传统抗震结构通常设计截面较大、耗能性能一般、强震后损伤位置不易控制且修复困难,为了改进结构的抗震性能,研究人员开发了基础隔震、消能减震、吸能减震等新型被动控制技术,其中消能减震技术因其减震机理明确、效果显著、适用范围广、维护方便等优点而广泛应用于工程实践。
消能减震技术通过在结构某些部位安装耗能减震装置,在地震时由耗能减震装置和结构本身共同储存和耗散地震能量。耗能减震装置主要可以分为金属阻尼器、黏弹性阻尼器、黏滞阻尼器、智能材料阻尼器和复合型消能器等。为了综合利用不同类型阻尼器的优点,国内外学者研发了多种不同耗能原理组合的复合型消能器。国外学者提出了摩擦黏弹性阻尼器、流体阻尼与黏弹性复合型阻尼器以及金属与黏弹性复合串联式阻尼器等各种不同组合形式的复合型消能器[1-10];国内学者也研发出扇形铅黏弹性阻尼器、形状记忆合金复合摩擦阻尼器、钢管铅阻尼器等多种复合型消能器[11-21]。
金属阻尼器是一种位移型阻尼器,在较大变形时可通过金属本身的弹塑性变形耗散大量地震能量,但其小震时通常不屈服;黏弹性阻尼器是一种速度型阻尼器,在较小的振动下便可以耗散能量,但黏弹性阻尼器的力学性能可能受温度、加载频率的影响。作者自主研发了一种由O型钢板金属阻尼器与高阻尼黏弹性阻尼器并联而成的复合型消能器。该种复合型消能器兼具位移型阻尼器与速度型阻尼器各自的减振优点,小变形时,黏弹性阻尼器主要发挥耗能作用,而O型钢板金属阻尼器可以为结构提供较大的附加刚度;大变形时,二者共同耗能,使两种不同材料的阻尼器在工作时各尽其能,有效控制结构的风振和地震反应。
可将该复合型消能器安装在如图1所示的框架结构或剪力墙结构连梁中部,进行结构振动反应控制。在风或地震作用下,框架结构的相邻楼层将发生层间相对位移,剪力墙的连梁中部将发生上下剪切错动位移,从而使安装在图1中的复合型消能器的两侧端板发生相对位移,带动其中的O型钢板金属阻尼器发生弯曲变形以及高阻尼黏弹性阻尼器发生剪切变形,耗散由风或地震作用输入到结构中的能量,避免重要的结构构件发生严重损伤,实现有效保护主体结构的目的。

图1 复合型消能器安装位置示意图
Fig.1 Schematic diagram of installation position of composite energy dissipator
在本次试验研究中,对复合型消能器进行了低周反复加载试验,研究加载频率与加载位移对复合型消能器的力学性能的影响,对比分析了O型钢板金属阻尼器、高阻尼黏弹性阻尼器和复合型消能器在不同加载位移下的力学性能指标,揭示了复合型消能器的耗能机理,最后采用Bouc-Wen模型模拟了复合型消能器在不同加载位移阶段的滞回特性。
本次试验制作的复合型消能器由两个O型钢板金属阻尼器与一个高阻尼黏弹性阻尼器并联而成,O型钢板金属阻尼器由Q235钢加工制作,高阻尼黏弹性阻尼器由多块钢板和两层黏弹性材料层组成,其中黏弹性材料层采用国产的高阻尼橡胶,表 1为高阻尼橡胶的材性试验测试结果。构造形式上,高阻尼黏弹性阻尼器直接与端板螺栓连接,两个O型钢板金属阻尼器根据设计需要可通过垫梁与端板螺栓连接,具体的构造图如图2所示。其中O型钢板金属阻尼器构造与尺寸如图3所示与见表2,橡胶材料层的尺寸确定为200 mm×200 mm,厚度为16 mm,黏弹性阻尼器的具体构造如图4所示。
表1 高阻尼橡胶主要性能参数
Table 1 Main performance parameters of high damping rubber

序号 项目 实测值1 硬度 75 2 拉伸强度/MPa 17.22 3 扯断伸长率/(%) 436 4 撕裂强度/(N/mm) 80 5 低温脆性 -50 ℃,3 min不裂6 剪切模量/MPa 1.33 7 橡胶与金属粘合强度/MPa 6.95 8 剥离强度/(kN/m) 22 9 等效阻尼比/(%) 15.1

