目前,国内外学者对建筑结构混凝土双向板(长宽比≤2)进行承载力分析,通常采用两种方法:一种是数值方法,基于板壳理论,编程对混凝土双向板力学行为进行荷载-变形行为分析,确定其极限承载力[1-3];另一种是极限分析法,即采用塑性铰线(屈服线)理论,利用机动法或板块平衡法计算混凝土双向板极限承载力[4-15]。
有限元方法较为成熟,国内外不少学者对混凝土双向板力学行为进行分析,如钢筋应力-应变规律、裂缝模式和拉压薄膜效应等[3]。不过,由于涉及非线性有限元理论,其计算较为复杂。与前者相比,极限分析理论主要研究混凝土双向板极限破坏模式,计算方法相对简单,便于求得混凝土板极限承载力,具有较强工程应用价值[6]。然而,极限分析理论无法确定混凝土双向板的荷载-变形关系。
在20世纪50年代,Ockleston[16]发现混凝土双向板受压薄膜效应,使得试验板极限荷载通常大于屈服线理论计算值。随后,20世纪60年代,不少学者对受拉薄膜效应进行试验研究和理论分析,如Taylor、Maher和 Hayes[17]、Sawczuk和 Winnicki[18]和Hayes[19]等。值得指出的是,由于混凝土双向板受拉薄膜效应仅在大变形阶段产生,即通常超过构件正常使用极限,其工程应用价值不大,特别是有限元理论快速发展,后续对双向板受拉薄膜效应理论研究较少。
近年来,随着国内外学者对双向板抗火性能及结构连续倒塌机理等研究深入,有必要在结构抗火设计或结构构件(如柱突然破坏)倒塌时正确考虑和充分利用楼板受拉薄膜效应,对发挥其大变形阶段抗火潜能和提高结构整体性有重要意义及应用价值[14]。因此,文献[4―15, 20]等对混凝土双向板极限承载力理论进行大量试验研究和理论分析,特别是受拉薄膜效应。
2005年,Cameron和 Usmani[20]基于微分方程和艾里应力函数,提出了考虑水平约束影响的混凝土双向板承载力计算方法。2007年,Bailey等[4-5]根据缩尺混凝土试验板两种破坏模式(即钢筋破坏和混凝土压碎破坏),发展了考虑受拉薄膜效应的混凝土板承载力计算模型;其中,承载力提高系数由两部分组成,一是由板块薄膜力直接引起的极限承载力增大,二是由薄膜力引起弯曲承载力提高,间接地提高了板极限承载力。其中,Bailey模型中破坏准则包括钢筋应变破坏准则和混凝土压碎破坏准则[4-5]。然而,研究表明Bailey模型所得极限承载力和极限位移偏于保守。同时,对于屈服后(受拉薄膜效应)阶段,荷载-位移关系是线性,即刚度是常值;这一点与试验板荷载-位移曲线特性不符。
2007年,李国强等[6]通过分析楼板薄膜效应机理,将楼板划分为5部分(周边四个刚性板块)和中间一个椭球面板块,通过分析内力和弯矩平衡方程,建立考虑薄膜效应影响的水平约束混凝土板极限荷载分析理论,该理论采用钢筋破坏准则。2009年,张娜思等[7]对文献[6]理论边界条件和破坏准则进行修正,提出了混凝土简支板极限承载力计算方法。值得指出的是,文献[6-7]用于计算混凝土板极限承载力,无法计算薄膜效应阶段荷载-位移曲线。此外,文献[7]所提为板边中部混凝土破坏准则,其无法解释大量试验板所出现板角混凝土压碎行为[4―5]。
2010年,董毓利[8]利用变形梯度直和分解,基于能量原理,采用钢筋破坏准则,提出混凝土板极限承载力计算理论,认为受拉薄膜效应主要是由于塑性铰线处钢筋伸长耗能造成的,且大变形时钢筋会产生一个竖向分力,致使板极限承载力随着变形增加而增大。随后,Wang等[9]对文献[8]所提方法进行一些改进,结合配筋率,提出板角混凝土压碎破坏准则,提出三阶段荷载-变形模式,对混凝土试验板承载力-变形进行分析。然而,该理论所得屈服(前)后荷载-位移关系为线性关系。
2011年,Omer等[10-11]基于能量原理和两种破坏模式,提出板的两种破坏模型(CM和IM),且考虑钢筋和混凝土间粘结滑移作用以及钢筋应变硬化行为,采用钢筋强度破坏准则对混凝土板承载力进行分析;随后,Cashell等[12-13]基于18块缩尺简支板试验结果,考虑(板边中部)混凝土压碎破坏模型,对Omer模型进行修正。值得指出的是,Omer模型未考虑屈服线处M-N相互影响[14]。
2016年,Herraiz和Vogel[14]基于Bailey破坏模型,考虑粘结滑移作用,提出三阶段荷载-变形计算模式,建立钢筋应变和混凝土板角极限应变破坏准则,确定板极限承载力。2017年,Burgess[15]基于屈服线理论和内力平衡,建立多种工况钢筋破坏应变模式,对屈服后(受拉薄膜效应)阶段混凝土双向板的荷载-变形进行分析,建立承载力增量系数-变形关系(包括上升和降低阶段)计算模型。由此可见,近年来国内外学者对如何合理考虑受拉薄膜效应进行了大量研究,提出各自理论模型和破坏准则。此外,在上述双向板承载力(均布荷载下)分析时,保守起见国内外学者[4-15]和相关规范[21-22]多采用简支边界。
基于上述研究,本文首先对一足尺混凝土板进行试验研究,获得试验板荷载-变形曲线、钢筋应变和板角约束力等规律;随后,结合塑性铰线理论,考虑受拉薄膜效应影响,提出钢筋应变差概念,推导板块力平衡方程和弯矩平衡方程,建立钢筋应变破坏准则和混凝土板角压碎应变破坏准则,进而获得屈服后(受拉薄膜效应)阶段混凝土双向板荷载-变形曲线、极限承载力、极限位移和破坏模式等;同时,结合板壳有限元理论,发展混凝土双向板计算程序,分析双向板薄膜效应机理及钢筋应变,验证所提假设合理性;最后,将本文理论计算结果与试验结果及其他理论结果进行对比分析。
按照《混凝土结构设计规范》(GB 50010―2010)[22]设计混凝土方板(编号 S0),尺寸为 2700 mm×2700 mm×100 mm。试件采用商品混凝土浇筑,实测混凝土28d立方体抗压强度为25 MPa。板底布置双向钢筋,直径为8 mm,间距100 mm。钢筋屈服强度为414 MPa,抗拉强度为624 MPa。保护层厚度为15 mm。此外,板吊钩钢筋直径为22 mm。
按照《混凝土结构试验方法标准》(GBT 50152―2012)[23]进行混凝土简支板承载试验,采用分配梁系统和液压千斤顶进行加载,以模拟均布荷载,且通过反力梁对板角进行竖向约束,如图1所示。

