模型试验是根据原型和特定的几何、物理关系制做模型,并用模型代替原型进行试验,将试验所得结果按照相应的相似准则对原型进行预测的一门科学[1-2]。模型试验是研究复杂物理现象发生机理和发展规律的重要手段,而相似准则是模型试验的理论基础[3]。依据工程条件对模型试验相似准则进行推导,是提高模型试验预测精度的必要条件。
土体的冻结过程是一个温度场、水分场和应力场等多场耦合的复杂问题,而温度场的演变过程是研究其他物理力学响应的基础和关键[4-6]。为研究土在冻结过程中的热物理过程,国内外学者对不同条件下的模型试验相似准则进行了研究。朱林楠等[7]分析了冻土在无外荷载作用时冻融过程的相似准则,并以此为依据进行了相应的冻融模型试验。张涛等[8]以单管冻结为研究对象,推导了相应的温度场相似准则。张晨等[9]对某原状土进行了20g和30g条件下不同含水量的冻胀离心模型试验,研究了渠道的换热过程以及封闭系统中渠基土含水量对渠道法向冻胀位移的影响。
既有的冻土温度场模型试验相似准则是依据常热参数建立起来的,即未考虑导热系数、比热等热参数随温度的非线性变化。研究表明,土体在冻结过程中其导热系数和比热等热参数是随温度的变化而不断变化的[10-12]。因此,基于常热参数建立的温度场相似准则,难以准确反映土体的非线性冷冻过程。在寒区工程和人工冻结法施工中,由温度场计算误差引起的工程事故屡见不鲜[13―14]。建立基于热参数随负温非线性变化的冻土模型试验相似准则,不但具有重要的理论意义,更有其巨大的经济价值和社会效益。
另外,实际工程中的冻结边界并非是绝热的,冻结区与周围环境或相邻介质之间存在着不可忽视的热交换[15-16]。当采用原土进行温度场冻结模型试验时,根据第三类边界条件必然得出模型与原型的几何尺寸比例为1∶1,即模型的尺寸应该与原型尺寸一致,那么以缩尺模式进行的模型试验就失去了其理论基础和应用条件[17]。因此,有必要考虑温度场和边界的相似准则,对模型土热物理参数应满足的相似条件进行推导。
本文基于考虑热参数非线性变化的热传导微分方程,采用相似变换法导出了冻土模型试验中温度场的相似准则,并给出了采用原土进行模型试验时原型与模型应满足的相似关系。同时,在考虑第三类边界条件对相似准则影响的基础上,导出了模型土应满足的热物性相似条件。在此基础上,分别利用 ABAQUS有限元软件对线性、非线性以及考虑第三类边界条件的原型和模型温度场进行了数值模拟,并对冻结过程中特征点的温度演变过程进行了分析。
热传导问题的数学描述主要是由热传导微分方程和边值条件构成的,而边值条件包括初始条件和边界条件两个方面。
温度场的边界条件[17-18]主要包括三类。第一类边界条件用于描述土体边界或周围环境的温度;第二类边界条件用于描述土体边界上的热流密度;第三类边界条件用于描述土体与周围介质之间的热交换量。
既有的相似准则在其建立过程中,往往采用数值为1的温度缩比,这就要求在热传导过程中,原型与模型之间的边界温度恒定且相等。因此,无法考虑土体与外界环境之间存在的热交换现象。在寒区工程和人工冻结法施工过程中,土体的冻结是在边值条件耦合作用下的热传导现象,考虑第三类边界条件的相似准则,所进行的温度场模型试验更为合理。
目前,描述冻结过程的常规热传导方程,难以考虑热参数随负温的变化,其表达式为[18]:
式中:C为土的比热;ρ为土体的密度;T为土体温度;t为冻结时间;λ为土的导热系数;qv为土体内冷(热)源热流强度。
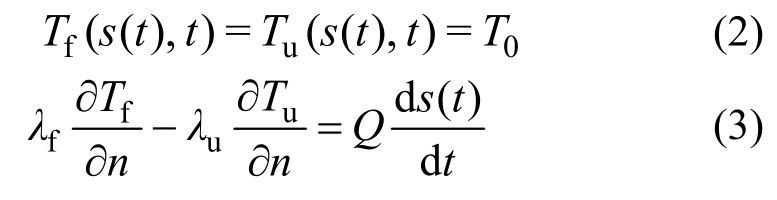
在土体冻结锋面s上的温度连续性条件和能量守恒条件分别是:

