已服役的结构由于所处的环境作用,其构件力学性能必将随时间不断劣化[1―3]。已有考虑环境作用对钢材损伤演化影响多集中于材性领域或构件承载力方面[4―7],并未反映其对构件抗震性能影响,而已有构件损伤模型研究多仅考虑构件在地震作用下的损伤,多基于park模型[8―10],郑山锁等[11]针对酸性大气环境对钢框架柱抗震性能的影响提出双参数损伤模型,但未能反映考虑环境作用致使的初始损伤,亦未分析锈蚀导致构件抗震性能衰减规律。
本文基于已有考虑近海大气环境作用的钢框架节点的抗震性能试验结果,建立双参数地震损伤模型,使其能够反映环境作用导致的初始损伤,并能够描述其损伤演化过程。
为研究钢材锈蚀造成钢框架梁柱节点抗震性能的初始损伤,基于已有考虑近海大气环境作用对钢框架节点抗震性能影响的试验数据[12],对 12个钢框架节点进行室内加速锈蚀试验,不同批次构件的锈蚀时间划为0 h、960 h、1920 h和2880 h,对应于无锈蚀、轻度锈蚀、中度锈蚀与重度锈蚀4个不同锈蚀程度,钢框架柱截面为 250 mm×250 mm×9 mm×14 mm,梁截面为300 mm×150 mm×6.5 mm×9 mm,加载制度分为标准变幅加载、等幅60 mm加载与等幅90 mm加载,得到构件损伤的滞回曲线如图1所示。框架梁的锈蚀率依据同批次型钢相同锈蚀程度材性试件的质量损失确定,无锈蚀、轻度锈蚀、中度锈蚀与重度锈蚀程度下钢框架梁的锈蚀率分别为0、4.38%、7.65%和11.5%。
试验结果钢框架节点构件各项力学性能不断劣化。为合理描述不同锈蚀程度的钢框架节点构件在低周往复位移加载作用下的损伤程度,尚能作如下分析:


图1 梁端荷载-位移滞回曲线
Fig.1 Load displacement hysteretic curve of beam end
1) 由于钢构件变形能力较好,常见的构件加载设备无法得到钢构件单调加载下的变形极限,若将本次试验中节点构件等幅90 mm加载的第1次正方向加载看作构件的单调加载,试验中不同锈蚀程度的节点构件均未表现出承载力降低的现象或趋势,此时试件虽已发生明显屈曲变形,但未出现焊缝或板材裂纹,表明节点试件尚未达到其变形极限。同时,目前评价钢结构构件损伤仍借鉴评价混凝土构件损伤的方法,采用构件在单调加载下的极限变形值作为构件变形能力,建立构件的损伤模型是为了描述构件在结构遭遇地震时的损伤,而实际情况下,结构遭遇地震时节点构件梁端变形不能达到其单调变形极限,采用此钢构件极限变形能力评价构件损伤程度将低估构件损伤程度。
2) 当承载力降低超过15%时,试件已发生较大屈曲变形,或翼缘与腹板已经出现裂缝,导致试件承载力降低。因此评价构件损伤程度时,可将承载力降低15%作为构件完全破坏的临界点。
3) 钢材锈蚀不仅使得构件截面削弱,同时各项力学性能指标均发生不同程度劣化,在加载之前,构件已发生损伤,因此,对试件的损伤评价,必须将其所处的环境及环境对构件的初始损伤影响考虑在内。
4) 目前公认的结构破坏模式有两种,基于变形的破坏与基于能量的破坏,基于能量的破坏应考虑构件的耗能能力,而从上述分析可知,基于变形的破坏不应采用构件的变形能力作为评价指标,且基于变形的指标无法表达构件刚度、承载力的损伤情况,亦无法表达环境作用对构件损伤的影响。考虑到目前的钢结构设计是基于结构整体或楼层变形控制的理念,而结构在地震作用下的变形与结构刚度成反比,刚度指标能够反映构件承载力与变形两个性能指标,基于刚度的损伤还能够解释因钢材锈蚀导致构件初始刚度降低现象。因此,采用构件的刚度退化能够更全面地评价试件的损伤程度,进而评价结构的损伤程度。
5) 目前研究构件的损伤模型,尚无法考虑加载制度的影响,由于地震对结构作用具有随机性,考虑加载制度的影响使得计算量过大而无法实现,可采用不同加载制度下钢框架梁耗能能力的平均值作为结构耗能能力取值。
建立构件的损伤模型的目的是为了描述结构的损伤,已有损伤模型仅对构件个体进行损伤描述,模型参数较多,计算复杂,只能考虑简单的加载方式,通常无法考虑地震对构件作用的随机性。
综上所述,本文建立基于构件刚度与累积耗能退化的不考虑锈蚀作用的地震损伤模型:

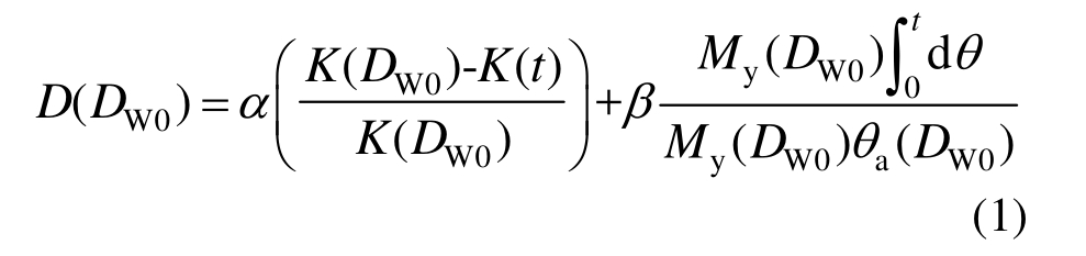
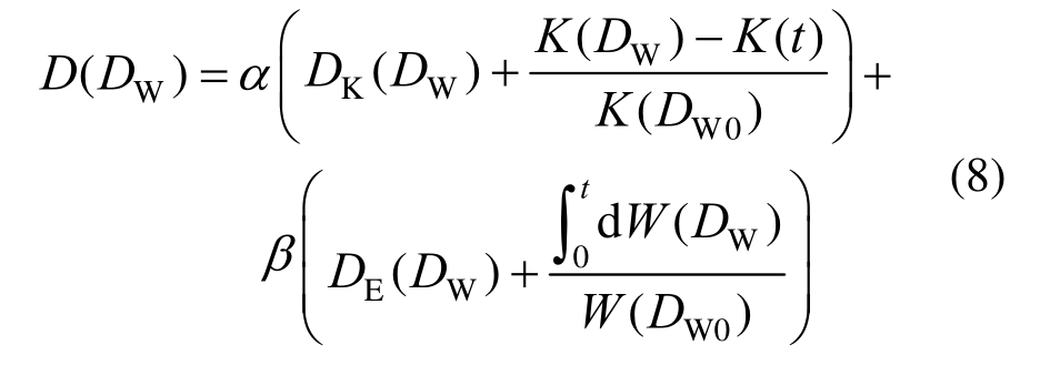
式中:D(DW0)为未锈蚀构件损伤值;K(t)为构件正向或负向加载所经历的刚度最小值,不计卸载过程;K(DW0)为未锈蚀构件初始刚度;
为构件由于加载中产生的累积塑性转角;θa(DW0)为未锈蚀构件极限累积塑性转角;My(DW0)为未锈蚀构件屈服弯矩;α和β为权重组合系数,且α+β=1。通过回归分析,使得试件最终损伤值接近1且离散性最小,本文中α=0.3、β=0.7。
本损伤模型基于钢框架梁在地震作用下的破坏多为累积损伤破坏,不发生单调加载破坏的震害结论,同时能够考虑构件的损伤对结构刚度与耗能能力的影响,较已有的构件损伤模型最大的优势在于计算简单,适用于评价结构由于地震作用造成的构件损伤程度。
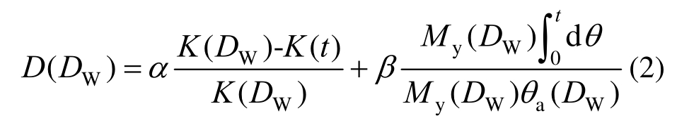
基于式(1),不同锈蚀程度的钢框架节点试件的地震损伤模型为:

式中:D(DW)为锈蚀率为DW的构件损伤值;K(t)为构件正向或负向加载所经历的刚度最小值,不计卸载过程;K(DW)为锈蚀率为DW构件初始刚度;
为构件由于加载中产生的累积塑性转角;
为锈蚀率为
构件极限累积塑性转角;
为锈蚀率为DW构件屈服弯矩;α和β为权重组合系数,且α+β=1。仍取α=0.3、β=0.7。
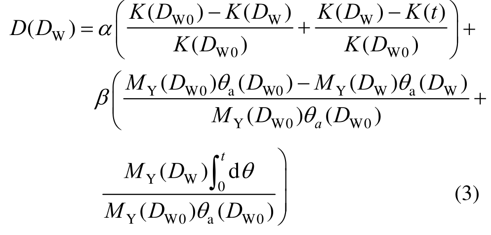
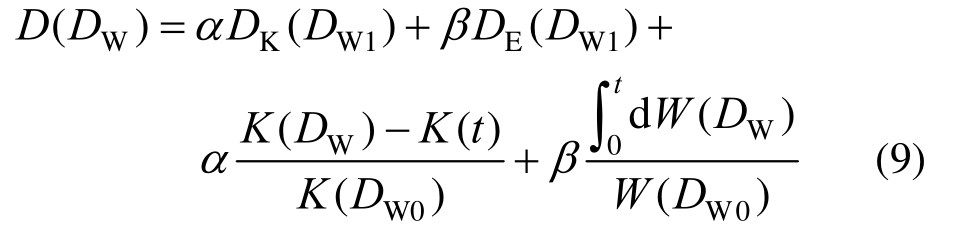
式(2)为已发生锈蚀损伤的钢框架节点的损伤模型,未考虑环境作用后构件的刚度与累积塑性耗能能力的衰减,不能表达构件因锈蚀造成的初始损伤,同时,锈蚀对耗能能力的影响,还需要考虑构件承载力的变化,而要表达构建的初始损伤,需与未发生锈蚀的构件进行比较,因此,构件考虑初始损伤的损伤模型可表示为:

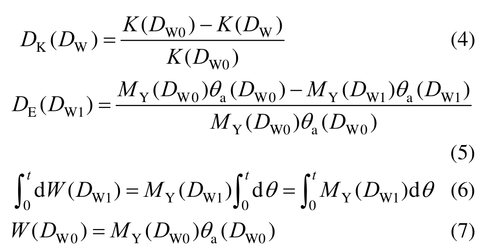
式中参数同上。令

式中:DK(DW)为构件锈蚀率为DW时由于锈蚀产生的刚度退化初始损伤值;DE(DW)为构件锈蚀率为DW时由于锈蚀产生的累积耗能初始损伤值;
为锈蚀率为DW时钢构件所经历的累积耗能;W(DW0)为未锈蚀钢构件累积耗能能力。将式(3)简写为:

为区分钢框架节点构件因锈蚀引起的初始损伤与地震作用的损伤,将式(8)改写成:

式(9)等式右边前两项即为构件因锈蚀引起的初始损伤值,后两项即为构件因地震作用引起的损伤值,令

式(9)可简写为:
构件损伤模型参数如表1所示,试件初始刚度由文献数据[8],取
,考虑到由于加载制度不同,构件最终破坏时的耗能能力差异较大,且构件翼缘开裂与屈曲过大之后的耗能能力不能作为试件的耗能储备,对本次试验,构件承载力降低15%时,试件翼缘或开裂,或屈曲过大,本文取承载力降低15%对应的累积耗能为构件耗能能力,此时相同锈蚀程度、不同加载制度下构件的耗能能力相近。
表1 各构件损伤模型参数取值
Table 1 Parameters of damage model for each component