图1 试验加载装置图/mm
Fig.1 Layout of the testing frame
1) 位移测量
如图2(a)所示,采用YHD-50差动式位移传感器(图 2(c))对板竖向挠度(平面外位移)和平面内位移进行测量。其中,V1~V9为竖向挠度(平面外位移)测点,H1~H4为平面内测点。
2) 钢筋应变测量
采用钢筋应变片对板底两方向钢筋应变进行测量,测点布置如图2(b)所示。其中,1~6为x方向两钢筋应变测点,1′~6′为y方向两钢筋应变测点。
3) 板角约束力测量
板角反力梁与试验板间设置压力传感器(BHR-46),对四板角约束力进行测量,即测点P-1~P-4,如图2(d)所示。压力数据由静态电阻应变仪(DH3818)采集,如图2(e)所示。

图2 试验仪器及其布置图/mm
Fig.2 Test device and its layout
试验过程中对板顶裂缝发展及破坏模式进行观测,如图3(a)~图3(d)所示。

图3 试验板板顶裂缝和破坏模式/mm
Fig.3 Cracks and failure mode observed on the top surface of slab
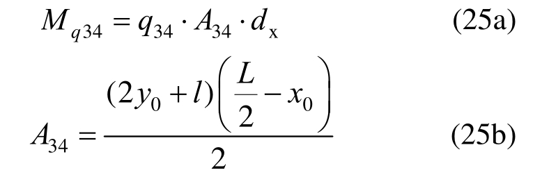
开始时,对试验板进行预加载,板角出现微裂缝,裂缝宽度约为0.2 mm。当竖向荷载为18.8 kPa时,与板角成45o的裂缝①数量增加,最大宽度达到0.8 mm;随着荷载增加,裂缝①向板边延伸,逐渐贯穿板厚(图 3(b))。加载到 72.4 kPa时,板边形成裂缝③。随后,板顶裂缝数量基本稳定,主要表现为裂缝宽度持续增加,如板角最大裂缝宽度达到3.0 mm。荷载为92.7 kPa时,混凝土出现压碎现象④(图 3(c)),且板挠度快速增加,试验板破坏,停止试验,裂缝及压碎破坏模式见图3(d)。
值得指出的是,试验板顶最外侧裂缝接近圆形,主要原因在于负弯矩作用(板角约束),但并不意味着该边界区域为受拉薄膜区域边界,否则内部区域不应出现 45°压碎破坏行为(图 3(d)中④)。因此,该试验板受拉薄膜效应区域应在于粗虚线方框内,而周边为受压薄膜效应区域(图3(d))。
试验时对板底裂缝发展及破坏模式进行观测,如图4所示。
荷载为18.8 kPa时,板底跨中位置出现第一条裂缝,方向与板边平行。随着继续加载,板底相继出现若干条裂缝①,其宽度基本在0.1 mm。荷载为54.5 kPa时,板底跨中出现大量网状裂缝②,裂缝间距约100 mm,此时最大裂缝宽度约为0.2 mm。63.5 kPa时,板边中部位置出现裂缝③,且裂缝①延伸至板边。随后继续加载,板底裂缝数量基本不变,主要是裂缝宽度持续增加,直至试验结束,板底裂缝最大宽度约为3.0 mm,板底裂缝及破坏模式见图 4。此外,由图 4(a)可知,板底混凝土未出现明显脱落,且钢筋未出现拉断现象。

图4 试验板板底裂缝和破坏模式/mm
Fig.4 Cracks and failure mode observed on the bottom surface of the slab
值得指出的是,虽然方形裂缝分布不是受拉薄膜作用充分依据,但大致反映了受拉薄膜效应区域。
目前,国内外学者对混凝土双向板开展大量试验研究[5,17,24-25],例如图 5(a)和图 5(b)为文献[4]给出板顶两典型破坏模式。可见对于任一破坏模式,板顶中心裂缝区域均为矩形形状。此外,结合本文试验板(图4(b)),除传统斜裂缝外,板底中部区域(受拉薄膜效应区域)裂缝多为矩形或方形。事实上,当考虑受拉薄膜效应时,相比传统屈服线破坏模式,图4(b)破坏模式趋于较为合理[17]。因此,基于本文和文献[5, 17, 24-25]研究成果,本文提出中心受拉薄膜区域为矩形或方形。

图5 板顶典型破坏模式[4]
Fig.5 Typical failure mode on top surfaces of tested slabs[4]
2.3.1 变形
1) 挠度
试验板荷载-挠度(平面外位移)曲线如图6(a)所示。由图可知,加载初期,试验板刚度较大,挠度随荷载呈线性发展;随着裂缝开展和钢筋屈服,荷载-挠度逐渐呈现为曲线关系。值得指出的是,按照塑性铰线理论,试验板极限承载力为 52.8 kPa。然而,由于受拉薄膜效应,试验板仍具有较强刚度和承载力,随着荷载增加,变形逐渐增加,但曲线斜率逐渐降低,即板刚度逐渐降低。当荷载达到92.7 kPa时,试验板出现压碎破坏,相应跨中挠度为136 mm。
2) 平面内位移
试验板荷载-平面内位移曲线如图6(b)所示,其中负值为膨胀,正值为收缩。由图可知,试验板两测点主要为向内收缩,达到试验极限荷载时,H1和H4测点平面内位移分别为6.8 mm和3.3 mm。可见,与跨中竖向挠度相比,平面内位移相对较小。

