断裂韧度与强度是混凝土的重要材料参数。目前,混凝土断裂韧度与强度参数的确定存在两个拟解决的关键问题。第一,两个参数的确定不能采用统一方法,须采用不同的试件型式和试验方法分别测试[1-4]。第二,由小尺寸试件或试块测试得到的混凝土断裂韧度和强度具有尺寸效应。
学者们提出了各类尺寸效应理论及模型,拟由小尺寸试件的试验结果反演原型试件与结构的真实材料特性。徐世烺等[5-6]基于Weibull统计理论提出了混凝土断裂韧度尺寸效应的概率模型,用小尺寸试件的断裂韧度的数学期望去估算大构件断裂韧度的数学期望。郑建军和周欣竹[7]考虑混凝土骨料尺寸分布和分布密度的边界效应,提出了描述混凝土断裂能尺寸效应的细观结构方法。曹亮和王向东[8]在考虑混凝土裂缝临界扩展的基础上,提出了三点弯曲混凝土试件断裂韧度尺寸效应的修正公式。王学志等[9]通过不同尺寸碾压混凝土三点弯曲试件的断裂试验,明确了碾压混凝土断裂韧度的尺寸效应规律,并进一步提出了普通混凝土断裂的修正尺寸效应公式[10]。管俊峰等[11-13]基于相似理论,建立了钢筋混凝土梁起裂荷载尺寸效应计算方法,给出了正常使用阶段的平均裂缝间距与最大裂缝宽度的相似比具体计算公式,将模型试验得到的开裂荷载、裂缝间距与裂缝宽度反演到原型结构的构件中。然而,以上尺寸效应模型主要关注于断裂韧度或强度等单一指标的计算,采用上述模型不能同时确定断裂韧度与强度参数。
水工混凝土断裂试验规程要求的断裂试件高度W=200 mm[2]。则实验室条件下混凝土试块或试件尺寸W与其骨料颗粒尺寸如骨料最大粒径dmax的比值W/dmax一般较小(W/dmax<20),试件的非均质性明显,试验结果也有较大的离散性,并具有尺寸效应现象。而现有的尺寸效应模型[14-16]都基于连续介质力学理论,模型表达式中未包含骨料颗粒尺寸这一重要参数。文献[17]首先将混凝土试件的峰值荷载Pmax对应的虚拟裂缝扩展量Δafic相关于骨料最大粒径dmax,假定关系式为Δafic=λdmax,然而其限定λ≥1;且其所用试件由疲劳试验获得初始裂缝a0,对结果分析造成一定影响。文献[18]基于边界效应理论,考虑骨料颗粒的重要作用,研究了断裂韧性和拉伸强度对材料与结构破坏的影响。文献[19]针对岩石材料,提出将Pmax对应的Δafic与岩石颗粒尺寸相联系,并从理论上分析了其可行性,进而采用试验进行了验证。但上述研究中,并未给出混凝土与岩石断裂破坏全过程预测曲线。文献[20-21]进一步提出了离散度函数β的概念,研究了其取值变化(β=0.2、0.4、0.6、0.8、1.0、1.2、1.4、1.6、1.8、2.0…)对断裂韧度KIC与拉伸强度ft确定的影响。文献[21-22]详细分析了dmax=10、试件高度W=50 mm~400 mm、且满足最大几何相似比1∶8的混凝土试件的断裂试验成果,基于修正边界效应模型,同时确定出KIC与ft,进而与尺寸效应模型进行了深入比较。
本文在课题组前期研究的基础上[17-23],考虑混凝土类材料的非均质特性,提出了“相对尺寸”的概念,来研究小尺寸混凝土试件的断裂破坏,重点分析试件高度不超过160 mm的且不满足几何相似的小尺寸混凝土试件(W=60 mm~160 mm;相对尺寸W/dmax=6~16):通过发展离散颗粒断裂模型,来阐述小尺寸混凝土试件裂缝扩展的物理机理,详细分析了不同试件组合及不同离散度函数取值对确定无尺寸效应的混凝土断裂韧度与拉伸强度的影响规律。进一步,基于确定的材料参数建立了混凝土断裂破坏预测全曲线,确定出不同情况下的、满足线弹性断裂力学条件的混凝土试件最小理论尺寸。进一步,基于确定的材料参数对各试件的峰值荷载进行了成功预测。
图1为采用离散颗粒断裂模型,来阐述小尺寸混凝土试件裂缝跨越骨料扩展的物理机理。图1(a)为实际峰值荷载下,小尺寸试件裂缝跨越实际骨料分布下的扩展示意图,图1(b)和图1(c)为简化后的采用理想骨料分布的计算模型示意图。如图1所示试件厚度B仅为骨料最大粒径dmax的4倍,试件相对高度W/dmax≤16,则试件的非均质性明显。由于骨料的存在,随着外荷载的增加,裂缝扩展为跨跃骨料一排一排地扩展,裂缝扩展本质属性为跳跃性和不连续性。因此,峰值荷载时对应的裂缝扩展量(Δafic)将是:0·dmax, 1·dmax, 2·dmax,…。对于小尺寸三点弯曲梁试件(如图 1(b),相对尺寸W/dmax=6,a0/W=0.3),考虑到韧带高度(W-a0)范围内((W-a0)/dmax=4)还存在受拉区和受压区(假设各为1·dmax),因此峰值荷载时对应的裂缝扩展量Δafic受到限制,仅为 1·dmax,理论上Δafic不可能超过 2·dmax。对于相对尺寸稍大试件(图 1(c),W/dmax=16),Δafic仍可为1·dmax,也可能达到2·dmax。由于混凝土的非均质性,在试件的某些最薄弱地方,其裂缝尖端在整体扩展的基础上,还会出现突然地跳跃骨料扩展,如图1所示。

图1 小尺寸试件的裂缝扩展跨越骨料的机理示意
Fig.1 Stepwise crack growth following aggregate in small-size s specimens
