超高性能混凝土(Ultra high performance concrete,简称UHPC)是具有高强度、高韧性[1]、高耐久性和高抗冲击性能的新型水泥基复合材料。掺加大掺量钢纤维(钢纤维掺量2%~6%)的UHPC[2]可大幅度提高材料的受拉强度、延性[3]和与钢筋的粘结性能[4],在自然养护条件下,UHPC抗压强度可达120 MPa~150 MPa,抗拉强度达到6 MPa~15 MPa,与钢筋的黏结强度为26 MPa~87 MPa。由于大掺量纤维创造了材料局部延性断裂区域,与钢筋混凝土结构相比,在UHPC结构中,配筋率可以非常高,达10%~20%。因此,这种UHPC可用于重载结构(超高层建筑结构的底部等)、大跨结构(如大跨度桥梁等)、抗震[5]、抗爆[6]和抗冲击结构等。
目前,国内外研究者对UHPC梁的受弯性能和短期刚度进行了研究。Yoo等[7]设计了4种玻璃纤维筋配筋UHPC梁,研究在不同玻璃纤维筋配筋率下梁的抗弯性能,通过试验研究及理论分析建立了玻璃纤维筋UHPC梁的短期刚度计算公式。Ashour等[8]对掺钢纤维的高强混凝土(HSC)梁的挠度进行了研究,考虑钢纤维对 HSC受拉性能的影响,通过对ACI规范[9]公式进行修正,建立了适合用于掺入钢纤维的 HSC梁的截面有效惯性矩计算公式。李莉[10]通过 5根活性粉末混凝土(RPC)试验梁,采用刚度解析法建立了RPC配筋梁的短期刚度计算式。
目前,对于受弯梁截面短期刚度计算方法主要有两类:一种是刚度解析法,该种方法是一种半理论、半经验的计算方法,我国混凝土结构设计规范[11]采用该种方法计算短期刚度;另一种是有效惯性矩法,该种方法是一种经验计算方法,国外如美国规范[9]采用该种方法计算短期刚度。本文分别采用有效惯性矩法和刚度解析法,并考虑UHPC梁的受力特点,导出UHPC梁截面短期刚度计算公式,并通过与4根 UHPC梁及文献[10]、文献[12]中部分试验梁的试验结果进行比较,评估两种方法的优劣。
在钢筋混凝土结构应用的早期,构件变形验算采用匀质弹性材料计算方法,对于普通钢筋混凝土梁,基本原则是将截面上的钢筋面积,通过钢筋与混凝土弹性模量之比乘以钢筋面积换算为混凝土面积,得到等效匀质的混凝土材料换算截面;对于开裂截面,假定受拉开裂区的混凝土完全退出工作。然而,对于UHPC梁,在截面开裂后,受拉区由于钢纤维的桥接作用,不完全退出工作,还可承受拉应力,此时可假定该部分应力由钢纤维承担,受拉区UHPC基体退出工作,这样需将受拉区钢纤维和钢筋换算为等效匀质的UHPC材料截面,并通过截面分析推导计算短期刚度计算式。
以单筋矩形截面为例,UHPC梁换算截面如图1所示,图中
为钢筋弹性模量,Ec为UHPC弹性模量。

图1 开裂前后的换算截面
Fig.1 Transformed uncracked and cracked sections for beams
1.1.1 开裂前截面的换算惯性矩
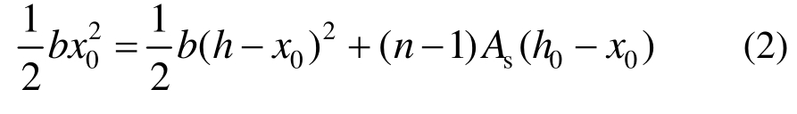
图1(b)表示开裂前的换算截面,其总换算面积A0按下式计算:
式中:b、h分别表示截面宽度和高度;As表示受拉钢筋面积。
换算截面受压区高度x0由拉、压区对中和轴的面积矩相等的条件确定,即:
由此可得:

