随着计算机数值模拟技术的快速发展,计算风工程在土木工程领域的研究与应用越来越广泛。尽管计算流体动力学(computational fluid dynamics,CFD)在模拟大气边界层的各种复杂气流中取得了长足的进步[1],但是对于大气边界层中最简单的情形,即不可压缩中性层结水平均匀稳态正压大气边界层的模拟依然存在很多问题。
在超高层建筑风致响应研究中,风场的准确模拟是建筑绕流计算的先决条件[2-4]。因此在建筑绕流模拟之前,应该在空流域或建筑前方影响范围外,实现风场的所谓自保持[5-6]。Richards和Hoxey[7]基于标准k-ε模型,建议了一组适用于近地层的边界条件,该成果在城市风环境和建筑绕流中得到了广泛的应用[8-9]。包括Blocken等[2]、Hargreaves和Wright[10]、张建和杨庆山[11]、方平治等[12]在内的诸多学者致力于对壁面函数以及粗糙度参数的修正,以实现近地面风场的准确模拟和自保持。Yang等[13-14]基于大气边界层平衡态假设,从湍动能k输运方程中推导出了k的解析表达式,并建议了一组新的入流边界条件。Parente等[15-16]对k-ε两方程分别添加了源项,以实现入口边界条件和模型方程的相容。Hargreaves和Wright[10]、O’Sullivan等[17]、Richards和Norris[3]还强调了流域顶部边界条件对于实现自保持的重要性。
然而,以上研究最大的不足在于仅着眼于近地层,这必然使大气边界层的模拟变得不完整。如图1所示,大气边界层由近地层和Ekman层组成,而Ekman层大约占大气边界层高度的90%左右。Ekman层的一个重要特点是,由科氏力导致的风向沿高度的变化一般不可忽略[18-19]。对于千米级超高层建筑而言,规范规定的梯度风高度以上的风荷载将会对风致响应产生很大影响,甚至可能是决定性的;风向随高度的偏转将使得结构底部区域与顶部区域明显处于不同的激励作用下,可能出现复杂的耦合振动情况[20]。但是,传统边界层风洞难以模拟风向随高度的偏转,到目前为止,考虑风向随高度偏转对超高层建筑影响的相关研究还极少。因此,从基本方程出发对考虑风向随高度偏转的大气边界层进行CFD模拟和自保持实现方法的探讨,是非常有意义的一项工作,也是后续风荷载特性和风致响应研究的前提。

图1 大气边界层的组成
Fig.1 Composition of the atmospheric boundary layer
本文从基本方程出发,对不可压缩中性层结水平均匀稳态正压大气边界层的自保持方法进行了探讨,主要包括少量网格预前模拟、主模拟和近地面物理量调整三个步骤。通过对比CFD模拟结果和相关实测结果等,验证了CFD模拟大气边界层结果的合理性。通过对比出流面和监测面各物理量相比于入流面的误差,验证了自保持方法的有效性。
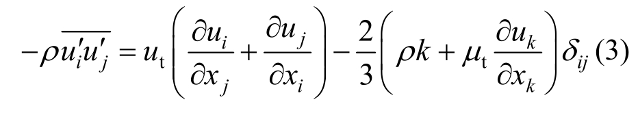
所谓预前模拟,是指在模拟主要研究对象之前,设立单独的计算域,对入口湍流进行模拟,而后将模拟得到的入口边界条件施加于主模拟计算域的方法[21]。图2给出了预前模拟法示意图。预前模拟可以得到满足湍流模型方程的风场,可以形成符合约束条件的相对真实的大气边界层风剖面。由于本文研究的大气边界层满足稳态假定,因此并不涉及时间存储的问题;水平均匀性假定也使得预前模拟只需满足竖向的网格划分与随后主模拟(即自保持研究)所用网格的竖向划分一致即可,在水平方向可以采用数目较少的网格甚至是一个网格,故称“少量网格预前模拟”。这种方法经常在气象学的相关模拟中被采用[22-23],类似的方法也在地形风场模拟和建筑绕流的前期风场模拟中被采用[17,24]。

