验条件的限制,传统混凝土本构模型的研究中往往忽略了临界状态的识别,并笼统的将临界状态和峰值应力状态看作是同一状态。结合IPBS模型所描述的损伤演化过程,文献[13―15]中采用最大屈服应变作为临界状态判别指标,并认为其位于名义应力-应变曲线的下降段。
关于混凝土受压破坏的细观机制学术界业已达成共识[16],即主要是由局部拉应变引起的微裂纹萌生、扩展所导致的。在承受轴向压缩荷载过程中,由于泊松效应其横向将产生拉应变,当达到极限拉应变时即引起混凝土受压破坏。试验表明无论是初始损伤还是最终破坏,裂缝走向基本均是平行于压力方向,呈柱状开裂。因此混凝土单轴压缩破坏本质上由垂直于压力作用方向的拉损伤控制,称为“传递损伤”。
如图3(a)所示,混凝土单轴压缩为三维空间中的损伤演化过程,其中3为压缩方向,1、2为侧向,对应应变分别记为ε3、ε1、ε2,则ε3<0、ε1 =ε2 > 0。1方向、2方向的拉损伤演化过程可由IPBS模拟。引入变量
(
>0,且与3方向正交),定义为3方向对应的等效传递拉损伤应变,为ε1、ε2的函数,表达式为ε3+ =f (ε1 ,ε2)。对于单轴压缩,可令
ν为泊松比。
如图3(b)所示,混凝土单轴压缩宏观非线性本构行为,即名义应力-应变全曲线(图中同时显示了假设破坏过程区内存在的有效应力-应变曲线)由细观断裂、屈服两种损伤演化过程控制。为便于描述,图中横坐标应变量分别采用ε3和
表示。
和p(
)分别表示细观断裂、屈服损伤对应的概率密度函数。真实情况下,q
)和p(
)可能服从复杂的统计分布规律,如Weibull、正态等分布形式。考虑到问题的复杂性,在具体分析时可假设q(
)和p(
)均服从三角形分布形式。通过大量的数据分析表明[13―15]:q(
)和p(
)采用简单的三角形分布形式就能很好的拟合真实的应力-应变试验曲线,并能体现出细观非均质的损伤演化机制。图中εa为初始损伤应变;εh为p(
)峰值对应应变;εb为最大屈服损伤应变,同时为q(
)峰值对应应变;εc为最大断裂损伤应变。εcr、εu为3方向对应特征压应变,满足![]()
![]()
定义εb对应于临界状态,此时IPBS中恰好所有微杆件全部屈服,对应的有效应力达到最大值,标志着材料潜在力学性能完全发挥,材料无法再通过微结构的调整承受更大的有效应力,随即进入局部破坏阶段,整个变形损伤表现为“量变”到“质变”的过程。根据临界状态将应力-应变行为划分为均匀损伤和局部破坏两个阶段。文献[13―14]指出由于局部破坏阶段对应的名义应力-应变曲线存在明显的尺寸效应,建议将临界状态(假设对应于出现宏观裂纹的状态)作为本构模型的最终破坏点。本文只讨论均匀损伤阶段的本构行为。

图3 单轴压缩示意图
Fig.3 Sketch map for uniaxial compression
对于均匀损伤阶段(包含弹性阶段),本构关系可表示为:

式中:σ3、σ3E为3方向对应的名义应力和有效应力;D3为由
引起的3方向对应压损伤变量,由
、D3R两部分组成(分别与细观屈服、断裂损伤相关);D3y为p(
)的概率分布函数。
p(
)和q(
)可由下式确定:

式中,
为临界状态对应断裂损伤值。
按照统计损伤理论的观点,硫酸盐侵蚀效应改变了混凝土微结构的组成成分和特征,改变了微裂纹萌生、扩展的形态以及损伤的累积演化过程,从而改变了混凝土宏观非线性的应力-应变行为。上述细观层次的影响可用2类参数表征,第1类:E0,表征微结构的改变对初始弹模的影响;第2类:εa、εh、εb和H(分别表征细观屈服和断裂两种损伤模式演化过程对应的三角形概率分布形态),反映侵蚀效应对损伤累积演化过程的影响。如图4所示,假设不同侵蚀时间T下混凝土对应的微结构特征和损伤演化过程的变化服从某种规律性。将E0、εa、εh、εb、H定义为硫酸盐侵蚀天数T(单位:d(天))的函数(本文忽略硫酸盐浓度等其它因素的影响),即:

图4 硫酸盐侵蚀时间T对混凝土细观损伤机制影响规律示意图
Fig.4 Sketch map for the influence of sulfate erosion timeT on the damage mechanism of concrete

其中,E0,1、εa,1、εh,1、εb,1、H1分别为未侵蚀状态(T=0 d)混凝土对应力学特征参数。
基于单轴压缩统计损伤模型,本文进一步建立了双轴压-压统计损伤模型。
首先基于Lamitre“等效应变”假设,认为材料损伤状态对应应变与理想弹性状态等价。根据广义虎克定律,弹性体各应变分量满足如下关系:

式中:
为主方向应变;
分别为i、j、k方向弹性应力在i方向产生的应变分量。
对于双轴压缩,设2、3方向为压缩方向。引入2个应变量:
为j、k方向受压时由于泊松效应引起i方向的拉损伤应变;
当i方向受压时,i方向对应的等效传递拉损伤应变。满足以下关系:

式中:k2为与压损伤相关的应变分量影响系数;
符号为取正号,有![]()

损伤本构关系可表示为:

式中,
分别为由
引起的i方向对应的压损伤变量,计算公式参考式(7)~式(11)。
假设双轴压缩状态下与
(i=2,3)对应的概率密度函数 (p
)、q(
)同单轴压缩状态下
对应的p(
)和q(
)相等,即服从相同的三角形分布形式。均匀损伤阶段判据如下:
梁咏宁等[8]开展了硫酸盐(Na2SO4)溶液侵蚀混凝土在不同侵蚀天数下单轴压缩力学性能试验研究,获得完整的应力-应变全过程曲线。利用本文模型对上述试验结果进行预测,验证模型的合理性和适用性,对硫酸盐侵蚀环境下混凝土单轴压缩过程的细观损伤演化机制进行分析,同时预测侵蚀混凝土双轴压-压非线性本构行为。本文中泊松比ν=0.167。
图5(a)显示了本文模型通过拟合试验数据预测得到的硫酸盐溶液不同侵蚀时期下混凝土单轴压缩过程均匀损伤阶段对应的名义应力-应变曲线,侵蚀时间T分别为0 d、30 d、45 d、60 d、75 d、90 d、105 d、120 d。每条曲线需要确定的参数包括E0、εa、εh、εb、H。其中:E0由试验曲线直接得到,其值取为上升段0.2倍~0.4倍峰值应力点到原点的割线模量;εa、εh、εb、H利用MATLAB工具箱中遗传算法模块通过多元回归分析得到。具体步骤如下:① 创建适应度函数,以应力预测值和实测值离差的最小平方和作为优化判据,包含εa、εh、εb、H这4个参数;② 初设4个参数取值区间;③ 执行遗传算法,获得本次迭代计算4参数最优解;根据结果调整和缩小参数搜索区间范围;④ 重复执行第③步,直至获得参数最优解。
参数计算结果见表1。其中aE为试验曲线上与
对应点应力与峰值应力的比值;R为相关系数,计算公式如下:
式中:C为协方差矩阵;i、j分别表示实测应力值和预测应力值对应向量。
如图5(a)所示,模型预测的单轴压缩名义应力-应变曲线与试验曲线吻合良好。图5(b)中显示了预测的有效应力-应变曲线。本文损伤本构模型从有效应力的角度解释混凝土整个单轴压缩变形破坏过程。在均匀损伤阶段,名义应力先增大后减小,中间存在峰值名义应力状态(即强度状态);有效应力单调增大,在临界状态达到最大值。达到临界状态后,试件随即进入以宏观裂纹扩展为特征的局部破坏阶段。图5(c)、图5(d)分别显示了预测的单轴压缩名义和有效应力-应变曲线所形成的三维包络面,图中清晰的显示了曲线的变化规律,包络面呈交叠的状态。以T=60 d为界,当T在[0,60]区间时,随着侵蚀天数的增加,峰值应力逐渐增大,临界状态应变逐渐减小;当T在[60,120]区间时,随着侵蚀天数的增加,峰值应力逐渐减小,临界状态应变逐渐增大。图6~图8分别显示了两特征状态对应参数
为峰值名义应力状态对应应变、名义应力和有效应力,
为临界状态对应应变、名义应力和有效应力)随硫酸盐溶液侵蚀时间T变化曲线。当T相同时,满足![]()
随着侵蚀时间T的增大,σ3,p、σ3E,p、σ3,cr、σ3E,cr 先增大后减小,均在T=60 d时达到最大值;εp、εcr先减小后增大,εp在T=45 d时达到最小值,εcr在T=60 d时达到最小值,整个侵蚀过程中εp变化幅度较小。
表1 计算参数表
Table 1 Results for calculation parameter