图6 试验板荷载-变形曲线
Fig.6 Load-deflection curves of tested slab
2.3.2 钢筋应变
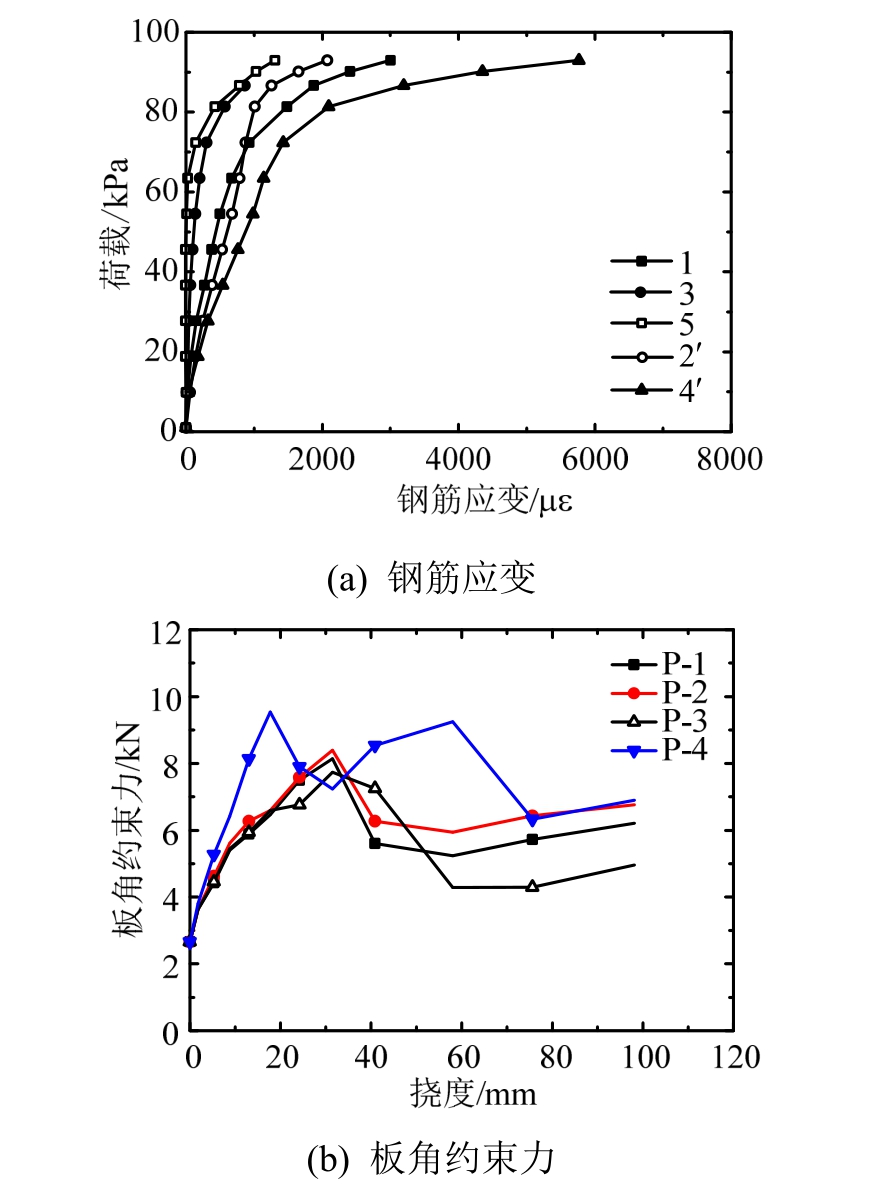
图7(a)为试验板不同测点位置钢筋应变与荷载关系曲线。由图可知,钢筋应变总体与荷载-变形曲线变化规律一致。加载初期,钢筋应变较小,其随荷载线性增加;随后,钢筋应变逐渐表现为非线性变化,斜率逐渐变小。
试验停止时,跨中点(1和4')钢筋应变值分别为3002με和5764 με,即平均值为 4383με;1/4 跨测点处测点(5 和2′)分别为1304με和2075με,平均值为1690με。根据钢筋屈服应变值(约为 2000με),可知跨中和1/4跨处钢筋均已出现屈服,且存在钢筋应变差,约为2694με。
2.3.3 板角约束力
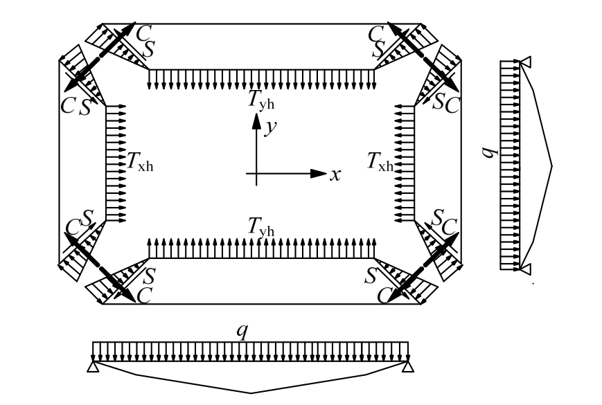
试验板板角约束力随跨中变形的变化规律如图 7(b)所示。由图可知,加载初期,随着变形增大,四板角约束力逐渐增大,且最大值分别为8.1 kN、9.5 kN、8.4 kN和7.7 kN。随后,由于板角裂缝发展,各板角约束力总体趋于降低,试验后期各板角约束力总体趋于稳定。值得指出的是,由于设备问题,未获得后期压力数据,但板角处于约束状态。

图7 试验板荷载-钢筋应变及板角约束力关系曲线
Fig.7 Load-steel strains and load-corner restrain force curves of tested slab
基于经典塑性铰线(屈服线)理论和试验结果,提出本文模型,其适用于混凝土板长宽比≤2,且四边为简支。模型包含几条基本假设,具体为:
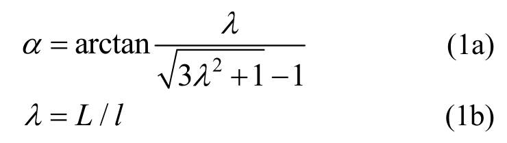
1) 如图8所示,在极限状态下,混凝土板分为周边 4个刚性板块 1~4(梯形形状)和一中心矩形钢筋网板块(四棱锥形状)。其中,x0和y0为刚性板块和中心矩形钢筋网板块交点坐标值;L和l为板长和板宽;α为经典屈服线理论中屈服线与板长边夹角。
上述假设是基于经典屈服线理论和受拉薄膜效应机理,其中薄膜机理即为混凝土板中心受拉薄膜效应区域和四周受压薄膜效应区域[3-10]。值得指出的是,文献[6-7]提出中心受拉薄膜效应区域形状为椭圆区域,其计算公式相对复杂,不便于工程应用。
试验结果和数值分析表明,中心薄膜效应区域边界形状可假设为矩形或方形[5,12,17,24―25]。因此,简单起见,提出该假设。

图8 五板块划分及坐标
Fig.8 Division and coordinates of five plates
图9 为混凝土板四分之一板块变形情况。其中,d为周边刚性板块转动引起的位移;w为中部矩形钢筋网位移。θx为刚性板块1(2)绕x轴转角;θy为刚性板块3(4)绕y轴的转角。

