现代竹木结构因其绿色环保、低碳节能、建造快且质轻高强的优点逐渐成为一种新型的工业化建筑发展方向[1―2]。在竹木结构中,节点是保证荷载传递及整体结构安全的关键[3―4]。而螺栓连接具有制作简单、安全可靠和施工方便等优点,在工程结构领域应用广泛[5―6]。
国内外学者针对木结构螺栓连接已经进行了广泛的研究,大多数国家规范普遍采用 Johanson[7]基于销连接“屈服理论”建立的螺栓连接承载力计算公式。Saba等[8]通过研究最优化的螺栓连接方式,确定了构件的最小厚度,但未考虑螺栓间距的影响。Cramer[9]研究了多螺栓连接的群体效应,结果表明多螺栓连接的承载力并非各螺栓承载力的简单叠加,而需要群体系数进行修正,对此欧洲规范(Eurocode 5)[10]也给出了明确的群体系数计算公式。南京工业大学徐德良等[11]研究了厚度比及螺栓数量对胶合木螺栓连接承载力影响规律,并给出了侧材最优厚径比为 4.375,群螺栓连接宜采用两列布置,且两列同时开裂时延性最好。湖南大学冯立等[12]研究了胶合竹梁柱式螺栓节点受力性能,并对比分析国内规范、美国规范对节点承载力的适用性,给出了螺栓节点设计参考。同济大学王明谦等[13]对胶合木梁柱嵌入钢板-螺栓拼接节点在纯弯和弯剪复合作用下破坏机理和承载力变化规律开展研究,建立螺栓节点受弯承载力计算方法,为现代木竹结构螺栓连接节点设计提供理论依据。
重组竹材料作为新型的木材替代产品,因其优越的力学性能及工程应用价值逐渐引起人们重视[14―17]。目前关于重组竹材料基本力学性能及部件受力特性国内外已有研究,东南大学徐明等[18]对高温下重组竹销槽承压强度开展研究,建立了常温和高温下销槽承压强度的计算公式;中国林业科学研究院李霞镇[19]考虑了螺栓直径、端距及间距等因素对重组竹钢夹板螺栓连接进行受压承载力研究,推导出较为全面的理论设计公式;南京林业大学周爱萍等[20]对重组竹钢填板螺栓连接进行受拉试验研究,参照、对比中美规范给出了相应的承载力计算公式。
由于重组竹与普通木材力学性能差异较大,加之,螺栓连接承载力影响因素较多,研究成果相对匮乏,本文基于螺栓连接实际工程受拉情况,以重组竹-钢夹板螺栓连接作为研究对象,选取较大直径螺栓与厚度较小竹材、较小直径螺栓与厚度较大竹材进行组合以得到典型的破坏形态,并分析厚径比、间距和端距等因素对螺栓连接破坏模式和力学性能的影响规律,进而验证国内规范及Eurocode 5[10]计算公式对重组竹钢夹板螺栓连接承载力计算的适用性。
本研究涉及材料包括重组竹、螺栓和钢板。其中重组竹是由上海云生竹业股份有限公司提供,按照《建筑用竹材物理力学性能试验方法》[21]测试,重组竹含水率平均值为 8%,气干密度平均值为1.05 g/mm3。按照 ASTM D143—14[22]及 ASTM D5764—97a(2013)[23]试验标准测得重组竹材料的顺纹抗压强度为66.5 MPa,抗拉强度为110.6 MPa,销槽承压强度与螺栓直径有关,当螺栓直径为10 mm时,销槽承压强度为73.4 MPa,当螺栓直径为 14 mm 时,销槽承压强度为 69.8 MPa。按照ASTM F1575—03[24]试验标准对螺栓抗弯强度进行测试,当螺栓直径为 10 mm时,抗弯强度为746.6 MPa,当螺栓直径为14 mm时,抗弯强度为814.5 MPa。钢夹板选择Q345级钢材。
试验设计了3组共12个重组竹钢夹板螺栓连接,各组连接区域设计情况见表 1。试件长度为1210 mm,截面宽度为150 mm,厚度分别为70 mm、80 mm和100 mm。钢夹板厚度均为10 mm。嵌固端两侧选择三排双列螺栓连接,螺栓直径14 mm,以保证破坏发生在试验连接区域。
表1 各组试件参数
Table 1 Parameters of specimens