按相同配合比浇筑一组多个混凝土试件,由于每个试件骨料分布、浇筑情况、初始缺陷分布等影响因素不同,造成该组试件中各个试件具有不同的裂缝扩展量(图 1(a))。而从平均值意义上,一组试件的平均裂缝扩展量Δafic仍可用图1(b)和图1(c)表示,如β=1.0或β=2.0。考虑裂缝形成过程中裂缝面的骨料咬合、互锁及拔出等行为,主要围绕骨料颗粒进行[24],由此,在发展的边界效应断裂模型中定义[17-23]:
式中:dmax为骨料颗粒的最大粒径;β为离散度参数,取决于混凝土浇筑质量、骨料分布与排列等情况。实际的混凝土试件骨料分布情况并不是每排整齐排列,若考虑骨料的错动等随机分布,β还可个性化取值,如图1(d)所示的1.0<β<2.0。而当其他粒径的骨料dn(n=1,2,3…)含量占主导时,可将骨料最大粒径dmax替换为dn考虑。
混凝土试件内离散骨料颗粒的存在,引起裂缝扩展过程中骨料互锁与拔出等行为,则峰值荷载Pmax时虚拟裂缝扩展区Δafic内应力分布较为复杂不易精确确定与描述[25-27]。因此,通常用来描述混凝土断裂过程区内的连续的粘聚应力分布可近似视为“离散的侨联应力”分布,即Pmax时对应的Δafic内的应力分布视为跳跃阶梯型(图 1(e))。如前述分析,对于小尺寸混凝土试件,Δafic范围较小,仅为1·dmax~2·dmax,因此,为方便计,Δafic内应力分布可假定为线性分布。
边界效应模型(BEM)中[28-31]采用名义结构应力σn可考虑初始裂缝的影响:
式中:σN为试件破坏时的名义应力;σn为考虑初始裂缝影响的名义应力。对于三点弯曲梁,A(α)=(1-α)2。
BEM 中由等效裂缝长度ae来反映试件几何结构的影响:
式中:Y(α)为几何形状参数,可由应力强度因子手册查取,对跨高比S/W=4的三点弯曲梁试件[1,32],
为缝高比,α=a0/W(初始裂缝长度a0与试件高度W的比值)。可见,ae只与初始裂缝长度、试件尺寸与结构型式有关。
将骨料最大粒径dmax与离散度参数β引入BEM发展了BEM,即建立离散颗粒断裂模型,对于有限尺寸试件,其对应的解析表达式为:

式中,
为材料的特征裂缝长度,其值可由破坏准则-断裂韧度准则KIC和强度准则ft的交点得到[28-31],即![]()
如图2所示,当
即
2.5·(KIC/ft)2,结构破坏受控于断裂韧度准则,满足线弹性断裂力学条件,这与美国ASTM规范对于测定无尺寸效应的材料断裂韧度的试件尺寸要求相吻合[1]。只有当试件尺寸W与材料参数a*∞的比例W/a*∞>1000时,试件才能视为均值连续体,这时骨料颗粒对于结构性能的影响可以忽略,则可通过线弹性力学理论确定出该材料的断裂参数KIC。而对于试件尺寸W与材料参数a*∞比例W/a*∞<100时,骨料颗粒影响不能忽略,需采用离散颗粒断裂模型研究其破坏。

图2 基于离散颗粒断裂模型建立结构特性与材料参数的联系
Fig.2 Relationship between the structural behavior and material constant from the discrete particle fracture model
如图2所示,对于实验室条件下的试件,通常
处于准脆性断裂状态,试件破坏同时受控于断裂韧度准则与强度准则(ft≈90%~10%;KIC≈10%~90%)。对于处于准脆性断裂状态的小尺寸试件,可采用两类方法获取其无尺寸效应的断裂参数:(1)建立非线弹性断裂模型,考虑虚拟裂缝扩展,由等效裂缝长度代替初始裂缝长度,计算等效断裂韧度作为混凝土的材料参数。采用该方法较为著名断裂模型如双K模型[6,33-34]、双参数模型[35-36]、等效裂缝模型[37-39]等。(2)通过两极限准则(断裂韧度KIC和拉伸强度ft)来确定小尺寸试件的准脆性断裂状态。即采用a)无限大板含有长裂缝情况对应的无尺寸效应的断裂韧度KIC;b)未含裂缝试件对应的无尺寸效应的拉伸强度ft。相应地,如果已知小尺寸试件的试验结果,也可通过数据拟合回归,外推确定两个材料参数KIC和ft。Bažant所提尺寸效应模型SEM[14]及边界效应模型BEM[17-23]即采用此方法。
由图2与式(3)可见,采用改进的BEM——离散颗粒断裂模型的解析解,可描述强度控制、准脆性断裂控制、断裂韧度控制三种不同状态。小尺寸混凝土试件处于准脆性状态,其试验结果表现出明显的结构特性。而采用离散颗粒断裂模型,可建立起混凝土结构特性(如不同尺寸混凝土试件的不同峰值荷载)与材料参数(如该混凝土唯一的、不随试件尺寸变化的材料参数——断裂韧度与拉伸强度等)的联系。
需要指出,采用本文离散颗粒断裂模型,仅需在试验过程中测定试件的峰值荷载Pmax,而不需测定试件的荷载-变形全曲线、裂缝嘴张开口位移等参数,因此,试验结果可靠,对试验条件要求较低,便于推广应用。
特别地,对于三点弯曲试件,如前所述为简化计算假定Δafic内应力分布为线性,则根据力与力矩平衡,可得出考虑裂缝影响的结构名义应力σn具体的解析表达式为[17-23]:

式中:S为试件有效跨长;B为试件厚度;Pmax为各试件的峰值荷载;W为试件高度,α为试件缝高比。