换算截面的惯性矩I0为:
故开裂前的截面短期刚度B0为:
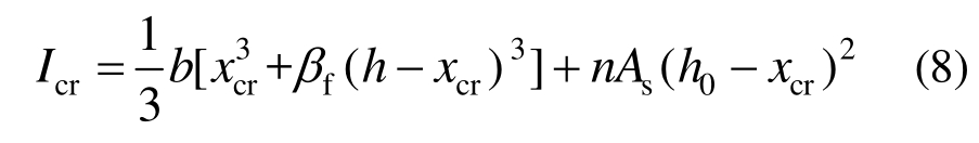
1.1.2 开裂后截面的换算惯性矩
图1(c)表示开裂后的换算截面,其中m为钢纤维弹性模量Ef与UHPC弹性模量Ec的比值;xcr为截面受压区高度;α为有效方向系数,定义了单位截面面积的纤维有效面积,是纤维方向系数0α[13]与纤维有效系数1α[14]的乘积。文献[15]对UHPC中钢纤维的分布状况和纤维方向系数与纤维有效系数进行了试验研究,分析结果表明,钢纤维有效方向系数α值在0.35~0.50之间,且随着纤维掺量Vf的增大,有效方向系数略微减小,故本文在计算UHPC梁截面短期刚度时,α可偏于安全地取0.35。
由图1(c),受压区高度xcr由拉、压区对中和轴的面积矩相等的条件确定:
解得:

式中:βf为钢纤维换算面积参数,βf=mαVf;Vf为纤维体积掺量百分率;k为截面高度与有效高度比,k=h/h0;ρ为受拉纵筋配筋率,ρ=As/(bh0)。
开裂截面的换算惯性矩Icr为:
1.1.3 有效截面惯性矩及截面短期刚度
美国ACI规范[9]规定,当截面弯矩M大于开裂弯矩Mcr时,计算构件挠度采用截面的有效惯性矩值Ie,Ie在Iu与Icr间进行插入,即:

ACI规范规定,Iu为忽略钢筋截面面积的毛截面惯性矩,即:
开裂弯矩Mcr按下式计算:
式中:fr为混凝土断裂模量,
′表示混凝土圆柱体抗压强度。
对于UHPC受弯构件,按式(11)计算开裂弯矩,其计算值小于实测值约40%[7],所以对于开裂弯矩需要寻求新的方法予以求解。
文献[10]经试验测定,活性粉末混凝土开裂应变εcr约为峰值拉应变εt,p的 3倍。本文通过前期UHPC受拉试验研究[16],UHPC材料开裂应变约为峰值拉应变的2倍,且材料受拉应力-应变关系曲线在达到峰值拉应变前呈现高度的线性特性(图2(a),其中百分数表示纤维体积掺量百分率)。UHPC梁开裂时,受压区UHPC基本还处于弹性阶段,受压应力近似为三角形分布。
根据试验结果,如图2(a)所示,假定UHPC受拉本构为理想弹塑性本构模型,开裂应变εcr达到2倍的轴心受拉峰值应变εt,p,峰值拉应力为ft,如图2(b)所示。考虑钢筋的受力,钢筋应变为sε,应力为sσ。令受压区高度为k1h,受压区边缘UHPC压应力为cσ,应变为cε,受压应力-应变关系见图2(c)。截面应力、应变分布如图3所示。

图2 开裂时UHPC应力-应变关系
Fig.2 Relationship of UHPC stress-strain at cracking

图3 开裂时截面应力-应变分布
Fig.3 Stress and strain profiles of cross section at cracking
根据图3(c)可建立水平力及弯矩平衡方程:

由截面应变图及材料本构关系可得:

式中:k1为受压区高度系数;![]()
将式(14)代入式(12)解得:

其中,
为毛截面配筋率,![]()
将式(14)、式(15)代入式(13),可求得开裂弯矩Mcr。
裂缝截面的短期刚度为:
综上所述,对于有效惯性矩法,截面开裂前、开裂后截面短期刚度可按下式计算:

UHPC梁截面平均刚度计算图形如图4所示。在短期荷载作用下,根据平截面假定和变形协调条件,梁截面曲率和刚度可表示为:
式中:φ为截面曲率;εcm为UHPC受压区边缘纤维层平均压应变;εsm为受拉钢筋平均拉应变;Bs为短期刚度。