图9 板块变形示意图(1/4部分)
Fig.9 Diagram of the plates’ deflection (a quarter)
2) 图10为极限状态下板的内力情况,这一点与文献[5, 14―15]中内力假设类似。具体包括:Txh和Tyh分别为x方向、y方向钢筋拉力Tx(y)/N的水平分力;q/kPa为混凝土板均布外荷载;C/N为刚性板块间的压力;S/N为刚性板块间在xy平面内剪力。明显地,对于方板,其平面内剪力S为零。
3) 采用钢筋应变破坏准则(短跨方向)和混凝土压碎应变(板角区域)破坏准则,确定混凝土双向板极限承载力和极限位移。

图10 板受力分布
Fig.10 Force distribution of the slab
4) 不考虑钢筋应变硬化和钢筋与混凝土间的粘结滑移作用。
3.2.1 转角
与经典屈服线理论一致[4],图8中α为:

根据变形协调条件,可得到转角θy为:

根据文献[6―7]建议,临近极限状态时,简支板转角θx可取值为0.15,定义为θx,1=0.15。值得指出的是,该数值不是破坏条件。
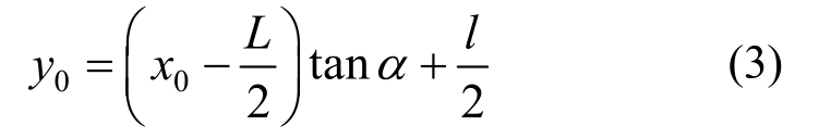
3.2.2x0和y0
由图8可知,x0和y0是屈服线与中心受拉矩形区域的交点坐标,根据解析几何分析可得:
结合图8,可知混凝土板x方向截面图(ABCDE)如图11所示。

图11x方向板截面图
Fig.11 Cross-section of the slab parallel toxdirection
根据图11中D点坐标及板角夹角θy,可得直线ZDE方程为:
为了确定x0,在坐标参数计算时认为钢筋是抛物线形状,根据C(0,w)和D(x0,0)两点坐标,可得抛物线ZBCD方程为:

由于直线DE和抛物线BCD连续,即直线ZDE与抛物线ZBCD在(x0,0)处相切(斜率相同),可得:

3.2.3 钢筋应变差
结合图8和图11,提出采用两斜线(BC和CD)代替抛物线ZBCD,简化可得板跨中(x方向)钢筋平均应变
为:
式中:L为变形前钢筋初始长度,即x方向跨度;LDE和LCD为变形后刚性板块和矩形板块钢筋长度。
同理,结合图8和图11,以x方向为例,可得混凝土板刚性板块和矩形钢筋网区域交接位置钢筋(矩形区域边缘处)的平均应变
为:

式中:LOD为矩形钢筋网边缘处钢筋长度,即x0。
由式(7)和式(8),可得:

由式(7)、式(8)和式(9),化简得:

因此,混凝土双向板跨中点总位移wt:

由式(11)可知,钢筋应变差和转角决定板的变形情况。明显地,随着转角增大,钢筋应变差和变形趋于增大。
表1给出了文献[17, 24―25]中试验板和本文试验板屈服荷载时试验转角θx,0和基于有限元程序所得
和
,其中
和
分别为屈服荷载和极限荷载时钢筋应变差。
由表1可知,除试验板S9外,试验板屈服荷载时θx,0基本在 0.02~0.06[17,24-25],进而θx,0取值为0.05。此外,采用有限元理论,所得试验板屈服荷载时
范围是 0.5×10-5~11.7×10-5,且极限荷载时
范围是5.2×10-5~24.0×10-5。
值得指出的是,由于未考虑粘结滑移作用及裂缝处应变集中行为,且通过对比分析,确定
和
可分别取值1.0×10-5和8.0×10-4。因此,结合θx,0(0.05)和θx,1(0.15),可建立θx和
线性关系式,进而确定x0和y0。
表1 混凝土板转角(θx,0)及应变差(
和
)
Table 1 Angle (θx,0) and steel strain differences (
and
) of concrete slabs

参数 板S1 S6 S7 S9 B1 C1 D1 F1 J1 S0θx,0/(×10-2) 5 2 3 0.1 4 4 3 2 6 2 Δ/(×10-5) 2.4 3.0 4.7 2.8 2.8 6.6 11.70.9 0.5 0.5εsx,0 Δ/(×10-4) 18.124.429.115.3 19.8 24.0 20.65.822.85.2εsx,1
研究表明[14],在薄膜效应开始发展阶段,随着变形增大,弯矩和薄膜力发展变化较快,荷载-位移曲线是非线性的;然而,在薄膜效应后期阶段,薄膜效应已得到充分发展,薄膜力分布基本变化不大,荷载-位移曲线基本接近线性。实际上,本文S0板底裂缝发展行为,也证明了这一点,即后期阶段板底裂缝分布趋于稳定。
事实上,θx和
线性关系式可满足上述特性,x0和y0会出现峰值,随后假设x0和y0保持不变,进而变形和转角保持为线性关系(式(6))。
3.3.1 内力平衡方程
对于混凝土双向板,x和y方向单位宽度钢筋拉力Tx和Ty分别为:
式中:fy/MPa为钢筋的屈服强度;Asx/(mm2/m)和Asy/(mm2/m)分别表示x方向、y方向单位宽度钢筋等效面积。
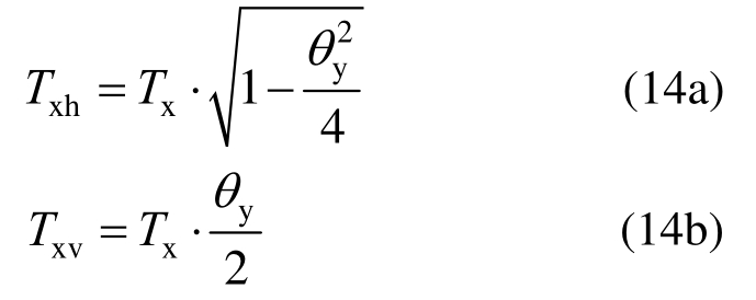
对于刚性板块,在中心矩形钢筋网板块和刚性板块交接处,板底受拉钢筋施加在刚性板块的拉力如图12所示。在此,假设钢筋力Tx(y)与x(y)轴方向的夹角为φx(y)(图 9)。Txh和Txv分别为Tx的水平和竖向分力,y方向类似。

图12 刚性板块钢筋力示意图
Fig.12 Diagram of the rebar’s force of rigid plate
对于x方向,钢筋夹角xφ为:

进而有:

钢筋力Tx的水平分力Txh和竖向分力Txv分别为:

对于y方向,依据变形协调条件,钢筋夹角yφ为:
钢筋力Ty的水平分力Tyh和竖向分力Tyv分别为:

由图10可知,对于刚性板块1(2)和3(4),即x方向和y方向的内力平衡方程分别为:

可得板块之间压力C和剪切力S,分别为:

对于方板,由式(19b)可知,S为零。
3.3.2 弯矩平衡方程
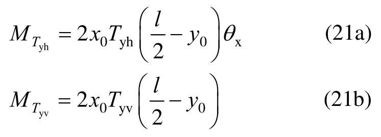
刚性板块 1(2)受力情况如图 13(a)所示,q12为外荷载;刚性板块3(4)受力情况如图13(b)所示,q34为外荷载。各板块除满足上述内力平衡外,尚需满足对支座O(O')点弯矩平衡。

图13 刚性板块1~4受力示意图
Fig.13 Diagram of the forces in rigid plates 1~4
1) 刚性板块1(2)弯矩平衡方程:
结合图 13(a)可知,外荷载对支座O点取矩,其弯矩方程Mq12为:

式中:A12为刚性板块1(2)面积;dy为刚性板块1(2)的重心到支座O点距离。
钢筋水平分力Tyh和竖向分力Tyv对支座O点取矩,其弯矩平衡方程
和
分别为:

Mcx和Msx为板块间压力C和剪切力S对支座O点的弯矩方程,具体计算公式为:

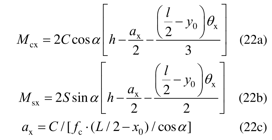
式中:b/m为单位截面宽度;ax/m为混凝土截面受压区高度;h为板厚。
此外,混凝土板截面弯矩抵抗矩Mux为[11]:

式中:hcx/m为y方向钢筋到楼板上表面距离。
总之,依据上述表达式,可得刚性板块1(2)弯矩平衡方程为:
2) 刚性板块3(4)弯矩平衡方程:
结合图 13(b)可知,外荷载对支座O′点取矩,其弯矩方程Mq34为:


式中:A34为刚性板块3(4)的面积;dx为刚性板块3(4)重心到支座的距离。
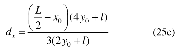
钢筋水平分力Txh和竖向分力Txv对支座O′点取矩,其弯矩平衡方程MTxh和MTxv分别为:

Mcy和Msy为板块间压力和剪切力对支座O′点弯矩方程,具体计算公式为:

式中:b/m为单位截面宽度;ay/m为混凝土截面受压区高度;h为板厚。
此外,混凝土板截面弯矩抵抗矩Muy为:

式中,hcy/m为x方向钢筋到楼板上表面距离。
总之,依据上述表达式,可得刚性板块3(4)弯矩平衡方程为:
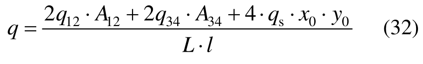
由式(24)和式(28)可求得刚性板块 1(2)和 3(4)的荷载q12和q34。
楼板中部矩形钢筋网承载力是由钢筋拉力竖向分力提供的,钢筋施加在中部矩形板块上的力,如图14(a)和图14(b)所示。
由图14(b)可知,x方向和y方向混凝土板中部钢筋网钢筋力与x(y)轴的夹角分别为yθ和xθ。因此x方向和y方向钢筋竖向分力分别为:
可得中部钢筋网承载力qs为:


图14 矩形板块钢筋受力示意图
Fig.14 Diagram of the rebar’s force in the rectangle plate
由于混凝土板剪力影响,刚性板块1~4和中部钢筋网的承载力存在一定差别[6]。因此,可知承载力计算公式q,即:
双向板破坏模式主要包括钢筋破坏和板角压碎破坏两种。因此,本文建立两种破坏准则,具体如下。
3.5.1 钢筋破坏准则
根据《混凝土结构设计规范》(GB 50010—2010)可知,钢筋极限拉应变规定为0.01,作为构件达到承载能力极限状态[22,26]。因此,本文采用该破坏准则,即短跨方向钢筋应变达到0.01,即约为l/16[4-5]。
3.5.2 混凝土破坏准则
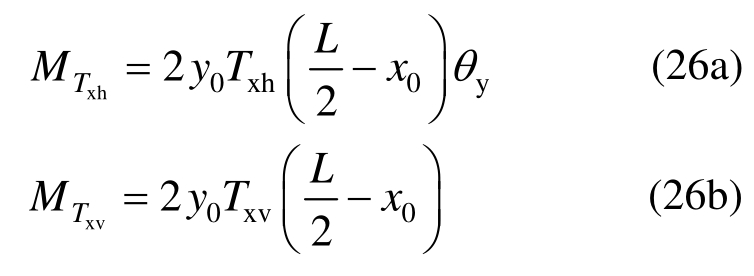
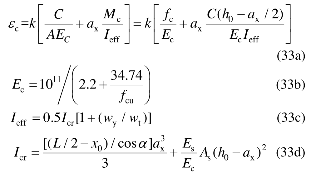
根据文献[1]可知,混凝土极限压应变约为0.0033~0.0038。因此,根据文献[14]和本文模型特点,提出改进混凝土压应变破坏准则,即0.0035。其中,压应变(cε)计算公式为:

式中:A为受压区域面积;Ec为混凝土弹性模量;Ieff有效惯性矩;Icr是裂缝惯性矩;Es是钢筋弹性模量;wy是初始屈服时跨中位移;wt是跨中位移;k是修正系数(4.0)。
值得指出的是,对于系数k,由图10可知,k应为 2.0(压力C三角形分布和弹性假设),可取混凝土峰值应变(如0.002)作为破坏准则。然而,根据文献[1]可知,当混凝土强度低于 C40时,混凝土极限压应变约为峰值应变两倍。因此,为了与传统混凝土极限压应变相一致,对k系数进行修正,最终取值为4.0。
基于Borland C++6.0软件平台,结合面向对象程序设计方法,采用大挠度薄板单元,发展混凝土板壳有限元程序[3,9];在此基础上,采用程序分析混凝土双向简支试验板相关力学参数,如钢筋应变和薄膜机理等,用于验证本文方法相关假设合理性。限于篇幅,有限元模型及计算方法等可参见文献[3],不再赘述。
选取本文试验板S0和文献[17, 24―25]中9块混凝土简支双向板验证本文模型。其中,板S1、S6、S7和 S9选自文献[17],混凝土试验板 B1、C1和D1选自文献[24],板F1和J1选自文献[25],材性参数见表2。
采用经典屈服线理论、Bailey理论[4-5]、董毓利理论[8-9]、有限元理论[2]和本文方法对试验板荷载-位移关系、极限承载力、极限位移和破坏模式等进行对比分析。值得指出的是,在有限元分析时,由于对称性,选取 1/4板进行计算,网格划分见表2。
表2 钢筋混凝土板材性参数
Table 2 Material properties of reinforced concrete slabs