注: 螺栓连接编号A-B-C中,A表示螺栓数量,B表示螺栓直径,C表示端距或间距,如 2-10-5中 2表示单列双排,螺栓直径为10 mm,5表示间距为5d。
螺栓连接类型试件编号螺栓直径d/mm试件厚度t/mm端距a1/mm间距a2/mm单螺栓连接1-10-10 100 -1-14-7 M14 70 70 -1-14-10 100 -1-10-7 M10 80 70 -单列双排螺栓连接2-10-5 M10 100 70 50 2-10-7 70 2-14-5 M14 80 98 70 2-14-7 98双列双排螺栓连接4-10-5 M10 100 70 50 4-10-7 70 4-14-5 M14 80 98 70 4-14-7 98
试验采用MTS 100 t电液伺服疲劳试验机,试验中荷载由 MTS力传感器采集。位移计选择YHD-100型和YHD-200型位移传感器,位移与应变数据的采集选用TDS-303,采集频率为1 Hz。具体加载装置及位移传感器布置情况如图1所示。试验中主要对试件承受的荷载及螺栓连接区域位移进行测量,位移测点位于螺栓孔以上90 mm,使用直角连接件粘于竹材侧面。

图1 试验装置图
Fig.1 Loading layout of test
根据ASTM D5652-95[25]试验标准,试验采用两阶段加载。预加载以1.5 mm/min的加载速率单调加载,至试件预计承载力的 10%时停止加载并卸载。正式加载采用1 mm/min的加载速率,以位移控制实施加载,至试件破坏且荷载下降至约80%停止加载。
根据 Johanson[7]总结的钢夹板螺栓连接常见的破坏模式可以分为以下三种:当竹材厚度较薄时,破坏形态为单纯的销槽承压破坏,破坏形态为Ⅰ型;随着竹材厚度的增加,螺栓连接向销槽承压破坏和螺栓弯曲同时发生演变,当两侧钢板厚度较小时(不大于 0.5d),破坏形态为Ⅱ型;当两侧钢板厚度较大时(不小于螺栓直径d),破坏形态为Ⅲ型,具体的破坏模式如图2所示。
对于重组竹钢夹板螺栓连接试件,试验设计竹材厚度相对较大(最小厚度为 70 mm),满足《木结构设计规范》最小厚度不小于5d的要求,试件最终破坏均表现为竹材销槽承压破坏和螺栓弯曲。但根据试件厚径比不同,销槽承压破坏的同时,螺栓弯曲可能出现单铰和双铰屈服模式,如图3所示。当试件为Ⅱ型破坏形态时,若是竹材厚度较小,螺栓连接屈服模式为Ⅱs型,若竹材厚度较大,螺栓连接屈服模式为Ⅱd型。而当试件为Ⅲ型破坏形态时,同样可分为Ⅲs型和Ⅲd型。

图2 钢夹板螺栓连接典型破坏模式
Fig.2 Typical failure modes of bolted connections
通过试验发现,当螺栓直径为14 mm,设计厚径比相对较小,为5.0~5.7,单螺栓连接和多螺栓连接破坏形态均表现为Ⅱs型屈服模式,即单铰屈服模式,如图3(a)所示。当螺栓直径为10 mm,设计厚径比相对较大,为 8.0~10.0,单螺栓连接和多螺栓连接破坏形态均表现为Ⅲd型屈服模式,即双铰屈服模式,如图3(d)所示。

