轻骨料混凝土自问世以来,在工程应用中表现出轻质、高强、保温、耐火、抗震性好等优点,是高层建筑、大跨建筑结构、水运和海洋采油工程以及高抗震区、软土地基地区建筑的一种重要建筑材料[1-2]。目前,轻骨料混凝土技术在各类建筑中应用不断成熟,它所体现出的经济与工程价值也日益凸现。实际工程中,混凝土结构与构件多处于复杂应力状态,因此研究轻骨料混凝土在复杂应力状态下的破坏准则对于充分发挥材料性能和进行合理的结构设计具有重要意义。
近年来,不少学者对轻骨料混凝土的多轴强度进行了试验研究[2-7]。研究表明,轻骨料混凝土在多轴高压应力下存在平台流塑现象,轻骨料混凝土的内部骨料被压碎,此时轻骨料混凝土试件虽然仍能承受压力,但内部骨料已经损坏,无法承受反向拉力,故工程中将轻骨料混凝土平台流塑区段的强度作为轻骨料混凝土的极限强度,并给出了轻骨料混凝土与静水应力轴的拉、压两端均相交的结论[2]。
针对轻骨料混凝土的这一典型破坏特征,已有研究给出了一些适用于轻骨料混凝土的多轴强度准则[8-10],其中拉压子午线采用二次抛物线型的强度准则与试验结果吻合较好,二次型强度准则需要采用两个不同的函数来描述拉压子午线,造成了强度包络线在连接处存在尖角的缺陷。椭球面强度准则克服了不光滑的缺陷,但强度包络线在高静水压力区与试验结果相差较大[10]。由于轻骨料混凝土也是一种岩土类材料,本文以岩土材料的屈服机理为基础,调整了岩土材料的弹头型屈服函数作为轻骨料混凝土的拉压子午线,偏平面上采用与之对应的椭圆型形状函数,建立了一种适用于轻骨料混凝土空间光滑、连续、封闭的弹头型强度准则。通过分析比较发现所建立的强度准则与试验结果吻合度较高。
由于存在平台流塑现象,轻骨料混凝土的破坏曲面除了具有普通混凝土的一些特征,还具有以下典型特征[2],其偏平面与拉压子午面的特征如下:
1) 拉、压子午线与偏平面破坏包络线均是连续、光滑、外凸的曲线,并且与静水应力有关;
2) 拉、压子午线与静水压力轴两端都相交,交点为三轴等拉强度和三轴等压平台流塑强度,拉压子午线是封闭的(如图1(a)所示);
3) 偏平面强度包络线为三轴对称封闭曲线;
4) 偏平面上的封闭包络线形状,随着静水压力值的减小,由近似三角形不断外凸,当拉压子午线比值rt/rc→ 1 时椭圆蜕变为圆(如图 1(b)所示)。

图1 轻骨料混凝土破坏曲面
Fig.1 Lightweight aggregate concrete failure surface
混凝土的力学性能主要由骨料的性能、硬化水泥浆体的性能及水泥石的粘结性能决定[11]。普通混凝土的骨料强度大于水泥石强度,水泥浆体性能和界面粘结性能对混凝土的力学性能影响较大,骨料与水泥石的界面区是最薄弱部位。对于轻骨料混凝土,骨料强度往往小于水泥石强度,骨料强度是轻骨料混凝土强度的决定因素[12-13]。轻骨料混凝土的极限强度包络面是封闭的,在达到一定的静水压力后,强度包络面会向内收缩,这与岩土材料在低围压下的软化收敛具有类似特征,因此可以将岩土材料中的屈服函数作为轻骨料混凝土的屈服准则。
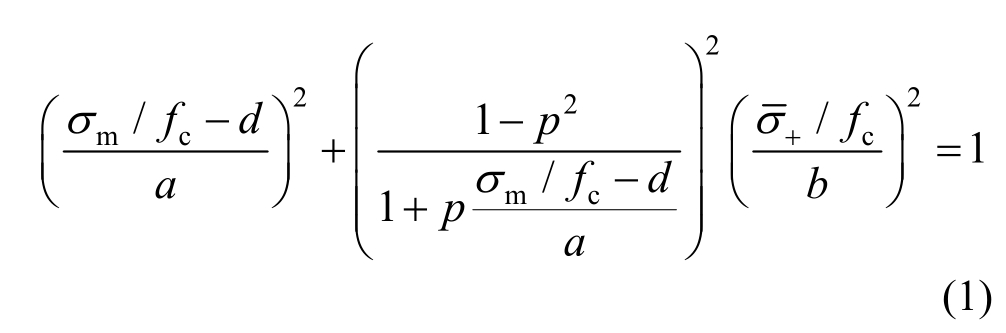
任放等[14]提出了岩土类材料的蛋形(弹头型)屈服函数,其在岩土材料中应用已经得到了认可。本文考虑了强度对轻骨料混凝土屈服面的影响,改进后的弹头型屈服函数为式(1)所示。