图4 使用荷载下截面应变、应力分布图
Fig.4 Stress and strain profiles of cross section under service load
由图4可得截面力矩平衡方程:

则有:

式中:
为受拉区UHPC合力Tc对受拉钢筋合力点的力矩;MT为受拉区UHPC合力Tc对受压区合力作用点的力矩。
根据平均应变与裂缝截面处应变的关系,即
可得截面受压边缘 UHPC及受拉钢筋的平均应变分别为:

式中:cψ为UHPC应变不均匀系数,截面受压区UHPC压应变的变化幅度较小,故该值近似取1;ψ为钢筋应变不均匀系数,与普通钢筋混凝土梁计算方法相协调[10],可按
计算,当ψ值小于0.2时,取0.2,当ψ值大于1时,取1;λ为UHPC的弹性系数;ω为压应力图形丰满程度系数;受压区高度ξh0;内力臂为ηh0。
令ζ=ωηλξ,将其代入式(24)得:

将式(25)、式(26)代入式(18)得:

将式(27)代入式(19)得:

式(28)中内力臂系数η的取值,对矩形截面,按文献[17]取,
按普通混凝土经验回归式
(矩形截面)计算。将其代入式(28)得:

试验材料采用水泥、石英砂、硅灰、钢纤维等,配合比见表1。钢纤维平均长度为7.2 mm,长径比为43,弹性模量200 GPa,抗拉强度大于2850 MPa。试验测定的UHPC基本力学性能见表2。梁纵筋采用 HRB500,箍筋和架立筋均采用 HRB400,试验测得的钢筋力学性能指标见表 3,其中弹性模量按规范[11]取值。
表1 UHPC配合比
Table 1 Mix proportions of UHPC
水泥 水 硅灰 石英砂 减水剂 钢纤维/(%)1.00 0.23 0.26 1.26 0.03 3/5
4根UHPC梁的截面尺寸实测值均为170 mm×300 mm,计算跨度为4.8 m,全跨长5.1 m,跨高比为 16。试验模型缩尺比例为 1/2。4根试验梁的截面、构造和配筋如图5所示,图中梁截面宽度为实测值。图中尺寸的单位均为mm,试验梁截面信息如表4所示。
表2 UHPC力学性能
Table 2 Mechanical properties of UHPC

纤维掺率/(%)立方体抗压强度/MPa轴心抗压强度/MPa轴心抗拉强度/MPa弹性模量/GPa 3 119.7 97.8 5.63 39.9 5 135.6 107.9 6.26 41.8
表3 钢筋力学性能
Table 3 Mechanical properties of reinforcement

钢筋牌号 钢筋直径/mm 屈服强度/MPa 抗拉强度/MPa 弹性模量/GPa HRB400 8 462.6 650.2 200 12 502.6 625.9 200 HRB500 25 543.4 727.6 200
表4 试验梁的截面配筋
Table 4 Reinforcement details of specimens

梁编号 纤维掺量/(%) 受拉纵筋 配筋率/(%) 架立筋 箍筋UHPCB1 3 3■25 3.21 UHPCB2 6■25 6.74 UHPCB3 5 3■25 3.21 UHPCB4 6■25 6.74 2■12 ■8@100

图5 试件尺寸及配筋
Fig.5 Dimension and reinforcement details of specimen
静力加载装置如图6所示。加载试验参照《混凝土结构试验方法标准》[18](GB/T 50152-2012)进行,试验开始前进行预加载以检验装置和仪表仪器是否正常工作。预加载值不超过试验梁预估承载力的5%(小于试验梁的开裂荷载),确定各个设备工作正常后卸载,并开始正式加载。试验采用分级加载,加载到达试验梁预估开裂荷载80%之前,每级加载值为极限荷载预估值的 5%;接近开裂荷载时每级加载值不超过5 kN。当试验梁开裂后,每级加载值为试验梁极限荷载预估值的 10%,接近极限荷载时,缓慢加载直至梁破坏。每级持荷时间 10 min~15 min。在加载过程中采用TDS-530静态数据采集仪采集位移数据。