图2 预前模拟法示意图
Fig.2 Diagram of the pre-simulation method
在主模拟中,自保持的实现至少需要处理以下三方面的相容问题:1) 来流边界条件和湍流模型的相容问题;2) 壁面函数和湍流模型的相容问题;3) 来流边界条件和壁面函数的相容问题[25]。由少量网格预前模拟得到的大气边界层风场可以很好地与湍流模型和壁面函数相适应,而壁面函数和湍流模型的相容问题已由CFD计算软件(如ANSYS Fluent)内置解决。因此以上三方面问题已经基本解决,这在很大程度上有利于后续风场自保持的实现。
本文对大气边界层的CFD模拟基于RANS(Reynolds-averaged Navier-Stokes)模型,引入不可压缩中性层结水平均匀稳态正压大气边界层假定,并忽略分子粘度和空气重力,则连续性方程和动量方程可以表述为:

式中:ui表示平均风速分量;p为压力;ρ为空气密度;f为科里奥利参数(f=2ωsinφ,φ为纬度,ω为地球自转角速度);εijk表示交换张量;
表示雷诺应力与空气密度的比值。式(2)等号右边三项依次为科里奥利力、水平气压梯度力和湍流摩擦力。
为了使动量方程闭合,引入Boussinesq假定,将雷诺应力与平均速度梯度联系起来:

式中:μt为湍动粘度;k为湍动能;δij为Kronecker张量符号。
不失一般性,下文以k-ε模型为例,探讨大气边界层的自保持方法。引入不可压缩中性层结水平均匀稳态正压大气边界层假定,并忽略分子粘度,标准k-ε模型可表达如下:

式中:Gk表示由于平均速度梯度引起的湍动能k的产生项;ε为湍动能耗散率;Sk和Sε为自定义源项;C1ε、C2ε、Cμ、σk和σε为模型常数。
然而,诸多气象学研究者[26-32]发现,当标准k-ε模型直接用于模拟大气边界层时,相比于实测结果[33],平均风速大小和风偏角均明显被低估,平均风速剖面无明显拐点,大气边界层高度被高估。为了解决这一问题,他们提出了各自的解决方案[26-32]。本文拟采用Apsley和Castro[30]提出的方法对ε方程进行改进,将ε方程中的C1ε用
代替如下:
式中:C1ε和C2ε为模型常数;lmax为边界层最大混合长度;lm为局地混合长度(即湍流长度尺度),lm=
。
式(7)的引入,使得当局地混合长度接近最大混合长度时,
与C2ε近似相等,由此在局地平衡假定下(湍动能生成项等于湍动能耗散率),ε方程中的生成项和耗散项也将平衡,从而使得局地混合长度受到限制;另一方面,当局地混合长度远小于最大混合长度时,
与C1ε近似相等,此时修改后的k-ε方程与标准k-ε方程并无二致。这种由式(7)建立的湍动能耗散率生成项和湍流长度尺度之间的反馈机制,使得大气边界层的CFD模拟结果与实测结果非常接近。
建筑结构的风洞试验和数值模拟通常采用缩尺模型,其理论依据是流动的相似性原理。从流体运动的基本方程出发,可寻求流体流动的一般相似性判据。
一般地,在缩尺模型风洞试验和数值模拟中,模型和原型之间须满足几何相似和运动相似[34]。对于几何相似,只要几何缩尺比λL维持一定,就能保证两个流动保持几何相似。运动相似则指的是原型和模型的流体运动遵循同一微分方程,物理量之间的比值互相约束。粘性不可压缩流的相似准则要求,模型和原型的流动中,斯托罗哈数St、雷诺数Re、欧拉数Eu和弗劳德数Fr均应保持一致[34]。
然而,由于实际流动的复杂性和试验模拟条件所限,同时满足以上四个相似准则十分困难,特别是雷诺数Re相似准则几乎不可能实现[34]。另外,欧拉数Eu实际上并不是相似准则,而是其他相似准则的函数,即它不是相似条件,而是相似结果,且斯托罗哈数St在稳态流动中不必考虑[34]。因此,本文在数值模拟中,基于几何缩尺比λL、风速缩尺比λV和密度缩尺比λρ这三个基本缩尺比,重点考虑了弗劳德数Fr的相似,考虑的质量力为科氏力,空气重力可以忽略[34]。在气象学中,考虑科氏力的弗劳德数Fr又称为罗斯贝数Ro。
本文数值模拟采用的几何缩尺比λL为1∶1000,风速缩尺比λV为1∶5,密度缩尺比λρ为1∶1。考虑科氏力的弗劳德数Fr,即罗斯贝数Ro定义如下:

式中:F表示质量力(具有加速度量纲);V表示风速,L表示长度;f为科里奥利参数。由罗斯贝数相似准则可导出科里奥利参数f的缩尺比λf =λV/λL=200∶1。
本文采用著名的Leipzig实测风剖面作为目标风场的平均风速剖面。Leipzig风剖面于1931年由探空测风气球测得,并经Lettau于1950年重新复核[33]。表1给出了Leipzig实测风剖面的风场参数,以及缩尺后用于CFD模拟的风场参数。表中G为地转风速,φ为纬度,u*为摩擦速度,z0为空气动力学粗糙长度,f为科里奥利参数,θ0表示风偏角。关于目标风场的湍动能剖面,有大量现场实测、风洞试验以及数值模拟资料可供参考[35-38]。
表1 Leipzig风剖面参数
Table 1 Leipzig wind profile parameters

类别G/(m/s)φ/(°)u*/(m/s)z0/mf/(1/s) θ0/(°)实测 17.5 51 0.65 0.30 1.13×10-4 26.1模拟 3.5 51 0.13 3×10-4 0.0226 26.1
针对Leipzig实测风剖面,可确定粗糙高度Ks=9.793z0/Cs数值[2],Cs为粗糙度常数。考虑到近壁面最小网格尺寸Δm>2Ks的需要,兼顾标准壁面函数对y+值的要求,确定了如表2的三组长方体计算域网格方案,x、y、z方向的定义如图3所示,其中x向和y向网格均匀划分,z向网格划分采用竖向增长,由密到疏。
表2 预前模拟所用网格
Table 2 Meshes used for pre-simulations

网格方案x、y、z各向边长/m x、y、z各向网格数网格总数最小网格尺寸Δm/m竖向增长率网格-a 1×1×5 5×5×30 750 0.075 1.050网格-b 1×1×5 5×5×60 1500 0.0375 1.024网格-c 1×1×5 5×5×30 750 0.15 1.007

图3 预前模拟区域边界条件
Fig.3 Boundary conditions for pre-simulations
湍流模型常数的取值,随研究问题的性质不同而异。一般说来,C1ε和C2ε改动不宜过大,因为这两个常数是由均匀剪切湍流和衰减格栅湍流试验推导而得。对于中性层结自由流,湍流时间尺度τ=k/ε不随时间而变,此时Gk/ρε可表示为[29,32,39]:

诸多研究表明,Cμ在大气边界层的模拟中,取值与推荐值不同,常取Cμ≈0.03[13,23,29,40]。关于σε,由以下约束关系确定,以使在近地层中能够再现对数律[23,30,32]:

式中:冯·卡门常数κ取相关文献推荐值0.4[23,29,32,41]。σk的取值没有严格规定。
除了标准k-ε模型本身的常数外,本文采用的模型只引入了一个多余的参数lmax。Koblitz等[23]指出lmax取0.028 m(对应实际28 m)时,模拟结果和实测结果吻合得很完美,本文采用此值。
表3给出了Launder和Spalding对于标准k-ε模型常数的推荐值[42]和本文选取的模型常数值(模型常数值通过优化而得,限于篇幅,此处从略)。
表3 模型常数取值
Table 3 Model constant values

模型常数Cμ κC1εC2εσkσε标准取值 0.09 0.4~0.42 1.44 1.92 1.0 1.3本文取值 0.03 0.4 1.52 1.833 1.0 2.951
少量网格预前模拟采用的边界条件设置见图3和表4。
假定地转风方向平行于x轴,为了驱动空气形成风场,需要施加压力梯度。考虑到在正压大气边界层中,水平气压梯度力不随高度变化,则水平气压梯度力可由地转平衡推导得到:

式中:ρ为空气密度;f为科里奥利参数;ug为地转风速x向分量;vg为地转风速y向分量。
表4 预前模拟区域边界条件
Table 4 Boundary conditions for pre-simulations

