平流层飞艇是靠体内浮升气体提供净升力,长时间定点驻空在平流层底部(约 20 km左右)的浮空器。悬空时间长、载重量大、可重复使用、成本低等特点,使平流层飞艇在军事与民用领域具有广泛的应用前景,已经成为国内外的研究热点[1-3]。
风荷载是平流层飞艇升空/回收及驻空过程的主要外荷载[4],相关研究表明动力功率P与气动阻力D的三分之二次方成正比,即P∝D2/3[5];大约近70%的能源用于克服气动阻力。所以,气动阻力的研究对于飞艇设计具有重要的意义[6-8]。
随着计算技术的发展,计算流体力学(computational fluid dynamic, CFD)已经成为飞艇气动阻力分析的经济有效方法[9]。例如,学者Chan等[10]将数值模拟结果与风洞试验结果进行对比,指出CFD数值模拟可有效模拟足尺模型及复杂风环境等风洞试验不易实现的工况。Alpman等[11]基于雷诺平均应力模型(Reynolds Stress Equation Model, RSM)分析了某长细比为6.0的椭球艇体在高雷诺数Re下的流场特性,发现 CFD数值模拟结果与风洞试验结果[12]吻合较好。Kanoria等[13]以包括尾翼及吊舱的双椭球形ZHIYUAN-1号飞艇为研究对象,基于CFD数值模拟分析了姿态角及不稳定风场对飞艇气动特性的影响。张丹等[14]基于CFD数值模拟分析了某双轴椭球平流层飞艇的流场特性,探讨了与飞艇轴线垂直界面的周向摩擦阻力系数、压力系数及其背部流场特性随攻角的变化。黄龙太等[15]对某中间为圆柱段的平流层飞艇进行了气动特性的数值分析,从气动阻力的组成入手,探讨了阻力系数随攻角的变化规律。
综上,国内外学者对飞艇气动阻力的研究已取得一定成果,但研究对象集中在驻空工作的平流层飞艇,且多以总气动阻力为考察目标,忽略了升空过程中各环境参数及飞艇外形布局对气动阻力及其组成的影响。本文以某平流层飞艇为研究对象,在验证 CFD数值模拟方法的基础上,从气动阻力包括压差阻力与摩擦阻力的角度探讨了升空过程中的环境参数(包括风速、动力粘度系数、空气密度及Re数)及飞艇外形布局(包括长细比、尾翼)对气动阻力的影响规律及机理,为平流层飞艇升空过程中的气动控制、能源及结构设计提供参考。
以平流层飞艇HiSentinel 80为参考原型[16],在哈尔滨工业大学风洞与浪槽联合实验室中开展了缩尺比为1/30模型的测压试验,试验模型尺寸及尾翼布局分别如图1与图2所示。
采用8 mm厚的玻璃纤维树脂复合材料制作艇体,共布置 311个测点。风压测量采用美国Scanvalve扫描阀公司的DSM3400电子压力采集系统与5个ZOC33压力扫描模块,每个模块可同步实现 64个测点的压力测量。压力扫描阀采样频率设置为625 Hz,采样时长20 s,每个测点的每个样本包含12500个数据,每个工况采集5个样本。

图1 艇体尺寸
Fig.1 Size of hull

图2 尾翼的布置及尺寸
Fig.2 Layout and size of fin
模型采用腹部支撑,艇体中心轴线距离地面高1.0 m。采用高0.7 m具有机翼截面形的风挡减小腹撑对流场的干扰,如图3所示。验算表明结构的阻塞率为1.40%,满足≤5%的要求,即可以忽略阻塞度对试验数据的影响[17]。试验风速为10 m/s。