图6 试验装置示意图
Fig.6 Sketch of test device
主要测试内容及方法有:
1) 试验梁挠度,在梁跨中及加载点位置布置位移计,忽略支座沉降导致的微小位移差值。位移计布置如图6所示;
2) 试验梁荷载通过1000 kN量程力传感器测得;
3) 试验梁底部沿跨中布设混凝土应变片,以测得UHPC开裂应变。
4根梁荷载-跨中挠度曲线如图7所示。保持钢纤维掺量不变,比较梁UHPCB1和梁UHPCB2、梁UHPCB3和梁UHPCB4,配筋率越高,截面刚度越大;保持配筋率不变,比较梁 UHPCB1和梁UHPCB3、梁UHPCB2和梁UHPCB4,可以发现,随着钢纤维掺量的提高,刚度略有降低。理论上,钢纤维掺量越高,弹性模量越高,截面刚度应该增大。出现刚度降低现象,原因有两方面:一方面随着钢纤维掺量的提高,UHPC流动性降低,纤维之间拉结、抱团较多,浇筑时振捣难以振捣密实,构件孔洞较多,由于是大跨构件,缺陷更明显;另一方面,由于加载采用油压加载,加载过程速率难以控制,持荷中荷载有少许变动,对荷载-挠度曲线影响较大。

图7 跨中荷载-挠度曲线
Fig.7 Load-deflection curve at midspan of beams
试验过程中,梁UHPCB1与梁UHPCB3的受拉钢筋首先屈服,受拉区混凝土裂缝开展充分,随后受压区混凝土被压碎,属适筋破坏。而梁UHPCB2、梁UHPCB4在加载中受压区混凝土被压碎,第一排受拉纵筋屈服,第二排受拉纵筋接近屈服,是部分超筋破坏,接近于界限破坏;破坏形态及裂缝分布见图8。从图7可以看出,梁UHPCB1、梁UHPCB3适筋梁的荷载-挠度曲线在达到峰值荷载时较为平缓,有一平台段,在该平台段,荷载变化不明显,挠度明显增大。而梁UHPCB2、梁UHPCB4的荷载-挠度曲线较为陡峭,正常使用阶段,荷载-挠度曲线斜率明显大于适筋梁UHPCB1、梁UHPCB3,临近峰值荷载时,由于部分钢筋屈服,荷载-挠度曲线切线斜率减小,但没有在峰值荷载附近形成平台段。

图8 梁破坏形态及裂缝分布图
Fig.8 Crack patterns of specimens at failure
试验梁开裂弯矩试验值
见表5所示,由式(13)求得的理论计算值
亦列于表5,试验值与理论计算值之比的均值1.028,变异系数为0.071。故开裂弯矩理论计算值精度满足工程计算要求。
表5 开裂弯矩理论计算值
与试验值
Table 5 Calculated and test values of cracking moment

梁编号tM/(kN·m)ccrM/(kN·m)tccrMMcr/crUHPCB1 36.00 32.39 1.111 UHPCB2 36.00 37.22 0.967 UHPCB3 38.40 36.01 1.066 UHPCB4 40.00 41.39 0.966
正常使用荷载一般指荷载值为 0.5Fu~0.7Fu(Fu表示极限荷载),本文选取两个特征荷载0.5Fu、0.65Fu所对应的弯矩作为正常使用阶段的弯矩代表值,其对应的值见表6,表中M表示正常使用荷载对应的弯矩;Mu表示极限荷载对应的弯矩;其余符号意义见上述各式。
表6 关键参数取值
Table 6 The values of key parameters