图3 螺栓连接单铰和双铰屈服模式
Fig.3 Yield modes of one or two plastic hinges
2.1.1 单螺栓连接
试验开始后,竹材很快便出现纤维撕裂的声音,随着位移的不断增大,螺杆直径较小的连接由于螺栓的变形可以看到螺杆露出部分有明显的翘曲,部分试件中螺栓孔两端竹材被剪切破坏而顶出,到试验后期会出现竹材撕裂的脆响,之后可以看到试件在顶端出现裂缝。
试验加载完毕后,将钢夹板卸下可以看到各组试件螺栓连接区域最终的破坏形态,单螺栓连接破坏形态如图4所示。对于不同端距的试件,由于螺栓弯曲造成竹材局部挤压,从破坏形态看,靠近钢板一侧的竹材出现剪切破坏或竹材撕裂破坏现象,部分竹材被剪切压出,这主要是因为重组竹材料为竹纤维束胶结冷压而成,竹纤维沿截面分布并不均匀,螺栓孔处最大主应变区域可能为螺栓中间或者螺栓两侧位置,当最大主应变为螺栓受压两侧区域,则试件表现为剪切破坏,当最大主应变为螺栓受压中间区域,则试件表现为撕裂破坏[26-27]。

图4 单螺栓连接破坏形态图
Fig.4 Failure modes of single bolted connection
由图5可以看出,对于单螺栓连接试件,当厚径比为5.0时,出现Ⅱs型破坏模式,此时螺栓直径较大而竹材厚度较小,为单铰屈服模式,如图5(a)所示。当厚径比为8.0时,出现Ⅲd型屈服模式,此时直径较小而竹材厚度较大,为双铰屈服模式,如图5(b)所示。

图5 单螺栓连接典型屈服模式
Fig.5 Typical yield modes of single bolted connection
2.1.2 双排单列螺栓连接
试验中随着位移的增加,竹材出现纤维撕裂的声音,逐渐加载可以看到直径较小的螺栓露出部分明显翘曲,在加载后期试件内出现脆响声,部分试件可以看见螺栓孔处竹材被剪切挤出,试件破坏时往往伴随一声沉闷的响声,然后出现贯通裂缝而逐渐破坏,其破坏形态如图6所示。此时,螺栓连接试件破坏形态多为竹材沿螺栓孔顺纹顺纹方向撕裂破坏。

图6 双排单列螺栓连接破坏形态图
Fig.6 Failure modes of multi-bolted connection
2.1.3 双排双列螺栓连接
试验加载初期,竹材很快出现纤维撕裂的声音,加载后期会出现不同程度的竹材撕裂的脆响,直径较小的螺栓明显翘曲。试件接近破坏时往往伴随着竹材撕裂的脆响,螺栓连接可以明显看见竹材沿螺栓孔剪切破坏被挤出,其破坏形态如图7所示。

图7 双排双列螺栓连接破坏形态图
Fig.7 Failure modes of multi-bolted connection
从图8可以看出,对于多螺栓连接试件,当厚径比为5.7时,出现Ⅱs型破坏模式,此时螺栓直径较大而竹材厚度较小,为单铰屈服模式,如图8(a)所示。当厚径比为10.0时,出现Ⅲd型屈服模式,此时直径较小而竹材厚度较大,为双铰屈服模式,如图8(b)所示。
综上,各螺栓连接试件屈服模式及最终破坏形态如表2所示。

图8 多螺栓连接典型屈服模式
Fig.8 Typical yield modes of multi-bolted connection
表2 各试件破坏模式及最终破坏形态
Table 2 Yield modes and failure modes of specimens

试件编号 厚径比 屈服模式 破坏形态1-10-7 8.0 Ⅲd型 竹材沿顺纹方向撕裂破坏1-10-10 8.0 Ⅲd型 螺栓孔端部竹材压出,剪切破坏1-14-7 5.0 Ⅱs型 竹材沿顺纹方向撕裂破坏1-14-10 5.0 Ⅱs型 螺栓孔端部竹材压出,剪切破坏2-10-5 10.0 Ⅲd型 竹材沿顺纹方向撕裂破坏2-10-7 10.0 Ⅲd型 竹材沿顺纹方向撕裂破坏2-14-5 5.7 Ⅱs型 螺栓孔端部竹材压出,剪切破坏2-14-7 5.7 Ⅱs型 竹材沿顺纹方向撕裂破坏4-10-5 10.0 Ⅲd型 螺栓孔端部竹材压出,剪切破坏4-10-7 10.0 Ⅲd型 螺栓孔端部竹材压出,剪切破坏4-14-5 5.7 Ⅱs型 螺栓孔端部竹材压出,剪切破坏4-14-7 5.7 Ⅱs型 螺栓孔端部竹材压出,剪切破坏
图 9分别给出了三种螺栓连接的荷载-位移曲线,试件由于初始间隙导致的初期低刚度段已被去除。从荷载-位移曲线来看,加载初期,荷载-位移曲线呈线性关系,试件处于弹性阶段;随着位移的增加,荷载上升速率减慢,试件进入弹塑性阶段,从图中可以看出厚径比较小的试件此阶段并不明显,且当螺栓个数较多时,荷载值在陡降之后又会出现重新上升的情况,这是多排螺栓相互作用的结果。