式中:T0为土体相变温度;Tf、Tu分别表示冻土温度和融土温度;λf为冻土的导热系数;n为土体边界的外法线方向;λu为融土的导热系数;Q为单位体积土体的相变潜热;s为冻结锋面的位置。
考虑热参数随温度变化的非线性热传导温度场微分方程为:
式中:C(T)和λ(T)分别为土的比热和导热系数。对于干密度、含水量一定的土体,其导热系数和比热是一个与温度T相关的函数[19]。既有的研究表明,土中水的冻结集中于高温冻结阶段[20―21],一次线性拟合难以反映热参数随冻结温度的演变过程。为提高试验数据拟合的精度,这里采用二次函数来描述热参数随温度的变化趋势,即:

式中:A、B、D、E均为拟合常数,其单位分别为kJ/(kg· ℃3)、kJ/(kg· ℃2)、W/(m· ℃3)、W/(m·℃2);C0/(kJ/(kg·℃))为 0℃时土的比热;λ0/(W/(m·℃))为0℃时土的导热系数;当土体中无内热源时qv取0。
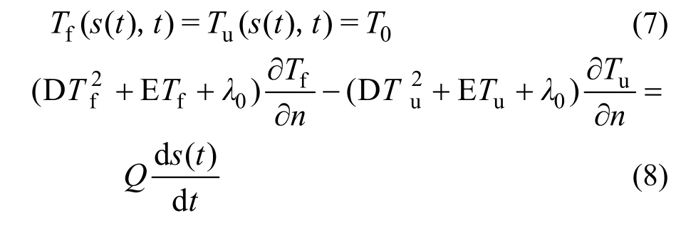
假定冻土是各向同性体,即冻土中土颗粒、未冻水、冰体和气的分布是均匀的,则在冻结锋面s上必须满足温度连续性条件和能量守恒条件,即:

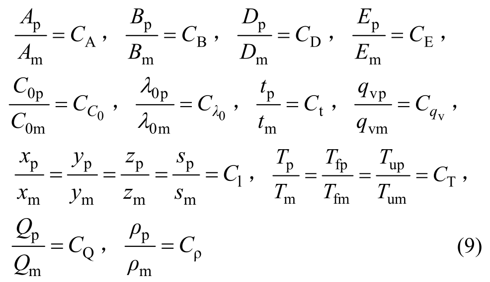
基于相似变换法进行了相似准则的推导。首先定义式(4)和式(8)中各参量的相似变换,即:

式中:下标“p”表示原型的物理量;下标“m”表示模型的物理量;CA、CB、CD、CE为式(5)和式(6)中对应系数的缩比;CC0为比热缩比;Cλ0为导热系数缩比;Ct为时间缩比;Cqv为冷(热)源热流强度缩比;C1为几何缩比;CT为温度缩比;CQ为潜热缩比;Cρ为土体密度缩比。将式(9)代入式(4)和式(8)中,可得:

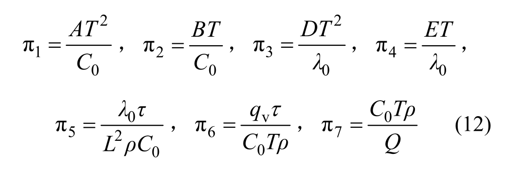
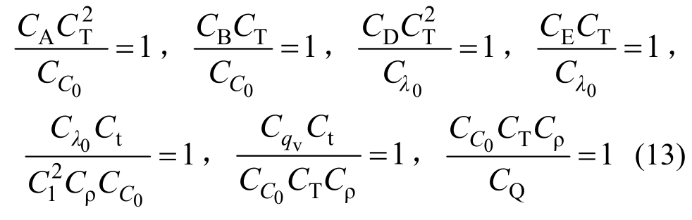
根据相似原理,相似的物理现象可以用同一个微分方程进行描述,且其单值条件相似[22]。比较原型与模型的平衡方程,整理后得到 7个相似准则,即:

根据推导出的7个相似准则,可以进一步得到相似指标式,即:

在现有的土体冻结模型试验中,常采用原土作为模型试验材料,即![]()
。根据
可得温度缩比CT=1,即模型中各点的初始温度和第一类边界条件与原型中对应点的初始温度和第一类边界条件相同。由:

可得:
式中:Ct为时间缩比;C1为几何缩比;Cρ为土体密度缩比。
在实际工程中,受土体与冷源、周围介质之间热交换的影响,需要考虑第三类边界条件对温度场的影响。因此,模型试验中的传热过程并不会按照温度缩比CT=1进行。所以,根据相似比指标式,可得
即在模型试验中使用原土进行模型试验是不合理的。因此,需要采用材料变换方式,寻求与原土在热物理性质方面相似的某种材料进行模型试验。
采用二次函数表示的原型土比热和导热系数与温度的关系为:

式中:Ap、Bp、Dp、Ep均为常数;Tp/(℃)为原型的土体温度;C0p/(kJ/(kg·℃))为0℃时原型土的比热;λ0p/(W/(m·℃))为0℃时原型土的导热系数。
假设温度缩比为CT,土的比热缩比为CC0,土的导热系数缩比为Cλ0。根据相似指标式,可得:

因此,模型土的比热和导热系数为:

式中,Tm/(℃)为模型的土体温度。
根据
可得单位体积模型土潜热应满足
。根据
得到时间缩比
第三类边界条件的相似准则为:
式中,α为土体与环境间的对流换热系数。其对应的相似指标式为:
式中,Cα为对流换热系数缩比。
考虑第三类边界条件的影响后,模型土的比热和导热系数为:

根据
,可以得到单位体积模型土的潜热应满足
。根据
和
,可以得到时间缩比
为验证所推导的土体非线性冻结温度场相似准则和考虑第三类边界条件后模型土在热物性参数方面应满足的条件,设计并实施了一系列的土体冻结模型试验。实测了原土的比热、导热系数随温度的变化规律,而后通过建立不同缩比的温度场模型,对得到的相似准则和考虑第三类边界条件后所建立的模型土与原土之间的相似关系进行了验证。
取天津某地粉质黏土,重塑密度为1910 kg/m3、含水量为33%的土样。利用混合量热法和探针法,分别测定了不同负温下黏土试样的比热和导热系数。得到的比热、导热系数随温度的变化规律,如图1所示。

图1 比热和导热系数随温度的变化曲线
Fig. 1 Change curves of specific heat and thermal conductivity along with temperature
由图1可以看出,随着温度的下降,土样的比热逐渐降低、导热系数逐渐增大,这与既有的研究规律是吻合的[20―21]。依据前文拟合式(5)和式(6)将比热、导热系数随负温的变化规律进行二次拟合,得到的表达式为:

文献[18]提供的潜热计算方法为:
式中:Q/(kJ/m3)为单位体积土的潜热;ρd/(kg/m3)、ρ/(kg/m3)分别表示土的干密度和土体密度;L/(kJ/kg)为水的相变潜热;wT1、wT2分别为T1、T2负温下冻土中未冻水含量;w0表示初始含水量。
依据文献[23]提供的未冻水含量测试方法,获取了冻土试样在不同负温下的未冻水含量。依据式(27)可以获取冻土在不同负温区间的相变潜热,计算结果如表1所示。
为验证建立的土体非线性冻结温度场相似准则,以及考虑第三类边界条件后建立的基于模型土的模型试验有效性,利用 ABAQUS有限元软件建立了相应的数值模型,相关参数如表2所示。
表1 负温阶段土体潜热的计算
Table 1 Calculation of latent heat of soil at negative temperature stage

温度T/(℃)未冻含量wu/(%)潜热增量/(kJ·m-3)温度T/(℃) 未冻含量wu/(%)潜热增量/(kJ·m-3)0 33.0 — -2 6.5 14898-0.5 18.2 71052 -5 4.0 12033-1 13.8 21201 -10 3.7 1528-1.5 9.6 20246 -15 3.6 573
表2 数值模拟试验设计
Table 2 Design of numerical simulation tests