式中:
为破坏曲面在π平面上的形状函数;θ为平面曲线的罗德角;
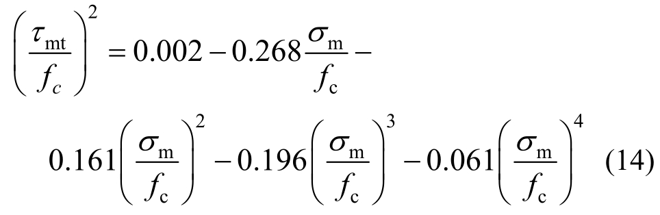
![]()
参数a、b和d分别为椭圆的长短半轴和σm/fc的中心;p为椭圆的修正系数,当p=0为椭圆,当-1 <p< 0 时为弹头型(剑桥)曲面,当0<p<1时为蛋形曲面,且当
时,弹头型曲面向椭圆逼近(如图2所示)。

图2 弹头型屈服面
Fig.2 Warhead yield surface
由于轻骨料混凝土拉、压子午线在相同静水压力下的偏应力不等,所以选取 William-Warnke模型[15]的椭圆曲线作为式(1)中的π平面形状函数,该曲线可以较好拟合偏平面曲线按椭圆轨迹的变化规律。偏平面具有三重对称性,故只需考虑偏平面在0 ° ≤θ≤ 6 0° 范围内的部分(如图 3所示),其偏平面极半轴表达式为式(2)所示。

图3 π平面曲线上0° ≤θ≤ 6 0° 椭圆形包络线
Fig.3 Elliptic curve envelope within 0°≤θ≤60°in π-plane

式中:![]()
![]()
由拉压子午线方程可以确定k,代入式(3)即可确定π平面形状函数g(θ)。
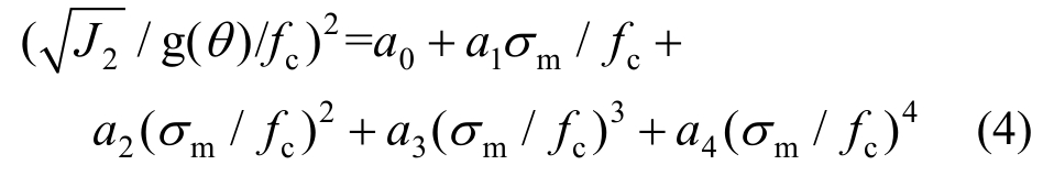
混凝土等脆性材料的屈服点不是很明确,但破坏点非常明确,且混凝土结构不允许有较大的塑性变形,因而将屈服强度定义为破坏准则[16]。轻骨料混凝土的屈服面和极限强度面都是闭合的,假定后继屈服面不随形状的变化而均匀张开,偏平面内屈服面的截面形状的改变是依照各项同性的法则,所以可以直接用弹头型屈服函数来描述轻骨料混凝土的极限强度面。为了方便参数的确定,取式(1)展开合并后的表达式:

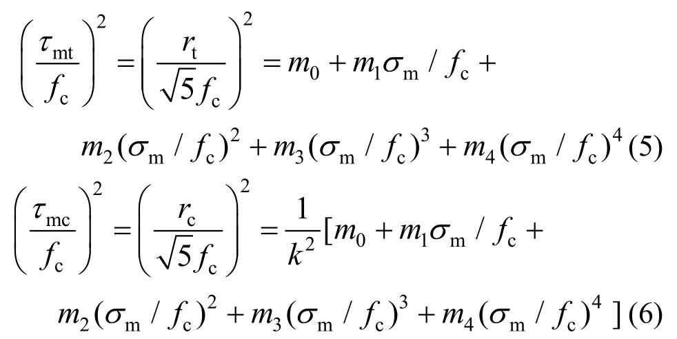
确定g()θ后即可得到轻骨料混凝土拉压子午线方程,考虑到轻骨料混凝土与静水压力轴有两个交点,即拉、压子午线满足
则轻骨料混凝土拉、压子午线的表达式为:

式中:
和τmc分别表示θ=0°和θ=60°时的平均剪应力;m0、m1、m2、m3、m4、k为6个待定参数。在实际工程中,如果已知结构的某一点应力状态
利用式(7)~式(9)的转换关系即可求出
的值,再代入式(4)即可判断该点是否进入破坏状态。


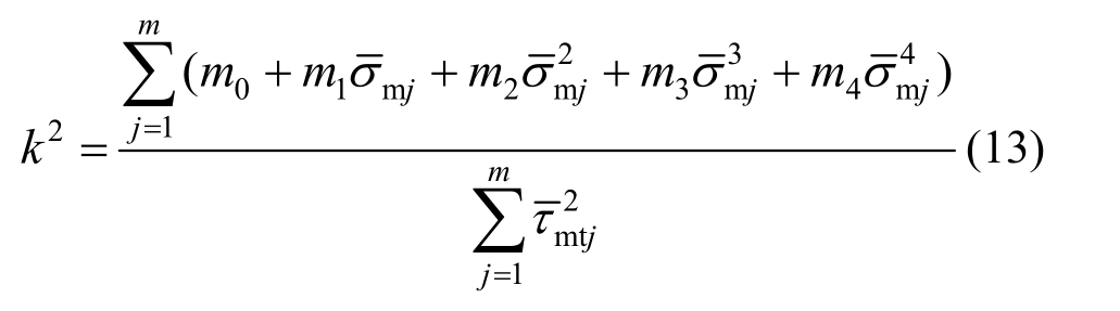
确定拉压子午线的方法通常有特征值法和最小二乘拟合法,由于拉压子午线方程中有 6个未知参数,所以采用最小二乘法来确定方程中的待定系数。假定试验中得到了n个拉子午线上的试验点。为了书写方便,令
第i个试验点的无量纲坐标可表示为
将试验点代入拉伸子午线方程可以得到关于待定系数
的线性方程组:

将式(10)转化成矩阵形式为:
式中:

那么该线性方程组的解为:
如果另有m个试验点在压缩子午线上,第j个试验点表示为
。利用最小二乘法的原理可以得到系数k的表达式为:

采用大连理工大学对轻骨料混凝土展开多轴强度试验得到的数据[8](表1),利用最小二乘法可确定待定系数如下:
将计算结果代入式(5)可得轻骨料混凝土破坏曲面拉子午线方程为:

拉子午线方程试验值与计算值的回归平方和
离差平方和
决定系数R2=0.9979,回归曲线拟合效果较好。
利用式(13)拟合可得k=0.798,将k代入式(6)可得轻骨料混凝土破坏曲面的压缩子午线方程为:

压子午线方程试验值与计算值的回归平方和
离差平方和
决定系数R2=0.9888,回归曲线拟合效果较好。拟合中
时偏离较大,拟合时剔除掉这一点的影响。将拟合得到的理论结果与试验结果进行对比如图4所示。
表1 轻骨料混凝土多轴强度试验结果
Table 1 Experimental results of multiaxial strength of lightweight aggregate concrete