天数T/d弹性模量E0/(×10 GPa)应力比aE应变 aε/(×10-4)应变 hε/(×10-4)应变 bε/(×10-4)断裂损伤值H相关系数R 0 1.714 0.252 0.461 0.669 7.237 0.450 0.9953 30 1.686 0.294 0.980 2.133 6.532 0.382 0.9945 45 1.689 0.312 1.554 3.129 5.106 0.276 0.9886 60 1.753 0.355 1.830 4.309 4.606 0.265 0.9880 75 1.748 0.277 0.732 0.971 6.658 0.385 0.9830 90 1.546 0.263 0.262 0.402 7.442 0.458 0.9957 105 1.272 0.234 0.237 0.379 9.022 0.699 0.9963 120 1.096 0.221 0.220 0.320 9.552 0.733 0.9951


图5 单轴压缩应力-应变曲线
Fig.5 Stress-strain curves under uniaxial compression
图9显示了E0随侵蚀时间变化规律;图10显示了表征细观屈服损伤的特征参数εa、εh、εb随侵蚀时间变化规律;图11显示了表征细观断裂损伤的特征参数H随侵蚀时间变化规律。随着硫酸盐溶液侵蚀时间的增长,上述5个特征参数的变化显示出明显的规律性;同时以60 d为界,在60 d前后各参数由明显不同的演化规律控制。通过回归分析得到5个参数随侵蚀时间T变化规律表达式,见式(24)~式(28)。图9~图11中给出了5个参数预测值与公式拟合值之间的相关系数R。

图6
、-T关系曲线
Fig.6
、-T curves

图7
、-T关系曲线
Fig.7
、-T curves

图8
、
-T关系曲线
Fig.8
、
-T curves


图9E0-T关系曲线
Fig.9E0-Tcurves

图10εa、εh 、εb -T关系曲线
Fig.10εa、εh 、εb -T curves

图11H-T关系曲线
Fig.11H-Tcurves

图12~图14分别显示了不同侵蚀程度混凝土断裂损伤变量D3R和屈服损伤变量D3y、
的演化过程曲线。当达到临界状态(
=εb )时,D3y=1,表示IPBS中所有微杆件全部屈服,不能再承受更大的有效应力,混凝土试块随即进入以宏观裂纹扩展为特征的局部破坏阶段。