试件编号 锈蚀率/(%) 加载制度 屈服位移/mm 屈服荷载/kN 初始刚度/(kN/mm) 累积耗能/J 有效耗能/J JD-10 0 变幅 15.2 118 7.76 117469 81485 JD-7 4.38 变幅 15.3 114 7.45 112778 77451 JD-4 7.65 变幅 15.8 106 6.71 108543 74305 JD-1 11.5 变幅 15.9 102 6.42 103965 59401 JD-11 0 等幅60 mm 15.5 118 7.61 146566 94951 JD-8 4.38 等幅60 mm 15.6 113 7.24 138920 87310 JD-5 7.65 等幅60 mm 17.3 107 6.18 127407 79181 JD-2 11.5 等幅60 mm 15.9 105 6.60 96885 70511 JD-12 0 等幅90 mm 16.1 122 7.58 169524 80715 JD-9 4.38 等幅90 mm 16.1 108 6.71 159814 67842 JD-6 7.65 等幅90 mm 15.6 107 6.86 144965 61296 JD-3 11.5 等幅90 mm 15.3 103 6.73 139709 56896
分析表1中数据可见,相同锈蚀程度构件的初始刚度相近,由于钢材锈蚀导致构件屈服点不明显,同时屈服位移并不表现出减小趋势,因此,本文假定构件屈服位移恒定不随锈蚀率变化,取12个构件屈服位移取平均值,初始刚度取3个不同加载制度不同锈蚀程度构件的平均值。构件的耗能能力取有效累积耗能,为考虑地震作用的随机性,损伤模型中构件耗能能力亦可取相同锈蚀程度 3个不同加载制度构件的有效耗能的平均值,如表2所示。
表2 不同锈蚀率损伤模型参数确定
Table 2 Parameters of damage model with different corrosion rates

锈蚀程度锈蚀率DW初始刚度K(DW)/(kN/mm)耗能能力W(DW)/J刚度损伤值DK(DW)耗能损伤值DE(DW)未锈蚀 0 7.55 85717 0 0轻度 4.38 7.07 77534 0.06 0.10中度 7.65 6.75 71594 0.11 0.16重度 11.5 6.54 62269 0.13 0.27
由于篇幅所限,以变幅加载下构件基于损伤模型的损伤演化计算值与试验值对比如图2~图5所示。

图2 未锈蚀构件变幅加载损伤演化
Fig.2 Damage evolution of non corroded member under variable amplitude loading
由图2~图5可见,采用本文建立的双参数损伤模型计算钢框架节点构件在不同锈蚀程度下的损伤演化规律与试验值相近,表明本文所建立的损伤模型能够合理评价钢框架节点在作用下考虑环境影响的损伤程度,并可以表达构件未受到地震作用时的初始损伤。构件的损伤演化随累积塑性转角的增大均呈现出增速减小的趋势,这是由于刚度对位移较敏感,在变幅加载前期,累积塑性变形增量较小时位移将发生较大增量,在变幅加载后期,位移增量对应较大的累积塑性变形增量,构件变形增量减缓导致构件的刚度退化越来越慢。

图3 轻度锈蚀构件变幅加载损伤演化
Fig.3 Damage evolution of mild corroded member under variable amplitude loading

图4 中度锈蚀构件变幅加载损伤演化
Fig.4 Damage evolution of moderately corroded member under variable amplitude loading

图5 重度锈蚀构件变幅加载损伤演化
Fig.5 Damage evolution of heavy corroded member under variable amplitude loading
变幅加载下各构件的损伤演化对比如图 6所示。可见,相同加载工况下不同锈蚀程度试件的损伤演化规律相近,相同累积变形时,锈蚀程度越高的构件损伤程度越严重,且破坏越来越早。构件最终损伤值均不能达到 1,这是由于试件在承载力降低 15%时其刚度并不能退化至 0,有一定的残余刚度。