将式(3)进一步变换可得结构名义应力σn与材料参数——断裂韧度KIC及拉伸强度ft的具体关系式为:

由试验确定不同试件的峰值荷载Pmax,通过式(4)计算结构名义应力σn,由式(2)计算其结构参数ae,基于式(5)进行数据的回归分析,即可同时确定出材料参数——断裂韧度KIC与拉伸强度ft,从而实现由结构特性材料参数的目的。
由式(2)可知,对于尺寸效应模型SEM所要求的几何相似试件(最大试件与最小试件的高度比值为1∶4),其初始缝高比α=a0/W一致而试件高度变化W,由于其本身对应于不同ae,则可由几何相似试件基于离散颗粒断裂模型同时确定出材料参数KIC及ft。然而,离散颗粒断裂模型的应用范围可涵盖现有的尺寸效应模型的要求:所用试件只需具有不同的几何结构ae,而不需严格不满足几何相似要求:如可采用缝高比α变化而试件高度W一致的非几何相似试件(如图2所示,非几何相似试件);或缝高比α与试件高度W都变化的试件(如图2,几何相似试件,但试件高度比值不需满足1∶4),都可获得不同的ae。
基于离散颗粒断裂模型确定KIC及ft的方法,理论完备,实施简便,因此便于在普通实验室推广。
文献[33]进行了骨料最大粒径dmax=10 mm,试件高度W=60 mm、80 mm、100 mm、140 mm、160 mm的小尺寸试件断裂试验。其试件厚度B=40 mm,缝高比a0/W=0.3,跨高比S/W=4。则相对尺寸W/dmax=6~16;韧带高度的相对尺寸(W-a0)/dmax=4~11;试件厚度相对尺寸B/dmax=4。可见,文献[33]所用试件不满足尺寸效应模型要求的最小尺寸与最大尺寸比为1:4的完全几何相似情况。但由于试件高度W变化,则可对应于不同的几何结构参数ae;同时可试验得到不同峰值荷载Pmax,进而得到不同结构名义应力σn,因此,具备由边界效应理论回归分析确定材料参数的条件。
文献[33]给出的试验实测立方体抗压强度fcu=51.7 MPa,抗拉强度为 3.98 MPa;若考虑混凝土抗拉强度约为其抗压强度的1/8~1/12,则抗拉强度为 4.3 MPa~6.5 MPa,综合考虑,该混凝土的抗拉强度约为3.5 MPa~6.5 MPa。文献[33]由双K断裂模型计算得到的峰值荷载Pmax对应的非线性断裂韧度-失稳断裂韧度在0.956 MPa·m1/2~1.746 MPa·m1/2变化,平均值为 1.3006 MPa·m1/2。其中,基于裂缝口张开位移试验值计算的峰值荷载Pmax对应的虚拟裂缝扩展量Δafic与dmax的比值见表1。
表1 不同情况下的Δafic与dmax的比值Δafic/dmax
Table 1 The values ofΔafic/dmaxunder different condition

Δafic/dmaxW/dmax=6W/dmax=8W/dmax=10W/dmax=14W/dmax=16最大值 1.4 1.8 1.7 3.9 3.3最小值 0.8 0.9 1.2 1.7 0.9平均值 1.1 1.2 1.4 2.7 2.5
由表1可见,当相对尺寸W/dmax=6~10范围内,由双K断裂模型计算的Pmax对应的Δafic较小,Δafic/dmax平均值基本在 1.0左右,当相对尺寸W/dmax=14~16时,Δafic/dmax略有增加,平均值基本在2.5左右,且离散性较大,最小值为0.9。上述规律与本文阐述的小尺寸试件裂缝跨越骨料颗粒扩展的物理机理较为吻合(图1)。即当W/dmax=6~10时,离散度参数β≈1.0,当W/dmax=14~16时,离散度参数β≈2.5。
从方便设计角度出发,整体上取β=1.0便于应用。
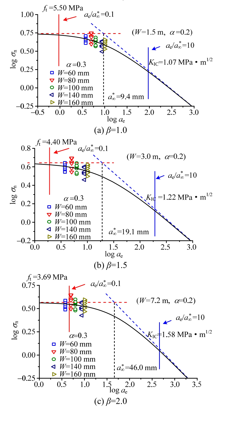
图3展示小尺寸试件峰值荷载Pmax对应的虚拟裂缝扩展量 Δafic取不同值时(β=0.0、1.0、1.5、2.0),基于离散颗粒断裂模型确定材料参数—断裂韧度KIC与拉伸强度ft及特征裂缝长度a*∞的相应情况。

图3 不同Δafic对应的KIC和ft(β=0.0、1.0、1.5、2.0)
Fig.3KICandftfor differentΔafic(β=0.0, 1.0, 1.5 and 2.0)
同时,β=0.0~2.5范围内的计算结果列入表2。
表2 不同β对应的KIC和ft
Table 2 Variation ofKICandftwith differentβ

β KIC/(MPa·m1/2)ft/MPaa*∞/mm 0.0 0.95 14.14 1.1 0.2 0.96 10.21 2.2 0.4 0.98 8.25 3.5 0.5 0.99 7.58 4.2 0.6 1.00 7.02 5.1 0.8 1.03 6.15 6.9 1.0 1.07 5.50 9.4 1.2 1.12 4.99 12.5 1.4 1.17 4.58 16.4 1.5 1.22 4.40 19.1 1.6 1.26 4.23 22.4 1.8 1.38 3.94 30.7 2.0 1.58 3.69 46.0 2.2 1.91 3.46 75.7 2.4 2.83 3.27 186.8 2.5 4.47 3.18 493.5