板编号 有限元网格 板尺寸L×l×h/(mm×mm×mm)钢筋参数Es/GPafy/MPaAsx/(mm2/m)Asy/(mm2/m)保护层c/mmfc/MPahcx/mmhcy/mm钢筋直径φ/mm S1 4×4 1829×1829×50.8 206.8 375.9 233.5 280.2 4.74 28.0 38.92 43.68 4.76 S6 4×4 1829×1829×50.8 206.8 420.8 200.0 233.5 4.74 28.2 38.92 43.68 4.76 S7 4×4 1829×1829×44.5 206.8 375.9 280.2 320.0 4.74 30.6 32.72 37.48 4.76 S9 4×4 1829×1829×76.2 206.8 375.9 142.0 160.0 4.74 26.6 64.32 69.08 4.76 S0 8×6 2700×2700×100 200.0 414.0 503.0 503.0 15.00 25.0 73.00 81.00 8.00 B1 5×5 2745×1829×68.2 181.5 450.0 260.0 260.0 10.03 18.7 55.00 48.70 6.35 C1 4×4 1829×1829×67.8 181.5 450.0 260.0 260.0 7.83 25.2 50.50 56.80 6.35 D1 4×4 1829×1829×92.8 181.5 450.0 364.0 364.0 6.93 26.1 76.40 82.70 6.35 F1 4×4 2700×2700×100 205.0 315.0 279.3 279.3 15.00 23.8 73.00 81.00 8.00 J1 3×7 4600×2700×100 200.0 315.0 279.3 279.3 15.00 23.8 73.00 81.00 8.00
采用不同理论所得试验板荷载-位移关系如图15(a)~图15(j)所示,除有限元模型外,其余方法所得均为薄膜效应阶段的荷载-变形关系。值得指出的是,对于本文S0板,
分别取值 8.0×(10-4)、9.0×(10-4)和10.0×(10-4)进行参数分析。此外,图中“●”代表板角混凝土压碎破坏模式,“○”代表钢筋破坏模式。
5.2.1 荷载-变形关系
由图 15(a)~图 15(j)可知,对于 Bailey理论[4-5]和董毓利理论[8-9],薄膜效应阶段荷载-变形关系均为线性关系,即刚度保持不变,明显与试验结果不符。主要原因在于上述模型未考虑弯矩和薄膜力相互影响,且假定薄膜效应阶段屈服线形状保持不变。
可见本文模型所得屈服荷载后荷载-变形为曲线关系,且随着变形增大,曲线斜率逐渐降低,即刚度逐渐降低,与试验曲线总体吻合较好。因此,相比其他方法,本文理论方法所得结果是相对合理的。值得指出的是,对于本文方法,初始荷载取值通常应略高于或基本上接近于屈服荷载值。
此外,由于考虑材料非线性和几何非线性,有限元模型所得荷载-变形计算结果与试验结果最为吻合。然而,相比本文方法,有限元方法较为复杂,不便于工程应用。



图15 混凝土双向板不同理论计算结果与试验结果对比
Fig. 15 Comparison of measured and theoretical results of concrete slabs predicted by different methods
图15 (e)给出了采用本文理论,所得不同
下荷载-变形曲线。可见,随着
增大,所得板的承载能力(荷载)逐渐增大,原因在于受拉薄膜效应区域增大。同时,随着
增大,板角压应变逐渐增大,致使混凝土板倾向于发生压碎破坏,破坏较为突然,具体见下述。
5.2.2 破坏模式
与其他模型不同,本文模型能够合理计算混凝土双向板的破坏模式,即短跨钢筋破坏和板角混凝土压碎破坏。表3为采用本文方法所得各板破坏时cε。
表3 极限状态下板角最大压应变cε
Table 3 Corner strains of the tested slabs at the limit state

注:*为混凝土破坏。
cε混凝土板S1 S6 S7* S9 S0* B1 C1 D1 F1 J1 10-33.3 3.3 3.5 3.0 3.5 3.3 3.1 3.1 3.2 3.4
可见,S7和S0板为压碎破坏,其余板为钢筋破坏,所得cε总体是相对合理的。

图16 两板板角cε-跨中变形曲线
Fig.16cε-midspan deflections curves of two slabs
图16 (a)和图16(b)给出了板S0和板B1的εc与变形的关系曲线。一方面,当
固定时,随着变形增大,刚度逐渐降低(式(33d)),εc逐渐增大,但其后期速率明显降低。另一方面,由图16(b)可知,随着
增大,εc逐渐增大,且倾向于发生压碎破坏。
5.2.3 极限状态
不同理论所得极限荷载和极限位移如表4和表5所示;其中,qt(δt)为极限承载力(位移)试验值,ql(δl)为极限承载力(位移)计算值。
由表4可知,采用屈服线理论,极限承载力计算值与试验值的比率ql/qt最大值为0.82,最小值为0.57,平均比率为 0.64,原因在于该理论未考虑混凝土简支板大变形阶段的受拉薄膜效应。
对于Bailey理论[4-5]和董毓利理论[8],平均比率ql/qt分别为0.80和0.78。可见两模型计算结果明显偏于保守。主要原因在于两方法采用基于缩尺板的变形破坏准则,该破坏准则是过于保守的,如表5所示。例如,两模型所得δl/δt平均值为0.4。事实上,正如文献[14]指出,两模型所采用的变形破坏准则是半经验性的,缺乏试验依据和理论基础。
由表4和表5可知,对于本文模型,ql/qt和δl/δt的平均比率分别为1.09和1.14,略高于试验值。主要原因在于两方面,一是由于变形或转动较大,部分试验并未达到其极限状态而停止[17,24];另一方面,本文方法未考虑钢筋应变硬化行为和粘结滑移行为[10-11]。
5.2.4 参数x0和y0
对于本文模型,影响双向板承载力关键参数是x0和y0,即薄膜效应区域。因此,采用有限元理论[27],进一步验证本文模型所得薄膜效应区域的准确性。其中,表6分别给出了有限元理论和本文方法所得每板极限荷载时的x0和y0。
由表6可知,与有限元方法相比,本文所得薄膜效应区域偏小;原因在于本文模型未考虑钢筋和混凝土间的粘结滑移作用和应变集中行为等;另一方面在于本文模型假设中心区域为棱锥体。
以本文试验方板S0和文献[24]中矩形板B1为例,图17(a)和图17(b)给出了两种方法所得两板极限荷载时薄膜效应区域对比情况。其中,图中粗线代表受压薄膜效应,细线代表受拉薄膜效应;粗虚线代表本文理论计算受拉薄膜效应区域,细线为有限元方法计算区域。
明显地,由图17(a)和图17(b)可知,对比有限元理论薄膜区域计算结果,可知本文方法所提中心薄膜效应区域矩(方)形假设是相对合理的。