图9 各试件荷载-位移曲线图
Fig.9 Load-displacement curves of specimens
从图 9(a)可以看出,对于单螺栓连接试件,随着端距增加,螺栓连接承载能力逐渐提高;随着螺栓直径增加,螺栓连接承载能力和初始刚度逐渐增大。
综合对比图9(a)~图9(c)可以看出,增加螺栓个数或者增加螺栓列数,螺栓荷载-位移曲线斜率随之增大,即初始刚度逐渐增加,极限荷载也相应增加。
2.3.1 主要力学性能参数
从荷载-位移曲线中可以得到屈服荷载Fy、极限荷载Fu、初始刚度K1、屈服位移λy、极限位移λu及延性系数等力学性能参数。其中屈服荷载按NDS规范[28]提供的 5%螺栓直径偏移法确定,屈服位移取屈服荷载对应的位移值,极限位移取极限荷载对应的位移,延性系数取极限位移与屈服位移的比值,第一阶段的初始刚度K1由初始直线段斜率得到,基于5%螺栓直径偏移法按图10确定。经计算各试件的力学性能参数如表3所示。

图10 屈服荷载Fy、极限荷载Fu、K1取值方法
Fig.10 Method of obtainingFy,Fu,K1
表3 各试件力学性能参数
Table 3 Mechanical parameters of specimens