由图3与表2中不同情况下的参数确定结果,并与文献[33]中报道的抗拉强度与失稳断裂韧度值相比较,可以看出,当不考虑虚拟裂缝扩展,即β=0.0时,确定的拉伸强度ft=14.14 MPa,明显高于混凝土抗拉强度实测值。当β=1.0~2.0范围内,可以得到较为合理的断裂韧度KIC与拉伸强度ft。当β大于2.4后,确定的断裂韧度KIC开始出现过大趋势。可见,对于相对尺寸较小试件(W/dmax=6~16;(W-a0)/dmax=4~11;B/dmax=4),其峰值荷载对应的裂缝扩展量受限,β取值仅能在较小范围内变化。
图4展示β=1.0时,基于离散颗粒断裂模型,不同试件组合情况下确定的材料参数—断裂韧度KIC与拉伸强度ft及a*∞。
由图4可见,当不同情况下分别删去一组试件时,仍可以确定出较为合理的材料参数KIC与ft:KIC=0.89 MPa·m1/2~1.24 MPa·m1/2,ft=5.14 MPa~6.26 MPa,与由全部试验数据确定的KIC=1.07 MPa·m1/2,ft=5.50 MPa较为接近。
由图4可见,当不同情况下分别删去两组试件(对应三个几何结构参数ae值进行直线拟合,即三点确定直线),KIC=1.20 MPa·m1/2~1.29 MPa·m1/2,ft=5.04 MPa~5.15 MPa,与全部数据确定的KIC=1.07 MPa·m1/2,ft=5.50 MPa仍较为接近。
由图4可见,当不同情况下分别删去三组试件(仅需两个几何结构参数ae值进行直线拟合,即两点确定直线),KIC=1.29 MPa·m1/2~1.35 MPa·m1/2,ft=4.96 MPa~5.00 MPa,与全部数据确定的KIC=1.07 MPa·m1/2,ft=5.50 MPa仍较为接近。


图4 不同试件组合对应的KIC和ft(β=1.0)
Fig.4KICandftfor different combination conditions of specimens (β=1.0)
由此可见,只要试验数据到达一定数量(一定数量的σn),且具有大于等于两个不同的几何结构参数ae值,即可通过本文模型得到较为合理的材料参数—断裂韧度KIC与拉伸强度ft及特征裂缝长度a*∞。
以上讨论中,虚拟裂缝扩展量取统一值的研究(如β=0.2、0.4、0.6、0.8、1.0、1.2、1.4、1.6、1.8、2.0…),是出于方便设计与应用的目的,假定不同高度试件的虚拟裂缝扩展一致。
而从本文小尺寸试件裂缝扩展的理论分析可知,相对尺寸W/dmax增加后,其峰值荷载时对应的虚拟裂缝扩展量有增加的可能性。因此,对于不同高度W试件,虚拟裂缝扩展量Δafic可个性化取值(离散度参数β个性化取值)。例如W=40 mm时取β=0.5;W=160 mm时取β=1.5;W为其他值时,可线性插值得到β具体值。表3给出了β个性化取值情况下确定的材料参数—KIC和ft。
表3 个性化β对应的KIC和ft
Table 3 Estimation ofKICandftfor individualβ

不同条件KIC/(MPa·m1/2)ft/MPaa*∞/mmβ=0.5,W=40 mm;β=1.5,W=160 mm 0.74 13.5 0.7β=1.0,W=40 mm;β=3.0,W=160 mm 0.60 13.2 0.5β=1.0,W=40 mm;β=2.0,W=160 mm 0.76 7.00 2.9β=1.0,W=40 mm;β=1.5,W=160 mm 0.88 6.09 5.2β=1.5,W=40 mm;β=2.0,W=160 mm 0.94 4.69 10.1β=2.0,W=40 mm;β=2.5,W=160 mm 1.07 3.87 19.1β=1.2,W=40 mm;β=1.4,W=160 mm 1.01 5.15 9.7β=1.2,W=40 mm;β=1.6,W=160 mm 0.93 5.33 7.7β=1.4,W=40 mm;β=1.6,W=160 mm 1.05 4.70 12.6β=1.4,W=40 mm;β=1.8,W=160 mm 0.96 4.84 9.9β=1.6,W=40 mm;β=1.8,W=160 mm 1.12 4.33 16.7β=1.8,W=40 mm;β=2.0,W=160 mm 1.20 4.02 22.1β=2.0,W=40mm;β=2.2,W=160mm 1.32 3.75 30.9
由表3可见,试件相对尺寸W/dmax=6~16,取虚拟裂缝扩展量相差不大的情况(β取值相差小于0.5),才能得到较为合理的KIC和ft。并且,由于整体上所用试件的相对尺寸较小(W/dmax=6~16),β取值不能太大,也不能太小:当1.0≤β≤2.0的情况,确定的KIC和ft更为合理。
若材料参数-断裂韧度KIC与拉伸强度ft已确定,则可基于确定的材料参数KIC与ft,采用式(3),反演建立该混凝土材料的断裂破坏的设计预测全曲线。
另一方面,当已知实际混凝土几何结构参数ae,可基于建立的该混凝土材料的破坏预测全曲线中,反解出该混凝土结构的破坏荷载Pmax,从而实现由材料参数预测结构特性的目的。
