非饱和多孔介质是指孔隙中含有气相流体的多孔介质,其中非饱和土是最为常见的一种。油气领域定义的非饱和与非饱和土的概念有所不同,一般认为深层岩石是充填油气的,而非饱和土一般指孔隙中有空气。油气钻采过程中,地层孔隙内同时存在包括气体在内的多相流体是非常常见的。与饱和多孔介质相比,非饱和多孔介质是深层地下工程中更具代表性的研究对象。
有效应力定律对于描述孔隙流体压力作用下孔隙介质的力学响应非常重要。不论饱和介质还是非饱和介质,有效应力都是唯一控制材料变形和强度变化的应力状态量[1]。目前,饱和多孔介质的有效应力定律已非常成熟,但非饱和多孔介质的有效应力在定义方法、研究角度、表达形式以及公式中各项物理意义等存在很大分歧[2]。
针对饱和多孔介质,Terzaghi[3]在试验基础上首先提出饱和土有效应力的概念,认为(1)若外部静水压力和孔隙压力增加相同的量,材料体积不变;(2)剪切强度仅与正应力和孔隙压力的差值有关。Terzaghi[4]提出饱和土的有效应力原理:
式中:
为有效应力的不变性记法;σ为总应力的不变性记法;p(w)为孔隙水压力;I为单位张量。
Biot[5]、Nur 和 Byerlee[6]、Skempton[7]等考虑骨架和基质(固体颗粒)体积模量对有效应力表达形式的影响,推导出单相饱和各向同性单重孔隙介质线弹性变形的有效应力定律表达式,其形式基本一致:

式中:K(sp)为材料骨架的体积模量;K(s)为材料基质的体积模量。Terzaghi和Biot的有效应力理论有所不同,后者更为广泛些。对于疏松介质,基质无微纳米孔,认为都是宏孔和介孔,比如土,认为固相不可压缩,所以Biot系数为1。
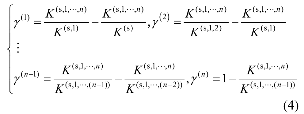
陈勉和陈至达[8]建立了单相饱和各向同性n重孔隙介质线弹性变形的有效应力定律表达式:
其中,
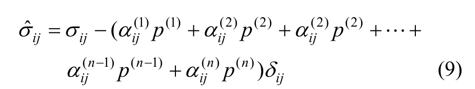
为有效应力的分量记法;σij为总应力的分量记法;δij为 Kronecker符号;p(i)(i=1,2,…,n)为各重孔隙内的流体压力;γ(i)(i=1,2,…,n)为有效应力系数:

式中:K(s,1,…,n)(n≥3)为孔隙类型1、孔隙类型2、…、孔隙类型n为干孔隙时n重孔隙介质的体积压缩模量;K(s,1,2)为孔隙类型1和孔隙类型2为干孔隙时双重孔隙介质的体积压缩模量;K(s,1)为孔隙类型1为干孔隙时单重孔隙介质的体积压缩模量;K(s)为固体材料的体积压缩模量。
赵颖等[9]建立了单相饱和各向异性双重孔隙介质线弹性变形的有效应力定律:
式中:p(1)、p(2)分别为基质孔隙和裂隙的流体压力;
分别为基质孔隙和裂隙的Boit有效应力系数张量:

式中:Cijkl为双重孔隙介质的弹性柔度张量;
为单重孔隙介质的柔度张量;
为固体材料的弹性柔度张量。
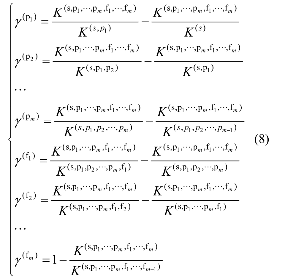
陈勉等[10]给出了不考虑基质吸力的m相饱和(或不饱和)各向同性双重孔隙(孔隙-裂缝)介质线弹性变形的有效应力定律表达式:

式中,有效应力系数为:

式中,体积压缩模量的表示方法与式(4)相同,上角标中s后的变量字母表示该相流体占据的孔隙空间为干孔隙。
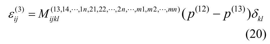
蔡新树等[11]推导了单相饱和各向异性n重孔隙介质线弹性变形的有效应力定律表达式:

式中,有效应力系数为:

式中:Cijkl为n重孔隙介质的弹性柔度张量;
为n-1(上指标的个数)重孔隙介质的柔度张量;
为固体材料的弹性柔度张量。
由于自然界存在的多孔介质(比如土)绝大部分都处于非饱和状态,很多学者试图将饱和多孔介质的有效应力理论用于非饱和介质中,找到非饱和多孔介质的响应(或应变)与应力状态之间的简单和唯一的关系[12]。与饱和多孔介质不同的是,非饱和多孔介质中存在一种由表面张力作用引起的基质吸力(假设孔隙水为纯水,即不考虑溶质吸力)。广义上,任意两不同相界限都有界面张力的存在,而基质吸力主要受水-气交界面(即张力收缩膜)的影响,并且与饱和度的关系密切相关[12]。Bishop[13]首先提出用单应力变量表示的非饱和土中的有效应力:
式中:
为非饱和土的有效应力;(g)P为孔隙气压;s为基质吸力,s=P(g)-P(w),P(w)为孔隙水压;χ为非饱和土的有效应力参数,从0(干土)~1(饱和)变化。
Bishop和 Blight[14]通过实验验证了式(11)的合理性,并指出当χ=(1-K(sp)/K(s))S(w)时(S(w)为孔隙水的饱和度),如果保持净应力σij-P(g)δij和基质吸力s=P(g)-P(w)不变,非饱和土的体积应变和剪切强度不会发生变化。
Blight[15]、Jennings和 Burland[16]、Aitchison 和Donald[17]也给出了类似的表达形式,使非饱和土的变形和强度仅依赖于式(11)中的有效应力。文献[18―23]认为单应力变量的有效应力原理过于简单,不可能建立唯一和考虑全面的非饱和土的弹塑性本构关系;文献[24]则认为单应力变量有效应力原理可以描述非饱和土的强度和变形,并给出了一些新的证据。文献[25―27]讨论了采用双应力变量(净应力和基质吸力)表示的非饱和土的有效应力形式,但是仍不能很好地描述非饱和土的复杂现象[28]。Fredlund在其建立的经典土力学理论中虽然没有对有效应力定律的具体表达式进行讨论,但是对已有的表达式进行了总结,并提出采用包含应力状态变量的独立应力张量代替非饱和多孔介质的有效应力表达式[29]。
近年来,很多学者从功的表达式中确定有效应力。Houlsby[30―31]对饱和与非饱和土变形功的表达形式进行了研究和讨论,从变形功出发讨论了饱和土与非饱和土中表达有效应力的原则和具体方式。Jommi[32]、Vaunat等[33]基于能量原理讨论了饱和土与非饱和土的有效应力以及与这些应力相对偶的广义应变。国内赵成刚等[34―36]基于连续孔隙介质理论推导非饱和土变形功的表达式,给出了与固体骨架变形对偶的非饱和土的有效应力,基于变形功提出了非饱和土广义有效应力原理。
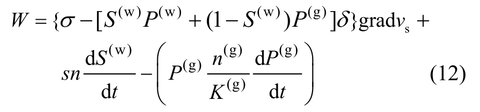
文献[34―36]给出非饱和土变形功的表达式:

式中:W为变形功;vs为固体骨架的运动速度;n为欧拉孔隙度;n(g)为气相的体积分数;K(g)为气相体积压缩模量。
文献[34,36]给出了与非饱和土固体骨架运动vs相对偶的广义应变,即非饱和土的有效应力:
目前,很多学者以混合物理论为基础,通过功和能量方法建立非饱和多孔介质非线性本构方程,从而分析非饱和多孔介质的有效应力原理[37―39]。
文献[39]采用混合物理论建立了非饱和土的三相(骨架、孔隙水和孔隙气)模型,进一步指出了非饱和土的有效应力形式:
式中:χ(w)、χ(g)分别为水相和气相的有效应力系数,它们都是基质吸力的函数,并且存在如下关系:

目前,非饱和多孔介质主要以非饱和土为研究对象,但是土作为一种极其疏松的多孔介质,饱和状态下的有效应力系数(比奥系数)一般取1,非饱和土沿袭了饱和土的研究方法,忽略骨架和固体颗粒体积模量对有效应力的贡献,着重研究两相界面能引起的骨架变形。
多相非饱和多重孔隙材料受到外应力、孔隙压力和基质吸力三种不同类型的应力。其中,外应力和孔隙压力的抵消作用与多相饱和多重孔隙介质材料受到的有效应力相同,而基质吸力取决于流体性质、流体饱和度等多种因素,目前主要借助试验手段、混合物理论、能量分析等方法间接进行研究。非饱和多孔介质的变形主要受到两种应力的共同作用——等效饱和状态下的有效应力(不考虑基质吸力下非饱和多孔介质受到的有效应力)和基质吸力。Fredlund[29]对有效应力原理做了深入探讨,总结了已有的有效应力定律的表达形式,并建议采用包含应力状态变量的独立应力张量代替非饱和多孔介质的有效应力表达式,是学界公认的理论,但是其对非饱和土的有效应力定律的表达式并没有展开详细的讨论。目前国内外研究了两相(气、液)非饱和各向同性单重孔隙介质的有效应力定律,对多相(如油、气、水)非饱和各向异性多重孔隙介质(如基质孔隙-裂缝-溶洞介质)的有效应力定律鲜见研究。
本文采用边界条件叠加的方法首先给出了不考虑基质吸力情况下非饱和(等效饱和)多相流体的多重孔隙介质有效应力定律的一般形式,然后讨论了考虑基质吸力条件下双相非饱和双重孔隙介质的有效应力定律,并进一步推广到多相非饱和各向异性多重孔隙介质的情况。将本文推导的两个公式进行简化后,可以转化为现有的所有饱和和非饱和多孔介质的有效应力定律的表达形式。
1) 假设多重孔隙介质具有m重不同类型的孔隙,每重孔隙内充满n相共存但不相互混合、不相互发生物理化学反应的流体。
2) 假设多重孔隙介质的一个代表性体积单元(RVE)内包含有足够多的固体颗粒、m重不同类型的孔隙。
3) 固体相占据空间Ω(s),m重不同类型的孔隙分别占据空间 Ω(1)、Ω(2)、…、Ω(m)。
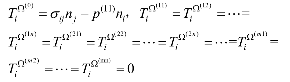
4) 在所研究单元体(REV)的外边界∂Ω(0)上,受有σij的外力作用,如图1(a)所示。
5) Ω(1)内n相流体分别占据空间 Ω(11)、Ω(12)、…、Ω(1n),对应的边界为∂Ω(11)、∂Ω(12)、…、∂Ω(1n),对应的压力分别为p(11)、p(12)、…、p(1n);Ω(2)内n相流体分别占据空间 Ω(21)、Ω(22)、…、Ω(2n),对应的边界为∂Ω(21)、∂Ω(22)、…、∂Ω(2n),对应的压力分别为p(21)、p(22)、…、p(2n);以此类推,则Ω(m)内n相流体分别占据空间Ω(m1)、Ω(m2)、…、Ω(mn),对应的边界为∂Ω(m1)、∂Ω(m2)、…、∂Ω(mn),对应的压力分别为p(m1)、p(m2)、…、p(mn),如图1(a)所示。
6) 不考虑与界面能、化学能等有关的基质吸力、湿吸力、溶质吸力等,只考虑所有相的线弹性变形。
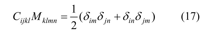
7) 每个空间域及各空间域的任意组合都是线弹性各向异性材料。线弹性变形的应力-应变关系为:
式中:Cijkl为线性刚度系数张量;Mijkl为线性柔度系数张量。Cijkl和Mijkl之间存在如下关系[40]:
等效饱和是指将非饱和多孔介质孔隙中的气体当作液体处理时,采用文献[8―11]的研究方法得到的一种有效应力形式,这种形式忽略了基质吸力等非机械力的影响。陈勉和陈至达[8]、赵颖等[9]、陈勉等[10]、蔡新树等[11]、Coussy[41]采用边界受力条件叠加的方法研究双重或多重孔隙介质的有效应力定律。采用该方法,将各向异性m重孔隙介质单元体所受载荷分解为RVE及空间域Ω(11)、Ω(12)、…、Ω(1n),Ω(21)、Ω(22)、…、Ω(2n),…,Ω(m1)、Ω(m2)、…、Ω(mn)上受力之和。如图1(b)~图1(f)所示,图1(a)表示的应力边界条件可以分解为mn+1个应力边界条件的叠加。受于篇幅限制,文中只示出了第1、2、3、mn、mn+1种受力状态的示意图。
在基本假设条件下,m重孔隙n相流体的有效应力求解问题可简化为m×n重孔隙介质单相流体的有效应力问题。
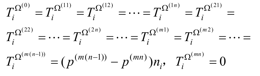
第1种受力状态为:

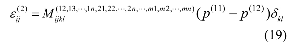
其对应的应变为:

图1 RVE受力示意图
Fig.1 Schematic diagram of stress states on RVE
式中:
为作用在 REV 外边界∂Ω(0)上的力;
为作用在空间域 Ω(11)边界∂Ω(11)上的力;
为作用在空间域 Ω(mn)边界∂Ω(mn)上的力;σij为总应力的分量记法;n为受力边界的法线方向;p11为第1重第1相流体的压力。
为该种分解情况下的柔度系数张量,其上指标表示该相流体所占据的孔隙空间为干孔隙。
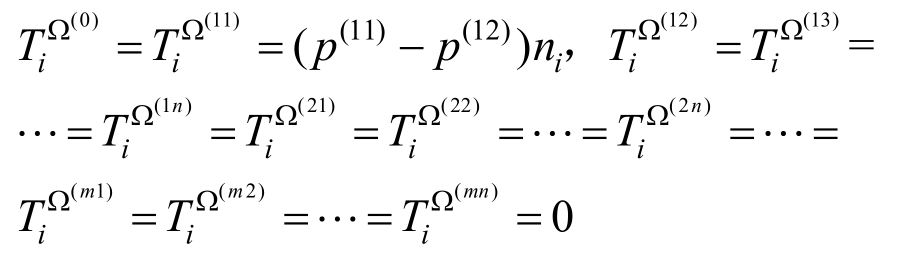
第2种受力状态为:

其对应的应变为:

式中,p12为第1重第2相流体的压力。
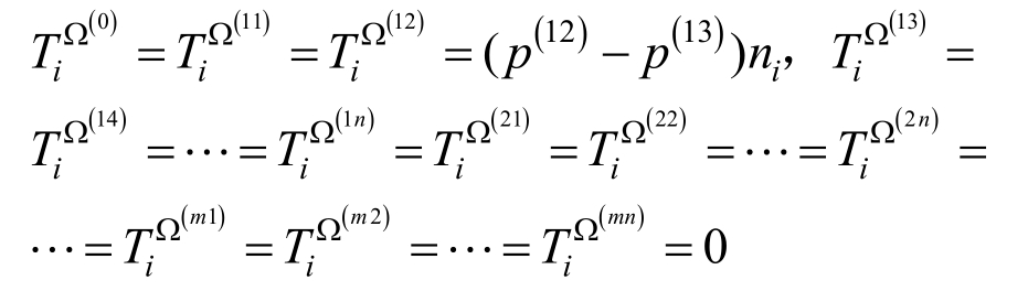
第3种受力状态为:

其对应的应变为:

式中,p13为第1重第3相流体的压力。
以此类推,第m×n种受力状态为:

其对应的应变为:
式中:
为第m重第n-1相流体的压力;(mn)p为第m重第n相流体的压力。
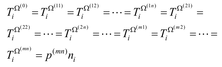
第(m×n+1)种受力状态为:

其对应的应变为:
式中:
为固体材料的柔度系数张量,上指标s表示所有的孔隙都被流体饱和。
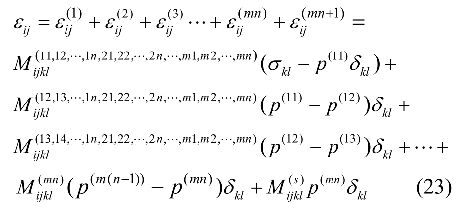
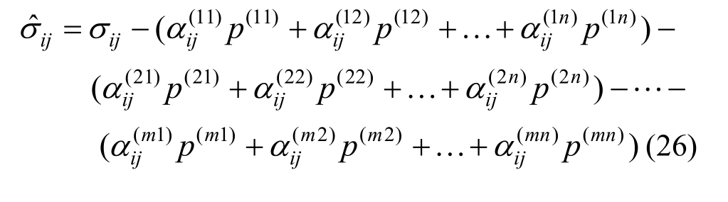
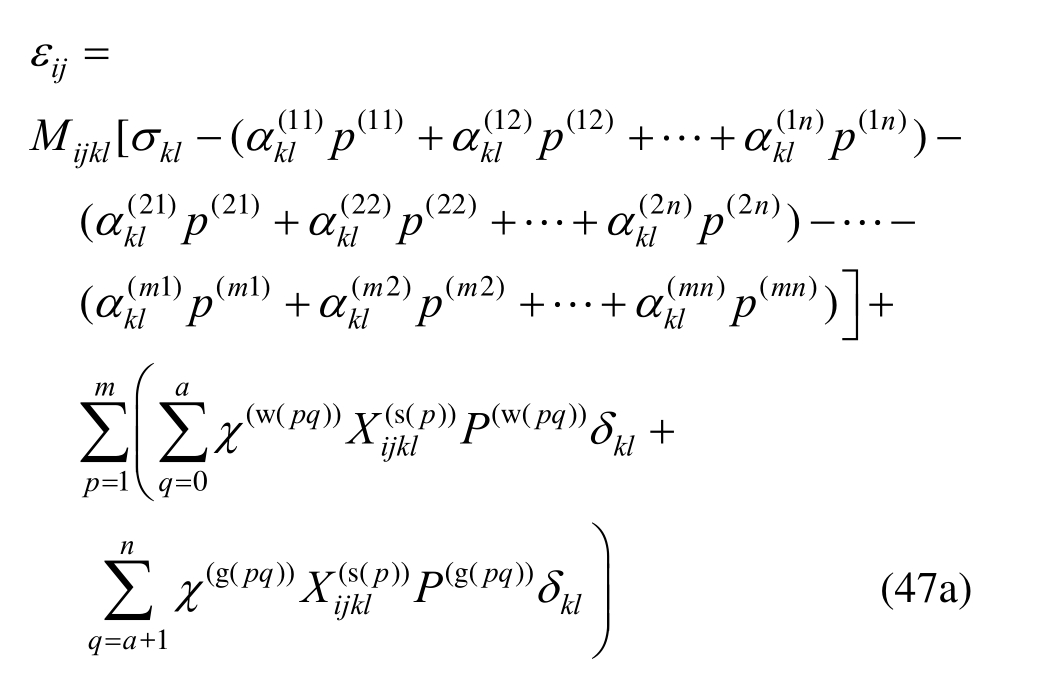
综上所述,将(m×n+1)种分解后的力线性叠加后产生的总应变为:

将式(23)代入到有效应力
所满足的应力-应变关系式:
式中:Cijkl为
的缩写,Mijkl为
的逆张量。
并利用式(17),得到:

式(25)即为不考虑基质吸力的充满n相孔隙流体的m重孔隙介质的有效应力定理的表达形式,简写为:

其中有效应力系数为:

式(26)~式(27)为多相等效饱和各向异性多重孔隙介质的有效应力定律的一般形式,根据研究的需要可以将其简化为下列6种特殊情况:
1) 对于单相饱和各向异性多重孔隙介质,此时n取1时,式(25)~式(27)简化为式(9)~式(10)。
2) 对于多相等效饱和各向同性双重孔隙介质,book=38,ebook=51
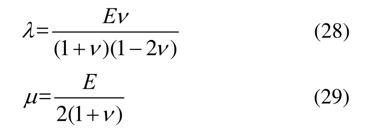
取
时,其中λ=α,2μ=β+γ,λ和μ为拉梅常数,拉梅常数与弹性模量E、泊松比ν的关系为:

式(26)~式(27)简化为式(7)~式(8)。
3) 对于单相饱和各向异性双重孔隙介质,即n取1,m取2时,式(26)~式(27)简化为式(5)~式(6)。
4) 对于单相饱和各向同性多重孔隙介质,即n取 1,Cijkl和Mijkl取值与 2)相同时,式(26)~式(27)简化为式(3)~式(4)。
5) 对于单相饱和各向同性单重孔隙介质,即n取1,m取2,Cijkl和Mijkl取值与2)、4)相同时,式(26)~式(27)简化为式(2)。
6) 对于单相饱和各向同性疏松多孔介质(如土),即n取1,m取1,Cijkl和Mijkl取值与2)、4)、5)相同,K(sp)/K(s)取 0 时,式(26)~式(27)简化为式(1)。
1) 假设多孔介质孔隙中至少存在一相气相流体,此时孔隙内多相流体对固体骨架产生基质吸力。
2) 假设非饱和多孔介质的基质吸力与水-气交界面(即张力收缩膜)、各相饱和度两个变量有关,用Bishop有效应力参数χ表示。
3) 假设非饱和多孔介质在一定应力状态下的变形与材料骨架及固体颗粒的力学性质、水-气交界面化学性质和各相饱和度有关。
4) 假设多相气体和多相液体均匀混合,只考虑气相和液相之间的基质吸力,不考虑液相与液相、气相与气相之间的基质吸力。
对于非饱和多孔介质,Bishop首先引入基质吸力s=P(g)-P(w)和有效应力参数χ=(1-K(sp)/K(s))S(w)描述其有效应力[13―14],并通过实验证明在保持净应力和基质吸力恒定的情况下,多孔材料的体应变和剪切模量不变。赵成刚等[34―36]基于变形功提出了非饱和土广义有效应力原理,给出了非饱和土的有效应力的具体表达式,认为有效应力参数χ与饱和度有关。
与等效饱和多孔介质的处理方法一样,通过边界条件叠加的方法,建立非饱和多孔介质的有效应力定律。为了获得多相非饱和各向异性多重孔隙介质的有效应力,首先从最简单的非饱和单重孔隙介质开始研究。
文献[8]给出单重孔隙介质由外部应力和孔隙压力导致的变形的本构方程(本构与有效应力原理无关,此处的本构方程为采用有效应力表达式而得到的一个形式):
式中:
为外应力与孔隙压力作用下骨架线弹性变形的应变;E(sp)为单重孔隙介质的弹性模量;ν(sp)为单重孔隙介质的泊松比;
为外应力与孔隙压力条件,不包括基质吸力;σkk为第一应力不变量。
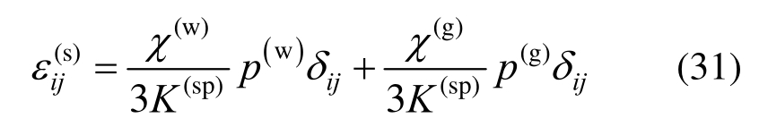
文献[39]给出了两相非饱和单重孔隙介质由基质吸力引起的变形的本构方程:

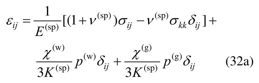
综合式(30)和式(31)可以得到两相非饱和各向同性双重孔隙介质由净应力和基质吸力共同导致的变形的本构方程:

或写成:
式中,
为两相非饱和各向同性单重孔隙介质的有效应力,简写为:
式中,β(w)为水相的有效应力系数;β(g)为气相的有效应力系数。
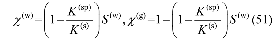
将式(33)代入式(32b),并与式(32a)进行比较,可得水、气两相的有效应力系数:
故两相非饱和单重孔隙介质的有效应力定律写为:
式(35)所得结论与文献[39]相同,同时文献[39]还指出两相有效应力系数之和与骨架、固体颗粒的体积压缩模量有关:

对于一些疏松多孔介质(如土、油砂等),其K(sp)/K(s)<<1,故
目前关于非饱和多孔介质的本构关系及各种形式的有效应力表达形式很多,但是实验研究数据较少,一些学者[34―36]以及一些有限元计算[42]将χ(w)、χ(g)简单地取为饱和度,
对于两相非饱和各向同性双重孔隙介质,陈勉等[10]给出了不考虑基质吸力的有效应力定律。