模型编号 模型比例 材料属性 类型 考虑的边界条件1 1 原土 非线性 第一、第二2 0.5 原土 非线性 第一、第二3 1 原土 线性 第一、第二
模型1、模型2和模型3是温度缩比CT为1时的模型试验方案,即不考虑第三类边界条件影响的模型试验。模型1和模型3的不同在于模型3为线性的,即不考虑热参数随负温的变化。按照相似准则,可以确定模型1与模型2的相似常数,如表3所示。各模型的尺寸和试验参数如表4所示。
表3 相似常数的取值
Table 3 Values of similarity constants

比热参数拟合系数CA拟合系数CBC导热系数C0拟合系数CD拟合系数CEC时间Ct温度CT潜热CQλ0几何尺寸Cl土体密度Cρ相似常数 1 1 1 1 1 1 4 1 2 1 1
表4 模型试验参数的取值
Table 4 Values of model test parameters

模型编号模型尺寸l×h/(m×m)冻结时间/h冷源温度/(℃)土体初温/(℃)环境温度/(℃)土体密度/(kg·m-3)1 2×0.5 200 2 1×0.25 50 3 2×0.5 200-20 7 7 1910
利用ABAQUS有限元软件,按照表3确定的参数进行了一维冻结温度场数值模拟。其中模型 1为2 m×0.5 m的矩形。在矩形模型的下边界设置有-20℃的恒温冷源;其余边界设为绝热。由表 1可以看出,当温度降低到-5℃后,冻土试样的相变潜热增量很小。为优化模型运算和保证计算精度,参考文献[21]采用的方法,设置冻土潜热的释放区间为[0℃~ -2℃],相变潜热值139430 kJ/m3。土的比热和导热系数按图 1给出的数值设置。模型 2为1 m×0.25 m的矩形,采用与模型1相同的土体,且其边界和冷源条件与模型1相同。模型3与模型1的尺寸和材料均相同,但在设置土体热参数时,不考虑比热和导热系数随温度的变化,采用图1中的平均值作为其导热系数和比热,即模型3中导热系数为1.82 W/(m·℃)、比热为1.58 kJ/(kg·℃)。
依据前文的推导,对考虑第三类边界条件后模型土在热物性参数方面应满足的条件进行验证,相关参数如表5所示。
表5 数值模拟试验设计
Table 5 Design of numerical simulation tests

模型编号 模型比例 材料属性 类型 考虑的边界条件4 1 原土 非线性 第一、第二、第三5 0.5 模型土 非线性 第一、第二、第三
模型 4和模型 5考虑了第三类边界条件的影响,即允许土体界面与外界环境之间存在热交换。模型4与模型1在尺寸和材料属性上完全相同,但在设置上边界条件时,将模型4上边界条件设为对流换热。模型4与模型5的尺寸缩比C1=2、温度缩比CT=2,其余边界的设置与模型 4相同。由于对模型4与模型5之间的尺寸、冷源均进行了相似变换,并且边界与环境存在对流换热。因此,模型 5需要用模型土代替原土进行试验。假设对流换热系数缩比Cα为2,根据第三类边界条件的相似准则,得到导热系数缩比Cλ0为4。假设比热缩比CC0为4,按照前文对模型土热物理参数应满足的条件进行推导,得到模型土的比热和导热系数为:

按照导出的相似准则,确定模型4与模型5之间的相似常数,结果如表6所示。各模型尺寸和试验参数如表7所示。
表6 相似常数的取值
Table 6 Values of Similarity constants

比热参数拟合系数CA拟合系数CBC导热系数C0拟合系数CD拟合系数CEC时间Ct温度CT潜热CQλ0几何尺寸Cl土体密度Cρ对流换热系数Cα相似常数 1 2 4 1 2 4 4 2 2 1 8 2
表7 模型试验参数的取值
Table 7 Values of model test parameters