图2 复合型消能器构造图
Fig.2 Schematic diagram of composite energy dissipator

图3 O型钢板金属阻尼器/mm
Fig.3 O-shaped steel plate mental damper
表2 O型钢板金属阻尼器构件尺寸
Table 2 Dimension of O-shaped steel plate mental damper

尺寸/mmtwdsL20 115 300 120 810

图4 黏弹性阻尼器/mm
Fig.4 Viscoelastic damper
试验采用的加载装置为铰接四连杆机构,MTS液压伺服加载系统施加水平推拉荷载,加载系统的照片如图5所示。

图5 加载装置
Fig.5 Loading device
本次试验中,对复合型消能器进行两组试验加载,分别为频率组和幅值组,试验工况由加载频率和位移幅值作为控制指标。试验过程中采用热鼓风机进行温度控制,利用温度计定时测定黏弹性阻尼器橡胶层的表面温度,使橡胶层表面温度保持在21℃~25℃。输入正弦波为u=u0sin(ωt),试验加载循环圈数为5圈,测量每一级加载工况下阻尼器的阻尼力与实际位移,根据《建筑消能阻尼器》(JG/T 209—2012)[22]的数据采集要求,所有试验数据均取第3圈加载循环的实测结果。频率组与幅值组具体工况见表3与表4。本次试验所用的O型钢板金属阻尼器与高阻尼黏弹性阻尼器另外进行了加载圈数为30圈的疲劳性能试验,其中O型钢板金属阻尼器在设计位移幅值下往复循环 30圈后,屈服承载力、屈服位移和最大承载力变化率不超过 5%,30圈的滞回曲线形状几乎重合;黏弹性阻尼器在30圈循环加载后,最大阻尼力、表观剪切模量、损耗因子均有一定程度的下降,下降变化率都不超过13%,30圈的滞回曲线饱满,没有出现明显的强度退化。这都表明O型钢板金属阻尼器和高阻尼黏弹性阻尼器完全满足《建筑消能阻尼器》(JG/T 209—2012)的疲劳测试要求,表现出了优良的抗疲劳性能。
表3 频率组试验工况
Table 3 Test condition of frequency group

试验工况 试验序号 加载位移/mm 加载频率/Hz 试验循环圈数1 0.1 1 2 0.2 3 0.3 4 0.4 5 0.5 6 5 1 0.1 2 2 0.2 3 0.3 4 0.4 5 0.5 165
表4 幅值组试验工况
Table 4 Test condition of amplitude group

加载频率/Hz 试验循环圈数 加载位移/mm 0.1 5 4、8、12、16、24、32、40、48、56、64、72、80、88、96、104
复合型消能器在加载位移为4 mm~32 mm的加载过程中,高阻尼橡胶层基本无撕裂和破坏,也无明显残余变形,高阻尼橡胶层与约束钢板黏结基本完好。在位移加载至40 mm时,高阻尼橡胶层端部出现部分撕裂与残余变形,高阻尼橡胶层局部与约束钢板出现轻微剥离。在位移加载至80 mm时,高阻尼橡胶层明显撕裂并与约束钢板出现剥离现象,高阻尼黏弹性阻尼器发生较大破坏。在加载位移至104 mm时,高阻尼橡胶层大部分撕裂并与约束钢板部分剥离,黏弹性阻尼器完全破坏,停止加载。O型钢板金属阻尼器在整个加载过程呈滚动弯曲变形,未产生任何裂纹,表现出优良的变形性能和耗能能力。图6和图7为组成复合型消能器的高阻尼黏弹性阻尼器和 O型钢板金属阻尼器在加载过程中的试验图片。

图6 高阻尼黏弹性阻尼器试验现象
Fig.6 Test phenomenon of high damping viscoelastic damper

图7 O型钢板金属阻尼器试验现象
Fig.7 Test phenomenon of O-shaped steel plate metal damper
2.2.1 加载频率对复合型消能器滞回性能的影响
图8(a)和图8(b)分别为单独的高阻尼黏弹性阻尼器在9.6 mm和12.8 mm两个幅值工况下的频率组试验曲线。由图8可知:高阻尼黏弹性阻尼器力学性能稳定,受加载频率影响小,这与一般的黏弹性阻尼器不同,可能是由橡胶材料的力学性能不同导致的。