图12D3R-
关系曲线
Fig.12D3R-
curves

图13
-
关系曲线
Fig.13
-
curves

图14
-
关系曲线
Fig.14
-
curves
上述特征参数物理含义明确,可利用本文模型预测结果探讨混凝土硫酸盐侵蚀环境下化学物理机理、细观损伤演化机制以及宏观非线性力学行为之间的内在联系。
1) 短期侵蚀阶段(0 d~60 d)
化学物理机理:通过一系列化学反应和物理结晶,生成膨胀性物质(钙矾石、石膏和硫酸钠盐结晶等),改变了混凝土微结构的组成成分和性能。在侵蚀初期膨胀性产物能够填充混凝土初始微孔隙、微裂缝等,使微裂纹密度减小,微结构密实度提高。
细观损伤演化机制:由于混凝土微观结构的组成成分和力学特征发生改变,导致单轴压缩过程中混凝土材料细观损伤演化累积过程发生变化。屈服损伤模式中εa、εh分别由0 d时的0.461×10-4、0.669×10-4线性增大到60 d时的1.830×10-4、4.309×10-4;而εb由0 d时的7.237×10-4线性减小到60 d时的4.606×10-4。断裂损伤模式中H由0 d时的0.450线性减小到60 d时的0.265。上述4个特征参数能够确定细观屈服、断裂损伤演化过程对应的三角形概率分布具体形态,能够呈现出形象的物理图景。
宏观力学行为:宏观非线性力学行为由微观结构形态和细观损伤机制控制。硫酸盐侵蚀环境下,由于微结构组成和性能以及细观屈服、断裂损伤的演化累积过程发生改变,导致单轴压缩过程中混凝土宏观力学性能在侵蚀初期出现强化现象。随着侵蚀时间的增长,弹性模量E0基本维持不变;名义应力-应变曲线的上升段和下降段的斜率逐渐增大,从缓坡变为陡坡,临界应变逐渐减小;峰值压应力逐渐增大,由0 d时的22.850 MPa增大到60 d时的31.230 MPa;峰值应变缓慢减小。
2) 长期侵蚀阶段(60 d~120 d)
化学物理机理:随着侵蚀时间的增加,生成的膨胀物填满混凝土内部的微孔隙及微裂缝并产生膨胀应力,当超过孔隙的抗拉强度时产生新的微裂缝,导致微裂纹密度增大、微结构力学性能弱化。
细观损伤演化机制:屈服损伤模式中εa、εh分别由60 d时的1.830×10-4、4.309×10-4呈指数型快速锐减到120 d时的0.220×10-4、0.320×10-4;而εb由 60 d 时的 4.606×10-4增大到 120 d 时的9.552×10-4。断裂损伤模式中H由60 d时的0.265增大到120 d时的0.733。
