结构控制技术[1-3]是减小结构在地震、风等激励作用下动力响应的有效途径,实现结构控制的最常见方式是在结构中附加被动减震装置。传统的减震装置主要由三种经典力学元件组成,即质量、弹簧和阻尼。其中,弹簧和阻尼是安装在结构中的两节点元件,而质量(如悬挂在调谐质量阻尼器TMD[4-5]中的质量块)则是单节点惯性元件。
20世纪末,日本学者Arakaki等[6]于1999年提出将滚珠丝杠应用于黏滞阻尼器以增大其有效黏滞阻尼力,这种放大作用是基于一种两节点惯性元件实现的。几乎在同一时期(21世纪初),Smith[7]基于力学系统与电路系统的“力-电比拟”从理论层面提出了“惯容”(inerter,与电路中的“电容”相对应)的概念,用来描述这种两节点惯性单元。惯容与传统质量惯性单元不同之处是,惯容的力与单元两端点间的相对加速度成正比,即:
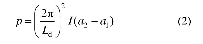
式中:p为惯性力;md为惯容系数;a1、a2为惯容两端点的加速度值。
尽管惯容系统在土木工程领域的应用略早于机械、汽车领域,但系统化的理论与试验研究却是汽车领域先开展的。Smith和Wang[8]在提出惯容概念之后很快便将惯容应用于F1赛车的悬架系统中,以提高赛车悬架系统的驾驶性能,后续的相关研究[9-11]使得汽车悬架成为惯容研究与应用较为成熟的领域。除此之外,惯容器也相继应用于摩托车、火车、光学工作台、飞机起落架等其他机械装置中。
由于跨领域交流的不足,土木领域的学者在相当一段时间内都采用“旋转质量”“惯性质量”等作为惯容的代名词。在土木工程领域,惯容研究的先驱学者井上范夫(Inoue)和五十子幸树(Ikago)教授等对于惯容的基础理论和应用做出了卓有成效的研究成果[6,12-13]。Saito等[12]提出了调谐黏滞质量阻尼器(tuned viscous mass damper,TVMD),并进行了振动台试验。Ikago等[13]基于定点理论提出了设置 TVMD单自由度体系的参数设计方法,但需要根据经验来确定惯容系数。潘超等[14]建议在设计TVMD单自由度体系时应以结构性能需求为目标,并以控制成本最优为设计原则。Kida等[15]通过在TVMD中安装旋转滑动装置从而避免支撑构件、减振装置自身以及与减振装置相连的主体结构产生过大的应力。Nakamura等[16]提出了具有旋转惯性质量的电磁阻尼器(electromagnetic inertial mass damper,EIMD),并进行了足尺振动台试验。Lazar等[17]研究了调谐惯容阻尼器(tuned inerter damper,TID)振动控制系统的性能,研究表明TID较传统的TMD在质量和振动控制方面有着更显著的效果。罗浩等[18-19]对串联黏滞质量阻尼器(SVMD)的减震机理进行了理论分析,并提出采用惯容装置与橡胶支座结合来进行储罐的混合减震控制。阎武通等[20]对于调谐黏滞质量阻尼器在斜拉桥的减震控制中的应用进行了分析和探讨,并证实了 TVMD对斜拉桥减震的适用性和有效性。文永奎等[21]采用 H2优化策略对设置惯容减震装置多自由度体系的参数进行了优化设计。上述研究均表明惯容机制可以有效控制结构的动力响应,具有良好的工程应用前景。
目前对于惯容减震装置的减震机理已有足够的认识,但实用设计方法的研究不足,且尚有缺陷(尤其是抗震设计方法)。鉴于此,本文对设置一种惯容减震系统的单自由度体系在随机地震激励下的响应规律进行了研究,并基于此提出了该体系的实用参数设计方法,以便惯容减震系统在结构减震控制中的应用。文中首先基于运动方程推导了惯容减震单自由度体系在随机地震激励下的响应表达式。随后采用金井清谱[22]为随机地震输入模型,对该体系进行随机地震响应规律的研究。根据响应规律,以性能需求为设计目标,提出了优化设计方法。最后,通过设计实例分析验证了本文所提设计方法的有效性。
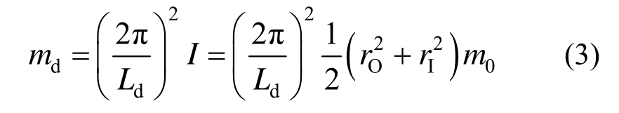
惯容器可以通过多种不同的机制来实现,比较常见的有齿条-齿轮传动装置[7]、滚珠丝杠[23]、液压机构[24]、电磁机构[16]等。其中,滚珠丝杠机制由于质量增效显著而成为目前较常见的惯容器实现机制。图1是滚珠丝杠惯容器的原理图,两个端点的相对直线运动通过滚珠丝杠装置可转化为飞轮的旋转运动,惯容出力与两端点的相对加速度、丝杠螺距Ld及飞轮转动惯量I相关,即:

对比式(2)和式(1),可得滚珠丝杠惯容器惯容系数的表达式[13]:

式中:m0为飞轮的实际质量;
为飞轮的外直径和内直径。对于实际制造的惯容器,式(3)中系数
可以达到 103数量级,即仅需要很小的实际质量就可以提供足够大的惯容系数。

图1 惯容器(滚珠丝杠机制)原理示意图
Fig.1 Schematic drawing of mechanism of inerter(ball-screw type)
目前针对惯容的研究方兴未艾,不同学者按照自己的理解为利用惯容机制的减震装置命名,如旋转质量阻尼器、动态质量阻尼器、调谐黏滞质量阻尼器等等,造成惯容减震装置命名混乱,不成体系。因为惯容减震装置的减震机理由调谐、能量转移、能量耗散等多方面因素构成,并不同于传统意义的阻尼器,因此本文不建议使用“阻尼器”这一称谓对其命名。实际上一个惯容减震装置中已完整包含了一个动力学体系应具备的基本元素(即运动方程中包含了加速度项、速度项、位移项),所以可以认为其自成系统,故本文建议将利用惯容机制进行减震控制的装置称为惯容减震系统(inerter system,IS)。对于只包含三种基本力学元件(即惯容器、阻尼器和弹簧各一个)的惯容系统,主要有三种有效的力学连接形式[25]:三元件串联的串联型惯容系统(series inerter system,SIS,见图2(a))、弹簧和阻尼器并联后与惯容器串联的混联 I型惯容系统(series-parallel-i inerter system,SPIS-I,见图 2(b))、惯容器和阻尼器并联后与弹簧串联的混联II型惯容系统(series-parallel-II inerter system,SPIS-II,见图2(c))。图3是以混联II型惯容系统(SPIS-II)为例给出的惯容系统构造示意图[13]。三种惯容系统中,串联型惯容系统(SIS)和混联I型(SPIS-I)与TMD的力学连接形式类似(加速度相关元件均与阻尼器串联),因此,用于TMD系统的最优调谐准则(即定点理论)[4]可用于SIS和SPIS-I的参数设计。而混联II型惯容系统(SPIS-II)中惯容器与阻尼器是并联的形式,跟TMD完全不同(TMD无法实现这种连接形式),因此定点理论在该种情况下并不适用[14],需要找到一种改进的设计方法,这也是本文要研究的主要内容。

图2 惯容减震系统的基本类型
Fig.2 Basic mechanical layouts of inerter systems

图3 混联II型惯容系统构造示意图[13]
Fig.3 Construction drawing of SPIS-II[13]
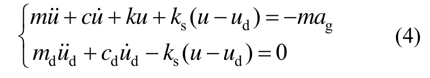
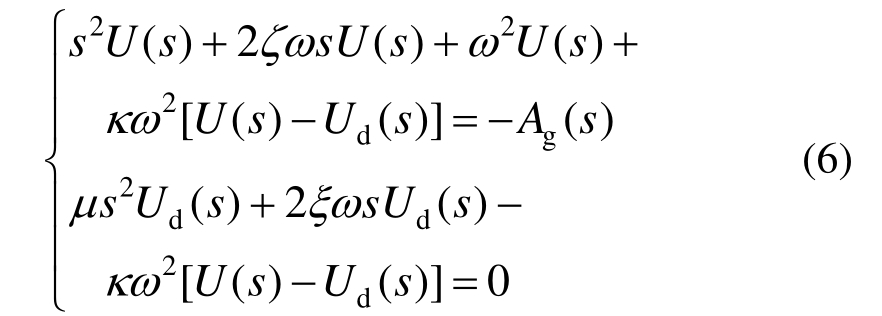
图4为SPIS-II单自由度体系的理想力学模型。由图4可得,SPIS-II单自由度体系在随机地震激励下的运动方程如下所示:

将式(4)改写为无量纲形式:

式(4)、式(5)中各符号的含义详见表1。
式(5)的拉普拉斯变换形式为:

式中:
分别表示![]()
的拉普拉斯变换。

图4 SPIS-II单自由度体系的分析模型
Fig.4 Mechanical model of SDOF system with SPIS-II
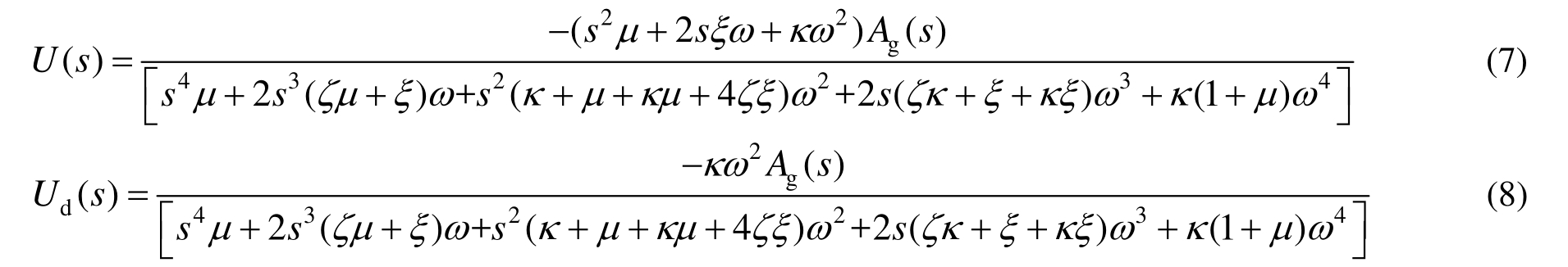
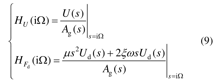
解式(6)得U(s)、Ud(s):

则位移响应的传递函数HU、SPIS-II力响应的传递函数为HFd为:

由式(7)~式(9)可整理得:

式中:

若用Sag(Ω) 表示输入的地震激励的功率谱,根据随机振动理论[26],单自由度体系位移响应的均方根值σU以及SPIS-II力响应的均方根值可以按式(12)求出:

采用无量纲的位移减震比γU和耗能元件出力响应比γFd对设置SPIS-II单自由度体系的减震效果进行评估:
表1 符号说明
Table 1 Notations

符号 定义t时间m单自由度体系的质量c单自由度体系的阻尼系数k单自由度体系的刚度系数/km ζωω=单自由度体系的自振圆频率/(2 )=单自由度体系的固有阻尼比cmmSPIS-II的惯容系数dcSPIS-II的阻尼系数kSPIS-II的刚度系数dsμ=SPIS-II单自由度体系的惯质比d/mmskms/ξω ω=SPIS-II的名义圆频率d/(2 )=cmSPIS-II的名义阻尼比κ=SPIS-II的刚度比skka地震动加速度u单自由度体系的位移响应guSPIS-II中阻尼元件的位移响应dfSPIS-II的力响应Uσ单自由度体系位移响应的均方根dβ=Ωω简谐激励圆频率的相对值FσSPIS-II力响应的均方根Ω简谐激励的圆频率/dS地震动的功率频谱密度gaS功率谱密度的幅值gω金井清谱的场地土卓越圆频率gζ金井清谱的场地土阻尼比0ω金井清谱的峰值圆频率peakη=ωω金井清谱场地土卓越圆频率的相对值gβωωpeak=peak/ 金井清谱峰值圆频率的相对值

式中:
分别为未设置SPIS-II的单自由度体系的位移响应和阻尼力响应均方根值;![]()
分别为相应的传递函数的模:

式(13)、式(14)中,位移减震比γU越小表明减震效果越好,耗能元件出力响应比γFd越小表明控制成本越低[14]。
为简化计算,设置动力吸振器(如 TMD[4-5])结构的参数设计通常假定输入为白噪声[4]。这种假定对于风作用下是基本适用的,但由于地震功率谱与白噪声区别较大,因此对于地震激励可能并不适用。本节将讨论地震动频谱特性对 SPIS-II单自由度体系动力响应和参数设计的影响。
采用经典的金井清谱[22]为随机地震动输入模型,其功率谱密度函数表达式为:

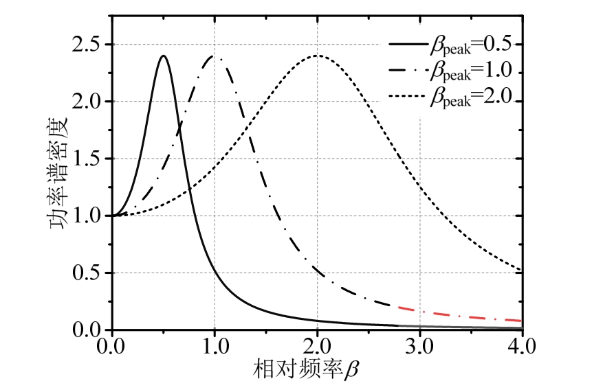
本文对设置SPIS-II单自由度体系在三种卓越频率不同地震作用下的响应进行了参数研究。所采用输入地震动功率谱密度曲线如图5所示,曲线峰值βpeak取为0.5、1.0、2.0,分别表示低频地震动(LS)、最不利地震动(SS)和高频地震动(HS)。此处低频和高频是相对于单自由度体系的固有频率而言的。
参数分析模型为固有阻尼比ζ=2%的单自由度体系。所设置SPIS-II的惯质比取为μ=0.1,以名义阻尼比ξ和刚度比κ为变量进行参数研究。根据式(13)、式(14)可计算出在白噪声以及三种地震作用(LS、SS、HS)下体系的性能评价指标(即γU和γFd)。图6、图7为计算结果的等值线图,图中x轴为SPIS-II的名义阻尼比ξ,y轴为刚度比κ。

图5 随机地震动输入的功率谱密度曲线
Fig.5 Power spectral density curves of stochastic seismic input
由图6、图7中的等值线图可以得出如下结论:
1) 不同激励下γU、γFd的变化趋势大致相同。若将等值线图视为地形图,则图6中位移响应减震比γU等值线图的形似地形图中的“山谷”,在“山谷线”附近γU取其局部极小值。而在图7中,耗能出力响应比γFd等值线图的形状类似于两座山之间的“鞍部”,γFd的局部极小值位于“鞍部”的中心线。


图6 不同激励下配置SPIS-II单自由度体系位移响应等值线图(ζ=0.02,μ=0.1)
Fig.6 Contour plots of the displacement response under different excitations for SDOF system with SPIS-II(ζ=0.02,μ=0.1)


图7 不同激励下配置SPIS-II单自由度体系耗能出力响应等值线图(ζ=0.02,μ=0.1)
Fig.7 Contour plots of the SPIS-II’s force response under different excitations for SDOF system with SPIS-II(ζ=0.02,μ=0.1)
2) 尽管不同地震激励下γU、γFd的变化趋势大致相同,但响应的具体数值和最小值所在位置却存在一定的差异,因此在配置 SPIS-II单自由度体系的设计中,随机地震输入的频谱特征也是应该考虑的一个重要因素。
惯性吸振减震器现有的参数设计方法只关注主体结构的响应的降低(如定点理论[4]),却很少考虑达到预期控制效果所需成本。而合理的减震设计方案应该是减震效果与成本控制相协调的结果。对于设置 SPIS-II的单自由度体系,可用其随机位移响应的均方根值σU来表示减震效果,而成本控制则可用 SPIS-II耗能出力响应的均方根值σFd来体现[14]。根据减震效果与成本控制相协调的设计原则,设置 SPIS-II单自由度体系的参数设计问题可以用数学语言表述为:

式中:参数μ、ξ、κ为决策变量;μmin、ξmin、κmin分别表示μ、ξ、κ的最小值;μmax、ξmax、κmax分别为μ、ξ、κ的最大值。
式(17)所示的优化问题是一个多目标优化问题,本文采用ε-约束方法[27]将该多目标优化问题等效为一个单目标优化问题以便于求解。根据ε-约束方法,选择SPIS-II的耗能出力响应σFd作为新的目标函数,单自由度体系位移响应σU不超过最大容许值为新增约束条件,即设置 SPIS-II 单自由度体系的优化设计问题可转化为下面的优化问题:

[σU]为σU的最大容许值,可理解为性能指标。对式(18)尚应增设附加约束条件以限制SPIS-II的黏滞阻尼,从而使得 SPIS-II中的惯容元件在响应控制中发挥主导作用[14]。附加约束条件如下所示:

式中:系数ψ建议取值范围为1<ψ<2。
根据4.1节所描述的数学优化问题(式(18)及式(19)),本文采用Python语言[28]编制了SPIS-II单自由度体系参数设计的计算机程序(optimal design of structure with inerter system,ODIS)。在本节中,将借助ODIS进行一系列SPIS-II单自由度体系(固有阻尼比 2%)的设计,具体设计工况见表 2,设计结果见表3。
表2 配置SPIS-II单自由度体系的设计工况
Table 2 Design cases of SDOF system with SPIS-II

激励类型 工况名称 目标减震比/(%)WN-2 50最不利地震激励peak1.0白噪声激励 WN-1 60 SS-1 60 SS-2 50高频地震激励peak2.0β=HS-1 60 HS-2 50低频地震激励peak0.5β=β=LS-1 60 LS-2 50
表3 配置SPIS-II单自由度体系的优化设计结果
Table 3 Optimal design results of SDOF system with SPIS-II

工况 设计参数 位移减震比Uγμξκ耗能出力比FdγWN-1 0.0344 0.0089 0.0439 0.60 1.19 WN-2 0.0633 0.0166 0.0824 0.50 1.76 SS-1 0.0314 0.0080 0.0403 0.60 1.12 SS-2 0.0551 0.0142 0.0721 0.50 1.59 HS-1 0.0342 0.0089 0.0440 0.60 1.20 HS-2 0.0626 0.0167 0.0827 0.50 1.78 LS-1 0.0469 0.0116 0.0557 0.60 1.43 LS-2 0.1078 0.0262 0.1233 0.50 2.33
比较表3中不同激励下的参数值可得:白噪声、最不利地震、高频地震激励下的优化设计参数值相近,而低频地震激励下的参数值与其他三种情况存在显著差异。为简化计算,SPIS-II单自由度体系的优化参数设计可以初步假定输入为白噪声,当输入激励的卓越频率较低(相对于结构自振频率)时应谨慎采用白噪声假定。此外,结构的固有阻尼比也会对单自由度体系的设计结果产生影响。
为验证本文设计公式与方法的正确性与有效性,采用蒙特卡洛模拟的方法,根据四种输入地震动功率谱(即白噪声、最不利地震动、高频地震和低频地震动),每种输入随机生成100个样本作为激励输入到 SPIS-II体系中进行动力时程分析,SPIS-II的参数取自表 3。分析完成后对每种工况下响应的平均均方根值进行了统计,结果见表 4。结果显示实际响应值与理论计算值之差非常小,表明前文所述的分析推导和设计方法是准确可靠的。
图8、图9为最不利地震工况(SS-2)下的时程位移曲线和能量响应曲线,图中可以反映出 SPIS-II对原结构动力响应的减震效果。由位移响应曲线(图8)可看出,在整个振动过程中体系的响应都得到了有效控制,响应峰值区域的控制效果尤为显著;由能量响应曲线(图9)可看出,尽管SPIS-II的名义阻尼比ξ=0.0142小于体系固有阻尼比ζ=0.02,但SPIS-II却比体系的固有阻尼吸收耗散掉更多的能量(约 3倍),这表明惯容可以显著提高与之并联阻尼单元的耗能效率。
表4 配置SPIS-II单自由度体系响应对比
Table 4 Comparison of responses of SDOF system with SPIS-II

注:
;变异系数用来表示蒙特卡洛模拟结果的离散程度,数值越小表明离散程度越小。
工况UγFγd理论计算值 蒙特卡洛模拟均值 变异系数/(%) 理论计算值 蒙特卡洛模拟均值 变异系数/(%)WN-1 0.600 0.599 2.73 1.191 1.186 2.65 WN-2 0.500 0.499 3.12 1.764 1.756 3.07 SS-1 0.600 0.600 1.52 1.116 1.118 1.51 SS-2 0.500 0.500 1.77 1.594 1.596 1.75 HS-1 0.600 0.600 1.31 1.197 1.197 1.28 HS-2 0.500 0.500 1.44 1.784 1.783 1.42 LS-1 0.600 0.601 1.36 1.428 1.428 1.46 LS-2 0.500 0.500 1.45 2.330 2.334 1.56

图8 地震激励下体系的位移响应
Fig.8 Dispalcement response of SDOF system with SPIS-II under seismic excitation