位置 边界条件与x轴正交两侧面 平移式周期边界(translational periodic),指定水平压力梯度如式(11)和式(12)与y轴正交两侧面顶面 自由滑移边界(symmetry)底面壁面边界(wall),采用标准壁面函数,考虑粗糙壁面修正,,粗糙度常数Cs=0.5,粗糙高度Ks=9.793z0/Cs≈5.8758×10-3 m<Δm/2[2],Δm表示近壁面最小网格尺寸
为了使风向随高度形成偏转,需要在动量方程中加入科氏力。由于ANSYS Fluent的内置动量方程中未引入科氏力,因此需要以源项形式加入,可通过内置的UDF(user-defined function,用户自定义函数)源项宏实现。
为了使CFD模拟结果更加接近实测,式(7)可以通过UDF源项宏的形式植入ANSYS Fluent。
采用ANSYS Fluent 14.5模拟平台,求解设置压力—速度耦合方式为SIMPLEC,动量方程和湍流模型方程非线性对流项采用QUICK格式离散,压力插值格式采用standard,梯度插值方法采用least squares cell based。所有变量和连续性方程的残差收敛标准设置为10-6。
图4和图5分别给出了采用3组网格方案采用网格a~c模拟所得x向平均风速u、y向平均风速v、平均合风速(u2+v2)1/2和平均风偏角θ的模拟结果,并将Leipzig实测结果[33]和Ekman理论解示于图中。图6给出了无量纲化湍动能的模拟结果(用
对湍动能k无量纲化,用大气边界层高度h对z无量纲化,h取Detering和Etling[27]给出的1.6 m,代表实际1.6 km,下同),并将由Detering和Etling[27]推演得到 Leipzig实测中的湍动能,Grant[35]、Brost等[36]的实测结果,Esau[37]针对不同大气边界层高度h的LES模拟结果,以及同济大学D类风场风洞试验湍动能值[38]示于图中,以供对比和参考。其中,同一高度处的各物理量取了平均。

图4 平均风速随高度的变化曲线
Fig.4 Profiles of mean wind velocity with height
由图4~图6可见,通过调整k-ε模型基本参数,模拟所得平均风速、风偏角和湍动能均与实测结果较为吻合。由于经典Ekman解的前提是湍动粘性系数为常量(本文取为0.0016 m2/s),所以其值与CFD模拟结果有一定的偏差,但是趋势一致。对于无量纲化湍动能而言,本文模拟结果与实测结果较为吻合;在近地面,相比LES模拟结果和风洞试验结果,本文模拟结果略微偏大。总体而言,预前模拟结果较为合理,可以满足后续自保持研究和建筑绕流模拟的需要。

图5 平均风偏角随高度的变化曲线
Fig.5 Profiles of wind veering angle with height

图6 无量纲化湍动能随高度的变化曲线
Fig.6 Profiles of non-dimensional turbulent kinetic energy with non-dimensional height
为了检验方法的适用性,采用表5中的3组长方体计算域网格方案自保持a~c,x、y、z方向的定义如图7所示,其中x向和y向网格均匀划分,z向网格划分采用竖向增长,由密到疏。值得一提的是,主模拟所用网格的竖向划分与预前模拟所用网格的竖向划分完全一致。
表5 主模拟所用网格
Table 5 Meshes used for main simulations

网格方案x、y、z各向边长/m x、y、z各向网格数网格总数最小网格尺寸Δm/m竖向增长率自保持-a 15×15×5 75×75×30 168750 0.075 1.050自保持-b 15×15×5 75×75×60 337500 0.0375 1.024自保持-c 15×15×5 75×75×30 168750 0.15 1.007
在主模拟中,将1.7中通过调整k-ε模型基本参数预前模拟所得平均风速剖面、湍动能剖面和湍动能耗散率剖面以入流边界条件的形式施加于主模拟区域中。为了使主模拟区域尺寸合理且利于自保持的实现,参考Franke等[22]提出的对流域尺寸的建议值,并结合后续建筑绕流模拟所需,得到流域尺寸和边界条件见图7所示和表6。其中,入流边界和出流边界均为折面,H表示后续建筑绕流研究中的目标建筑高度,得到流域尺寸和边界条件见图7和表6。其中,入流边界和出流边界均为折面取H=1 m(代表实际建筑高度1 km)。
需要强调的是,后续建筑绕流模拟采用的上游和下游的边界条件分别为速度入口边界(velocity inlet)和完全发展自由出流边界(outflow),故大气边界层的主模拟中也采用了此边界。由于以速度入口边界给定的风场风向已随高度偏转,且速度入口边界可作为“风场驱动源”,故可在求解中去掉动量方程中的科氏力源项,也去掉压力梯度驱动项。为了实现自保持,应保留式(7)的形式,即保留ε方程源项宏。其余参数设置和求解设置同前。