图8 高阻尼黏弹性阻尼器的滞回曲线与加载频率相关性
Fig.8 Dependency of hysteresis curves of high damping viscoelastic damper on loading frequency
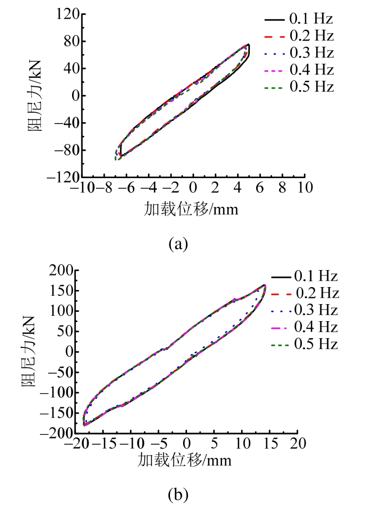
图9 (a)和图9(b)分别为6 mm和16 mm两个幅值工况下复合型消能器的滞回曲线(频率组)。由图9可知在 6 mm和 16 mm加载位移下,在 0.1 Hz~0.5 Hz五个不同加载频率得到的五条滞回曲线基本重合且均光滑饱满,表明复合型消能器的滞回性能受加载频率影响很小,同时具备良好稳定的耗能性能。其原因是:组成复合型消能器的高阻尼黏弹性阻尼器自身的力学性能受加载频率影响小,而O型钢板金属阻尼器是一种位移型阻尼器,其力学性能基本不受加载频率影响,故两种阻尼器并联而成的复合型消能器的力学性能受加载频率影响很小。因此,在同一类型的复合型消能器的设计中,频率影响可以不作为重点考虑的因素。

图9 复合型消能器的滞回曲线与加载频率相关性
Fig.9 Dependency of hysteresis curves of composite energy dissipator on loading frequency
2.2.2 加载频率对复合型消能器最大阻尼力、耗能和等效黏滞阻尼比的影响
由图10(a)~图10(c)分析可知,在0.1 Hz~0.5 Hz的频段范围内,同一级加载位移下复合型消能器的最大阻尼力随着频率的增大而平缓增大,最大阻尼力在6 mm和16 mm加载位移下的最大上升率分别为4.43%和1.16%;第三圈耗能和等效黏滞阻尼比随着频率的增大而略有减小,第三圈耗能在 6 mm和16 mm加载位移下的最大下降率分别为3.57%和8.48%,等效黏滞阻尼比在6 mm和16 mm加载位移下的最大下降率分别为2.07%和2.62%。总体而言,在不同的加载频率下,复合型消能器的力学性能指标变化率不超过10%,表明其受加载频率影响较小,力学性能比较稳定。


图10 复合型消能器的力学性能与加载频率相关性
Fig.10 Dependency of mechanical properties of composite energy dissipator on loading frequency
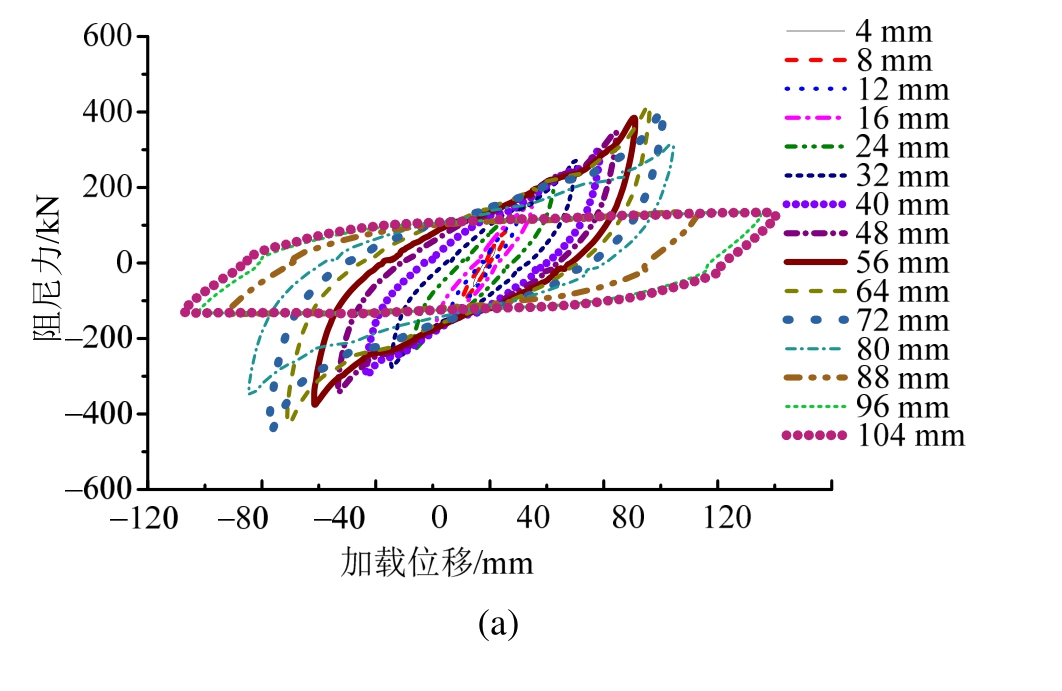
图 11(a)为不同加载位移下复合型消能器的幅值组滞回曲线(加载频率为0.1 Hz,试验数据采用第3圈加载循环的结果)。在加载位移不大于 24 mm时,曲线形状呈中部略微捏拢的椭圆形,滞回曲线表现出比较典型的高阻尼黏弹性阻尼器的耗能特性,因为这一阶段 O型钢板金属阻尼器滞回环较小,即耗散能量较少,其主要为复合型消能器提供附加刚度。在24 mm~80 mm的加载位移范围内,由于大应变条件下黏弹性材料产生硬化,滞回曲线中部开始捏拢,图形呈现出反S形,这一阶段为O型钢板金属阻尼器和高阻尼黏弹性阻尼器协同耗能阶段。在88 mm至104 mm的加载位移范围内,由于高阻尼黏弹性阻尼器大部撕裂,故这一阶段O型钢板金属阻尼器起主导作用,曲线形状呈近视的平行四边形,表现出典型的O型钢板金属阻尼器的耗能特性。总体而言,复合型消能器的滞回环形状受加载位移影响较明显,在不同的位移加载阶段表现出不同形状的滞回环,说明复合型消能器在不同的位移加载阶段具有不同的耗能特性,即反映出在加载过程中组成复合型消能器的高阻尼黏弹性阻尼器与O型钢板金属阻尼器耗散能量的相对比重。同时,其滞回环光滑饱满,体现出良好的耗能能力。