图3 风洞模型布置图
Fig.3 Layout of model in wind tunnel
基于CFD分析软件Fluent进行数值模拟。建模及分析方法如下:
建模:1) 基于 SolidWorks软件建立与风洞试验完全一致的几何模型;2) 将模型导入Gambit中,定义计算域:设定模型距离地面的高度为H,模型迎风前缘距风速入口 5H,出口距模型后缘 15H,模型侧面及顶部距计算域壁面 5H;3) 划分网格:计算域采用结构网格与非结构网格相结合,模型周围的核心区域采用非结构网格。单元最小尺寸为0.01 m。设定边界层网格划分为5层,起始边界层网格厚度为单元最小尺寸的一半,即 0.005 m。计算域尺寸及网格布置如图4所示。

图4 模型网格划分
Fig.4 Meshing of the model
边界条件设置:采用速度入口,均匀入口流速为 10m/s。出口条件为自由流出口。模型表面设置为No-Slip非滑移壁面约束,计算域四周壁面设置为Slip滑移约束。流体介质参数与试验环境参数一致:密度ρ0=1.225 kg/m3,动力粘性系数μ0=1.7894×10-5kg/(m·s)。
湍流模型:对于不可压缩流体的湍流运动,雷诺平均纳维-斯托克(RANS)方程是目前工程中常用的方法,该方法的核心是将湍流运动分为平均运动与脉动运动,通过湍流模式化来考虑脉动运动对平均运动的影响。湍流模型分为代数模型(零方程模型)、一方程模型(Spalart-Allmaras,S-A)与二方程模型(k-ε、k-ω)。其中,一方程模型是代数模型与二方程模型的折合,可考虑较复杂的湍流流动,计算效率比较高,数值稳定性较好,已经航空航天器的气动研究中得到了广泛的应用[18-23]。
计算方法:对于RANS方程,Fluent中包含密度求解器与压力求解器。压力求解器主要用于低速不可压缩流体,而密度求解器主要用于高速可压缩流体。平流层飞艇是典型的低速航空器[23―24],其飞行速度一般不超过100 km/h,采用压力求解器对控制微分方程进行离散,采用有限体积法将微分方程分解成一系列关于多个变量的非线性耦合代数方程组。在运用有限体积法时,采用二阶迎风格式离散对流项,采用中心差分格式离散扩散项,压力速度耦合联合采用SIMPLEC算法与PISO算法。
取水平姿态的试验结果与数值结果进行对比分析。基于Tecplot绘制艇体风压分布图,图5与图6分别给出对应的俯视图与仰视图。观察发现,数值与试验所得艇体的风压分布规律一致。

图5 试验与数值风压分布对比图(俯视图)
Fig.5 Comparison of wind pressure distribution between experiment and simulation (top view)

图6 试验与数值风压分布对比图(仰视图)
Fig.6 Comparison of wind pressure distribution between experiment and simulation (bottom view)
为了进一步验证数值方法的正确性,提取子午线φ=30°与φ=150°上测点对应的风压系数进行对比。规定艇体下垂尾对应的子午线为φ=180°,如图7所示。

图7 子午线位置示意图
Fig.7 Location of meridians
子午线上对应点的风压系数对比如图8所示。此外,根据测点的布置,提取x/L=0.123(x=250 mm)与x/L=0.685(x=1390 mm)环向线上对应测点的风压系数进行对比,如图9所示。由于风洞试验过程中模型制作精度、数据测量精度等不确定因素的影响,试验结果与数值结果之间存在一定的差异。但整体结果吻合较好,表明所采用数值方法的适用性与准确性。

图8 试验与数值风压系数的对比(径向)
Fig.8 Comparison of wind pressure coefficients between experiment and simulation (radial)