图7 主模拟区域边界条件
Fig.7 Boundary conditions for main simulations
表6 主模拟区域边界条件
Table 6 Boundary conditions for main simulations

位置 边界条件入流面 速度入口边界,利用UDF给定1.7中模拟所得平均风速、湍动能和湍动能耗散率出流面 完全发展自由出流边界顶面 自由滑移边界(symmetry)底面壁面边界(wall),采用标准壁面函数,考虑粗糙壁面修正,粗糙度常数Cs=0.5,粗糙高度Ks=9.793z0/Cs≈5.8758×10-3 m<Δm/2[2],Δm表示近壁面最小网格尺寸
在主模拟中布置监测面(monitor1~4)用以监测流域不同位置处各物理量沿高度的变化规律,其位置布置如图8所示,监测面距离后续建筑绕流研究中的目标建筑中心0.5H。图9~图13分别给出了模拟所得不同位置处(入流面(inlet)、出流面(outlet)和监测面(monitor1~4))的平均风速u、平均风速v、平均合风速、平均风偏角θ和无量纲化湍动能随高度的变化曲线,同一高度处的各物理量取了平均。由图9~图13可以看出,虽然监测面和出流面的平均风速、平均风偏角和湍动能剖面相比入流面有所变化(特别是在近地面),但是总体而言,风场在流域中得到了较好的保持。

图8 监测面示意图
Fig.8 Diagram of the monitoring surfaces

图9 平均风速u随高度的变化曲线
Fig.9 Profiles of wind velocity componentu with height

图10 平均风速v随高度的变化曲线
Fig.10 Profiles of wind velocity componentv with height

图11 平均合风速随高度的变化曲线
Fig.11 Profiles of wind resultant velocity with height

图12 平均风偏角随高度的变化曲线
Fig.12 Profiles of wind veering angle with height

图13 无量纲化湍动能随高度的变化曲线
Fig.13 Profiles of non-dimensional turbulent kinetic energy with non-dimensional height
为了更加清楚地反映监测面和出流面各物理量相对于入流面的变化,特定义归一化误差如式(13)~式(17):


式中:err_u(%)表示平均风速u;err_v(%)表示平均风速v;err_mag(%)表示平均合风速、err_θ(%)表示平均风偏角;err_k(%)表示湍动能的归一化误差,下标inlet代表入流面;G表示地转风速;θ0表示风偏角(具体数值见表1);k0定义为
。
图14~图18分别给出了出流面和监测面(monitor 1~4)各物理量相比于入流面的归一化误差。由图可见,平均风速u的最大误差不超过4%,平均风速v的最大误差不超过5%,平均合风速的最大误差不超过5%,平均风偏角θ的最大误差不超过14%,湍动能的最大误差不超过20%。由此可见,各物理量在风场中得到了较好的保持。

图14 平均风速u归一化误差随高度的变化曲线
Fig.14 Normalized errors of wind velocity componentu with height

图15 平均风速v归一化误差随高度的变化曲线
Fig.15 Normalized errors of wind velocity componentv with height

图16 平均合风速归一化误差随高度的变化曲线
Fig.16 Normalized errors of wind resultant velocity with height

图17 平均风偏角归一化误差随高度的变化曲线
Fig.17 Normalized errors of wind veering angle with height