注:表中梁L-3~梁L-6、梁B1~梁B4各特征荷载下的挠度取值根据文献[10]、文献[12]中已给的数据线性插值得到。
梁编号M/(kN·m)M/Muρ/(%)fβkψηMT/MMT′/Mf实测/mm UHPCB1 116.87 0.50 3.21 0.053 1.113 0.726 0.840 0.22 0.07 22.49 151.94 0.65 0.827 0.17 0.05 30.67 UHPCB2 157.90 0.50 6.74 0.053 1.167 0.810 0.768 0.14 0.03 26.70 205.26 0.65 0.883 0.11 0.02 35.36 UHPCB3 118.42 0.50 3.21 0.084 1.113 0.676 0.843 0.25 0.07 23.47 153.94 0.65 0.793 0.20 0.05 32.05 UHPCB4 161.25 0.50 6.74 0.084 1.167 0.779 0.773 0.16 0.03 28.62 209.62 0.65 0.861 0.12 0.02 37.18 L-3 31.50 0.50 3.07 0.034 1.220 0.200 0.846 0.33 0.07 2.99 40.95 0.65 0.320 0.25 0.06 4.04 L-4 32.25 0.50 3.08 0.034 1.205 0.241 0.846 0.32 0.08 3.38 41.93 0.65 0.481 0.25 0.06 4.57 L-5 43.50 0.50 5.90 0.034 1.299 0.406 0.786 0.22 0.02 4.23 56.55 0.65 0.583 0.17 0.02 5.55 L-6 50.25 0.50 9.66 0.034 1.439 0.461 0.726 0.18 -0.01 4.54 65.33 0.65 0.617 0.14 -0.01 5.95 B123.63 0.50 1.47 0.021 1.099 0.416 0.903 0.40 0.18 10.15 30.71 0.65 0.628 0.30 0.14 14.25 B230.98 0.50 2.21 0.021 1.099 0.502 0.881 0.29 0.12 11.16 40.27 0.65 0.671 0.22 0.09 14.91 B346.00 0.50 4.14 0.021 1.235 0.731 0.837 0.18 0.04 14.60 59.80 0.65 0.825 0.14 0.03 19.56 B450.38 0.50 4.96 0.021 1.235 0.761 0.822 0.16 0.03 14.93 65.49 0.65 0.846 0.12 0.02 19.73
受弯梁短期刚度试验值可根据梁挠度计算公式反推得到,梁挠度计算公式为:
式中:β为与荷载形式、支承条件有关的挠度系数,本文试验梁为两点对称加载,β=23216;l0为梁的计算跨度;Bs为梁截面短期刚度。
变换式(30)可得:
将相关试验数据代入式(31)可求得试验梁跨中截面短期刚度试验值
,所得试验值见表7所示。由表中数据可以看出,在同一荷载水平,纵向受拉钢筋配筋率较高的梁(如UHPCB2或UHPCB4)短期刚度试验值明显高于配筋率较低的梁(如 UHPCB1或UHPCB3)。通过比较梁UHPCB1与梁UHPCB3的短期刚度试验值,可见钢纤维掺量的提高,对刚度基本无影响。
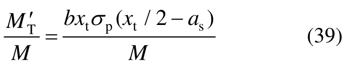
按解析刚度法求受弯梁短期刚度计算值时,需要确定MT/M、MT′/M的值。由复合材料理论,UHPC材料在受拉开裂后基体退出工作,应力仅由钢纤维承担,此时UHPC材料承担的复合应力为:
式中:α为有效方向系数,本文取值0.35;Vf为钢纤维体积掺量百分率;σf为顺向纤维应力;σp为UHPC复合应力,当σp≥ft时,取σp=ft。
试验中,UHPC开裂后,钢纤维未被拉断。文献[19]给出了复合材料开裂后,顺向钢纤维应力计算公式:

式中:lf/df为钢纤维长径比;τ为钢纤维与UHPC基体间的粘结应力,文献[20]给出平直钢纤维与UHPC基体平均粘结应力为:
表7 试验梁跨中截面短期刚度实测值与计算值
Table 7 Test and calculated value of immediate stiffness at mid-span of beams