图9 试验与数值风压系数的对比(环向)
Fig.9 Comparison of wind pressure coefficients between experiment and simulation (circumferential)
结构的气动阻力包括压差阻力与摩擦阻力,对应气动阻力系数CD,V由压差阻力系数CP-D,V与摩擦阻力系数 CF两部分组成。其中压差阻力是由于流体粘性消耗动能在结构的首尾形成压力差而产生的,与结构的形状与流场的流动状态有关[15,25]。摩擦阻力与结构表面的边界层流动相关,边界层为紧贴物体表面、流速由外部流体的自由流速逐渐降低到零的薄空气层。当气流流过物体时,由于粘性作用,空气微团与物体表面发生摩擦,阻滞了气流的流动,对应产生摩擦阻力。摩擦阻力与表面积和边界层的发展有关。
基于 CFD数值模拟,分析风速、动力粘度系数、空气密度及 Re对气动阻力的影响,且从气动阻力组成的角度,探讨 Re对气动阻力的影响规律和机理。分析模型为足尺 HiSentinel 80艇体,长L=60.8 m,直径D=13.87 m。CFD数值模拟采用的计算域、网格及边界条件设置同验证算例。
平流层飞艇从地面到驻空高度 20 km,周围空气介质的风速、动力粘度系数及密度会发生较大的变化。风速随高度的增加呈现先减小后增加而后减小的规律,在20 km左右达到最小值,故平流层飞艇长期驻空工作于20 km高度附近;其后随高度增加而增加,如图10所示[26]。从地面到20 km高度,数值模拟的风速范围取5 m/s~30 m/s。

图10 U随高度的变化
Fig.10 U vs. height
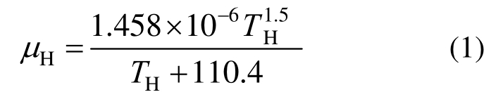
动力粘度系数随着高度的变化由下式给出:

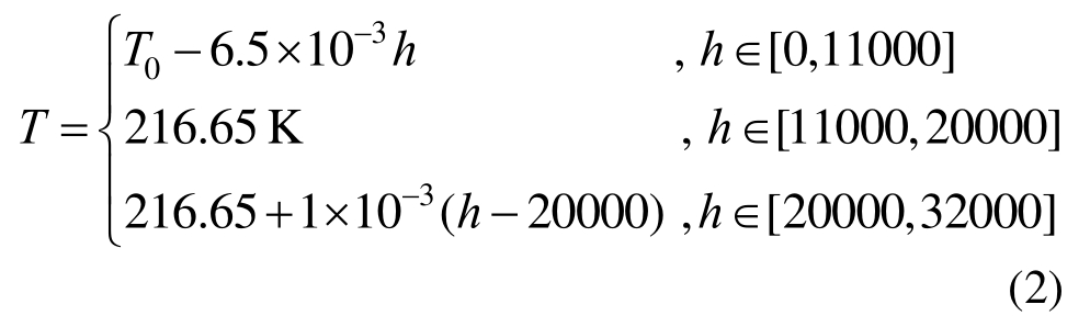
式中,TH表示高度H处的开氏温度。温度与高度之间的关系:

式中,T0为海平面的温度288.15 K。
不同高度处的空气密度按下式计算[27]:

式中,H=R0h/(R0+h),R0为地球半径,取值6378.5 km,h∈[0~32]km。
由式(1)~式(3)计算得到,从地面到20 km高度,动力粘度系数μ的变化范围为1.7894×10-5kg/(m·s)~1.4216×10-5kg/(m·s),空气密度ρ的变化范围为1.225 kg/m3~0.0889 kg/m3。
流体介质参数的基准值:U=10m/s,μ=1.7894×10-5kg/(m·s),ρ=1.225 kg/m3。进行参数分析时,只改变被分析参数,其余参数按基准值取。
将各环境参数进行归一化处理,图11给出CD,V随各参数的变化曲线。观察发现,CD,V随U与ρ的增加而减小;随μ的增加呈增加趋势。在整个升空过程中,ρ是CD,V变化的最主要影响因素;相比U与ρ,μ的影响程度较小,可忽略不计。