图17 本文模型和有限元计算两板薄膜效应区域对比
Fig.17 Comparison of membrane action areas of two slabs based on finite element and present methods
表4 混凝土板极限承载力计算值与试验值对比
Table 4 Comparison of measured and calculated ultimate loads of concrete slabs

ql/kPaql/qt板qtest/kPa 屈服线 文献[4―5]文献[8]有限元 本文方法 屈服线 文献[4―5]文献[8]有限元 本文方法板角压碎 钢筋破坏 板角压碎 钢筋破坏S1 42.9 25.6 32.7 33.5 47.7 — 48.5 0.60 0.76 0.78 1.06 — 1.01 S6 39.6 24.3 30.9 32.3 40.9 — 46.4 0.61 0.78 0.82 1.03 — 1.17 S7 39.0 24.8 33.0 34.4 38.5 47.3 — 0.64 0.85 0.88 0.99 1.21 —S9 38.1 25.7 30.7 30.4 39.6 — 38.6 0.67 0.81 0.80 1.04 — 1.01 S0 92.7 52.8 57.2 60.8 91.5 89.4 — 0.57 0.62 0.66 0.99 0.96 —B1 45.9 29.1 38.5 40.0 45.4 — 48.5 0.63 0.84 0.87 0.99 — 1.05 C1 73.9 42.8 52.3 47.1 71.0 — 72.6 0.58 0.71 0.64 0.96 — 0.98 D1 109.4 89.3 103.2 95.5 115.2 — 136.0 0.82 0.94 0.87 1.05 — 1.24 F1 33.2 20.6 26.8 23.6 32.5 — 37.0 0.62 0.81 0.71 0.98 — 1.14 J1 20.3 13.4 18.7 16.2 19.8 — 22.0 0.66 0.92 0.80 0.96 — 1.08
表5 混凝土板极限位移计算值与试验值对比
Table 5 Comparison of measured and calculated ultimate displacements of concrete slabs

δl/mmδl/δt板δt/mm Bailey(董毓利)理论[4―5,8]有限元 本文方法 Bailey(董毓利)理论[4―5,8]有限元 本文方法板角压碎 钢筋破坏 板角压碎 钢筋破坏S1 81.3 33.8 76.4 — 112 0.42 0.94 — 1.38 S6 81.3 35.7 96.9 — 112 0.44 1.19 — 1.38 S7 97.9 33.8 75.7 86.3 — 0.34 0.77 0.88 —S9 83.8 33.8 35.9 — 112 0.40 0.43 — 1.34 S0 136.0 53.2 93.5 103.0 — 0.39 0.69 0.76 —B1 101.2 59.2 81.0 — 112 0.58 0.80 — 1.11 C1 91.2 39.4 121 — 112 0.43 1.33 — 1.23 D1 101.7 39.4 141 — 112 0.39 1.38 — 1.10 F1 141.0 45.8 139.3 — 165 0.33 0.99 — 1.17 J1 152.0 78.1 158.0 — 165 0.30 1.04 — 1.09
表6 本文模型和有限元计算薄膜效应区域参数对比
Table 6 Comparison of tensile membrane action parameters based on finite element and present methods