宏观力学行为:随着侵蚀时间的增加,E0由60 d时的1.753×104 MPa线性减小到120 d时的1.096×104 MPa。名义应力-应变曲线的上升段和下降段的斜率逐渐减小,从陡坡变为缓坡,临界应变逐渐增大;峰值压应力快速降低,由60 d时的31.230 MPa减小到120 d时的15.93 MPa;峰值应变逐渐增大。
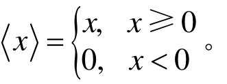
由于试验的复杂性和试验设备的限制,目前文献中鲜有关于硫酸盐侵蚀混凝土双轴力学性能的报道。假设受硫酸盐侵蚀混凝土与未侵蚀混凝土具有类似的双轴力学性能和本构行为,利用本文损伤模型进一步预测侵蚀混凝土在双轴等应变比例加载工况下对应的双轴应力-应变曲线。白卫峰等在文献[15]中预测了遍历双轴压-压等应变比例加载路径下应力-应变曲线所形成的包络曲面,与文献[12]试验吻合良好。参考文献[15],参数取值:k20 = 0.132、k21=0.6。定义应变比a=ε2:ε3,取值范围:-0.167∶1(单轴压缩)~1∶1(双轴等比例压缩)。
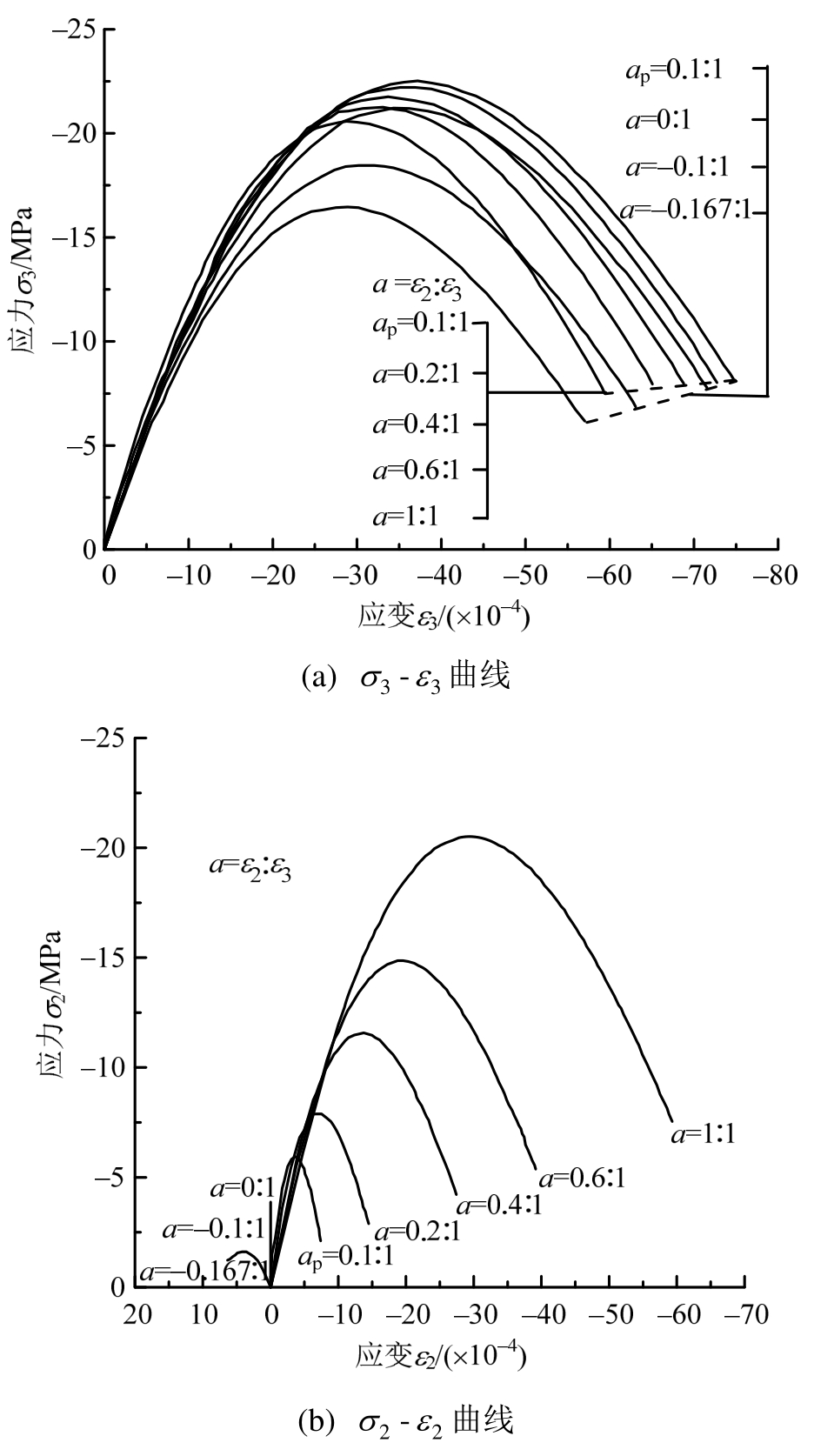
图15~图17分别显示了侵蚀天数T=0 d、60 d、120 d的混凝土在遍历双轴压-压应变比例加载路径下对应的应力-应变曲线。
1) 3方向应力-应变曲线包络面形状特征
如图15(a)所示,未侵蚀混凝土(T=0 d) 3方向应力-应变曲线所形成的包络面呈现两个交叠面的形态。存在一最大峰值应力状态曲线,设对应加载应变比a=ap 。a在[-0.167,ap]区间时,曲线呈现向外扩张趋势,峰值应力状态和临界状态对应应力、应变值随着a的增大而增大,且增长迅速;a在[ap,1]区间时,曲线呈现向内收缩趋势,峰值应力状态和临界状态对应应力、应变值随着a增大而减小,且变化速率较慢。上述双轴压-压应力-应变曲线的变化趋势与文献[12]中的试验结果一致。如图16(a)、图17(a)所示,侵蚀混凝土3方向应力-应变曲线表现出类似的规律;T=60 d时,曲线下降段很短;T=120 d时,曲线下降段变的很长。