模型编号 模型尺寸l×h/(m×m) 冻结时间/h 冷源温度/(℃) 土体初温/(℃)环境温度/(℃)土体密度/(kg·m-3)相变潜热/(kJ·m-3) 对流换热系数/(W·m-2·℃-1)4 2×0.5 200 -20 7 7 1910 139430 10 5 1×0.25 50 -10 3.5 3.5 1910 17428.75 5
依据前文数值模拟的结果,提取了模型试验中3个特征点的温度发展过程,测温点的布置如图 2所示。

图2 测温点的布置
Fig. 2 Layout of temperature measurement points
将模型1、模型2和模型3中的1号测点和2号测点的计算结果进行了整理,结果如图3所示。其中3号测点的温度演化进程如表8所示。

图3 3个模型中测温点1和测温点2的温度对比
Fig. 3 Comparison of temperature between temperature measurement point 1 and point 2 in three models
由图3和表8可知,模型1、模型3的温度曲线均存在一定误差。既有的文献也表明[21],考虑热参数随温度变化的冻土温度场预测精度更高,即采用非线性理论推导的相似准则具有更高的预测精度。将模型2乘以时间缩比1,可发现模型1与模型2之间相应测温点对应时刻的温度值相等,即符合模型1与模型2之间的温度缩比为1。这表明,由理论得到的相似准则和采用原土进行模型试验时,原型与模型之间应满足的相似关系是成立的。
表8 3个模型中3号测点的温度
Table 8 Temperature of measurement point 3 in three models

模型1 模型2 模型3时间/h 温度/(℃) 时间/h 温度/(℃) 时间/h 温度/(℃)0 7.00 0 7.00 0 7.00 40 0.26 10 0.26 40 -0.01 80 -1.56 20 -1.56 80 -1.15 120 -6.14 30 -6.14 120 -5.71 160 -8.65 40 -8.65 160 -7.98 200 -14.95 50 -14.95 200 -13.60
将模型4和模型5中的1号测点和2号测点的计算结果进行整理,结果如图4所示。模型4和模型5中的3号测点在不同时刻的温度如表9所示。

图4 不同模型中测温点1和测温点2的温度对比
Fig. 4 Comparison of temperature between temperature measurement point 1 and point 2 in different models
表9 不同模型中3号测点的温度
Table 9 Temperature of measurement point 3 in different models