试件编号Fu/kNFy/λy/kNK1/(kN/mm)λu/mm mm延性系数1-10-7 53.6 34.2 18.3 6.2 2.1 2.95 1-10-10 68.8 44.2 19.5 6.35 2.3 2.76 1-14-7 99.0 59.7 22.8 7.2 2.4 3.00 1-14-10 108.5 76.4 23.5 6.6 2.6 2.54 2-10-5 77.6 45.8 33.4 7.4 3.1 2.39 2-10-7 84.2 56.9 31.2 7.9 2.5 3.16 2-14-5 106.6 65.8 35.3 7.6 3.6 2.11 2-14-7 134.2 90.7 36.3 6.4 2.7 2.37 4-10-5 125.2 90.6 39.8 3.3 5.2 0.63 4-10-7 139.4 96.3 49.6 3.2 4.6 0.70 4-14-5 160.1 121.3 42.4 3.2 6.2 0.52 4-14-7 176.3 145.3 48.6 3.7 5.1 0.73
2.3.2 承载能力
由表3可知,对于单螺栓连接试件,当端距提高3d时,直径为10 mm试件屈服荷载和极限荷载提高1.29倍和1.28倍,直径为14 mm试件屈服荷载和极限荷载提高1.28倍和1.10倍;当螺栓直径由10 mm增加至14 mm时,端距为7d试件屈服荷载和极限荷载提高1.75倍和1.85倍,端距为10d试件屈服荷载和极限荷载提高1.73倍和1.58倍。试件厚径比由5.0增加至8.0,屈服荷载和极限荷载逐渐减小,屈服模式由Ⅲd型转变为Ⅱs型。
对于多螺栓连接试件,屈服荷载和极限荷载与螺栓直径和厚径比的关系与单螺栓连接呈现出相似的规律。由于试件的端距保持不变,随着间距的增加,试件屈服荷载和极限荷载逐渐增加,即螺栓连接承载能力随之提高。
对于增加螺栓数量或者增加螺栓列数,试件的屈服荷载和极限荷载增加明显,以螺栓直径为10 mm为例分析,当螺栓数量增加2倍时,屈服荷载和极限荷载分别增加1.66倍和1.57倍;当螺栓列数增加 2倍时,屈服荷载和极限荷载分别增加1.69倍和1.66倍,这说明螺栓数量与承载能力并不是线性增加,需考虑群螺栓系数影响。
2.3.3 刚度
由表3可知,试件的初始刚度随着螺栓直径的增加而增加;随着厚径比的增加,试件的刚度逐渐减小,屈服模式由Ⅲd型转变为Ⅱs型;当螺栓个数或螺栓列数增加时,试件的初始强度提高显著;端距和间距对刚度的影响并不明显。以螺栓直径为10 mm为例分析,当螺栓直径增加至14 mm时,试件的刚度提高1.25倍;当端距增加3d时,试件的刚度提高1.07倍,略有增加;当螺栓个数增加2倍时,试件的刚度提高1.83倍。
2.3.4 延性
由表3可知,对于螺栓连接,螺栓直径、端距和间距对延性的影响并不明显。对于单螺栓连接试件,延性系数为2.54~3.00,当螺栓个数增加2倍时,延性系数为2.11~3.16,两者差别不大,但随着螺栓列数进一步增加,试件的延性系数降低明显,仅为0.52~0.70。这说明单列螺栓布置螺栓连接延性较好,而增加螺栓列数虽然可以提高螺栓连接承载能力但同时延性变差。对于不同厚径比,试件表现出不同的破坏模式,但是延性变化并不明显。
采用《木结构设计规范》[29]、《木结构设计手册》[30]和 Eurocode 5[10]中关于螺栓连接承载力的计算方法,对重组竹螺栓连接承载力进行计算分析。
1) 《木结构设计规范》[29]公式
由于试件设计满足规范要求的最小截面厚度、端距和间距,因此可直接采用螺栓连接顺纹承载力式(1):
式中:Nv为螺栓连接每一剪面承载力;kv为螺栓连接承载力计算系数;d为螺栓直径;fc为顺纹承压强度。对于钢夹板螺栓连接,kv取7.5,如前文所示,fc取 66.5 MPa,由于规范并未提出多螺栓群体作用因素,有效螺栓个数计算采用Eurocode 5[5]公式。
2) 《木结构设计手册》[30]公式
按照销槽承压破坏和螺栓弯曲破坏两种破坏模式,给出了以下两个计算公式,并以计算结果较小者定为螺栓连接承载力。
销槽承压破坏:
螺栓弯曲破坏:
式中:Vm为螺栓连接每一剪面承载力;fem为竹材销槽承压强度;fbs为螺栓抗弯强度;c为竹材厚度。对于钢夹板螺栓连接,如前文所示,当螺栓直径为10 mm时,fem为73.4 MPa,fbs为746.6 MPa;当螺栓直径为 14 mm 时,fem为 69.8 MPa,fbs为814.5 MPa。对多螺栓连接,有效螺栓个数同样采用Eurocode 5[10]公式。
3) Eurocode 5[10]公式
Johanson提出钢夹板螺栓连接三种常见破坏模式和相应的计算公式,并被Eurocode 5[10]采用。其中模式j、k和m分别对应前文Ⅰ型、Ⅱ型和Ⅲ型破坏模式。由于本试验重组竹钢夹板螺栓连接最终破坏形态为竹材销槽承压破坏和螺栓弯曲同时发生,根据厚径比不同,破坏模式主要为Ⅲd和Ⅱs型,所以采用模式k和m公式计算螺栓连接承载力。此外,由于当螺栓直径为14 mm时,外加钢板厚度为10 mm(介于0.5d~1d),故采用两公式线性插值求解最终螺栓连接承载力。

式中:Fv,Rk为每个剪切面上的承载力;t2为中间竹材厚度;fh,2,k为竹材的销槽承压强度;My,Rk为螺栓的屈服弯矩,My,Rk=(fbsd3)/6。
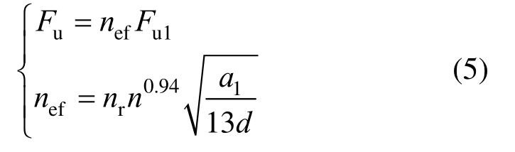
多螺栓连接由于每个螺栓不能均匀地传递荷载,因此一列螺栓连接不能简单地将各螺栓承载力叠加,而需用群体作用系数进行修正。Eurocode 5[5]给出多螺栓连接的承载力公式如式(5)所示:

式中:Fu为多螺栓连接承载力;Fu1为单个螺栓的承载力;nef为螺栓的有效个数;nr为螺栓列数;n为每列螺栓的个数;a1为螺栓沿顺纹方向的间距。
根据中、欧规范可计算出重组竹钢夹板螺栓连接承载力,具体结果参见表 4。其中,误差为计算值与极限荷载的差值。通过对比分析,两种规范计算值普遍比试验值偏小,但中国规范的计算值误差更大,这主要是因为中国规范采用的是设计值,因此安全系数较高。此外,重组竹密度远大于普通木材,销槽承压强度和顺纹承压强度试验结果较国内规范计算值明显偏大,因此采用中国规范计算重组竹螺栓连接过于保守。基于之前研究发现[18],重组竹顺纹销槽承压强度计算采用Eurocode 5[10]具有更好的适用性。结合螺栓连接破坏模式采用不同的计算公式,所得的计算值与试验值误差较小,若采用Eurocode 5[10]计算存在安全富裕,可以较好地预测重组竹钢夹板螺栓连接承载能力,当然,为充分发挥重组竹材料性能,可对公式进一步修正或提出新的计算公式。
表4 各试件试验值与计算值对比
Table 4 Comparison of experimental results of specimens with calculations

试件编号 极限荷载Fu/kN屈服荷载Fy/kN《木结构设计规范》计算值/kN 误差/(%) 《木结构设计手册》计算值/kN 误差/(%) Eurocode 5计算值/kN 误差/(%)1-10-7 53.6 34.2 12.23 77.18 20.74 61.30 43.96 17.98 1-10-10 68.8 44.2 12.23 82.22 20.74 69.85 43.96 36.10 1-14-7 99.0 59.7 23.97 75.78 41.41 58.18 72.52 26.75 1-14-10 108.5 76.4 23.97 77.90 41.41 61.84 72.52 33.16 2-10-5 77.6 45.8 14.55 81.24 24.68 68.20 52.31 32.59 2-10-7 84.2 56.9 17.22 79.55 29.20 65.32 61.89 26.49 2-14-5 106.6 65.8 28.53 73.24 49.26 53.79 86.94 18.44 2-14-7 134.2 90.7 33.75 74.85 58.29 56.56 102.87 23.34 4-10-5 125.2 90.6 29.11 76.75 49.36 60.58 104.62 16.44 4-10-7 139.4 96.3 34.44 75.29 58.40 58.11 123.78 11.20 4-14-5 160.1 121.3 57.05 64.36 98.53 38.46 173.89 8.61 4-14-7 176.3 145.3 67.50 61.71 116.58 33.87 205.75 16.70
本文通过对 12组重组竹钢夹板螺栓连接进行单轴拉伸试验,研究了螺栓数量及排列对连接承载能力及破坏形态的影响规律,得出以下结论:
(1) 重组竹螺栓连接在满足规范要求的最小厚度、端距和间距时,其最终的破坏形态表现为竹材销槽承压破坏和螺栓弯曲同时发生。当试件厚径比为5.0~5.7,单螺栓连接和多螺栓连接破坏形态均表现为Ⅱs型屈服模式,即单铰屈服模式;当试件厚径比为 8.0~10.0,单螺栓连接和多螺栓连接破坏形态均表现为Ⅲd型屈服模式,即双铰屈服模式。
(2) 随着螺栓直径、端距、间距的增加,重组竹螺栓连接承载力逐渐提高,对于增加螺栓个数或螺栓列数,螺栓连接承载力出现非线性增加,因此需要考虑群螺栓系数影响。
(3) 端距和间距对重组竹螺栓连接试件初始刚度较螺栓直径和数量影响不大。单列螺栓布置螺栓连接延性较好,而增加螺栓列数导致延性变差。对于不同厚径比试件延性变化并不明显。
(4) 通过中、欧规范分析对比国内规范给出的承载力计算公式较为保守,而Eurocode 5基于不同破坏模式建立的计算公式能较好地预测螺栓连接承载能力。
[1]凌志彬, 刘伟庆, 杨会峰, 等. 考虑位置函数的胶合木植筋粘结-滑移关系研究[J]. 工程力学, 2016, 33(3):95―103.Ling Zhibin, Liu Weiqing, Yang Huifeng, et al. Study on bond-slip law of glulam connection with glued-in rebar with consideration of location function [J]. Engineering Mechanics, 2016, 33(3): 95―103. (in Chinese)
[2]Jensen J L, Quenneville P. Experimental investigations on row shear and splitting in bolted connections [J].Construction and Building Materials, 2011, 25(5):2420―2425.
[3]李玉顺, 蒋天元, 单炜, 等. 钢-竹组合梁柱边节点拟静力试验研究[J]. 工程力学, 2013, 30(4): 241―248.Li Yushun, Jiang Tianyuan, Shan Wei, et al. Quasi-static test on steel-bamboo composite beam-column exterior joints [J]. Engineering Mechanics, 2013, 30(4): 241―248. (in Chinese)
[4]Xu B H, Bouchaïr A, Racher P. Mechanical behavior and modeling of dowelled steel-to-timber moment-resisting connections [J]. Journal of Structural Engineering, 2015,141(6): 04014165.