图18 湍动能归一化误差随高度的变化曲线
Fig.18 Normalized errors of turbulent kinetic energy with height
由2.3中的结果可以看到,虽然主模拟已经较好地实现了风场自保持,但是近地面各物理量的保持仍然不够理想。这一误差产生的原因主要是:一方面,大气边界层的预前模拟只采用了少量网格,仅相当于主模拟区域的“子域”;另一方面,由于预前模拟的风场驱动源是水平压力梯度,风向偏转是由科氏力导致,而在主模拟区域中,风场的驱动源是速度入口,风向偏转亦由入口引入,势必会在一定程度上影响风场自保持的实现。
鉴于误差主要出现在近地面这一事实,可以对近地面物理量稍加处理,以期达到更好的自保持效果。此处拟采用对近地面第一层网格指定固定速度、湍动能和湍动能耗散率的办法。在ANSYS Fluent中,允许采用Fixed Values操作,实现对流域的某个区域施加固定物理量值;这种操作本质上是对流域施加了固定值边界条件(Dirichlet边界条件)。具体而言,首先在划分网格时,应将近地面第一层网格单独指定为一个Zone;随后在ANSYS Fluent的Fluid Dialog Box中激活Fixed Values选项,通过UDF中的DEFINE_PROFILE宏对近地面第一层网格的速度、湍动能和湍动能耗散率进行指定;最后将原来的壁面Wall边界改为Symmetry边界。其中,近地面第一层网格的各物理量取值与原入流边界相应位置处的各物理量取值一致,这就保证了模拟所得各物理量在近地面第一层网格的数值与原入流剖面的相应数值完全一致;而近地面第一层网格的各物理量数值本身作为整个流域底部的边界条件,也会对整个流域产生有利于自保持的作用。
图19~图23分别给出了出流面(outlet)和监测面(monitor1~4)各物理量相比于入流面(inlet)的归一化误差。由图可见,平均风速u的最大误差不超过3%,平均风速v的最大误差不超过2%,平均合风速的最大误差不超过4%,平均风偏角θ的最大误差不超过4%,湍动能的最大误差不超过6%。由此可见,各物理量在风场中得到了很好的保持,且保持性结果优于2.3中的结果。另外,相比于2.3中的结果,本方法计算所得各物理量的最大归一化误差的出现位置向较高位置转移,但是总体数值有了很大的减小,平均风速、平均风偏角和湍动能的自保持性得到了很好的改善。

图19 平均风速u归一化误差随高度的变化曲线
Fig.19 Normalized errors of wind velocity componentu with height

图20 平均风速v归一化误差随高度的变化曲线
Fig.20 Normalized errors of wind velocity componentv with height

图21 平均合风速归一化误差随高度的变化曲线
Fig.21 Normalized errors of wind resultant velocity with height

图22 平均风偏角归一化误差随高度的变化曲线
Fig.22 Normalized errors of wind veering angle with height