模型4 模型5时间/h 温度/(℃) 时间/h 温度/(℃)0 7.00 0 3.50 40 0.92 10 0.46 80 -1.11 20 -0.56 120 -5.21 30 -2.60 160 -6.06 40 -3.03 200 -6.56 50 -3.28
由图4和表9可知,模型4和模型5的温度场相似,即相应测点对应时间的温度值是2倍的关系。这表明,采用变换后的模型土进行模型试验时,本文给出的模型土热物参数是合理的。
实际工程中,冻土与外界环境之间的热交换是不可避免的,热源形式的恒定也难以保证。因此,采用原土进行温度场模型试验,其预测值必然与工程实际不符。考虑模型与环境之间存在热交换的相似准则更为合理,必须采用材料变换的方式进行冻土温度场的模型试验。
考虑材料非线性和第三类边界条件后,得出了冻结模型试验的相似准则和模型土热参数的计算方法。研究成果为冻结模型土的配制提供了方向,有望为冻土模型试验的设计和实施提供理论基础和技术支持。得到的主要研究结论如下:
(1) 土的非线性冻结和热参数随不同负温的变化,决定了在冻土模型试验设计时,必须考虑材料的非线性对热传导方程和相似准则的影响。
(2) 土体冻结过程中与外界环境之间的热交换,决定了冻土热传导问题的研究必须考虑第三类边界条件的影响,即必须采用与原土呈相似关系的模型土进行温度场模型试验。
(3) 从多孔介质组成和构成的角度出发,依据具体的热传导问题配置与原土呈现一定相似关系的模型土,并将其用于冻土温度场模型试验,应是冻土温度场相似问题研究的重要方向。
[1]鞠杨, 徐广泉, 毛灵涛, 等. 盾构隧道衬砌结构应力与变形的三维数值模拟与模型试验研究[J]. 工程力学,2005, 22(3): 157-165.Ju Yang, Xu Guangquan, Mao Lingtao, et al. 3D numerical simulation of stress and strain properties of concrete shield tunnel lining and modeling experiments[J]. Engineering Mechanics, 2005, 22(3): 157-165. (in Chinese)
[2]Liao M, Lai Y, Wang C. A strength criterion for frozen sodium sulfate saline soil [J]. Canadian Geotechnical Journal, 2016, 53(7): 1176-1185.
[3]付兴, 林友新, 李宏男. 风雨共同作用下高压输电塔的风洞试验及反应分析[J]. 工程力学, 2014, 31(1):72-78.Fu Xing, Lin Youxin, Li Hongnan.Wind tunnel test and pesponse analysis of high-voltage transmission tower subjected to combined loads of wind and rain [J].Engineering Mechanics, 2014, 31(1): 72-78. (in Chinese)
[4]Kojima Y, Heitman J L, Flerchinger G N, et al. Sensible heat balance estimates of transient soil ice contents [J].Vadose Zone Journal, 2016, 15(5): 45-57.
[5]武建军, 韩天一. 饱和正冻土水-热-力耦合作用的数值研究[J]. 工程力学, 2009, 26(4): 246-251.Wu Jianjun, Han Tianyi. Numerical research on the coupled process of the moisture-heat-stress fields in saturated soil during freezing [J]. Engineering Mechanics,2009, 26(4): 246-251. (in Chinese)
[6]朱志武, 宁建国, 马巍. 土体冻融过程中水、热、力三场耦合本构问题及数值分析[J]. 工程力学, 2007,24(5): 138-144.Zhu Zhiwu, Ning Jianguo, Ma Wei. Constitutive model and numerical analysis for the coupled problem of water,temperature and stress fields in the process of soil freeze-thaw [J]. Engineering Mechanics, 2007, 24(5):138-144. (in Chinese)
[7]朱林楠, 李东庆, 郭兴民. 无外荷载作用下冻土模型试验的相似分析[J]. 冰川冻土, 1993, 15(1): 166-169.Zhu Linnan, Li Dongqing, Guo Xingmin. Simulitude analysis of modeling test for chargeless pressure in the freezing-thawing process of soil [J]. Journal of Glaciology and Geocryology, 1993, 15(1): 166-169. (in Chinese)
[8]张涛, 杨维好, 黄家会, 等. 管内盐水流动状态对单管冻结温度场影响规律分析[J]. 煤炭学报, 2015, 40(9):2057-2064.Zhang Tao, Yang Weihao, Huang Jiahui, et al. Influence law of brine flow state in pipe on single pipe freezing temperature field [J]. Journal of China Coal Society,2015, 40(9): 2057-2064. (in Chinese)
[9]张晨, 蔡正银, 黄英豪, 等. 输水渠道冻胀离心模拟试验[J]. 岩土工程学报, 2016, 38(1): 109-117.Zhang Chen, Cai Zhengyin, Huang Yinghao, et al.Centrifuge modelling of frost-heave of canals [J].Chinese Journal of Geotechnical Engineering, 2016,38(1): 109-117. (in Chinese)
[10]Yoshikawa K, Overduin P P. Comparing unfrozen water content measurements of frozen soil using recently developed commercial sensors [J]. Cold Regions Science and Technology, 2005, 42(3): 250-256.