图11CD,V随各环境参数的变化
Fig.11CD,Vvs. each environmental parameter
风速、动力粘度系数及空气密度对气动阻力的影响最终可以体现在Re数上,Re=ρUL/μ。图12给出在整个升空过程中,Re数、CD,V及阻力D的变化。为了对比方便,将3个参数进行归一化处理。随着高度的增加,Re数呈现先增加后减小的变化规律;CD,V随着高度的增加先减小后增加,在4 km~14 km之间变化较小;D随着升空高度呈现先增加后减小的趋势,且在对流层高度10 km处达到了最大,说明飞艇在升空过程中,穿过对流层时需要克服的阻力最大,即消耗的能源最多。CD,V在对流层为最小,是由于对流层对应有较大的风速。
图13给出无量纲气动阻力系数随Re数的变化曲线。水平姿态下,在整个Re数变化范围内,摩擦阻力占总阻力的主要比重,约 70%左右。艇体CD,V减小的主要原因是CF的减小,CD,V随Re数的减小趋势同起控制作用的CF随Re数的减小趋势一致:减小梯度随Re数增加而减缓。

图12 归一化的Re、CD,V及D数随高度的变化
Fig.12 Normalized Re,CD,VandDvs. height

图13 各阻力系数随Re数的变化
Fig.13 Each drag force coefficient vs.Re
平流层飞艇的长细比λ定义为艇体长度L与最大直径D的比值,λ=L/D。飞艇体积的设计与其驻空高度及载重量直接相关[28],在飞艇驻空高度及载重量确定情况下(即飞艇体积一定),考察λ对艇体气动阻力的影响。λ取2.0、3.0、4.0、4.25、4.50、4.75、5.0、6.0。艇体保持水平姿态,U=20 m/s,动力粘度系数及空气密度参考20 km高度进行取值。
图 14给出各阻力系数随λ的变化曲线。随着λ的增加,CD,V呈现先减小后增加的趋势。λ=2时,对应的CD,V远大于λ=3~6区间。在λ=4.25~4.75之间形成了较小值区域,该结论与现有研究结果相一致:一般平流层飞艇的最小阻力系数集中在λ=4.0~5.0 之间[28]。
从CP-D,V与CF两个方面解释CD,V随λ的变化规律(图 14)。最初随着λ的增加,CF的增加量小于CP-D,V的减小量,对应CD,V减小;λ>4.75之后,CF的增加量大于CP-D,V的减小量,对应CD,V呈现增加趋势。

图14CD,V、CP-D,V与CF随λ的变化
Fig.14CD,V,CP-D,VandCFvs.λ
由图 15可以看出,摩擦阻力占总阻力的百分比随λ的增加而增加。当λ>3时,摩擦阻力成为了总阻力的主要组成部分(>60%)。由于摩擦阻力与边界层发展、艇体表面积直接相关,对于λ>3的艇体,控制边界层或减小艇体表面积是减小摩擦阻力进而减小总阻力的有效措施。

图15 摩擦阻力占总阻力的比重随λ的变化
Fig.15 The proportion of frictional drag force to total drag force vs.λ
基于SolidWorks建立包含尾翼的足尺模型,如图16所示。坐标原点设于体心(距离头部33.6 m),假设体心与质心重合[29]。
尾翼截面采用全凸对称翼型,顶面关键点坐标见表1所列。

图16 有尾翼足尺飞艇的示意图
Fig.16 Schematic diagram of full-scale airship with fins
表1 尾翼顶面的关键点坐标
Table 1 Key points coordinates of fin top section