[5]舒赣平, 杜二峰, 张欣欣, 等. T型钢连接梁柱节点抗火性能试验研究[J]. 工程力学, 2016, 33(7): 136-143.Shu Ganping, Du Erfeng, Zhang Xinxin, et al.Experimental study on the fire performance of steel beam-column T-stub joints [J]. Engineering Mechanics,2016, 33(7): 136―143. (in Chinese)
[6]杨俊芬, 陈雷, 程锦鹏, 等. 一种新型装配式梁柱节点抗性能试验研究[J]. 工程力学, 2017, 34(12): 75―86.Yang Junfen, Chen Lei, Cheng Jinpeng, et al.Experimental study on seismic behavior of a new type of fully assembled beam-column joints [J]. Engineering Mechanics, 2017, 34(12): 75―86. (in Chinese)
[7]Johanson K W. Theory of timber connections [M]. Bern:International Association for Bridge and Structural Engineering (IABSE), 1949: 249―262.
[8]Ozturk M, Saba N, Altay V, et al. Biomass and bioenergy: An overview of the development potential in Turkey and Malaysia [J]. Renewable and Sustainable Energy Reviews, 2017, 79: 1285―1302.
[9]Cramer C O. Load distribution in multiple-bolt tension joints [J]. Journal of Structural Division, ASCE, 1968,94(5): 1101―1117.
[10]BS EN 1995-1-1, Eurocode 5: Design of timber structures-Part 1-1: General-common rules and rules for buildings [S]. London: British Standards Institution,2004.
[11]徐德良, 刘伟庆, 周叮, 等. 胶合木与胶合木螺栓连接力学性能试验研究[J]. 建筑结构学报, 2011, 32(7):93―100.Xu Deliang, Liu Weiqing, Zhou Ding, et al. Experimental study of bolted glued timber-to-timber joints [J]. Journal of Building Structures, 2011, 32(7): 93―100. (in Chinese)
[12]冯立, 肖岩, 单波, 等. 胶合竹结构梁柱螺栓连接节点承载力试验研究[J]. 建筑结构学报, 2014, 35(4): 230―235.Feng Li, Xiao Yan, Shan Bo, et al. Experimental study on bearing capacity of glubam beam-column bolted joints[J]. Journal of Building Structures, 2014, 35(4): 230―235. (in Chinese)
[13]王明谦, 顾祥林, 宋晓滨, 等. 胶合木梁柱嵌入钢板-螺栓拼接节点纯弯与弯剪性能试验研究[J]. 建筑结构学报, 2016, 37(4): 64―72.Wang Mingqian, Gu Xianglin, Song Xiaobin, et al.Experimental study on bolted glued laminated timber connections with slotted-in steel plates under pure bending and combined shear and bending [J]. Journal of Building Structures, 2016, 37(4): 64―72. (in Chinese)
[14]Khalil H P S A, Bhat I U H, Jawaid M, et al. Bamboo fibre reinforced biocomposites: A review [J]. Materials and Design, 2012, 42(1): 353―368.
[15]Sharma B, Gatóo A, Bock M, et al. Engineered bamboo for structural applications [J]. Construction and Building Materials, 2015, 81: 66―73.
[16]Kumar A, Vlach T, Laiblova L, et al. Engineered bamboo scrimber: Influence of density on the mechanical and water absorption properties [J]. Construction and Building Materials, 2016, 127: 815―827.
[17]Xu M, Cui Z Y, Chen Z F, et al. Experimental study on compressive and tensile properties of a bamboo scrimber at elevated temperatures [J]. Construction and Building Materials, 2017, 151: 732―741.