图15 双轴压-压应变比例加载工况下应力-应变曲线(T=0 d)
Fig.15 Stress-strain curves under biaxial compression in strain proportional loading cases (T=0 d)

图16 双轴压-压应变比例加载工况下应力-应变曲线(T=60 d)
Fig.16 Stress-strain curves under biaxial compression in strain proportional loading cases (T=60 d)

图17 双轴压-压应变比例加载工况下应力-应变曲线(T=120 d)
Fig.17 Stress-strain curves under biaxial compression in strain proportional loading cases (T=120 d)

图18 双轴压-压强度包络图
Fig.18 Strength envelope under biaxial compression
2) 2方向应力-应变曲线形状特征
如图15(b)所示,a在[-0.167,1]区间时,随着a的减小,未侵蚀混凝土(T=0 d) 2方向应力-应变曲线逐渐收缩,峰值应力状态和临界状态对应应力、应变值逐渐减小;当a<0时,ε2变为拉应变。如图16(b)、图17(b)所示,侵蚀混凝土2方向应力-应变曲线表现出类似的规律;T=60 d时,曲线下降段很短;T=120 d时,曲线下降段变的很长。
3) 双轴压-压强度包络线特征
如图18所示,从预测的应力-应变曲线中进一步提取名义峰值应力获得不同侵蚀时期混凝土对应的双轴压-压强度包络线,其中fc=-22.850 MPa(未侵蚀混凝土单轴压缩强度)。图中同时显示了Li等[12]、Kupfer等[18]强度包络线试验数据。当T=0 d时,预测的未侵蚀混凝土曲线形状符合混凝土双轴压-压强度包络线一般特征[19],双轴受压下的混凝土抗压强度显著提高;随应力比(变化范围0~1)的增大,混凝土抗压强度先增大后减小;应力比为0.26时抗压强度达到最大,为单轴抗压强度的1.39倍;应力比为1时抗压强度是单轴抗压强度的1.25倍。不同侵蚀时期混凝土对应强度包络线具有相似规律。以T=60 d为界,当T在[0,60]区间时,随着侵蚀天数的增加,强度包络线呈现向外“扩张”的趋势;T=60 d时,各应力比对应的双轴强度均达到最大值,应力比为0.26和1时抗压强度分别是未侵蚀混凝土单轴抗压强度的1.82倍和1.67倍。当T在[60,120]区间时,强度包络线呈现向内“收缩”的趋势,且在[60,90]区间时“收缩”最为显著;T=120 d时,各应力比对应的双轴强度均达到最小值,应力比为0.26和1时抗压强度分别是未侵蚀混凝土单轴抗压强度的0.98倍和0.90倍。
(1) 基于统计损伤理论,本文建立了考虑硫酸盐侵蚀效应的混凝土单轴、双轴压缩统计损伤本构模型。考虑断裂和屈服两种细观损伤模式,将整个变形破坏过程分为均匀损伤和局部破坏两个阶段;区分峰值名义应力状态和临界状态。该模型能够很好地反映不同侵蚀程度混凝土“峰值”前后强化段、软化段本构行为的关联性。建议将临界状态作为本构模型的最终破坏点,这种做法即充分考虑材料均匀受力阶段的延性,同时又避免过多考虑出现宏观裂纹后本构模型尺寸效应的影响。
(2) 损伤模型包含5个特征参数:E0为初始弹模,εa、εh、εb和H分别表征细观屈服损伤和断裂损伤对应的三角形概率分布形态,物理意义明确。通过理论预测和试验结果分析表明:随着硫酸盐侵蚀时间的增长,上述参数的变化显示出明显的规律性,其中断裂损伤模式与微裂纹萌生和扩展的过程密切相关,屈服损伤模式反映了材料潜在力学性能发挥的能力;能够有效的揭示混凝土材料物理化学侵蚀机理、细观损伤演化机制与宏观非线性本构行为之间的内在联系。利用本文模型可进一步开展复杂环境下侵蚀混凝土宏观力学性能及细观损伤机制方面的研究。
(3) 混凝土侵蚀劣化是一个复杂的过程,受到诸多因素的影响,包括侵蚀介质的类型、浓度、侵蚀时间、混凝土材料属性、周围环境(湿度、温度等)和应力状态等。由于文章篇幅以及试验资料的限制,本文模型仅考虑时间因素的影响,预测的受侵蚀混凝土双轴压缩本构行为还缺乏直接的试验验证。本文损伤模型是否适用于其它因素对混凝土侵蚀机理的影响分析,还有待今后进一步的深入研究。
[1] 范颖芳,王大为,栾海洋.模拟酸沉降环境混凝土梁承载性能研究[J].工程力学,2014,31(4): 147―154,177.Fan Yingfang,Wang Dawei,Luan Haiyang.Study on the load carrying capacity of reinforced concrete beams under acid precipitation [J].Engineering Mechanics,2014,31(4): 147―154,177.(in Chinese)