15 11 7 4 0
流体介质参数参考20 km高度进行设置。研究对象:裸艇(没有尾翼的艇体);安装有尾翼的艇体,即考虑尾翼影响的艇体;安装有尾翼的结构,即艇体与尾翼全部考虑。
图 17给出了有无尾翼时飞艇各阻力系数的变化。观察发现,与裸艇相比,艇体(考虑尾翼影响)的摩擦阻力系数CF改变不大,压差阻力系数CP-D,V却发生了翻倍的增加。所以,有尾翼影响艇体的总阻力增加量主要源自压差阻力,这是由于尾翼对艇体外形的影响,进而影响了流动状态所致。由图17发现,尾翼自身产生正CF、负CP-D,V,对应CD,V很小。上述描述说明尾翼对飞艇结构气动阻力的改变,主要体现在其对艇体气动压差阻力的影响上。由柱状图的CD,V项可以发现,艇体是飞艇结构气动阻力的主要提供者,考虑尾翼影响时,艇体阻力占总阻力的 99.6%,不考虑尾翼作用的裸艇阻力占总阻力的 78.6%。在飞艇的初步结构设计中,为了简化分析,一般只对裸艇进行建模与分析[19,22,28],尾翼对气动阻力的影响可通过调整系数KF予以考虑。对于本文中间有圆柱段的艇形,KF近似取1.30。

图17 尾翼对各阻力系数的影响
Fig.17 Influence of fins on each drag force coefficient
图18 给出了尾翼对各阻力比重的影响。对于没有尾翼影响的裸艇,摩擦阻力占总阻力的主要比重,约为 74.9%。有尾翼干扰后,艇体摩擦阻力的比重减低,约为 59.5%。考虑尾翼飞艇结构摩擦阻力的比重为 66.2%。整体而言:摩擦阻力占总阻力的主要比重;尾翼的存在减小了摩擦阻力的比重。

图18 尾翼对各阻力比重的影响
Fig.18 Influence of fins on contribution of each drag force
图 19给出艇体头部、中部、尾部对摩擦阻力的贡献。发现艇体中部对摩擦阻力的贡献最大,这是由于艇体中部较大的面积所致。头部与尾部所占摩擦阻力的比重相当。