图6 变幅加载下不同锈蚀程度构件损伤演化对比
Fig.6 Comparison of damage evolution of components with different corrosion degree under variable amplitude loading
依据试件的损伤程度划分其破坏的极限状态时,考虑到刚度损伤权重系数为 0.3,耗能损伤权重系数为0.7,虽然构件的刚度不可能降到0,但构件有效耗能并非其耗能极限状态,在地震作用下由于环境与地震共同作用总能超越其有效耗能,即使刚度退化不能达到其极限状态,构件的损伤值总能达到1,因此,仍定义试件损伤程度大于1时,试件破坏。其余极限状态,可按照损伤程度不同而划分,依据构件损伤演化过程,并参考已有钢构件损伤程度极限状态划分[8],具体可见表3。
表3 构件破坏程度与损伤指数范围
Table 3 Structural damage and damage index range

破坏程度 无损 轻微破坏 中度破坏 严重破坏 完全破坏破坏指数 0 0.0~0.25 0.25~0.5 0.5~1 >1极限状态值 0 0.25 0.5 1
上述损伤模型可针对具体锈蚀程度的构件进行损伤评价,仅能反映锈蚀所造成的构件初始损伤,并未表达锈蚀对构件初始损伤,即锈蚀对构件刚度与耗能的劣化规律。
基于本次试验结果,统计不同锈蚀程度下钢框架梁的刚度与累积耗能能力劣化的衰减关系如图7、图8所示。

图7 构件刚度随锈蚀率的衰变
Fig.7 Decay of the stiffness of the member with the corrosion rate

图8 构件累积耗能能力随锈蚀率的衰变
Fig.8 Decay of the cumulative energy dissipation capacity of the component with the corrosion rate
由图7、图8可见,构件刚度与累积耗能能力与锈蚀率线性关联较好,假定构件刚度与累积耗能能力与锈蚀程度呈线性相关,同时损伤模型需能够表达锈蚀率为 0时构件不发生初始损伤的实际情形,则需假设线性关系中的常数项为 0,即直线在两个坐标轴上的截距均为0。
统计得到试件刚度退化损伤与锈蚀率关系:
统计得到试件累积耗能能力退化损伤与锈蚀率关系:
可见,锈蚀对钢框架梁耗能能力的损伤劣化程度大于锈蚀对构件刚度的损伤劣化程度。究其原因,刚度退化仅考虑承载力退化单一变量,而耗能除考虑承载力退化之外,尚需考虑累积变形能力退化。
在钢结构的有限元非线性时程分析中,钢材通常采用不考虑退化的随动强化模型,锈蚀对构件本构与滞回规则影响如图9所示。

图9 锈蚀对构件本构与滞回的影响
Fig.9 Effect of corrosion on constitutive behavior and hysteresis of members
当损伤模型采用式(6)计算预测任意锈蚀程度构件耗能损伤时,需考虑已锈蚀构件的屈服弯矩MY(DW1)较未锈蚀状态屈服弯矩MY(DW0)的衰退关系,而屈服弯矩的损伤退化关系与刚度损伤退化关系应相同,二者均由承载力单一因素确定,因此屈服弯矩的损伤退化关系可采用式(13)计算,将损伤模型中所有参数均采用未锈蚀的初始刚度平均值、累积耗能平均值与衰变关系式(13)和式(14)确定,如表4所示。
表4 不同锈蚀率损伤模型计算参数确定
Table 4 Parameters of damage model with different corrosion rates

锈蚀 程度 锈蚀率DW初始刚度K(DW)/(kN/mm)耗能能力W(DW)/J刚度损伤值DK(DW)耗能损伤值DE(DW)未锈蚀 0 7.55 85717 0.00 0.00轻度 4.38 7.12 77082 0.06 0.10中度 7.65 6.80 70635 0.10 0.18重度 11.5 6.42 63045 0.15 0.26