图9 地震激励下配置SPIS-II单自由度体系的能量响应
Fig.9 Energy response of SDOF system with SPIS-II under seismic excitation
本文对设置混联II型惯容系统(SPIS-II)的单自由度体系在随机地震激励下的响应进行了参数研究,并根据性能需求对一系列白噪声和抗震设计工况进行了实例设计及响应分析。结论如下:
(1) 考虑随机地震动特性不会明显改变配置SPIS-II单自由度体系各响应的整体变化趋势,但响应数值存在明显差别,当结构频率高于地震动卓越频率较低时这种差别尤为显著。因此 SPIS-II单自由度体系抗震设计时应考虑随机地震频谱特性的影响。
(2) 本文提出的SPIS-II体系的优化设计方法,以基于性能需求为设计目标,采用随机振动理论进行响应计算,可考虑地震动的随机频谱特性,并能同时控制体系响应和控制成本,经实例验证所提方法是正确有效且便于实现的。
(3) SPIS-II单自由度体系在地震激励下能量响应的分析结果验证了 SPIS-II中惯容对阻尼器耗能效率的提高作用。
(4) 本文仅对 SPIS-II单自由度体系进行了研究,而对于配置SPIS-II的多自由度体系将在后续的研究中进行探讨。此外,本文的研究对象为理想化的惯容系统,此理想化模型的适用性需要针对惯容器的具体实现形式进行进一步的理论及试验研究。
[1]Symans M D, Charney F A, Whittaker A S, et al. Energy dissipation systems for seismic applications: Current practice and recent developments [J]. Journal of Structural Engineering, 2008, 134(1): 3-21.
[2]Saaed T E, Nikolakopoulos G, Jonasson J E, et al. A state-of-the-art review of structural control systems [J].Journal of Vibration and Control, 2015, 21(5): 919-937.
[3]杨青顺, 甄伟, 陆新征, 等. 带端部阻尼器伸臂桁架的抗震性能试验研究[J]. 工程力学, 2018, 35(2): 47-58.Yang Qingshun, Zhen Wei, Lu Xinzheng, et al.Experimental study on the seismic performance of damped outriggers [J]. Engineering Mechanics, 2018,35(2): 47-58. (in Chinese)
[4]Den Hartog J P. Mechanical Vibrations [M]. : New York:McGraw-Hill Book Company, 1956.
[5]刘良坤, 谭平, 闫维明, 等. 一种NES与TMD的混合控制方案研究[J]. 工程力学, 2017, 34(9): 64-72.Liu Liangkun, Tan Ping, Yan Weiming, et al. Analysis of a hybrid scheme comprised of nonlinear energy sink and tuned mass damper [J]. Engineering Mechanics, 2017,34(9): 64-72. (in Chinese)
[6]Arakaki T, Kuroda H, Arima F, et al. Development of seismic devices applied to ball screw: Part 1 Basic performance test of RD-series [J]. AIJ Journal of Technology and Design, 1999, 5(8): 239-244.
[7]Smith M C. Synthesis of mechanical networks: The inerter [J]. IEEE Transactions on Automatic Control,2002, 47(10): 1648-1662.
[8]Smith M C, Wang F U C. Performance benefits in passive vehicle suspensions employing inerters [J].Vehicle System Dynamics, 2004, 42(4): 235-257.
[9]陈龙, 张孝良, 聂佳梅, 等. 基于半车模型的两级串联型ISD悬架性能分析[J]. 机械工程学报, 2012, 48(6):102-108.Chen Long, Zhang Xiaoliang, Nie Jiamei, et al.Performance analysis of two-stage series-connected inerter-spring-damper suspension based on half-car model [J]. Journal of Mechanical Engineering, 2012,48(6): 102-108. (in Chinese)
[10]杨晓峰, 沈钰杰, 陈龙, 等. 基于动力吸振理论的车辆ISD悬架设计与性能分析[J]. 汽车工程, 2014, 36(10):1262-1266.Yang Xiaofeng, Shen Yujie, Chenlong, et al. Design and performance analysis of vehicle ISD suspension based on dynamic vibration absorber theory [J]. Automotive Engineering, 2014, 36(10): 1262-1266. (in Chinese)
[11]毛明, 王乐, 陈轶杰, 等. 惯容器及惯容器-弹簧-阻尼器悬架研究进展[J]. 兵工学报, 2016, 37(3): 525-534.Mao Ming, Wang Le, Chen Yijie, et al. Research progress in inerter and inerter-spring-damper suspension[J]. Acta Armamentarii, 2016, 37(3): 525-534. (in Chinese)
[12]Saito K, Kurita S, Inoue N. Optimum response control of 1-DOF system using linear viscous damper with inertial mass and its Kelvin-type modeling [J]. Journal of Structural Engineering, 2007, 53: 53-66.