[11]毛卫南, 刘建坤. 不同离散化方法在正冻土水热耦合模型中的应用[J]. 工程力学, 2013, 30(10): 128-132.Mao Weinan, Liu Jiankun. Different discretization method using in coupled water and heat transport model for soil under freezing conditions [J]. Engineering Mechanics, 2013, 30(10): 128-132. (in Chinese)
[12]Wen Z, Sheng Y, Ma W, et al. Experimental studies of thermal conductivity of undisturbed permafrost at beiluhe testing site on the tibetan plateau[J]. Journal of Glaciology and Geocryology, 2005, 27(2): 182-187.
[13]耿萍, 晏启祥, 何川, 等. 隧道水平冻结施工过程的数值模拟[J]. 工程力学, 2010, 27(5): 122-127.Geng Ping, Yan Qixiang, He Chuan, et al. Numerical simulation of underground construction by horizontal ground freezing method [J]. Engineering Mechanics,2010, 27(5): 122-127. (in Chinese)
[14]Sun K G, Yang P, Qiu W G, et al. Research on the temperature field and the buried depth of drains for tunnels in cold region [J]. Journal of Railway Engineering Society, 2017, 34(4): 51-57.
[15]梁波, 陈兴冲. 青藏铁路的重要意义、技术难点及力学问题[J]. 工程力学, 2004, 21(增刊1): 139—149.Liang Bo, Chen Xingchong. The significance, the key technical problem and the mechanical problem of Qinghai-Tibetan Railway [J]. Engineering Mechanics,2004, 21(Suppl 1): 139-149. (in Chinese)
[16]Yang P, Ke J M, Wang J G, et al. Numerical simulation of frost heave with coupled water freezing, temperature and stress fields in tunnel excavation [J]. Computers and Geotechnics, 2006, 33(6): 330-340.
[17]丁德文, 罗学波. 冻土热工模型实验的理论基础[J].科学通报, 1979, 24(8): 360-364.Ding Dewen, Luo Xuebo. Theoretical basis of thermal model test of frozen soil [J]. Chinese Science Bulletin,1979, 24(8): 360-364. (in Chinese)
[18]徐学祖, 王家澄, 张立新. 冻土物理学[M]. 北京: 科学出版社, 2010.Xu Xuezu, Wang Jiacheng, Zhang Lixin. Physics of frozen soil [M]. Beijing: Science Press, 2010. (in Chinese)
[19]孙立强, 任宇晓, 闫澍旺, 等. 人工冻土冻结过程中热-力耦合的数值模拟方法研究[J]. 岩土工程学报,2015, 37(增刊 2): 137-142.Sun Liqiang, Ren Yuxiao, Yan Shuwang, et al. Numerical simulation method for thermal-stress coupling in artificial freezing process [J]. Journal of Geotechnical Engineering, 2015,37 (Suppl 2): 137-142. (in Chinese)
[20]于珊, 李顺群, 冯慧强. 土的导热系数与其干密度、饱和度和温度的关系[J]. 天津城建大学学报, 2015,21(3): 172-176.Yu Shan, Li Shunqun, Feng Huiqiang. The relationship between thermal conductivity of soil and its dry density,saturation and temperature [J]. Journal of Tianjin Chengjian University, 2015, 21(3): 172-176. (in Chinese)
[21]陈之祥, 李顺群, 王杏杏, 等. 热参数对冻土温度场的影响及敏感性分析[J]. 水利水电技术, 2017, 48(5):136-141.Chen Zhixiang, Li Shunqun, Wang Xingxing, et al.Analysis on impact and sensitivity of thermal parameters on frozen soil temperature field [J]. Water Resources and Hydropower Engineering, 2017, 48(5): 136-141. (in Chinese)
[22]崔广心. 相似理论与模型试验[M]. 徐州: 中国矿业大学出版社, 1990.Cui Guangxin. Similarity theory and model test [M].Xuzhou: China University of Mining and Technology Press, 1990. (in Chinese)
[23]夏锦红, 李顺群, 夏元友, 等. 一种考虑显热和潜热双重效应的冻土比热计算方法[J]. 岩土力学, 2017,38(4): 973-978.Xia Jinhong, Li Shunqun, Xia Yuanyou, et al. Specific heat of frozen soil considering sensible and latent heat of pore water [J]. Rock and Soil Mechanics, 2017, 38(4):973-978. (in Chinese)
MODEL TESTS AND SIMILARITY CRITERIA FOR NONLINEAR FREEZING OF ROCK AND SOIL
赵 磊(1976―),男,河南辉县人,教授,硕士,主要从事岩土工程和结构工程方面的教学与研究工作(Email: zlyoo@163.com).
陈之祥(1990―),男,河南濮阳人,硕士生,主要从事环境岩土工程方面的研究工作(Email: chen_zhixiang@126.com).