编号1/MPaσ2/MPaσ3/MPaσm/MPaσ22/MPaJm/fcσm/fcτ2/cJfθ/(°)1 -2.82 -2.82 -28.17 -11.27 214.25 -0.68 0.55 0.88 60 2 -3.15 -7.87 -31.49 -14.17 230.48 -0.85 0.58 0.91 51.06 3 -3.1 -9.3 -31 -14.47 214.66 -0.87 0.56 0.88 47.78 4 -3.42 -17.08 -34.15 -18.22 236.97 -1.09 0.58 0.92 33.67 5 -3.18 -23.85 -31.8 -19.61 218.20 -1.18 0.56 0.89 15.61 6 -3.03 -30.32 -30.32 -21.22 248.20 -1.27 0.60 0.94 0 7 -11.3 -13.56 -45.19 -23.35 359.12 -1.40 0.72 1.14 56.58 8 -12.08 -24.16 -48.31 -28.18 340.34 -1.69 0.70 1.11 40.89 9 -10.98 -32.93 -43.9 -29.27 281.08 -1.75 0.64 1.01 19.1 10 -9.77 -39.09 -39.09 -29.32 286.56 -1.76 0.64 1.01 0 11 -15.20 -15.2 -50.66 -27.02 419.05 -1.62 0.78 1.23 60 12 -15.32 -25.53 -51.05 -30.63 338.78 -1.84 0.70 1.10 43.9 13 -14.21 -47.38 -47.38 -36.32 366.66 -2.18 0.73 1.15 0 14 -29.43 -29.43 -58.86 -39.24 288.72 -2.35 0.64 1.02 60 15 -25.74 -38.6 -51.47 -38.6 165.44 -2.31 0.49 0.77 30.01 16 -25.66 -51.31 -51.31 -42.76 219.24 -2.56 0.56 0.89 0 17 -41.96 -41.96 -55.94 -46.62 65.09 -2.79 0.31 0.48 60 18 -38.03 -50.7 -50.70 -46.48 53.56 -2.79 0.28 0.44 0 19 -57.74 -57.74 -57.74 -57.74 0.00 -3.46 0.00 0.00 NAN 20 0.90 0.09 -0.90 0.03 0.81 0.00 0.03 0.05 33.3 21 0.86 0.15 -1.15 -0.05 1.04 0.00 0.04 0.06 39.62 22 0.65 0.13 -1.3 -0.17 1.02 -0.01 0.04 0.06 45.08 23 0.41 0.21 -4.10 -1.16 6.48 -0.07 0.10 0.15 57.75 24 0.60 0.60 -0.80 0.13 0.65 0.01 0.03 0.05 60 25 0.58 0.58 -2.30 -0.38 2.76 -0.02 0.06 0.10 60 26 0.71 -2.84 -2.84 -1.66 4.21 -0.10 0.08 0.12 0 27 1.97 -2.62 -2.62 -1.09 7.03 -0.07 0.10 0.16 0 28 1.72 -1.72 -1.72 -0.57 3.95 -0.03 0.08 0.12 0 29 1.75 1.75 1.75 1.75 0.00 0.10 0.00 0.00 NAN 30 1.23 0.62 0.62 0.82 0.13 0.05 0.01 0.02 0 31 1.84 0.46 0.46 0.92 0.64 0.06 0.03 0.05 0 32 0 -5.25 -20.98 -8.74 119.20 -0.52 0.41 0.65 46.09 33 0 -10.28 -20.56 -10.28 105.71 -0.62 0.39 0.62 30 34 0 -15.06 -20.08 -11.71 109.22 -0.70 0.40 0.63 13.9 35 0 -21.35 -21.35 -14.23 151.90 -0.85 0.47 0.74 0 36 0.48 0 -9.69 -3.07 32.89 -0.18 0.22 0.34 57.6 37 1.25 0 -4.99 -1.25 10.90 -0.07 0.13 0.20 49.09 38 0.63 0 -6.33 -1.9 14.80 -0.11 0.15 0.23 55.31 39 1.8 0 -3.6 -0.6 7.57 -0.04 0.10 0.16 40.89 40 1.98 0 -2.64 -0.22 5.83 -0.01 0.09 0.14 34.72
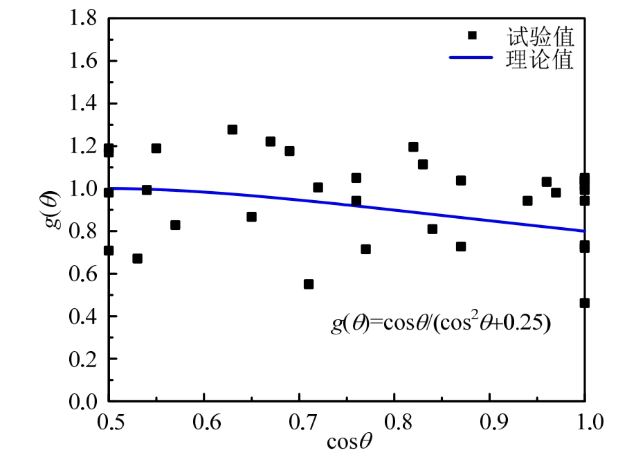
将k代入式(3)~式(4)可以求得π平面形状函数和整体强度准则为式(16)和式(17)。π平面形状函数试验值与理论值的回归平方和
,离差平方和
,决定系数R2=0.9755,回归曲线拟合效果较好。π平面形状函数与试验结果对比如图 5所示,整体强度包络线与试验结果比较如图6所示。