梁编号 弯矩M/(kN·m) 弯矩比M/Mu试验值 计算值1计算值2比值1比值2B/(N·mm2)t sB/(N·mm2)c cs1B/(N·mm2)s2BcBts1/sBB数据来源c ts2/sUHPCB1 116.87 0.50 1.27×10131.18×10131.13×10130.925 0.884 151.94 0.65 1.21×10131.16×10131.05×10130.952 0.867 UHPCB2 157.90 0.50 1.45×10131.51×10131.22×10131.040 0.844 205.26 0.65 1.42×10131.50×10131.18×10131.057 0.835 UHPCB3 118.42 0.50 1.24×10131.29×10131.20×10131.043 0.973 153.94 0.65 1.18×10131.26×10131.11×10131.070 0.943 UHPCB4 161.25 0.50 1.38×10131.60×10131.29×10131.159 0.932 209.62 0.65 1.38×10131.59×10131.24×10131.148 0.894 L-3 31.50 0.50 3.48×10123.89×10123.08×10121.118 0.886本文试验40.95 0.65 3.34×10123.44×10123.01×10121.028 0.901 L-4 32.25 0.50 3.15×10123.61×10123.30×10121.146 1.049 41.93 0.65 3.03×10123.89×10122.76×10120.955 0.912 L-5 43.50 0.50 3.39×10123.62×10122.87×10121.066 0.846 56.55 0.65 3.36×10123.11×10122.62×10120.925 0.779 L-6 50.25 0.50 3.65×10123.45×10122.33×10120.943 0.638 65.33 0.65 3.62×10122.97×10122.19×10120.819 0.604 B123.63 0.50 2.23×10122.47×10122.99×10121.106 1.340文献[10]30.71 0.65 2.07×10122.15×10122.41×10121.043 1.167 B230.98 0.50 2.66×10123.01×10123.33×10121.132 1.252 40.27 0.65 2.59×10122.72×10122.89×10121.052 1.116 B346.00 0.50 3.02×10122.87×10122.77×10120.952 0.918 59.80 0.65 2.93×10122.77×10122.60×10120.946 0.886 B450.38 0.50 3.23×10123.14×10122.94×10120.971 0.911 65.49 0.65 3.18×10123.06×10122.79×10120.962 0.878文献[12]
开裂后UHPC应力分布视为沿受拉区高度均匀分布(如图4所示),则受拉区UHPC合力Tc为:
受拉区 UHPC合力Tc对受压区合力作用点的力矩MT为:
由式(36)可得:

受拉区 UHPC合力Tc到受拉钢筋合力点的力矩MT′为:
由式(38)可得:

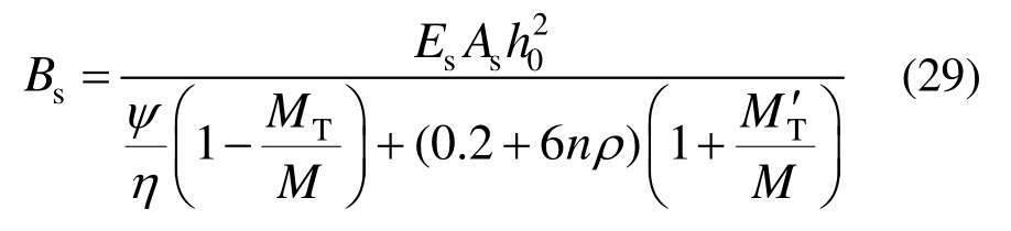
式中:as为钢筋合力中心至截面下边缘的距离;xt为截面受拉区高度,xt=h-xcr,其中xcr可按式(7)计算。将式(37)、式(39)代入式(29)即可求得短期刚度Bs。
将本文4根UHPC梁及RPC梁[10]、UHPC梁[12]有关参数代入相关计算公式(表6列出了关键计算参数的取值),得到梁在正常使用阶段 0.5Mu、0.65Mu时按有效惯性矩法、刚度解析法的短期刚度计算值
短期刚度计算值及短期刚度计算值与试验值的比值列于表 7。经计算,本文UHPC试验梁按有效惯性矩法所得的短期刚度计算值与试验值之比的平均值为 1.049,变异系数为 0.078;按解析刚度法所得的短期刚度计算值与试验值之比的平均值为0.897,变异系数为0.055。RPC梁[10]按有效惯性矩法所得的短期刚度计算值与试验值之比的平均值为 1.000,变异系数为 0.110;按解析刚度法所得的短期刚度计算值与试验值之比的平均值为0.827,变异系数为0.179。UHPC梁[12]按有效惯性矩法所得的短期刚度计算值与试验值之比的平均值为1.020,变异系数为0.072;按解析刚度法所得的短期刚度计算值与试验值之比的平均值为 1.059,变异系数为0.173。所有梁按有效惯性矩法所得的短期刚度计算值与试验值之比的平均值为 1.023,变异系数为0.086;按解析刚度法所得的挠度计算值与试验值之比的平均值为 0.927,变异系数为 0.178。综合比较发现,有效惯性矩法的精度高于解析刚度法,且数值的稳定性也优于解析刚度法。但是解析刚度法的刚度计算值均小于试验值,相比而言,按有效惯性矩法所得的短期刚度计算值大于试验值,从安全的角度考虑,解析刚度法要优于有效惯性矩法。
(1) 试验结果表明,适筋梁在临近峰值荷载时,由于钢筋屈服,其荷载-挠度曲线具有一段荷载基本不增加的平台段;部分超筋梁在临近峰值荷载时由于部分钢筋屈服,荷载-挠度曲线斜率略有降低,没有在峰值荷载附近形成平台段。
(2) 提高钢纤维掺量对UHPC梁短期刚度基本无影响。增加高强钢筋的配筋率,对梁截面刚度提高效果显著。
(3) 按本文提出的开裂弯矩公式计算UHPC梁的截面开裂弯矩,计算值与试验值吻合较好。
(4) 解析刚度法与有效惯性矩法均能较好地计算UHPC梁的截面短期刚度,二者均有良好的计算精度,满足工程计算要求。两种计算方法相比,有效惯性矩法在精度上优于解析刚度法;从安全角度分析,解析刚度法优于有效惯性矩法。
[1]李庆华, 徐世烺. 超高韧性水泥基复合材料基本性能和结构应用研究进展[J]. 工程力学, 2009, 26(增刊 2):23-67.Li Qinghua, Xu Shilang. Performance and appliaction of utral high toughness cementitious composite [J].Engineering Mechanics, 2009, 26(Suppl 2): 23-67. (in Chinese)
[2]Russell H G, Graybeal B A. Ultra-high performance concrete: A State-of-the-art report for the bridge community [R]. Research, Development, and Technology Turner-fair Bank Highway Research Center, McLean,Virginia, 2013: 16-19.
[3]金凌志, 李月霞, 祁凯能, 等. 高强钢筋 RPC 简支梁抗剪承载力及延性研究[J]. 工程力学, 2015, 32(增刊1): 209-214.Jin Lingzhi, Li Yuexia, Qi Kaineng, et al. Research on shear bearing capacity and ductility of high strength reinforced RPC beam [J]. Engineering Mechanics, 2015,32(Suppl 1): 209-214. (in Chinese)
[4]徐世烺, 王洪昌. 超高韧性水泥基复合材料与钢筋粘结本构关系的试验研究[J]. 工程力学, 2008, 25(11):53-61.Xu Shilang, Wang Hongchang. Experimental Study on bond-slip between ultra high toughness cementitious composites and steel bar [J]. Engineering Mechanics,2008, 25(11): 53-61. (in Chinese)
[5]邓明科, 卜新星, 潘姣姣, 等. 型钢高延性混凝土短柱抗震性能试验研究[J]. 工程力学, 2017, 34(01): 163-170.Deng Mingke, Bu Xinxing, Pan Jiaojiao, et al.Experimental study on seismic behavior of steel reinforced high ductile concrete short columns [J].Engineering Mechanics, 2017, 34(01): 163-170. (in Chinese)
[6]赖建中, 朱耀勇, 谭剑敏. 超高性能混凝土在埋置炸药下的抗爆试验及数值模拟[J]. 工程力学, 2016,33(5): 193-199.Lai Jianzhong, Zhu Yaoyong, Tan Jianmin. Experimental and simulation of utra high performance concrete subjected to blast by embedded explosive [J].Engineering Mechanics, 2016, 33(5): 193-199. (in Chinese)
[7]Yoo D Y, Banthia N, Yoon Y S. Predicting service deflection of ultra-high-performance fiber-reinforced concrete beams reinforced with GFRP bars [J].Composites Part B Engineering, 2016, 99(6): 381-397.