图11 复合型消能器的滞回曲线
Fig.11 Hysteresis curves of composite energy dissipator
图 11(b)~图 11(d)为三个典型的反映复合型消能器在不同加载阶段的耗能特征的滞回曲线,幅值分别为4 mm、64 mm和104 mm,图中每个幅值下的滞回曲线均包含了试验采集得到的5圈循环加载的数据。由图可知复合型消能器在每个幅值下的 5圈循环加载过程中力学性能稳定。
本次试验中,分别对O型钢板金属阻尼器(2个并联)、高阻尼黏弹性阻尼器(1个)和复合型消能器(1个)进行了低周反复加载试验,分析复合型消能器各个组成部分对其力学性能的影响。图 12为三种阻尼器在不同加载位移下的滞回曲线(限于篇幅所限,只列出了部分典型加载工况下的滞回曲线)。由图12可知在加载位移不大于16 mm时,O型钢板金属阻尼器耗能能力有限,主要作用是为复合型消能器提供附加刚度,复合型消能器主要通过高阻尼黏弹性阻尼器的剪切滞回变形耗能。在 24 mm至72 mm的加载过程中,随着O型钢板金属阻尼器变形的增大,其滞回曲线开始变得趋于饱满,耗能能力显著增强。高阻尼黏弹性阻尼器的黏弹性材料也开始发生硬化,其滞回曲线为反S形,从而导致复合型消能器的滞回曲线也主要呈现反 S形。在88 mm~104 mm的加载过程中,由于高阻尼黏弹性阻尼器已经大部撕裂,复合型消能器主要通过O型钢板金属阻尼器的塑性变形耗能,故两者的曲线均呈近似的平行四边形,符合金属阻尼器滞回曲线的形状特点。


图12 三种阻尼器的滞回曲线
Fig.12 Hysteresis curves of three kinds of dampers
根据试验所得的滞回曲线,提取每圈滞回环的峰值阻尼力,可获得三种阻尼器的骨架曲线,如图13所示。本复合型消能器中,金属阻尼器对复合型消能器的承载力和刚度贡献相对较小,但其屈服后承载力和切线刚度退化很小,变形能力较强,具备稳定可靠的耗能性能。