另外,基于确定材料参数a*∞,由ae≥ 10a*∞得出相应的ae值,即可确定出该混凝土材料在不同缝高比α条件下对应的满足线弹性断裂的最小试件尺寸W。


图5 由KIC和ft确定混凝土的破坏曲线
Fig.5 Determining fracture curves of concrete usingKICandft
图5 为基于离散度参数β取不同值时确定的材料参数KIC和ft,建立的不同情况下的该混凝土的材料破坏设计预测曲线。
由图5可见,当考虑峰值荷载时的不同虚拟裂缝扩展(方便设计应用时的统一取值β=1.0、1.5、2.0;针对不同试件尺寸的个性化取值β=1.2~1.4,β=1.4~1.6,β=1.6~1.8,β=1.8~2.0),以及试件前后边界的影响,满足线弹性断裂力学条件(LEFM)下的混凝土试件的理论最小尺寸超过 1500 mm(W/dmax=150)。由此可见,本文研究的小尺寸试件(W=60 mm~160 mm;W/dmax=6~16)处于准脆性断裂状态。
而基于离散颗粒断裂模型,可成功现实由处于准脆性断裂状态下的小尺寸试件确定无尺寸效应的断裂韧度与拉伸强度的目的,以及由确定的材料参数预测混凝土材料断裂破坏全曲线的目标。
作为预测全曲线中的一个应用特例,当分别取β=1.0、1.5、2.0、1.2~1.4、1.4~1.6、1.6~1.8、1.8~2.0确定材料参数后,预测峰值荷载与实测峰值荷载随试件高度的变化规律如图6所示。

图6 由KIC和ft确定混凝土的峰值荷载Pmax(β=1.0、1.5、2.0 及β=1.2~1.4,β=1.4~1.6,β=1.6~1.8,β=1.8~2.0)
Fig.6 Determining peak loadsPmaxof concrete usingKICandft(β=1.0, 1.5 and 2.0,andβ=1.2~1.4,β=1.4~1.6,β=1.6~1.8,β=1.8~2.0)
进一步,若假定该混凝土的材料参数已知(KIC=1.07MPa·m1/2,ft=5.50MPa),还可反演确定出每个试件的虚拟裂缝扩展量的具体值,以及对应的每个试件的峰值荷载,反演结果如图7所示。
由图7可见,反演得到的每个试件的峰值荷载与实测峰值荷载基本吻合,反演值与试验值比值的平均值为1.003,离散系数为0.011。对应的,虚拟裂缝扩展量Δafic随着试件高度的增加有增加的趋势,这与本文前面所述的相关分析相符合;并且,反演的Δafic基本都在10 mm~20 mm之间变化,即离散度参数 1.0≤β≤2.0;整体上反演的Δafic的平均值为10.96 mm,即离散度参数β≈1.0。

图7 由KIC和ft反演每个试件的虚拟裂缝扩展量Δafic和峰值荷载Pmax
Fig.7 Back analysis ofΔaficandPmaxof concrete usingKICandft
本文基于边界效应理论,发展了离散颗粒断裂模型,利用试件高度W≤160 mm(W=60 mm~160 mm),厚度B=40 mm,骨料最大粒径dmax=10 mm的小尺寸三点弯曲混凝土梁试件,来确定无尺寸效应的混凝土断裂韧度KIC与拉伸强度ft。研究得到如下结论:
(1) 针对实验室小尺寸试件,提出相对尺寸的概念,将骨料最大粒径dmax引入发展的离散颗粒断裂模型的解析表达式中,通过β·dmax来考虑结构峰值状态对应的裂缝扩展量,进而建立起混凝土结构特性与材料参数的联系纽带。
(2) 为方便设计应用,模型中的离散度参数取统一值β=1.0,都可取得较合理的材料参数预测结果。
由于混凝土试件相对尺寸较小(W/dmax=6~16;(W-a0)/dmax=4~11;B/dmax=4),则峰值荷载时的裂缝扩展量受限,因此,β取值限于较小范围统一取值或可依据试件尺寸个性化取值。研究发现,当1.0≤β≤2.0时确定的KIC和ft较为精确。
(3) 实验室条件下的小尺寸混凝土试件通常处于准脆性断裂控制。若混凝土的材料参数KIC和ft已确定,考虑不同的虚拟裂缝扩展量,以及试件前后边界的影响,反演确定的满足线弹性断裂条件下的混凝土试件尺寸超过1500 mm,相对尺寸W/dmax>150。
[1]ASTM E399-12e2, Standard test method for linear-elastic plane-strain fracture toughness testing of high strength metallic materials [S]. Philadelphia:American Society for Testing and Material, 2013.
[2]DL/T 5332—2005, 水工混凝土断裂试验规程[S]. 北京: 中国电力出版社, 2006.DL/T 5332—2005, Norm for fracture test of hydraulic concrete [S]. Beijng: China Electric Power Press, 2006.(in Chinese)