图23 湍动能归一化误差随高度的变化曲线
Fig.23 Normalized errors of turbulent kinetic energy with height
本文对近年来大气边界层自保持问题的研究进行了梳理和总结。从基本方程出发,采用少量网格预前模拟、主模拟和近地面物理量调整三个步骤,对考虑风向随高度偏转风场的自保持实现方法进行了探讨,用算例验证了方法的有效性,得到如下结论:
(1) 通过修改ε方程中的C1ε参数,建立湍动能耗散率生成项和湍流长度尺度之间的反馈机制,可以取得与实测较一致的模拟结果。
(2) 将“少量网格预前模拟”得到的风场应用于主模拟中,平均风速、平均风偏角和湍动能均可以在流域中得到较好的保持。
(3) 通过ANSYS Fluent中的Fixed Values操作进行近地面物理量调整,可以取得更加理想的自保持结果。
[1] Blocken B,Gualtieri C.Ten iterative steps for model development and evaluation applied to computational fluid dynamics for environmental fluid mechanics [J].Environmental Modelling and Software,2012,33(1):1―22.
[2] Blocken B,Stathopoulos T,Carmeliet J.CFD simulation of the atmospheric boundary layer: wall function problems [J].Atmospheric Environment,2007,41(26):238―252.
[3] Richards P J,Norris S E.Appropriate boundary conditions for computational wind engineering models revisited [J].Journal of Wind Engineering and Industrial Aerodynamics,2011,99(4): 257―266.
[4] Zheng D,Zhang A,Gu M.Improvement of inflowboundary condition in large eddy simulation of flow around tall building [J].Engineering Applications of Computational Fluid Mechanics,2012,6(4): 633―647.
[5] 唐煜,郑史雄,赵博文,等.平衡大气边界层自保持问题的研究[J].工程力学,2014,31(10): 129―135.Tang Yu,Zheng Shixiong,Zhao Bowen,et al.Numerical investigation on the self-sustaining of equilibrium atmosphere boundary layers [J].Engineering Mechanics,2014,31(10): 129―135.(in Chinese)
[6] 罗凯文,杨易,谢壮宁.基于k-ε模型模拟平衡态大气边界层的比较研究[J].工程力学,2018,35(2): 21―29.Luo Kaiwen,Yang Yi,Xie Zhuangning.A comparative study on the simulation of neutral atmospheric boundary layer based on thek-ε turbulence model [J].Engineering Mechanics,2018,35(2): 21―29.(in Chinese)
[7] Richards P J,Hoxey R P.Appropriate boundary conditions for computational wind engineering models using thek-ε turbulence model [J].Journal of Wind Engineering and Industrial Aerodynamics,1993,46&47:145―153.
[8] Franke J.Recommendations of the COST action C14 on the use of CFD in predicting pedestrian wind environment [C]// Organizing Committee of the 4th International Symposium on Computational Wind Engineering.Proceedings of the 4th International Symposium on Computational Wind Engineering.Yokohama: Organizing Committee of the 4th International Symposium on Computational Wind Engineering,2006: 529―532.
[9] Tominaga Y,Mochida A,Yoshie R,et al.AIJ guidelines for practical applications of CFD to pedestrian wind environment around buildings [J].Journal of Wind Engineering and Industrial Aerodynamics,2008,96(10):1749―1761.
[10] Hargreaves D M,Wright N G.On the use of thek-ε model in commercial CFD software to model the neutral atmospheric boundary layer [J].Journal of Wind Engineering and Industrial Aerodynamics,2007,95(5):355―369.
[11] 张建,杨庆山.基于标准k-ε模型的平衡大气边界层模拟[J].空气动力学学报,2009,27(6): 729―735.Zhang Jian,Yang Qingshan.Application of standardk-ε model to simulate the equilibrium ABL [J].Acta Aerodynamica Sinica,2009,27(6): 729―735.(in Chinese)
[12] 方平治,顾明,谈建国,等.数值模拟大气边界层中解决壁面函数问题方法研究[J].振动与冲击,2015,34(2): 85―90.Fang Pingzhi,Gu Ming,Tan Jianguo,et al.Method to solve the wall function problem in simulation of atmospheric boundary layer [J].Journal of Vibration and Shock,2015,34(2): 85―90.(in Chinese)
[13] Yang Y,Gu M,Chen S,et al.New inflow boundary conditions for modelling the neutral equilibrium atmospheric boundary layer in computational wind engineering [J].Journal of Wind Engineering and Industrial Aerodynamics,2009,97(2): 88―95.
[14] Yang W,Quan Y,Jin X,et al.Influences of equilibrium atmosphere boundary layer and turbulence parameter on wind loads of low-rise buildings [J].Journal of Wind Engineering and Industrial Aerodynamics,2008,96(10):2080―2092.
[15] Parente A,Gorlé C,Van Beeck J,et al.Improved k-ε model and wall function formulation for the RANS simulation of ABL flows [J].Journal of Wind Engineering and Industrial Aerodynamics,2011,99(4):267―278.
[16] Parente A,Gorlé C,van Beeck J,et al.A comprehensive modelling approach for the neutral atmospheric boundary layer: consistent inflow conditions,wall function and turbulence model [J].Boundary-Layer Meteorology,2011,140(3): 411―428.
[17] O’Sullivan J P,Archer R A,Flay R G J.Consistent boundary conditions for flows within the atmospheric boundary layer [J].Journal of Wind Engineering and Industrial Aerodynamics,2011,99(1): 65―77.