图4 拉、压子午线方程与试验结果的比较
Fig.4 Comparison between tensile and compressive meridians based on unified theroy and experimental results

图5 π平面形状函数与试验结果的比较
Fig.5 Comparison between π plane shape function and experimental results

图6 整体强度包络线与试验结果比较
Fig.6 Comparison between the overall strength envelope and experimental results
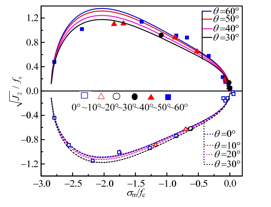
由图4~图6可以看出所建立的轻骨料混凝土强度准则在受拉区偏于保守,而在受压区理论值与试验值吻合度较高,可以很好的描述轻骨料混凝土受压破坏的曲面特征,适用于轻骨料混凝土受压问题的分析。图 7为由式(16)绘制的偏平面包络线和试验点的对比结果。

图7 不同静水应力水平下偏平面上的极限强度包络线
Fig.7 The ultimate strength envelope in deviatoric plane under different hydrostatic stress
有图7可知,试验点基本落在了强度包络线范围内,偏平面强度包络线随着σm/fc的增大先向外扩张,当达到一定值后(本文强度准则的理论值为-2.0368)向内迅速收敛,可见轻骨料混凝土开始软化后将以较快的速度破坏。
通过以上分析可以看出弹头型强度准则与轻骨料混凝土的真实受力情况是非常吻合的。实际工程中的轻骨料混凝土种类繁多且强度各不相同,对每种轻骨料混凝土进行多轴强度研究是不现实的。本文提出的轻骨料混凝土弹头型强度准则是基于应力无量纲化处理和弹头型屈服条件建立的,不同种类的轻骨料混凝土极限强度虽然存在差异,但由于它们遵循的屈服机理是相同的,那么将量化后的弹头型强度准则用于大多数轻骨料混凝土是合理的。
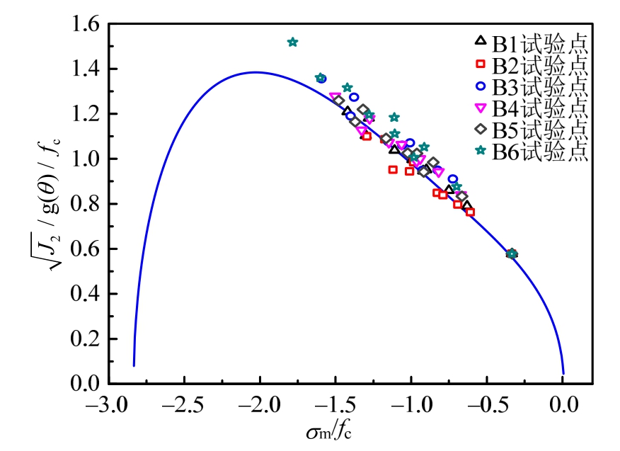
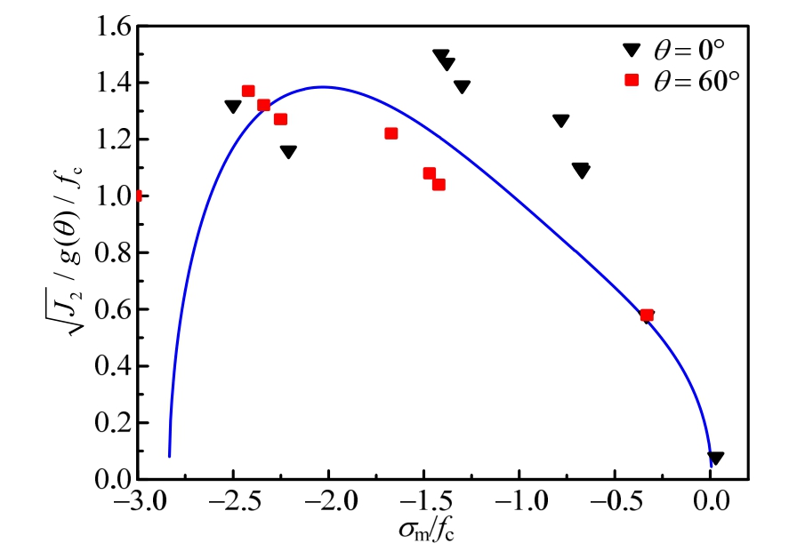
文献[3]对多种不同配合比的轻骨料混凝土进行多轴抗压试验(表2),表中B1~B6为6组不同强度的轻骨料混凝土三轴抗压试验结果,文献[6]进行了全轻页岩陶粒混凝土的三轴受压试验(表3),将上述文献中轻骨料混凝土的试验点绘制在强度准则包络图内,得到实验值与强度准则的对比结果如图8和9所示。
从图8可以看出,不同配比下的轻骨料混凝土试验点与强度准则包络线十分接近,相同应力比σ1/σ2/σ3下g(θ)相同,同一主应力σm/fc对应的偏应力
随着轻骨料混凝土强度的提高略微增大,但整体上满足弹头型分布规律。图9中的试验点离散度较大,也是基本服从弹头型强度规律的。
因此可以采用量化后的弹头型强度准则作为大多数轻骨料混凝土是否进入多轴受压破坏状态的依据。
表2 三向受压状态下不同配比的轻骨料混凝土极限强度
Table 2 Ultimate strength of lightweight aggregate concrete with different ratio under triaxial compression