[8]Ashour S, Mahmood K, Wafa F. Service load deflections of high-strength fiber reinforced concrete beams [J].Journal of King Abdulaziz University Engineering Sciences, 2000, 8(2): 21-46.
[9]ACI 318—95, Building code requirements for reinforced concrete [S]. Michigan, American Concrete Institute,1995.
[10]李莉. 活性粉末混凝土梁受力性能及设计方法研究[D]. 哈尔滨: 哈尔滨工业大学, 2010.Li Li. Mechanical behavior and design method for reactive powder concrete beams [D]. Harbin: Harbin Institute of Technology, 2010. (in Chinese)
[11]GB 50010-2010,混凝土结构设计规范[S]. 北京: 中国建筑工业出版社, 2010.GB 50010-2010, Code for design of concrete structures [S]. Beijing: China Architecture Industry Press, 2010. (in Chinese)
[12]邓宗才, 肖锐, 徐海宾, 等. 高强钢筋超高性能混凝土梁的使用性能研究[J]. 哈尔滨工程大学学报, 2015,36(10): 1335-1340.Deng Zongcai, Xiao Rui, Xu Haibin, et al. Serviceability research of ultra high performance concrete beams reinforced with high strength steel bars [J]. Journal of Harbin Engineering University, 2015, 36(10): 1335-1340. (in Chinese)
[13]Abrishambaf A, Pimentel M, Nunes S. Influence of fibre orientation on the tensile behaviour of ultra-high performance fibre reinforced cementitious composites[J]. Cement & Concrete Research, 2017, 97: 28-40.
[14]Krenchel H, ‘Fiber spacing and specific fiber surface’, in‘Testing and Test Methods of Fiber Cement Composites’[C]. Proceedings of the RILEM Symposium,Construction Press Ltd., Lancaster 1978: 69-79.
[15]Naaman A E, Reinhardt H W. High performance fiber reinforced cement composites [M]. London: Springer Publishing Company, 1995.
[16]Hu A X, Liang X W, Yu J, et al. Tensile characteristics of ultra high performance concrete [J]. Magazine of Concrete Research, 2018, 70(6): 314-324.
[17]蓝宗建, 丁大钧. 钢筋混凝土受弯构件裂缝宽度的计算[J]. 东南大学学报(自然科学版), 1985, 15(2): 64-72.Lan Zongjian, Ding Dajun. Calculation for crack width of reinforced concrete members with flexure [J]. Journal of Southeast University (Natural Science Edition), 1985,15(2): 64-72.(in Chinese)
[18]GB/T 50152-2012, 混凝土结构试验方法标准[S]. 北京: 中国建筑工业出版社, 2012.GB/T 50152-2012, Standard for test method of concrete structures [S]. Beijing: China Architecture Industry Press, 2012. (in Chinese)
[19]李志武, 许金余, 张国喜, 等. 利用纤维增强机理对纤维临界体积率的理论推导[C]. 第十三届纤维混凝土学术会议暨第二届海峡两岸三地混凝土技术研讨会, 南京, 中国土木工程学会, 2010: 522-528.Li Zhiwu, Xu Jinyu, Zhang Guoxi, et al. The theoretical deduction of the critical fiber volume quantity using the mechanism of fiber reinforced concrete [C]. Seminar on concrete technology in three places across the Taiwan straits. Nanjing, Civil Engineering Institute of China,2010: 522-528. (in Chinese)
[20]Ali H M, Hamad L N T. First diagonal cracking and ultimate shear of reactive powder concrete T-beams without stirrups [J]. Journal of Engineering and Development, 2014, 18(5): 149-164.
THEORETICAL AND EXPERIMENTAL INVESTIGATION ON IMMEDIATE STIFFNESS OF UHPC BEAMS
于 婧(1982―),女,河南人,副教授,博士,硕导,从事新型材料及结构研究(E-mail: yujing1506@163.com);