[18]崔兆彦, 王飞, 徐明, 等. 高温下重组竹顺纹销槽承压强度试验研究[J].东南大学学报(自然科学版), 2017,47(6): 1174―1179.Cui Zhaoyan, Wang Fei, Xu Ming, et al. Experimental study on embedding strength of bamboo scrimber parallel to grain at high temperatures [J]. Journal of Southeast University (National science edition), 2017,47(6): 1174―1179. (in Chinese)
[19]李霞镇. 重组竹螺栓连接节点承载性能研究[D]. 北京: 中国林业科学研究院, 2013.Li Xiazhen. Research on the bearing performance of bolt joint for recombinant bamboo [D]. Beijing: Chinese Academy of Forestry Sciences, 2013. (in Chinese)
[20]周爱萍, 黄东升, 唐思远, 等. 重组竹-钢填板螺栓节点承载力试验研究[J]. 南京工业大学学报(自科科学版), 2016, 38(5): 34―39.Zhou Aiping, Huang Dongsheng, Tang Siyuan, et al.Experimental research on bearing capacity of the bolted PSB-steel-PSB joints [J]. Journal of Nanjing Tech University (National science edition), 2016, 38(5): 34―39. (in Chinese)
[21]JG/T 199―2007, 建筑用竹材物理力学性能试验方法[S]. 北京: 中国标准出版社, 2007.JG/T 199―2007, Testing methods for physical and mechanical properties of bamboo used in building [S].Beijing: Standards Press of China, 2007. (in Chinese)
[22]ASTM D143―14, Standard test methods for small clear specimens of timber [S]. Philadelphia: American Society for Testing and Materials, 2014.
[23]ASTM D5764―97a(2013), Standard test method for evaluating dowel-bearing strength of wood and wood-based products [S]. Philadelphia: American Society for Testing and Materials, 2013.
[24]ASTM F1575―03, Standard test methods for bolted connections in wood and wood-based products [S].Philadelphia: American Society for Testing and Materials, 2003.
[25]ASTM D5652―95, Standard test methods for bolted connections in wood and wood-based products [S].Philadelphia: American Society for Testing and Materials, 2007.
[26]Reynolds T, Sharma B, Harries K, et al. Dowelled structural connections in laminated bamboo and timber[J]. Composites Part B: Engineering, 2016, 90(9): 232―240.
[27]Jensen J L, Quenneville P, Girhammar U A, et al.Splitting of timber beams loaded perpendicular to grain by connections-Combined effect of edge and end distance [J]. Construction and Building Materials, 2012,35(10): 289―293.
[28]NDS 1997, National design specification for wood construction [S]. Washington DC: National Forest Products Assocition, 1997.
[29]GB 50005―2003, 木结构设计规范[S]. 北京: 中国建筑工业出版社, 2003.GB 50005―2003, Timber structures design code [S].Beijing: China Architecture Industry Press, 2005. (in Chinese)
[30]木结构设计手册编辑委员会.木结构设计手册[M]. 3版. 北京: 中国建筑工业出版社, 2005: 86―88.The Editorial Board of Wood Structure Design Manual.Wood structure design manual [M]. 3rd ed. Beijing:China Architecture Industry Press, 2005: 86―88. (in Chinese)
EXPERIMENTAL STUDY ON BEARING CAPACITY OF BOLTED STEEL-PSB-STEEL CONNECTIONS
陈忠范(1961―),男,江苏人,教授,博士,博导,主要从事防灾减灾及防护工程研究(E-mail: 101003944@seu.edu.cn);