[18] 谢霁明.超高层建筑抗风设计的现状与展望[C]// 中国土木工程学会,中国空气动力学会.第十五届全国结构风工程学术会议论文集.北京: 人民交通出版社,2011: 69―77.Xie Jiming.The status and trends of wind-resistant design for supertall buildings [C]// China Civil Engineering Society,Chinese Aerodynamics Research Society.Proceedings of the 15th National Wind Engineering Conference of China.Beijing: China Communications Press,2011: 69―77.(in Chinese)
[19] 吴迪.千米级超高层建筑气动性能研究[D].北京: 北京交通大学,2015.Wu Di.Aerodynamic study of 1000 m-high super tall building [D].Beijing: Beijing Jiaotong University,2015.(in Chinese)
[20] 张艳辉.超高层建筑结构旋转风荷载效应研究[D].哈尔滨: 哈尔滨工业大学,2013.Zhang Yanhui.Study on wind veering effects on super-tall buildings [D].Harbin: Harbin Institute of Technology,2013.(in Chinese)
[21] 王鑫.用于大涡模拟的入口湍流生成方法研究及其应用[D].上海: 同济大学,2017.Wang Xin.Research and application of random flow generation technique for large eddy simulation [D].Shanghai: Tongji University,2017.(in Chinese)
[22] Franke J,Hellsten A,Schlünzen H,et al.Best practice guideline for the CFD simulation of flows in the urban environment [M].Brussels: COST Office,2007: 1―52.
[23] Koblitz T,Bechmann A,Sogachev A,et al.Computational fluid dynamics model of stratified atmospheric boundary-layer flow [J].Wind Energy,2015,18(1): 75―89.
[24] Wright N G,Easom G J.Comparison of several computational turbulence models with full-scale measurements of flow around a building [J].Wind and Structures,1999,2(4): 305―323.
[25] 方平治.大气边界层的数值模拟方法研究: 修正的壁面函数[D].上海: 同济大学,2009.Fang Pingzhi.Study on the numerical simulation method of the atmospheric boundary layer: Modified wall function [D].Shanghai: Tongji University,2009.(in Chinese)
[26] Mellor G L,Yamada T.Development of a turbulence closure model for geophysical fluid problems [J].Reviews of Geophysics,1982,20(4): 851―875.
[27] Detering H W,Etling D.Application of the E-ε turbulence model to the atmospheric boundary layer [J].Boundary-Layer Meteorology,1985,33(2): 113―133.
[28] Andrén A.A TKE-dissipation model for the atmospheric boundary layer [J].Boundary-Layer Meteorology,1991,56(3): 207―221.
[29] Duynkerke P G.Application of theE-ε turbulence closure model to the neutral and stable atmospheric boundary layer [J].Journal of the Atmospheric Sciences,1988,45(5): 865―880.
[30] Apsley D D,Castro I P.A limited-length-scale k-ε model for the neutral and stably-stratified atmospheric boundary layer [J].Boundary-Layer Meteorology,1997,83(1):75―98.
[31] Xu D,Taylor P A.AnE-ε-l turbulence closure scheme for planetary boundary-layer models: The neutrally stratified case [J].Boundary-Layer Meteorology,1997,84(2): 247―266.
[32] Sogachev A,Kelly M,Leclerc M Y.Consistent two-equation closure modelling for atmospheric research: Buoyancy and vegetation implementations [J].Boundary-Layer Meteorology,2012,145(2): 307―327.
[33] Lettau H.A re-examination of the “Leipzig Wind Profile”considering some relations between wind and turbulence in the frictional layer [J].Tellus,1950,2(2): 125―129.
[34] 黄本才,汪丛军.结构抗风分析原理及应用[M].上海:同济大学出版社,2008: 110―113.Huang Bencai,Wang Congjun.Analysis principle and application of structural wind resistance [M].Shanghai:Tongji University Press,2008: 110―113.(in Chinese)
[35] Grant A L M.Observations of boundary layer structure made during the 1981 KONTUR experiment [J].Quarterly Journal of the Royal Meteorological Society,1986,112(473): 825―841.
[36] Brost R A,Wyngaard J C,Lenschow D H.Marine stratocumulus layers.Part II: Turbulence budgets [J].Journal of the Atmospheric Sciences,1982,39(4): 818―836.
[37] Esau I.Simulation of Ekman boundary layers by large eddy model with dynamic mixed subfilter closure [J].Environmental Fluid Mechanics,2004,4(3): 273―303.
[38] 郑徳乾.基于LES的结构风荷载及气弹响应数值模拟研究[D].上海: 同济大学,2011.Zheng Deqian.LES based simulation of wind loads and aeroelastic responses of structures [D].Shanghai: Tongji University,2011.(in Chinese)
[39] Kantha L,Bao J W,Carniel S.A note on Tennekes hypothesis and its impact on second moment closure models [J].Ocean Modelling,2005,9(1): 23―29.
[40] Katul G G,Mahrt L,Poggi D,et al.One-and two-equation models for canopy turbulence [J].Boundary-Layer Meteorology,2004,113(1): 81―109.
[41] Högström U L F.Review of some basic characteristics of the atmospheric surface layer [J].Boundary-Layer Meteorology,1996,78(3): 215―246.
[42] Launder B E,Spalding D B.The numerical computation of turbulent flows [J].Computer Methods in Applied Mechanics and Engineering,1974,3(2): 269―289.
STUDY ON SELF-SUSTAINED ATMOSPHERIC BOUNDARY LAYER CONSIDERING WIND VEERING WITH HEIGHT BASED ON RANS