图19 艇体各部分的摩擦阻力比重
Fig.19 The proportion of frictional drag force of each hull portion
通过与试验结果的对比,验证了 CFD数值模拟方法的正确性。在此基础上,探讨了环境参数及外形布局对足尺平流层飞艇气动阻力的影响。主要结论如下:
(1) 气动阻力系数随风速与空气密度的增加呈下降趋势,随动力粘度系数的增加呈增加趋势。整个升空过程中,空气密度是影响气动阻力系数的主要因素。从气动阻力包括压差阻力与摩擦阻力的角度探讨了气动阻力系数随Re数的变化规律:气动阻力系数随Re数减小的趋势,取决于摩擦阻力系数随Re数的减小趋势:随Re数增加,减小梯度逐渐变缓。
(2) 气动阻力系数随长细比的增加呈现先减小后增加的趋势,该艇型的最小气动阻力系数集中在长细比等于 4.25~4.75之间。摩擦阻力对总阻力的贡献率随长细比的增加而增加,长细比大于3时,占总阻力的主要比重。
(3) 尾翼主要通过对艇体的干扰,增加艇体的压差阻力,进而增加了飞艇结构的总阻力。尾翼减小了摩擦阻力的比重,但有无尾翼的影响下,摩擦阻力都占总阻力的主要比重。表面积较大的艇体中部是摩擦阻力的主要提供者。尾翼对气动阻力的影响可通过裸艇气动阻力乘以调整系数KF予以考虑。对于中间有圆柱段的艇形,KF近似取1.30。
[1]Liao L and Pasternak I. Finite element analysis in novel aerostructure design [C]// 50th AIAA/ASME/ASCE/AHS/ ASC Structures, Structural Dynamics, and Materials Conference. Palm Springs, California, USA, AIAA,2009.
[2]孙晓颖, 李天娥, 陆正争, 等. 平流层飞艇的多目标优化与决策[J]. 工程力学, 2015, 32(6): 243-250.Sun Xiaoying, Li Tiane, Lu Zhengzheng, et al.Multi-objective optimization and decision making of stratosphere airships [J]. Engineering Mechanics, 2015,32(6): 243-250. (in Chinese)
[3]仇翯辰, 邱志平. 平流层飞艇充气柔性膜结构的区间不确定优化[J]. 工程力学, 2015, 32(4): 234-243.Qiu Hechen, Qiu Zhiping. Interval uncertainty optimization of airship's air-supported flexible membrane structure [J]. Engineering Mechanics, 2015, 32(4): 234-243. (in Chinese)
[4]谢飞, 叶正寅. 驻点引射飞艇减阻数值模拟[J]. 工程力学, 2010, 27(2): 222-227.Xie Fei, Ye Zhengyin. The simulation of the airship flow field with injection channel for the drag reduction [J].Engineering Mechanics, 2010, 27(2): 222-227. (in Chinese)
[5]Zhang K, Han Z, Song B. Flight performance analysis of hybrid airship [C]// AIAA Aerospace Sciences Meeting Including the New Horizons Forum and Aerospace Exposition. Orlando, Florida, AIAA: 2013: 1318-1330.
[6]李天娥, 孙晓颖, 张中昱, 等. 平流层飞艇气动阻力的数值模拟及公式拟合[J]. 工程力学, 2017, 34(8): 249-256.Li Tiane, Sun Xiaoying, Zhang Zhongyu, et al.Numerical simulation and formula fitting of Aerodynamic drag force of stratosphere airship [J].Engineering Mechanics, 2017, 34(8): 249-256. (in Chinese)
[7]任一鹏, 田中伟, 吴子牛. 飞艇空气动力学及其相关问题[J]. 航空学报, 2010, 31(3): 431-443.Ren Yipeng, Tian Zhongwei, Wu Ziniu. Some aerodynamics problems of airship [J]. Acta Aeronauticaet Astronautica Sinica, 2010, 31(3): 431-443. (in Chinese)
[8]Biava M, Carrion M, Steijl R, et al. CFD studies of Hybrid air vehicles [C]// AIAA Aerospace Sciences Meeting. San Diego, California, USA, AIAA, 2016.
[9]San B B, Wang Y Y, Ye Q. Numerical simulation and optimization study of the wind flow through a porous fence [J]. Environmental Fluid Mechanics, 2018,2018(11): 1-19.
[10]Chan S C, Shervington K, Hunt J. Wind tunnel study of a large aerostat, CFD validation [C]// AIAA Lighter-Than-Air Systems Technology (LTA) Conference. Daytona Beach, Florida, USA, AIAA, 2013.
[11]Alpman E, Long L N. Separated turbulent flow simulations using a Reynolds stress model and unstructured meshes [C]. AIAA 43rd Aerospace Sciences Meeting & Exhibit. Reno, Nevada, USA, AIAA, 2005.
[12]Kreplin H P, Volmers H, Meier H U. Shear stress measurements on an inclined prolate spheroid in the DFVLR 3 m x 3 m low speed wind tunnel [R]. Göttingen:DFVLR-AVA, 1985: IB 222-84 A 33.
[13]Kanoria A A, Panchal K, Dongre R, et al. Computational modelling of aerodynamic characteristics of airships in arbitrary motion [C]// 22nd AIAA Lighter-Than-Air Systems Technology Conference. Dallas, Texas, USA,AIAA, 2015.