σσσB1 B2 B3 B4 B5 B6 1 2 3//0/0/1 36.2 42.0 47.5 54.1 61.1 87.9 0.05/0.2/1 54.7 61.2 82.6 87 97.4 147.3 0.05/0.6/1 60.7 63.1 79.8 94.8 101.9 156.7 0.05/0.95/1 54 61.9 75.4 86.2 93.8 146.2 0.1/0.2/1 62.3 67.0 90.3 102.1 120.4 185.2 0.1/0.6/1 70.9 74..8 96.4 109.6 125.8 198.3 0.1/0.95/1 67.7 72.2 95.7 100.9 117.9 183 0.15/0.2/1 72 73.5 106.2 113.1 130.7 217.2 0.15/0.6/1 80.6 80.6 114.0 123.1 143.6 241.2 0.15/0.95/1 73.5 77.5 108.0 116.1 129.2 223.9
表3 全轻页岩陶粒混凝土三轴受压试验结果
Table 3 Triaxial compression test results of all-light shale ceramsite concrete

θ=0°θ=60°σ2/cm/fcJfm/fcσ2/cJf-0.78 1.02 -1.67 1.22-0.68 0.88 -1.42 1.04-0.67 0.87 -1.47 1.08-1.41 1.20 -2.25 1.27-1.38 1.18 -2.34 1.32-1.3 1.11 -2.42 1.37-2.5 1.05 -3.43 1.13-2.21 0.93 -3.18 1.05 0.03 0.06 -3.02 1.00— — -0.33 0.58

图8 不同配比的轻骨料混凝土三轴受压试验结果与强度准则比较
Fig.8 Triaxial compression test results of lightweight aggregate concrete with different ratio comparison with the strength criterion