[13]Ikago K, Saito K, Inoue N. Seismic control of single-degree-of-freedom structure using tuned viscous mass damper [J]. Earthquake Engineering & Structural Dynamics, 2012, 41(3): 453-474.
[14]Pan C, Zhang R F, Luo H, et al. Demand-based optimal design of oscillator with parallel-layout viscous inerter damper [J]. Structural Control and Health Monitoring,2018, 25(1): e2051.
[15]Kida H, Watanabe Y, Nakaminami S, et al. Full-scale dynamic tests of tuned viscous mass damper with force restriction mechanism and Its analytical verification [J].Journal of Structural and Construction Engineering Architectural Institute of Japan, 2011, 76(665): 1271-1280.
[16]Nakamura Y, Fukukita A, Tamura K, et al. Seismic response control using electromagnetic inertial mass dampers [J]. Earthquake Engineering and Structural Dynamics, 2014, 43(4): 507-527.
[17]Lazar I F, Neild S A, Wagg D J. Using an inerter-based device for structural vibration suppression [J].Earthquake Engineering & Structural Dynamics, 2014,43(8): 1129-1147.
[18]罗浩, 张瑞甫, 翁大根, 等. 一种旋转黏滞质量阻尼器对结构响应的控制研究[J]. 防灾减灾工程学报, 2016,36(2): 295-301.Luo Hao, Zhang Ruifu, Weng Dagen, et al. Study of a series viscous mass damper in the control of structural response [J]. Journal of Disaster Prevention and Mitigation Engineering, 2016, 36(2): 295-301. (in Chinese)
[19]Luo H, Zhang R F, Weng D G. Mitigation of liquid sloshing in storage tanks by using a hybrid control method [J]. Soil Dynamics and Earthquake Engineering,2016, 90: 183-195.
[20]阎武通, 韩冰, 文永奎. 新型调谐黏滞质量阻尼器对斜拉桥的减震控制分析[J]. 土木工程学报, 2016,49(S1): 66-71.Yan Wutong, Han Bing, Wen Yongkui, et al. Seismic control analysis of cable-stayed bridge based on tuned viscous mass damper [J]. China Civil Engineering Journal, 2016, 49(S1): 66-71. (in Chinese)
[21]Wen Y, Chen Z, Hua X. Design and evaluation of tuned inerter-based dampers for the seismic control of MDOF structures [J]. Journal of Structural Engineering, 2017,143(4): 4016201-4016207.
[22]Kanai K. Semi-empirical formula for the seismic characteristics of the ground [J]. Bulletin of Earthquake Research Institute, University of Tokyo, 1957, 35(2):309-325.
[23]Papageorgiou C, Houghton N E, Smith M C.Experimental testing and analysis of inerter devices [J].Journal of Dynamic Systems, Measurement and Control,Transactions of the ASME, 2009, 131(1): 1-11.
[24]Swift S J, Smith M C, Glover A R, et al. Design and modelling of a fluid inerter [J]. International Journal of Control, 2013, 86(11): 2035-2051.
[25]Hu Y, Chen M Z Q, Shu Z, et al. Analysis and optimisation for inerter-based isolators via fixed-point theory and algebraic solution [J]. Journal of Sound and Vibration, 2015, 346: 17-36.
[26]Crandall S H, Mark W D. Random vibration in mechanical systems [M]. New York: Academic Press,2014.
[27]Chankong V, Haimes Y. Multiobjective decision making theory and methodology [M]. New York: Elsevier, 1983.
[28]Oliphant T E. Python for scientific computing [J].Computing in Science & Engineering, 2007, 9(3): 10-20.
STOCHASTIC SEISMIC RESPONSE AND DESIGN OF STRUCTURAL SYSTEM WITH SERIES-PARALLEL-II INERTER SYSTEM
王 超(1995―),女,山东人,学士,主要从事工程结构减震控制研究(E-mail: wangchao17@tongji.edu.cn);