理论 参数板S1 S6 S7 S9 S0 B1 C1 D1 F1 J1本文模型x0/m 0.30 0.30 0.30 0.29 0.54 0.63 0.30 0.30 0.44 1.14y0/m 0.30 0.30 0.30 0.30 0.54 0.29 0.30 0.30 0.44 0.42A1/m20.09 0.09 0.09 0.09 0.29 0.18 0.09 0.09 0.19 0.48x0/m 0.34 0.34 0.31 0.31 0.62 0.69 0.34 0.34 0.54 1.28y0/m 0.34 0.34 0.34 0.31 0.62 0.37 0.34 0.34 0.54 0.50A2/m20.12 0.12 0.11 0.10 0.38 0.26 0.12 0.12 0.29 0.64本文模型/有限元A1/A20.75 0.75 0.85 0.94 0.75 0.71 0.78 0.78 0.65 0.75有限元
值得指出的是,图3(d)和图4(b)给出了本文方法所得薄膜效应区域(虚线框)和板底(顶)破坏区域的对比情况。可见,本文模型计算区域、板顶(压碎边缘)和板底裂缝区域吻合较好,进一步验证本文模型是合理的。
本文开展一足尺板角约束钢筋混凝土板承载力试验研究,获得试验板破坏模式、荷载-变形曲线、钢筋应变和板角约束力等发展规律;基于试验结果和屈服线理论,建立周边四刚性板块和一中心矩形区域计算模型,提出钢筋应变差概念、钢筋和混凝土应变破坏准则,获得考虑受拉薄膜效应影响的混凝土双向板荷载-位移计算方法;在此基础上,采用本文方法和有限元理论对 10块混凝土双向简支板进行承载力分析,并与其他方法计算结果进行对比,得出以下结论:
(1) 试验板板底呈现对角斜裂缝和中心方形网状裂缝;板顶出现板角斜裂缝及其附近区域出现压碎破坏;板角斜裂缝对板角约束力发展有重要影响;
(2) 对于薄膜效应阶段,相比其他理论方法所得线性荷载-位移关系,本文方法基于钢筋应变差所得荷载-位移曲线较为合理,且能够确定混凝土双向板极限状态及相关参数;
(3) 采用试验和有限元结果,验证本文方法所得受拉薄膜效应区域及其关键参数的合理性。
[1]江见鲸, 陆新征. 混凝土结构有限元分析[M]. 北京:清华大学出版社, 2013.Jiang Jianjing, Lu Xinzheng. Finite element analysis of concrete structures [M]. Beijing: Tsinghua University Press, 2013. (in Chinese)
[2]朱伯芳. 有限单元法原理与应用[M]. 北京: 中国水利水电出版社, 2009.Zhu Bofang. The finite element method theory and applications [M]. Beijing: China Water & Power Press,2009. (in Chinese)
[3]Wang Yong, Dong Yuli, Zhou Guangchun. Nonlinear numerical modeling of two-way reinforced concrete slabs subjected to fire [J]. Computers and Structures,2013, 119: 23―36.
[4]Bailey C G, Toh W. Behaviour of concrete floor slabs at ambient and temperatures [J]. Fire Safety Journal, 2007,42(6): 425―436.
[5]Bailey C G, Toh W. Small-scale concrete slab tests at ambient and elevated temperatures [J]. Engineering Structures, 2007, 29(10): 2775―2791.
[6]李国强, 周昊圣, 郭士雄. 火灾下钢结构建筑楼板的薄膜效应机理及理论模型[J]. 建筑结构学报, 2007,28(5): 40―47.Li Guoqiang, Zhou Haosheng, Guo Shixiong.Mechanism and theoretical model of membrane action in slabs of steel buildings subjected to fire [J]. Journal of Building Structures, 2007, 28(5): 40―47. (in Chinese)
[7]张娜思, 李国强. 火灾下组合楼板薄膜效应分析的改进方法[J]. 土木工程学报, 2009, 42(3): 29―35.Zhang Nasi, Li Guoqiang. An innovative analytical method for the membrane action of composite floor slabs in fire [J]. China Civil Engineering Journal, 2009, 42(3):29―35. (in Chinese)
[8]董毓利. 用变形和分解原理求混凝土板的受拉薄膜效应[J]. 力学学报, 2010, 42(6): 1180―1187.Dong Yuli. Calculation of tensile membrane effects of concrete slabs using deformation additive decomposition theorem [J]. Chinese Journal of Theoretical and Applied Mechanics, 2010, 42(6): 1180―1187. (in Chinese)
[9]Yong Wang, Yuli Dong, Guanglin Yuan, Chaoying Zou.New failure criterion to determine the load carrying capacity of two-way reinforced concrete slabs [J].Advances in Structural Engineering, 2015, 18(2): 221―236.
[10]Omer E, Izzuddin B A, Elghazouli A Y. Failure of unrestrained lightly reinforced concrete slabs under fire -Part I: Analytical models [J]. Engineering Structures,2010, 32(9): 2631―2646.
[11]Omer E, Izzuddin B A, Elghazouli A Y. Failure of unrestrained lightly reinforced concrete slabs under fire-Part II: Verification and application [J]. Engineering Structures, 2010, 32(9): 2647―2657.
[12]Cashell K A, Elghazouli A Y, Izzuddin B A. Failure assessment of lightly reinforced floor slabs. I:Experimental investigation [J]. Journal of Structural Engineering, 2011, 137(9): 977―988.
[13]Cashell K A, Elghazouli A Y, Izzuddin B A. Failure assessment of lightly reinforced floor slabs. II: Analytical studies [J]. Journal of Structural Engineering, 2011,137(9): 989―1001.
[14]Herraiz B, Vogel T. Novel design approach for the analysis of laterally unrestrained reinforced concrete slabs considering membrane action [J]. Engineering Structures, 2016, 123: 313―329.
[15]Burgess I. Yiled line plasticity and tensile membrane action in lightly-reinforced rectangular concrete slabs [J].Engineering Structures, 2017, 138: 195―214.
[16]Ockleston A J. Load tests on a three storey reinforced concrete building in Johannesburg [J]. The Structural Engineer, 1955, 33(10): 304―322.
[17]Taylor R, Maher D, Hayes B. Effect of the arrangement of reinforcement on the behavior of reinforced concrete slabs [J]. Magazine of Concrete Research, 1965, 18(55):85―94.
[18]Sawczuk A, Winnicki L. Plastic behavior of simply supported reinforced concrete plates at moderately large deflections [J]. International Journal of Solids and Structures, 1965, 1(1): 97―111.
[19]Hayes B. Allowing for membrane action in the plastic analysis of rectangular reinforced concrete slabs [J].Magazine of Concrete Research, 1968, 20(65): 205―212.
[20]Cameron N J K, Usmani A S. New design method to determine the membrane capacity of laterally restrained composite floor slabs in fire Part 1: theory and method[J]. The Structural Engineer, 2005, 83(19): 1―6.
[21]JTG D62—2012, 公路钢筋混凝土及预应力混凝土桥涵设计规范[S]. 北京: 人民交通出版社, 2012.JTG D62—2012, Code for design of highway reinforced concrete and prestressed concrete bridges and culverts[S]. Beijing: China Communications Press, 2012. (in Chinese)
[22]GB50010—2010, 混凝土结构设计规范[S]. 北京: 中国建筑工业出版社, 2015.GB 50010—2010, Code for design of concrete structures[S]. Beijing: China Architecture & Building Press, 2015.(in Chinese)
[23]GB 50152—2012, 混凝土结构试验方法标准[S]. 北京: 中国建筑工业出版社, 2012.GB 50152—2012, Standard for test method of concrete structures [S]. Beijing: China Architecture and building Press, 2012. (in Chinese)
[24]Ghoneim M G, Mcgregor J G. Tests of reinforced concrete plates under combined in-plane and lateral loads[J]. ACI Structural Journal, 1994, 91(1): 19―30.
[25]张大山, 董毓利, 房圆圆. 考虑受拉薄膜效应的板块平衡法修正及在混凝土双向板中的应用[J]. 工程力学,2017, 34(3): 204―210.Zhang Dashan, Dong Yuli, Fang Yuanyuan. Modification of segment equilibrium method through considering tensile membrane effects and its application in two-way concrete slabs [J]. Engineering Mechanics, 2017, 34(3):204―210, 240. (in Chinese).
[26]郑颖人, 王乐, 孔亮, 等. 钢材破坏条件与极限分析法在钢结构中应用探索[J]. 工程力学, 2018, 35(1): 55―65.Zheng Yingren, Wang Le, Kong Liang, et al. Steel damage condition and application of ultimate analysis method in steel structures [J]. Engineering Mechanics,2018, 35(1): 55―65. (in Chinese).
[27]王勇, 段亚昆, 张亚军, 等. 单向面内约束混凝土双向板抗火性能试验研究及数值分析 [J]. 工程力学, 2018,35(3): 65―78.Wang Yong, Duan Yakun, Zhang Yajun, et al. Experiment and numerical analysis on the fire-resistant performance of two-way concrete slabs with unilateral in-plane restraints [J]. Engineering Mechanics, 2018, 35(3): 65―78. (in Chinese)
ANALYTICAL METHOD FOR ULTIMATE STATE OF TWO-WAY CONCRETE SLABS BASED ON STEEL STRAIN DIFFERENCE
张苏河(1999―),男,江苏人,本科生,主要从事结构抗火研究(E-mail: 1514385053@qq.com);
马 帅(1992―),男,宁夏人,硕士生,主要从事结构抗火研究(E-mail: mashuai_cumt@163.com);
龙帮云(1971―),男,四川人,副教授,硕士,主要从事建筑结构鉴定与加固研究(E-mail: lbygbh@cumt.edu.cn);