图10 未锈蚀构件变幅加载损伤演化
Fig.10 Damage evolution of non corroded member under variable amplitude loading

图11 轻度锈蚀构件变幅加载损伤演化
Fig.11 Damage evolution of mild corroded member under variable amplitude loading

图12 中度锈蚀构件变幅加载损伤演化
Fig.12 Damage evolution of moderately corroded member under variable amplitude loading

图13 重度锈蚀构件变幅加载损伤演化
Fig.13 Damage evolution of heavy corroded member under variable amplitude loading
变幅加载下构件基于损伤预测模型的计算值与试验值对比如图10~图13所示。由图可见,预测计算值与试验值较接近,验证了本预测的模型的计算精度,同时,预测模型可以预测任意锈蚀程度下构件的损伤演化。
采用损伤预测模型对比变幅加载下不同锈蚀程度构件的损伤演化如图14所示。可见预测模型的计算结果能够较好地反映锈蚀对构件损伤的影响。

图14 变幅加载下不同锈蚀程度构件损伤演化对比
Fig.14 Comparison of damage evolution of components with different corrosion degree under variable amplitude loading
假定钢材年锈蚀速率恒定,已服役T年的钢构件锈蚀率为:
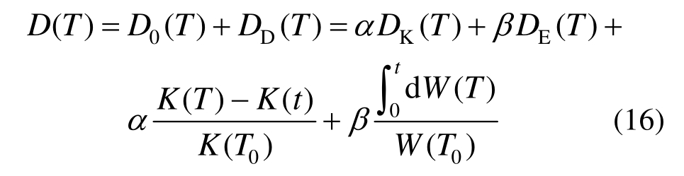
式中:DW为结构锈蚀率;K为结构年锈蚀率;T为结构服役龄期。既有钢构件时变损伤模型:

式中:D(T)为构件已服役T年的损伤值;DK(T)为构件已服役T年由于锈蚀产生的刚度退化初始损伤值;DE(T)为构件已服役T年由于锈蚀产生的累积耗能初始损伤值;K(t)为构件所经历的最小刚度;
为构件已服役0年的初始刚度;
为构件服役年限为T时经历的累积耗能;W(T0)为构件服役年限为T时的累积耗能能力。仍取α=0.3、β=0.7。
将式(15)代入式(13)、式(14),得:

至此得到钢框架节点考虑锈蚀造成初始损伤的时变损伤模型。
本文通过考虑近海大气环境作用下对钢框架节点力学性能的衰减,并研究锈蚀与地震双重作用下构件的损伤演化,得出如下结论:
(1) 已服役的钢框架节点的损伤程度不仅需考虑地震作用的累积损伤,尚需考虑环境作用而导致构件的初始损伤。
(2) 节点构件在遭遇地震时不可能达到其变形极限,采用此钢构件极限变形能力评价构件将低估构件损伤程度。
(3) 依据钢框架节点在不同锈蚀程度下的损伤演化规律,对其划分不同的损伤极限极限状态,并建立起时变损伤模型。
(4) 本文的构件损伤模型仅针对所选用的工字型框架梁的截面形式,对低矮型的H型钢、箱形截面或变截面等截面形式的损伤分析仍需进一步研究。
[1]郑山锁, 王晓飞, 韩言召, 等. 酸性大气环境下多龄期钢框架柱抗震性能试验研究[J]. 土木工程学报, 2015,48(8): 47―59.Zheng Shansuo, Wang Xiaofei, Han Yanzhao, et al.Experimental research on seismic behavior of mulit-aged steel frame column under acidic atmospheric environment [J]. China Civil Engineering Journal, 2015,48(8): 47―59. (in Chinese)
[2]郑山锁, 王晓飞, 孙龙飞, 等. 酸性大气环境下多龄期钢框架节点抗震性能试验研究[J]. 建筑结构学报,2015, 36(10): 20―28.Zheng Shansuo, Wang Xiaofei, Sun Longfei, et al.Experimental research on seismic behavior of multi-aged steel frame joint under acidic atmospheric environment[J]. Journal of Building Structures, 2015, 36(10): 20―28.(in Chinese)
[3]郑山锁, 张晓辉, 王晓飞, 等. 近海大气环境下多龄期钢框架柱抗震性能的试验研究[J]. 土木工程学报,2016, 49(4): 69―77.Zheng Shansuo, Zhang Xiaohui,Wang Xiaofei, et al.Experimental research on seismic behaviors of multi-aged steel frame columns in the offshore atmospheric environment [J]. China Civil Engineering Journal, 2016, 49(4): 69―77. (in Chinese)
[4]刘新, 时虎. 钢结构防腐蚀和防火涂装[M]. 北京: 化学工业出版社, 2005: 20―79.Liu Xin, Shi Hu. Anti-corrosive and fireproof paint of steel structures [M]. Beijing: Chemical Industry Press,2005: 20―79. (in Chinese)
[5]史炜洲, 童乐为, 陈以一, 等. 腐蚀对钢材和钢梁受力性能影响的试验研究[J]. 建筑结构学报, 2012, 33(7):53―60.Shi Weizhou, Tong Lewei, Chen Yiyi, et al. Experimental study steel on influence of corrosion on behavior of material and steel beams [J]. Journal of Building Structures, 2012, 33(7): 53―60. (in Chinese)
[6]潘典书. 锈蚀 H型钢构件受弯承载性能研究[D]. 西安: 西安建筑科技大学, 2009.Pan Dianshu. Corrosion of H-Steel components bending load performance [D]. Xi’an: Xi’an University of Architecture and Technology, 2009. (in Chinese)
[7]钟宏伟. 锈蚀 H型钢构件偏心受压性能研究[D]. 西安: 西安建筑科技大学, 2010.Zhong Hongwei. Corrosion of H-Steel components eccentric compression performance [D]. Xi’an: Xi’an University of Architecture and Technology, 2010. (in Chinese)
[8]Park Y J, Ang A. Mechanistic seismic damage model forreinforced concrete [J]. Journal of Structural Engineering, 1985, 111(4): 740―756.
[9]牛荻涛, 任利杰. 改进的钢筋混凝土结构双参数地震破坏模型[J]. 地震工程与工程振动, 1996, 16(4): 44―54.Niu Ditao, Ren Lijie. A modified seismic damage model with double variables for reinforced concrete structures[J]. Earthquake Engineering and Engineering Vibration,1996, 16(4): 44―54. (in Chinese)
[10]王东升, 冯启民, 王国新. 考虑低周疲劳寿命的改进Park-Ang地震损伤模型[J]. 土木工程学报, 2004,37(11): 41―49.Wang Dongsheng, Feng Qimin,Wang Guoxin. A model Park-Ang seismic damage model considering low-cycle fatigue life [J]. China Civil engineering Journal, 2004,37(11): 41―49. (in Chinese)
[11]郑山锁, 王晓飞, 韩言召. 酸性大气环境下锈蚀钢框架柱双参数地震损伤模型研究[J]. 工程力学, 2016,33(7): 129―135.Zheng Shansuo, Wang Xiaofei, Han Yanzhao. Study on dual-parameter seismic damage model of corroded steel frame columns in acidic [J]. Engineering Mechanics,2016, 33(7): 129―135. (in Chinese)
[12]徐强. 既有与改进节点形式的钢框架结构抗震性能评估[D]. 西安: 西安建筑科技大学, 2014.Xu Qiang. Seismic performance evaluation of steel frame structures of existing and modidied joints form [D].Xi’an: Xi’an University of Architecture and Technology,2014. (in Chinese)
TIME-VARYING SEISMIC DAMAGE OF STEEL FRAME JOINTS CONSIDERING ATMOSPHERIC ENVIRONMENT