[14]张丹, 郭雪岩. 平流层双轴椭球体飞艇绕流场的数值分析[J]. 力学季刊, 2008, 29(4): 556-564.Zhang Dan, Guo Xueyan. Numerical analyses on ambient flow of a double-axis ellipsoidal stratospheric airship [J]. Chinese Quarterly of Mechanics, 2008, 29(4):556-564. (in Chinese)
[15]黄龙太, 张超, 姜琬. 平流层飞艇大迎角气动特性分析[J]. 航空工程进展, 2013, 4(4): 493-497.Huang Longtai, Zhang Chao, Jiang Wan. Aerodynamic analysis on large angle of attack in stratospheric airship[J]. Advances in Aeronautical Science and Engineering,2013, 4(4): 493-497. (in Chinese)
[16]Smith S, Fortenberry M, Lee M, et al. HiSentinel80:Flight of a high altitude airship [C]// 11th AIAA Aviation Technology, Integration, and Operations (ATIO)conference. Virginia Beach, Virginia, USA, AIAA: 2011.
[17]陈昭庆. 张拉膜结构气弹失稳机理研究[D]. 哈尔滨:哈尔滨工业大学, 2015.Chen Zhaoqing. Investigation of aeroelastic instability mechanism of tensioned membrane structures [D].Harbin: Harbin Institute of Technology, 2015. (in Chinese)
[18]曹鹏钧, 姜琬, 张华. 基于响应面法的某双体飞艇囊体气动外形优化[J]. 航空计算技术, 2012, 24(1): 39-42.Cao Pengjun, Jiang Wan, Zhang Hua. Aerodynamic configuration optimization of hull of a hybrid airship [J].Aeronautical Computing Technique, 2012, 24(1): 39-42. (in Chinese)
[19]Mehta D M, Pant R S, Lakshmipathy S, et al. Surrogate based design optimization of aerostat envelope [C]//AIAA Lighter-Than-Air Systems Technology (LTA)Conference. Daytona Beach, Florida, USA, AIAA, 2013.
[20]Spalart P, Allmaras S. A one-equation turbulence model for aerodynamic flows [J]. Recherche Aerospatiale, 1994,1(1): 5-21.
[21]Constantinescu G S, Pasinato H, Wang Y Q, et al.Numerical investigation of flow past a prolate spheroid [J].Journal of Fluids Engineering, 2006, 124(4): 904-910.
[22]Ram C V, Pant R S. Multi-disciplinary shape optimization of aerostat envelopes [J]. Journal of Aircraft, 2010, 47(3): 1073-1076.
[23]Wang X L. Investigation of the drag characteristics of stratosphere airships for different cusp shapes [J]. Journal of Aircraft, 2012, 49(1): 151-160.
[24]Han D, Wang X L, Chen L, et al. Adaptive backstepping control for a multi-vectored thrust stratospheric airship with thrust saturation in wind [J]. Proceedings of the Institution of Mechanical Engineers Part G Journal of Aerospace Engineering, 2015, 230(1): 45-59.
[25]吴小翠, 王一伟, 黄晨光, 等. 飞艇大攻角绕流气动特性模拟及湍流模型与参数影响研究[J]. 工程力学,2014, 31(8): 24-31.Wu Xiaocui, Wang Yiwei, Huang Chenguang, et al.Aerodynamic simulation of airship ambient flows with high attack angles and analysis on turbulence models and parameters [J]. Engineering Mechanics, 2014, 31(8):24-31. (in Chinese)
[26]赵攀峰, 王永林, 刘传超. 平流层飞艇放飞、 回收过程初步分析[J]. 航空科学技术, 2007(4): 25-30.Zhao Panfeng, Wang Yonglin, Liu Chuanchao.Preparatory analyse on the release and recovery course of stratosphere airship [J]. Aeronautical Science, 2007(4):25-30. (in Chinese)
[27]Azinheira J R, Carneiro D P E, Ramos J G, et al. Mission path following for an autonomous unmanned airship [C].Proceedings of the 2000 IEEE International Conference on Robotics & Automation. San Francisco, California,USA, IEEE, 2000: 1269-1275.
[28]Khoury G A, Gillett J D. Airship technology [M].Cambridge: Cambridge University Press, 1999: 181.
[29]Andan A D, Asrar W, Omar A A. Investigation of aerodynamic parameters of a Hybrid airship [J]. Journal of Aircraft, 2012, 49(2): 658-662.
PARAMETER ANALYSIS OF AERODYNAMIC DRAG FORCE IN STRATOSPHERIC AIRSHIP
武 岳(1972―),男,黑龙江人,教授,博士,博导,从事大跨度空间结构设计理论研究(E-mail: wuyue_2000@163.com);