图9 全轻页岩陶粒混凝土三轴受压试验结果与强度准则比较
Fig.9 Triaxial compression test points of all-light shale ceramsite concrete comparison with the strength criterion
本文基于William-Warnke模型和改进后的岩土材料弹头型屈服函数,建立了一种针对轻骨料混凝土的六参数弹头型强度准则,该准则具有如下特征:
(1) 偏平面破坏包络线为椭圆曲线,可以较好刻画轻骨料混凝土偏平面的分布规律。拉压子午线为改进后的弹头型屈服函数,强度准则用一个连续、光滑、封闭的空间函数可以较好的刻画轻骨料混凝土从强化到软化直至破坏的曲面特征。
(2) 弹头型强度准则克服了二次抛物线型拉、压子午线破坏曲面有尖角的缺点,采用一个函数就可以判断混凝土的受力状态,减少了拉、压子午线分开判断的麻烦,使用起来较为方便。
(3) 轻骨料混凝土弹头型强度准则与试验结果吻合较好,通过与不同类型的轻骨料混凝土的试验结果对比,证实了轻骨料混凝土普遍遵循弹头型强度规律,量化后的强度准则可以作为大多数轻骨料混凝土是否进入多轴受压破坏状态的依据,工程适用性较好。
[1]龚洛书, 柳春圃. 轻集料混凝土[M]. 北京: 中国铁道出版社, 1996.Gong Luoshu, Liu Chunpu. Lightweight aggregate concrete [M]. Beijing: China Railway Press, 1996. (in Chinese)
[2]宋玉普. 多种混凝土材料的本构关系和破坏准则[M].北京: 中国水利电力出版社, 2002.Song Yupu. The constitutive model equations and failure criterion of multiple concrete materials [M]. Beijing:China Water recourses and Hydropower Press, 2002. (in Chinese)
[3]Scheerer S, Hampel T, Curbach M. High performance of lightweight aggregate concrete under multiracial compres-sion [J]. Beton-und Stahlbetonbau, 2009,104(10): 672-680.
[4]Liu Hanyong, Song Yupu. Experimental study of lightweight aggregate concrete under multiracial stresses[J]. Journal of Zhejiang University: Science A, 2010,11(8): 545-554.
[5]Wang Licheng, Song Yupu. Mechanical behavior and failure criterion of the gangue-basedhaydite concrete under triaxal loading [J]. Materials and Structures, 2015,48(5): 1419-1433.
[6]杨健辉, 张鹏, 王涛, 等. 全轻页岩陶粒混凝土三轴受压试验及其破坏准则[J]. 工程力学, 2015, 32(10): 89-98.Yang Jianhui, Zhang Peng, Wang Tao, et al. The tests and failure criteria of full lightweight shale ceramsite concrete under true triaxial compression [J]. Engineering Mechanics, 2015, 32(10): 89-98. (in Chinese)
[7]宋玉普, 赵国藩, 彭放, 等. 三轴受压状态下轻骨料混凝土的强度特性[J]. 水利学报, 1993, 6(1): 10-15.Song Yupu, Zhao Guofan, Peng Fang, et al. Behavior of lightweight concrete under triaxial compressive stress [J].Journal of Hydraulic Engineering, 1993, 6(1): 10-15.(in Chinese)
[8]王立成, 宋玉普. 一个针对轻骨料混凝土的四参数多轴强度准则[J]. 土木工程学报, 2005, 38(7): 27-33.Wang Licheng, Song Yupu. A four-parameter multi-axial strength criterion for lightweight aggregate concrete [J].China Civil Engineering Journal, 2005, 38(7): 27-33.(in Chinese)
[9]王立成, 日和田 希与志. 基于统一强度理论的轻骨料混凝土多轴强度准则[J]. 工程力学, 2006, 23(5): 125-131.Wang Licheng, Hiwada Kiyoshi. Multi-axial strength criterion for lightweight aggregate concrete based on the unified strength theory [J]. Engineering Mechanics,2006, 23(5): 125-131. (in Chinese)
[10]王万祯. 轻骨料混凝土的破坏面模型[J]. 建筑材料报,2014, 17(1): 60-65.Wang Wanzhen. Failure model of lightweight aggregate concrete [J]. Journal of Building Materials, 2014, 17(1):60-65. (in Chinese)
[11]叶列平, 孙海林, 陆新征. 高强轻骨料混凝土结构[M].北京: 科学出版社, 2009.Ye Lieping, Sun Hailin, Lu Xinzheng. High strength lightweight aggregate concrete structures [M]. Beijing:Science Press, 2009. (in Chinese)
[12]Bremner T W, Holm T A. Elastic compatibility and the behavior of concrete [J]. ACI, 1986, 88(2): 244-250.
[13]Zhang Minhong, Gjorv Odd E. Mechanical properties of high-strength lightweight concrete [J]. ACI, 1991, 88(3):240-247.
[14]任放, 盛谦, 常燕庭. 岩土类工程材料的蛋形屈服函数[J]. 岩土工程学报, 1993, 15(4): 33-39.Ren Fang, Sheng Qian, Chang Yanting. Egg-shaped yield function of geotechnical engineering materials [J].Chinese Journal of Geotechnical Engineering, 1993,15(4): 33-39. (in Chinese)
[15]William K J, Warnke E P. Constitutive models for the triaxial behavior of concrete [C]// Proceedings of the International Association for Bridge and Structural Engineering.Bergamo Italy, 1975(19): 1-30.
[16]过镇海. 钢筋混凝土原理[M]. 北京: 清华大学出社,1999.Guo Zhenhai. Principle of reinforced concrete [M].Beijing: Tsinghua University Press, 1999. (in Chinese)
A STRENGTH CRITERION FOR LIGHTWEIHT AGGREGATE CONCRETE BASED ON WARHEAD YIELD
刘 月(1993―),女,安徽人,硕士生,从事结构工程研究(E-mail: 1151798658@qq.com);