图13 三种阻尼器的骨架曲线
Fig.13 Skeleton curves of three kinds of dampers
图 14(a)~图 14(d)为三种阻尼器的力学性能指标的比较。由图 14(a)分析可知,在 4 mm~72 mm的加载范围内,复合型消能器的最大阻尼力随着加载位移的增大而增大,在72 mm时达到最大值。在72 mm~80 mm的加载过程中,由于高阻尼黏弹性阻尼器开始发生撕裂破坏,最大阻尼力开始保持平缓。在88 mm至104 mm的过程中,这一阶段的阻尼力完全由O型钢板金属阻尼器提供,最大阻尼力在 130 kN附近保持稳定。建议在设计复合型消能器时,通过适当增加橡胶层的厚度,有效提高黏弹性阻尼器的极限剪切变形能力,保证在大震作用下黏弹性阻尼器仍然能够发挥耗能作用。
由图14(b)分析可知,复合型消能器的割线刚度在4 mm~80 mm的加载范围内随着加载位移的增大而减小,在 80 mm~88 mm的范围内随着加载位移的增大而急剧减小(黏弹性阻尼器破坏,其刚度贡献能力丧失),在 88 mm~104 mm 的加载范围内随着加载位移的增大而保持平缓(金属阻尼器提供大部分刚度)。
由 14图(c)分析可知,复合型消能器的耗能在4 mm~80 mm的加载范围内随着加载位移的增大而增大,在80 mm~88 mm的范围内随着加载位移的增大而减小(黏弹性阻尼器破坏),在 88 mm~104 mm的加载范围内随着加载位移的增大而进一步增大(金属阻尼器发挥全部耗能作用)。单个耗能机制的阻尼器在发生破坏后耗能能力会大幅度减小,而复合型消能器利用不同耗能机制的多个耗能元件协同耗能,在其中某一个耗能元件发生破坏后,其他耗能元件仍能继续工作,耗能在小幅度减小后又迅速提高,具有较高的耗能储备。
由图14(d)分析可知,复合型消能器的等效黏滞阻尼比在4 mm~40 mm的加载范围内随着加载位移的增大而平稳增大,在40 mm~80 mm的过程中随着加载位移的增大而保持稳定,在80 mm~104 mm的过程中急剧增大。其中在4 mm~40 mm的加载范围内,主要由高阻尼黏弹性阻尼器发挥耗能作用。在 40 mm~80 mm的过程中,高阻尼黏弹性阻尼器提供的附加阻尼所占比重下降,而金属阻尼器提供的附加阻尼所占比重增大,因此这一阶段等效黏滞阻尼比保持平稳。在80 mm至104 mm的过程中,高阻尼黏弹性阻尼器已经破坏,而金属阻尼器在较大的塑形变形下能够提供较大的附加阻尼,因此复合型消能器的等效黏滞阻尼比在 80 mm~104 mm的过程中急剧增大。该复合型消能器在大变形条件下仍能够为结构提供较大的附加阻尼,具有较高的安全储备。

图14 三种阻尼器的力学性能比较
Fig.14 Comparison of mechanical properties of three kinds of dampers
O型钢板金属阻尼器尽管提供的最大阻尼力较小,但其变形能力强且屈服后承载力退化很小,黏弹性阻尼器的阻尼力大,但阻尼器变形达到72 mm时其会产生破坏。因此,设计时,可适当提高金属阻尼器的承载力,即提高其在复合型消能器中的承载力比重。在加载位移达到60 mm左右,黏弹性阻尼器已有部分损伤,金属阻尼器逐步起到主要耗能作用,所以阻尼器用于大变形时,应进一步提高金属阻尼器的耗能比重或增强高阻尼黏弹性阻尼器的剪切变形性能。
总体而言,复合型消能器兼有O型钢板金属阻尼器和高阻尼黏弹性阻尼器的耗能优点,通过二者的并联式组合,复合型消能器的最大阻尼力、割线刚度和耗能分别等于两种并联阻尼器的对应力学指标的数值之和,相比单个耗能机制的阻尼器,有效提高了其综合抗震性能和安全可靠度。
Bouc-Wen模型能够较好地体现阻尼器的非线性滞回特性与时域特性,并且将阻尼器的恢复力和变形与一个具有不确定参数的非线性微分方程联系起来,通过试验数据合理地对非线性微分方程中的参数进行识别,可以得到大量的具有软式或硬式振动响应特性的滞回曲线,用来模拟不同条件和不同类型阻尼器的力学特性。
Bouc-Wen模型的关系式为:

式中:P(x,z)为阻尼器的总恢复力;α为阻尼器屈服前后刚度比;Ku为阻尼器的初始刚度;x为实际加载位移;z为表征阻尼器非线性滞回特性的中间变量;A、β、γ、n为滞回曲线的形状控制参数。
A主要反映阻尼器的线性刚度,β主要反映阻尼器的耗能特性,γ主要反映阻尼器滞回环的形状,n主要控制滞回曲线的光滑程度。根据前述的试验结果,通过MATLAB编制程序对Bouc-Wen模型进行参数识别,得到以下三组参数识别结果。
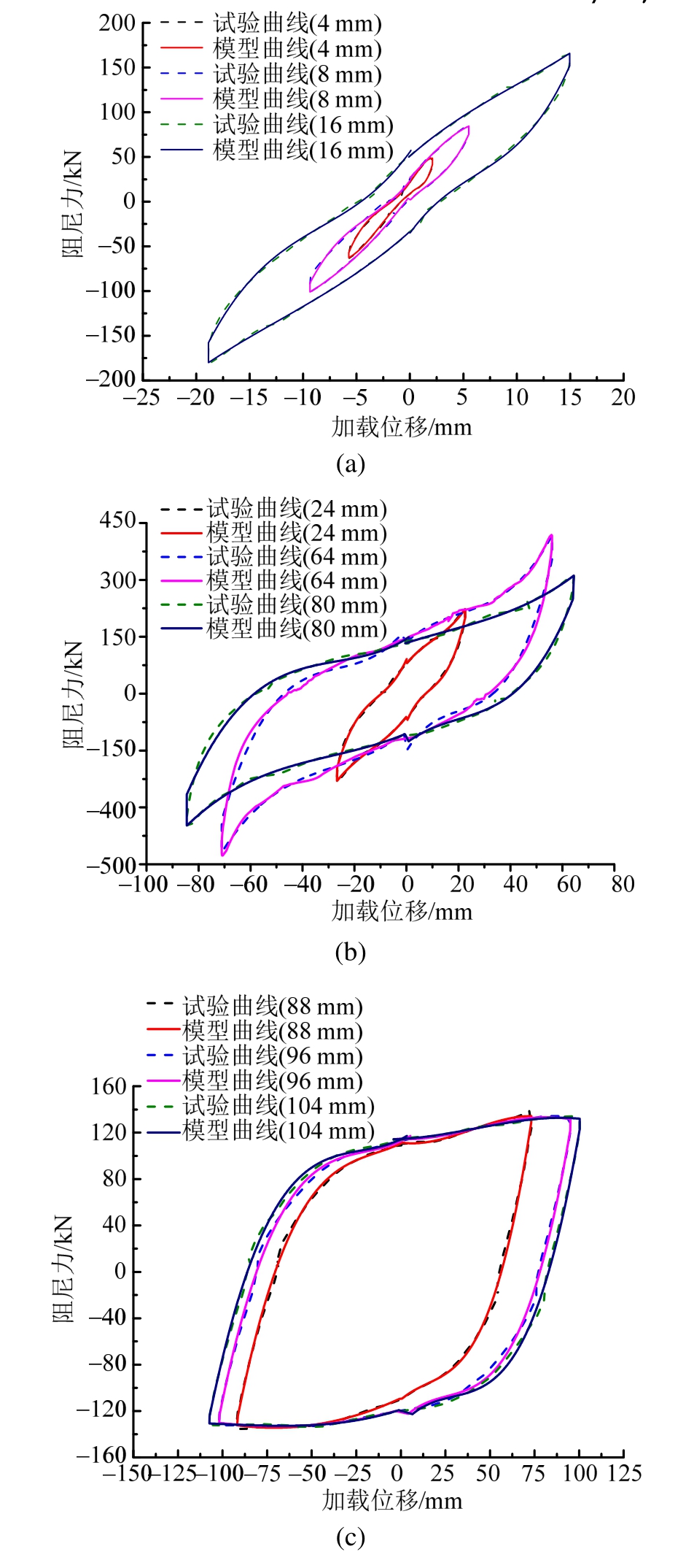
当加载位移4mm ≤d<24mm,滞回曲线呈现出中部捏拢的椭圆形,参数识别结果为:
当加载位移24mm ≤d<88mm,滞回曲线呈现出反S形,参数识别结果为:
当加载位移88mm≤d<104mm,滞回曲线呈现出平行四边形,参数识别结果为:
由图15可知Bouc-Wen模型能够较好地模拟复合型消能器的滞回曲线,较好地反映了复合型阻尼器在不同位移加载阶段的滞回环的主要特征。在以上三组参数识别结果的各自加载位移范围内,当阻尼器的材料和组成形式不变的情况下,A、β、γ、n的取值保持不变,根据阻尼器的尺寸规格调整Ku和α的取值,能够模拟得到一系列不同尺寸规格的阻尼器在该变形范围内的滞回曲线。