式中,有效应力系数为:

如果将双重孔隙中气液两相引起的基质吸力考虑进去,则本构关系写为:

式中,
为式(39)给出的两相等效饱和双重孔隙介质的有效应力。式(41)进一步写为:

或写成:
式中
为两相非饱和各向同性双重孔隙介质的有效应力,简写为:

将式(43)代入式(42b),并与式(42a)比较,可得有效应力系数如下:

式中:γ(w1)、γ(g1)、γ(w2)与γ(g2)为式(40)给出的不考虑基质吸力的有效应力系数。与式(36)类似,在两种不同类型的孔隙中,各相流体的有效应力系数存在如下关系:
式(43)~式(45)即为两相非饱和双重孔隙介质的有效应力定律。
同理,可以将式(43)推广到多相非饱和各向异性多重孔隙介质的有效应力定律。
对于n相非饱和各向异性m重孔隙介质,考虑基质吸力条件下的本构方程写为:

式中:Mijkl为
的缩写;
为式(26)计算得到的等效饱和状态下的有效应力;a为每重孔隙中液相的种类,取值范围为0≤a≤n-1;χ(w(pq))为第p重孔隙中第q液相的有效应力系数;χ(g(pq))为第p重孔隙中第q气相的有效应力系数;
为表征各向异性多孔介质材料骨架及固体颗粒的力学性质、水气界面化学性质和各相饱和度对第p重孔隙中基质吸力的校正系数张量,其取值顺序为![]()
分别代表单重、双重、…、(m-1)重、m重孔隙为干孔隙时多孔介质的校正系数张量。P(w(pq))为第p重孔隙第q液相的压力;P(g(pq))为第p重孔隙第q气相的压力。
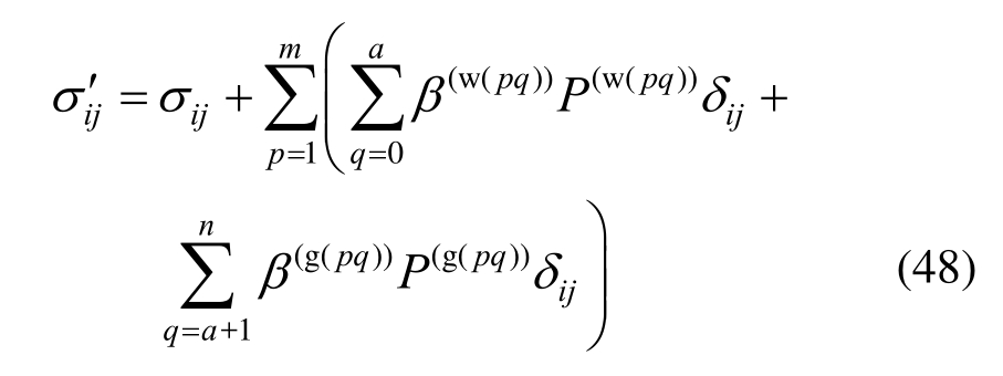
将等效饱和状态下的有效应力(不考虑基质吸力下非饱和多孔介质受到的有效应力)和基质吸力引起的变形线性叠加,将式(26)代入式(46)可得:

或写成:
式中,多相非饱和各向异性多重孔隙介质的有效应力
写为:

将式(48)代入式(47b)并与(47a)比较可得各重孔隙中各相流体的有效应力系数:

或写成:

式中:β(pq)与式(21)给出的等效饱和状态下的有效应力系数α(pq)一一对应;
为(m-1)重孔隙为干孔隙时多孔介质的校正系数张量,下标p表示存在流体的孔隙为第p重孔隙;
为干多重孔隙介质的校正系数张量。
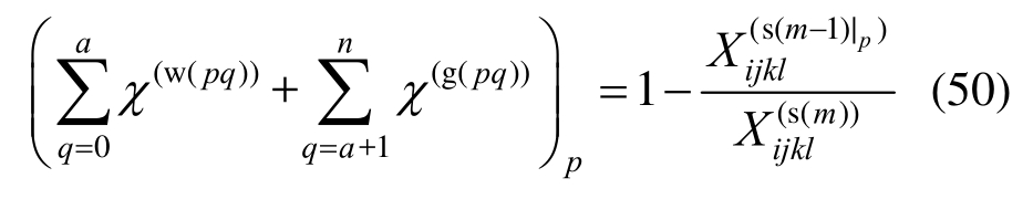
对于每一重孔隙介质,其所有相的有效应力系数之和满足:

式(47)~式(50)即为多相非饱和各向异性多重孔隙介质的有效应力定律,根据研究的需要可以将其简化为下列5种特殊情况:
1) 对于两相非饱和各向同性双重孔隙介质,取
取(3K(s(p)))-1时,式(48)~式(50)简化为式(43)~式(45)。
2) 对于两相非饱和各向同性单重孔隙介质,取n=2,m=1,a=1,
取(3K(s(p)))-1时,式(48)~式(50)简化为式(33)~式(36)。
3) 对于两相非饱和各向同性单重孔隙介质,在2)的基础上,当各相有效应力系数χ(w)与χ(g)之比简单地用各相饱和度之比代替时:

式(48)~式(50)简化为式(11)。
4) 对于两相非饱和各向同性单重孔隙介质,在3)的基础上,如果认为骨架的体积模量远远小于基质颗粒的体积模量,即K(sp)/K(s)<<1时,式(48)~式(50)简化为式(13)。
5) 对于多相非饱和各向异性多重孔隙介质,当不考虑基质吸力引起的骨架变形时,式(47a)中的后两项消失,此时式(48)~式(50)将简化为式(26)~式(27)。
有效应力定律普遍适用于土力学、岩石力学,以及矿山、地质、医学、生物学等众多研究领域,在解决地基沉降[43]、深部地下空间动力响应[44]、深层油气高效开采[45-47]等实际工程问题上具有重要的意义。多相非饱和各向异性多重孔隙介质的有效应力定律是一种理想化的模型,是在众多基本假设条件下经过严格推导得到的,目前是无法通过实验验证的。但是这种最一般化的有效应力形式在数值模拟、工程计算、软件编程等方面具有积极的作用,可以通过控制一般化方程中的具体参数来调用常用的有效应力形式,有效提高计算效率。
本文考虑孔隙的重数、孔隙流体的相数、各向异性、饱和程度、基质吸力等因素,提出了广义多相非饱和多重孔隙介质的有效应力定律。在考虑固体相及各流体相线弹性变形的基础上,通过应力状态分解、边界条件叠加方法建立了不考虑基质吸力的多相等效饱和各向异性多重孔隙介质的有效应力定律。考虑到非饱和多孔介质中各相界面张力引起的基质吸力,在线弹性变形基础上,叠加了基质吸力引起的变形部分,通过推导得到非饱和多孔介质的有效应力定律的一般形式。将所得公式根据实际需要进行处理,可以得到目前主要的有效应力定律的形式,充分说明了本文所得结论的正确性。
本文得到的有效应力形式是在线弹性变形假设下进行推导的,非线性弹性变形以及弹塑性变形下的有效应力定律的形式非常复杂,因为此时多孔介质的变形不再是当前应力状态的唯一函数,还与应力历史、时间等其他因素有关,导致应用传统的孔隙弹性力学、连续介质力学很难进行有效应力的推导。
[1]汤连生, 颜波, 张鹏程, 等. 非饱和土中有效应力及有关概念的解说与辨析[J]. 岩土工程学报, 2006, 28(2):216―220.Tang Liansheng, Yan Bo, Zhang Pengcheng, et al.Defination and exploration for effective stress and related conception in unsaturated soil [J]. Chinese Journal of Geotechnical Engineering, 2006, 28(2): 216―220. (in Chinese)
[2]汤连生, 王思敬. 湿吸力及非饱和土的有效应力原理探讨[J]. 岩土工程学报, 2000, 22(1): 83―88.Tang Liansheng, Wang Sijing. Absorbed suction and principle of effective stress in unsaturated soils [J].Chinese Journal of Geotechnical Engineering, 2000,22(1): 83―88. (in Chinese)
[3]Fjar E, Holt R M, Raaen A M, et al. Petroleum related rock mechanics, 2nd edited [M]. New York: Elsevier Science, 2008: 33.
[4]Terzaghi K. The shearing resistance of saturated soils and the angle between the planes of shear [C]// Proceedings of 1st International Conference on Soil Mechanics and Foundation Engineering. Cambridge, MA, USA: Harvard University Press, 1936: 54―56.
[5]Biot M A. General theory of three-dimensional consolidation [J]. Journal of Applied Physics, 1941,12(2): 155―164.
[6]Nur A, Byerlee J D. An exact effective stress law for elastic deformation of rock with fluids [J]. Journal of Geophysical Research, 1971, 76(26): 6414―6419.
[7]Skempton A W. Effective stress in soils, concrete and rocks [C]//Aitchison G D, Bishop A W T. Proceedings of Pore Pressure and Suction in Soils. London: Butterworth,1961: 4―16.
[8]陈勉, 陈至达. 多重孔隙介质的有效应力定律[J]. 应用数学与物理学, 1999, 20(11): 1121―1127.Chen Mian, Chen Zhida. Effective stress laws for multi-porosity media [J]. Applied Mathematics and Mechanics, 1999, 20(11): 1121―1127. (in Chinese)
[9]赵颖, 陈勉, 张广清. 各向异性双重孔隙介质有效应力定律[J]. 科学通报, 2004, 49(21): 2252―2255.Zhao Ying, Chen Mian, Zhang Guangqing. Effective stress laws for anisotropic dual-porosity media [J].Chinese Science Bulletin, 2004, 49(21): 2252―2255. (in Chinese)
[10]陈勉, 金衍, 张广清. 石油工程岩石力学[M]. 北京:科学出版社, 2008: 42―43.Chen Mian, Jin Yan, Zhang Guangqing. Petroleum related rock mechanics [M]. Beijing: Science Press,2008: 42―43. (in Chinese)
[11]蔡新树, 陈勉, 金衍, 等. 各向异性多重孔隙介质有效应力定律[J]. 工程力学, 2009, 26(4): 57―67.Cai Xinshu, Chen Mian, Jin Yan, et al. An effective stress laws for anisotropic multi-porosity media [J].Engineering Mechanics, 2009, 26(4): 57―67. (in Chinese)
[12]赵成刚, 韦昌富, 蔡国庆. 土力学理论的发展和面临的挑战[J]. 岩土力学, 2011, 32(12): 3521―3540.Zhao Chenggang, Wei Changfu, Cai Guoqing.Development and challenge for soil mechanics [J]. Rock and Soil Mechanics, 2011, 32(12): 3521―3540. (in Chinese)
[13]Bishop A W. The principle of effective stress [J]. Teknisk Ukeblad, 1959,106 (39): 113―143.