[2] 王海龙,董宜森,孙晓燕,等.干湿交替环境下混凝土受硫酸盐侵蚀劣化机理[J].浙江大学学报: 工学版,2012,46(7): 1255―1261.Wang Hailong,Dong Yisen,Sun Xiaoyan,et al.Damage mechanism of concrete deteriorated by sulfate attack in wet-dry cycle environment [J].Journal of Zhejiang University (Engineering Science),2012,46(7): 1255―1261.(in Chinese)
[3] 李悦,管忠正,王鹏.海洋环境下腐蚀混凝土力学性能研究进展[J].武汉理工大学学报,2015,37(3): 83―89.Li Yue,Guan Zhongzheng,Wang Peng.Recent development on mechanical properties of concretecorrosion in marine environment [J].Journal of Wuhan University of Technology,2015,37(3): 83―89.(in Chinese)
[4] 汤海昌.硫酸盐侵蚀下混凝土的耐久性分析[D].南京: 南京理工大学,2008.Tang Haichang.The durability analysis of concrete subjected to sulfate attack [D].Nanjing: Nanjing University of Science and Technology,2008.(in Chinese)
[5] 陈钱.海水侵蚀混凝土的微观及动态性能试验研究[D].宁波: 宁波大学,2012.Chen Qian.Experimental study on the micro and dynamic performance of seawater eroded concrete [D].Ningbo: Ningbo University,2012.(in Chinese)
[6] 蒋敏强,陈建康,杨鼎宜.硫酸盐侵蚀水泥砂浆动弹性模量的超声检测[J].硅酸盐学报,2005,33(1): 126―132.Jiang Minqiang,Chen Jiankang,Yang Dingyi.Dynamic modulus of cement mortar in sulphate erosion measured by ultrasonic checking [J].Journal of the Chinese Ceramic Society,2005,33(1): 126―132.(in Chinese)
[7] 施峰,汪俊华.硫酸盐侵蚀混凝土立方体的性能退化[J].混凝土,2013,281(3): 52―54.Shi Feng,Wang Junhua.Performance degradation of concrete cube attacked by sulfate [J].Concrete,2013,281(3): 52―54.(in Chinese)
[8] 梁咏宁,袁迎曙.硫酸盐腐蚀后混凝土单轴受压应力应变全曲线[J].混凝土,2005,189(7): 59―61.Liang Yongning,Yuan Yingshu.Stress-strain curves under uniaxial compression of sulfate attacked concrete[J].Concrete,2005,189(7): 59―61.(in Chinese)
[9] 杜修力,金浏.非均质混凝土材料破坏的三维细观数值模拟[J].工程力学,2013,30(2): 82―88.Du Xiuli,Jin Liu. Numerical simulation of three-dimensional meso-mechanical model for damage process of heterogeneous concrete [J].Engineering Mechanics,2013,30(2): 82―88.(in Chinese)
[10] 余志武,吴玲玉,单智.混凝土确定性及随机性损伤本构模型研究进展[J].工程力学,2017,34(9): 1―12.Yu Zhiwu,Wu Lingyu,San Zhi.Models for deterministic and stochastic damage constitutions of concrete—A short review [J].Engineering Mechanics,2017,34(9):1―12.(in Chinese)