[3]CB/T 50152-2012, 混凝土结构试验方法标准[S]. 北京: 中国建筑工业出版社, 2012.CB/T 50152-2012, Standard for test method of concrete structures [S]. Beijing: Chinese Building Press, 2012. (in Chinese)
[4]SL 352-2006, 水工混凝土试验规程[S]. 北京: 中国水利水电出版社, 2006.SL 352-2006, Test code for hydraulic concrete [S].Beijing: Chinese Water & Power Press, 2006. (in Chinese)
[5]徐世烺. 混凝土断裂韧度的概率统计分析[J]. 水利学报, 1984, 15(10): 51-58.Xu Shilang. Probabilistic statistical analysis of fracture toughness of concrete [J]. Journal of Hydraulic Engineering, 1984, 15(10): 51-58. (in Chinese)
[6]徐世烺, 赵国藩. 巨型试件断裂韧度和高混凝土坝裂缝评定的断裂韧度准则[J]. 土木工程学报, 1991,24(2): 1-9.Xu Shilang, Zhao Guofan. Concrete fracture toughness of huge specimens and criterion of fracture toughness for judging cracks in high concrete dam [J]. China Civil Engineering Journal, 1991, 24(2): 1-9. (in Chinese)
[7]郑建军, 周欣竹. 混凝土断裂能尺寸效应的细观方法[J]. 水利学报, 2001, 61(10): 54-57.Zheng Jianjun, Zhou Xinzhu. A mesoscopic approach for the size effect on fracture energy of concrete [J]. Journal of Hydraulic Engineering, 2001, 61(10): 54-57. (in Chinese)
[8]曹亮, 王向东. 三点弯曲试件混凝土尺寸效应公式的修正[J]. 河海大学学报(自然科学版), 2007, 35(1):63-66.Cao Liang, Wang Xiangdong. Modification of size effect formula of fracture toughness of concrete for three-point bending specimens [J]. Journal of Hohai University(Natural Sciences), 2007, 35(1): 63-66. (in Chinese)
[9]王学志, 毕重, 张小刚, 等. 碾压混凝土断裂韧度尺寸效应的试验研究[J]. 武汉理工大学学报, 2007, 29 (6):54-57.Wang Xuezhi, Bi Zhong, Zhang Xiaogang, et al.Experimental investigation on size effect formula for fracture toughness of RCC [J]. Journal of Wuhan University of Technology, 2007, 29(6): 54-57. (in Chinese)
[10]Wang X Z, Xu Z C, Bi Z, et al. Experimental investigation on size effect formulae suitable for common concrete nominal fracture toughness [C].International Conference of Logistics Engineering and Management, Chengdu, 2010: 1424-1430.
[11]管俊峰. 钢筋混凝土结构仿真模型试验理论与应用研究[D]. 大连: 大连理工大学, 2010.Guan Junfeng. Research on theory and application of simulation model test for reinforced concrete structure[D]. Dalian: Dalian University of Technology, 2010. (in Chinese)
[12]Guan J F, Zhao S B, Huang C K. Crack elongation and its width of large depth reinforced concrete beams [J].Journal of harbin institute of technology (New Series),2010, 17(5): 631-635.