图15 滞回曲线对比
Fig.15 Comparison of hysteresis curves
本文基于某国产高阻尼橡胶材料和普通 Q235钢材,研发了具有较大变形能力的 O型钢板-黏弹性复合型消能器。设计了1足尺复合型消能器模型,对其进行了低周反复加载试验研究与恢复力模型参数识别分析,初步得出以下结论:
(1) 组成复合型消能器的金属阻尼器在加载过程中未产生任何裂纹,其承载力和刚度几乎没有退化,黏弹性阻尼器的剪切应变达到 450%时仍然可以正常工作,表明复合型消能器具有大变形的能力;其滞回曲线光滑饱满,表明其具有良好的耗能能力。
(2) 在0.1 Hz~0.5 Hz的加载频率范围内,复合型消能器的力学性能指标变化很小,表明其力学性能稳定,受加载频率影响较小。
(3) 复合型消能器兼具位移型阻尼器与速度型阻尼器的减震优点,小变形时,黏弹性阻尼器发挥主要的耗能作用,O型钢板金属阻尼器为结构提供较大的附加刚度;大变形时,二者协同工作,共同耗能,在某一个耗能元件发生破坏后,其他耗能元件仍能继续工作,具备较高的安全储备。
(4) 在设计复合型消能器时,通过适当增加橡胶层的厚度,能够有效提高黏弹性阻尼器的极限剪切变形能力和耗能性能。
(5) 根据试验滞回曲线的形状特点,应用Bouc-Wen模型进行分段参数识别,其计算结果与试验结果吻合较好。
[1]Song T T, Dargush G F. Passive energy dissipation systems in structural engineering [M]. New York: John Wiley & Sons. Inc., 1997.
[2]Matsagar V. Special issue: earthquake engineering and structural dynamics [J]. Journal of The Institution of Engineers (India): Series A, 2016, 97(4): 355-357.
[3]Zhou Q, Lu X. Shaking table test and numerical analysis of a combined energy dissipation system with metallic yield dampers and oil dampers [J]. Structural Engineering and Mechanics, 2004, 17(2): 187-201.
[4]Yamamoto M, Sone T. Damping systems that are effective over a wide range of displacement amplitudes using metallic yielding component and viscoelastic damper in series [J]. Earthquake Engineering & Structural Dynamics, 2014, 43(14): 2097-2114.
[5]Moreschi L M, Singh M P. Design of yielding metallic and friction dampers for optimal seismic performance[J]. Earthquake engineering & structural dynamics, 2003,32(8): 1291-1311.
[6]Dargush G F, Sant R S. Evolutionary aseismic design and retrofit of structures with passive energy dissipation [J].Earthquake engineering & structural dynamics, 2005,34(13): 1601-1626.
[7]Castaldo P, De Iuliis M. Optimal integrated seismic design of structural and viscoelastic bracing-damper systems [J]. Earthquake Engineering & Structural Dynamics, 2014, 43(12): 1809-1827.
[8]Guo J W W, Christopoulos C. Response prediction,experimental characterization and P-spectra design of frames with viscoelastic–plastic dampers [J]. Earthquake Engineering & Structural Dynamics, 2016, 45(11): 1855-1874.
[9]Christopoulos C, Montgomery M. Viscoelastic coupling dampers (VCDs) for enhanced wind and seismic performance of high-rise buildings [J]. Earthquake Engineering & Structural Dynamics, 2013, 42(15):2217-2233.
[10]Tsai KC. Design of steel triangular plate energy absorbers for seismic-resistant construction [J].Earthquake Spectra, 1993, 9(3): 505-528.
[11]周云, 刘季. 新型耗能(阻尼)减震器的开发与研究[J].地震工程与工程振动, 1998, 18(1): 71-79.Zhou Yun, Liu Ji. Development and study of new energy dissipators (dampers) [J]. Earthquake Engineering and Engineering Vibration, 1998, 18(1): 71-79. ( in Chinese)
[12]吴从晓, 周云, 邓雪松. 钢铅粘弹性阻尼器试验研究[J]. 工程力学, 2012, 29(3): 150-155.Wu Congxiao, Zhou Yun, Deng Xuesong. Experimental study on steel-lead viscoelastic damper [J]. Engineering Mechanics, 2012, 29(3): 150-155. ( in Chinese)