[11] Krajcinovic D,Silva M A G.Statistical aspects of the continuous damage theory [J].International Journal of Solids and Structures,1982,18(7): 551―562.
[12] Li Jie,Ren Xiaodan.Stochastic damage model for concrete based on energy equivalent strain [J].International Journal of Solids and Structures,2009,46(11): 2407―2419.
[13] 白卫峰,陈健云,胡志强,等.准脆性材料单轴拉伸破坏全过程物理模型研究[J].岩石力学与工程学报,2007,26(4): 670―681.Bai Weifeng,Chen Jianyun,Hu Zhiqiang,et al.Study on physical model of complete failure process of quasi-brittle materials in tension [J].Chinese Journal of Rock Mechanics and Engineering,2007,26(4): 670―681.(in Chinese)
[14] Bai Weifeng,Chen Jianyun,Lin Gao,et al.The statistical damage constitutive model for concrete materials under uniaxial compression [J].Journal of Harbin Institute of Technology (New Series),2010,17(3): 338―344.
[15] 白卫峰,张树珺,管俊峰,等.混凝土正交各向异性统计损伤本构模型研究[J].水利学报,2014,45(5): 607―618.Bai Weifeng,Zhang Shujun,Guan Junfeng,et al.Orthotropic statistical damage constitutive model for concrete [J].Journal of Hydraulic Engineering,2014,45(5): 607―618.(in Chinese)
[16] 白卫峰,郭磊,陈守开,等.混凝土统计损伤力学[M].北京: 中国水利水电出版社,2015.Bai Weifeng,Guo Lei,Chen Shoukai,et al.Statistical damage mechanics of concrete [M].1st ed.Beijing:China Water Power Press,2015.(in Chinese)
[17] 白以龙,汪海英,夏蒙棼,等.固体的统计细观力学—连接多个耦合的时空尺度[J].力学进展,2006,36(2): 286―305.Bai Yilong,Wang Haiying,Xia Mengfen,et al.Statistical Mesomechanics of Solid,Linking Coupled Multiple Space and Time Scales [J].Advances in Mechanics,2006,36(2): 286―305.(in Chinese)
[18] Kupfer H,Hilsdorf H K,Rüsch H.Behavior of concrete under biaxial stresses [J].American Concrete Institute Journal,1969,66 (8): 656―666.
[19] 过镇海.混凝土的强度和变形—试验基础和本构关系[M].北京: 清华大学出版社,1997.Guo Zhenhai.The strength and deformation of concrete——experimental basis and constitutive relation [M].Beijing: Tsinghua University Press,1997.(in Chinese)
THE CONSTITUTIVE MODEL OF CONCRETE SUBJECTED TO SULFATE ATTACK BASED ON STATISTICAL DAMAGE THEORY
刘霖艾(1992―),女,山东人,硕士生,主要从事混凝土损伤力学研究(E-mail: 270096126 @qq.com);
管俊峰(1980―),男,河南人,副教授,博士,硕导,主要从事混凝土断裂力学研究(E-mail: shuaipipi88@126.com);
姚贤华(1976―),男,河南人,实验师,博士,主要从事混凝土断裂力学实验研究(E-mail: yaoxianhua@ncwu.edu.cn).