[13]管俊峰, 赵顺波, 李晓克, 等. 钢筋混凝土梁裂缝宽度试验与计算方法研究[J]. 中国公路学报, 2011, 24(5):74-81, 88.Guan Junfeng, Zhao Shunbo, Li Xiaoke, et al.Experiment and calculation method of crack width of reinforced concrete beams [J]. China Journal of Highway and Transport, 2011, 24(5): 74-81, 88. (in Chinese)
[14]Bažant Z P, Kazemi M T. Determination of fracture energy, process zone length, and brittleness number from size effect with application to rock and concrete [J].International Journal of Fracture, 1990, 44(2): 111-131.
[15]Carpinteri A. Fractal nature of material microstructure and size effects on apparent mechanical properties [J].Mechanics of Materials, 1994, 18(2): 89-101.
[16]Karihaloo B L, Abdalla H M, Xiao Q Z. Size effect in concrete beams [J]. Engineering Fracture Mechanics,2003, 70(7/8): 979-993.
[17]Wang Y S, Hu X Z, Li L, et al. Determination of tensile strength and fracture toughness of concrete using notched 3-p-b specimens [J]. Engineering Fracture Mechanics,2016, 160(7): 67-77.
[18]管俊峰, 胡晓智, 王玉锁, 等. 用边界效应理论考虑断裂韧性和拉伸强度对破坏的影响[J]. 水利学报, 2016,47(10): 1298-1306.Guan Junfeng, Hu Xiaozhi, Wang Yusuo, et al. Effect of fracture toughness and tensile strength on fracture based on boundary effect theory [J]. Journal of Hydraulic Engineering, 2016, 47(10): 1298-1306. (in Chinese)
[19]Wang Y S, Hu X Z. Determination of strength and toughness of granite using notched three-point-bend samples [J]. Rock Mechanics and Rock Engineering,2017, 50(1): 17-28.
[20]管俊峰, 王强, 胡晓智, 等. 考虑骨料尺寸的混凝土岩石边界效应断裂模型[J]. 工程力学, 2017, 34(12): 22-30.Guan Junfeng, Wang Qiang, Hu Xiaozhi, et al. Boundary effect fracture model for concrete and granite considering aggregate size [J]. Engineering Mechanics, 2017, 34(12):22-30. (in Chinese)
[21]Guan J F, Hu X Z, Li Q B. In-depth analysis of notched 3-p-b concrete fracture [J]. Engineering Fracture Mechanics, 2016, 165 (10): 57-71.
[22]Hu X Z, Guan J F, Wang Y S, et al. Comparison of boundary and size effect models based on new developments [J]. Engineering Fracture Mechanics,2017, 175(4): 146-167.
[23]Guan J F, Hu X Z, Yao X H, et al. Fracture of 0. 1 and 2 m long mortar beams under three- point-bending [J].Materials & Design, 2017, 133(11): 363-375.