[13]吴斌, 张纪刚, 欧进萍. 考虑几何非线性的Pall型摩擦阻尼器滞回特性分析[J]. 工程力学, 2003, 20(1): 21-26.Wu Bin, Zhang Jigang, Ou Jinping. The analysis of hysteretic behavior of pall-typed frictional dampers considering geometry nonlinearity [J]. Engineering Mechanics, 2003, 20(1): 21-26. ( in Chinese)
[14]邓开来, 潘鹏. 变截面软钢剪切阻尼器试验研究[J].工程力学, 2016, 33(5): 82-88.Deng Kailai, Pan peng. Experimental study of steel shear panel dampers with varying cross-sections [J].Engineering Mechanics, 2016, 33(5): 82-88. ( in Chinese)
[15]吴从晓, 周云, 徐昕, 等. 扇形铅黏弹性阻尼器滞回性能试验研究[J]. 建筑结构学报, 2014, 35(4): 199-207.Wu Congxiao, Zhou Yun, Xu Xin, Zhang Chao, Deng Xue song. Experimental investigation on hysteretic performance of sector lead viscoelastic damper [J].Journal of Building Structures, 2014, 35(4): 199-207.( in Chinese)
[16]钱辉, 李宏男, 任文杰, 等. 形状记忆合金复合摩擦阻尼器设计及试验研究[J]. 建筑结构学报, 2011, 32(9) :58-64.Qian Hui, Li Hongnan, Ren Wenjie, Cheng Huai.Experimental investigation of an innovative hybrid shape memory alloys friction damper [J]. Journal of Building Structures, 2011, 32(9): 58-64. ( in Chinese)
[17]任文杰, 王利强, 马志成, 等. 形状记忆合金-摩擦复合阻尼器力学性能研究[J]. 建筑结构学报, 2013,34(2): 83-90.Ren Wenjie, Wang Liqiang, Ma Zhicheng, et al.Investigation on mechanical behavior of innovative shape memory alloy-friction damper [J]. Journal of Building Structures, 2013, 34(2): 83-90. ( in Chinese)
[18]周云, 卢德辉, 张敏. 钢管铅阻尼器的性能试验研究[J]. 土木工程学报, 2017, 50(1): 46-52.Zhou Yun, Lu Dehui, Zhang Min. Study on mechanical properties of lead-filled steel tube damper [J]. China Civil Engineering Journal, 2017, 50(1): 46-52. (in Chinese)
[19]吕西林, 陈云, 蒋欢军. 可更换连梁保险丝抗震性能试验研究[J]. 同济大学学报(自然科学版), 2013, 41(9):1318-1325.Lv Xilin, Chen Yun, Jiang Huanjun. Experimental study on seismic behavior of “Fuse” of replaceable coupling beam [J]. Journal of Tong ji University (Natural Science),2013, 41(9): 1318-1325. ( in Chinese)
[20]王艮平, 张超, 邓雪松, 等. 扇形铅黏弹性阻尼器加固RC框架的抗震性能试验研究[J]. 土木工程学报, 2016,49(10): 41-48.Wang Genping, Zhang Chao, Deng Xuesong, et al.Experimental study on seismic performance of RC frame retrofitted with sector lead viscoelastic dampers [J].China Civil Engineering Journal, 2016, 49(10): 41-48.(in Chinese)
[21]张香成, 何尚文, 李倩, 等. 铅-磁流变阻尼器的试验及计算模型[J]. 工程力学, 2016, 33(10): 123-128.Zhang Xiangcheng, He Shangwen, Li Qian, et al. Test and mathematic model of lead magnetorheological damper [J]. Engineering Mechanics, 2016, 33(10): 123-128. (in Chinese)
[22]JG/T 209-2012, 建筑消能阻尼器[S]. 北京: 中国标准出版社, 2012.JG/T 209-2012, Dampers for vibration energy dissipation of building [S]. Beijing: China Standard Press, 2012. ( in Chinese)
EXPERIMENT ANALYSIS OF MECHANICAL PROPERTIES OF O-SHAPED STEEL PLATES AND HIGH DAMPING VISCOELASTIC COMPOSITE ENERGY DISSIPATORS
万志威(1992―),男,湖北人,硕士,主要从事结构振动控制研究(E-mail: jnwanzhiwei@163.com);
陈 超(1993―),男,四川人,硕士,主要从事结构振动控制研究(E-mail: chenchaosqkcx@163.com);