[24]李冬, 金浏, 杜修力, 等. 骨料级配对二维模型混凝土单轴抗拉强度影响的理论研究[J]. 工程力学, 2017,34(6): 64-72.Li Dong, Jin Liu, Du Xiuli, et al. A theoretical study on the influence of aggregate gradation on the tensile strength of 2-demensional model concrete [J].Engineering Mechanics, 2017, 34(6): 64-72. (in Chinese)
[25]王璀瑾, 董伟, 王强, 等. 混凝土 I型裂缝扩展准则比较研究[J]. 工程力学, 2016, 33(5): 89-96.Wang Cuijin, Dong Wei, Wang Qiang, et al. A comparative study on propagation criterion of concrete mode I crack [J]. Engineering Mechanics, 2016, 33(5):89-96. (in Chinese)
[26]卿龙邦, 王妥, 管俊峰, 等. 有限尺寸混凝土试件允许损伤尺度的解析研究[J]. 工程力学, 2017, 34(1): 213-218.Qing Longbang, Wang Tuo, Guan Junfeng, et al.Analytical study on permissible damage scale of cracks in finite size concrete specimens [J]. Engineering Mechanics, 2017, 34(1): 213-218. (in Chinese)
[27]Dong W, Zhou X M, Wu Z M, et al. Investigating crack initiation and propagation of concrete in a restrained shrinkage circular/elliptical ring test [J]. Materials & Structures, 2017, 50(1): 1-13.
[28]Hu X Z, Wittmann F. Size effect on toughness induced by crack close to free surface [J]. Engineering Fracture Mechanics, 2000, 65(2): 209-221.
[29]Hu X Z, Duan K. Influence of fracture process zone height on fracture energy of concrete [J]. Cement and Concrete Research, 2004, 34 (8): 1321-1330.
[30]Hu X Z, Duan K. Size effect and quasi-brittle fracture:the role of FPZ [J]. International Journal of Fracture,2008, 154(1): 3-14.
[31]Hu X Z, Duan K. Mechanism behind the size effect phenomenon [J]. Journal Engineering Mechanics, ASCE,2010, 136(1): 60-68.
[32]Tada H I, Paris P C, Irwin G R. The analysis of cracks handbook [M]. New York: ASME Press, 2000.
[33]李晓东, 董伟, 吴智敏, 等. 小尺寸混凝土试件双K断裂参数试验研究[J]. 工程力学, 2010, 27(2): 166-171,185.Li Xiaodong, Dong Wei, Wu Zhimin, et al. Experimental investigation on double-K fracture parameters for small size specimens of concrete [J]. Engineering Mechanics,2010, 27(2): 166-171, 185. (in Chinese)
[34]赵燕茹, 王磊, 韩霄峰, 等. 冻融条件下玄武岩纤维混凝土断裂韧度研究[J]. 工程力学, 2017, 34(9): 92-101.Zhao Yanru , Wang Lei , Han Xiaofeng, et al. Fracture toughness of basalt-fiber reinforced concrete subjected to cyclic freezing and thawing [J]. Engineering Mechanics,2017, 34(9): 92-101. (in Chinese)
[35]Jenq Y S, Shah S P. Two parameter fracture model for concrete [J]. Journal Engineering Mechanics-ASCE,1985, 111(10): 1227-1241.
[36]管俊峰, 李庆斌, 吴智敏. 采用峰值荷载法确定全级配水工混凝土断裂参数[J]. 工程力学, 2014, 31(8): 8-13.Guan Junfeng, Li Qingbin, Wu Zhimin. Determination of fully-grade hydraulic concrete fracture parameters by Peak-load method [J]. Engineering Mechanics, 2014,31(8): 8-13. (in Chinese)
[37]Karihaloo B L, Nallathambi P. Effective crack model for the determination of fracture toughness (Ke IC) of Concrete [J]. Engineering Fracture Mechanics, 1990,35(4/5): 637-645.
[38]Zhang P, Gao J X, Dai X B, et al. Fracture behavior of fly ash concrete containing silica fume [J]. Structural Engineering & Mechanics, 2016, 59(2): 261-275.
[39]Qing L B, Cheng Y H. The fracture extreme theory for determining the effective fracture toughness and tensile strength of concrete [J]. Theoretical and Applied Fracture Mechanics, 2018, 96(8): 461-467.
DETERMINATION OF FRACTURE TOUGHNESS AND TENSILE STRENGTH OF CONCRETE USING SMALL SPECIMENS
陈记豪(1981―),男,河南驻马店人,副教授,博士,主要从事混凝土材料与结构方面研究(E-mail: cjh@ncwu.edu.cn);
白卫峰(1982―),男,河南鹤壁人,副教授,博士,硕导,主要从事混凝土损伤与断裂力学研究(E-mail: yf9906@163.com);