[14]Bishop A W, Blight G E. Some aspects of effective stress in saturated and partly saturated soils [J]. Géotechnique,1963, 13(3): 177―197.
[15]Blight G E. A study of effective stress for volume change[C]//Aitchison G. Moisture Equilibria and Moisture Changes in Soils Beneath Covered Areas. Sydney:Butterworth, 1965: 259―269.
[16]Jennings J E B, Burland J B. A revised effective stress law for use in the prediction of the behavior of unsaturated soils [C]//Aitchison G D, Bishop A W T.Proceedings of Pore Pressure and Suction in Soils.London: Butterworth, 1961: 26―30.
[17]Aitchison G D, Donald I B. Some preliminary studies of unsaturated soils [C]//New Zealand Institute of Engineering. Proceedings of 2nd Australia-New Zealand Conference on Soil Mechanics and Foundation Engineering. Wellington: Technical Publications for the New Zealand Institution of Engineers, 1956: 192―199.
[18]Jennings J E B. Limitations to the use of effective stress in unsaturated soils [J]. Géotechnique, 1962, 12(2):125―144.
[19]Burland J B. Some aspects of the mechanical behaviour of partly saturated soils [C]//Aitchison G. Moisture Equilibria and Moisture Changes in Soils Beneath Covered Areas. Sydney: Butterworth, 1965: 270―278.
[20]Aitchison G D. Soils properties, shear strength, and consolidation [C]//Associate Committee on Geotechnical Research. Proceedings of 6th International Conference on Soil Mechanics and Foundation Engineering. Toronto:University of Toronto Press, 1965: 319―321..
[21]Matyas E L, Radhakrishna H S. Volume change characteristics of partially saturated soils [J].Géotechnique, 1968, 18(4): 432―448.
[22]Brackley I J A. Partial collapse in unsaturated expansive clay[C]//Associate Committee on Geotechnical Research.Proceedings of 5th Regional Conference on Soil Mechanics and Foundation Engineering. Luanda,Angola: Laboratório de Engenharia de Angola, 1971:23―30.
[23]Frelund D G, Morgenstern N R. Stress state variables for unsaturated soils [J]. Journal of the Geotechnical Engineering Division, ASCE, 1977, 103(5): 447―466.
[24]Khalili N, Geiser F, Blight G E. Effective stress in unsaturated soils: Review with new evidence [J].International Journal of Geomechanics, 2004, 4(2):115―126.
[25]Coleman J D. Stress-strain relations for partly saturated soils [J]. Géotechnique, 1962, 12(4): 348―350.
[26]Bishop A W, Blight G E. Some aspects of the effective stress in saturated and partially saturated soils [J].Géotechnique, 1963, 13(3): 177―197.
[27]Blight G E. Effective stress evaluation for unsaturated soils [J]. Journal of the Soil Mechanics and Foundations Division, ASCE, 1967, 93(2): 125―148.
[28]Wheeler S J, Sharma R S, Buisson M S R. Coupling of hydraulic hysteresis and stress-strain behavior in unsaturated soils [J]. Géotechnique, 2003, 53(1): 41―54.
[29]Fredlund D G. Unsaturated soil mechanics in engineering practice [M]. Hoboken: John Wiley & Sons, 2012: 80―83.
[30]Houlsby G T. The work input to a granular material [J].Géotechnique, 1979, 29(3): 354―358.
[31]Houlsby G T. The work input to an unsaturated granular material [J]. Géotechnique, 1997, 47(1): 193―196.
[32]Jommi C. Remarks on the constitutive modeling of unsaturated soils[C]//Tarantino A, Mancuso C.Experimental Evidence and Theoretical Approaches in Unsaturated Soils: Proceedings of An International Workshop on Unsaturated Soils. Trento, Italy: A. A.Balkema, 2000: 139―154.
[33]Vaunat J, Romero E, Jommi C. An elastoplastic hydromechanical model for unsaturated soils [C]//Tarantino A, Mancuso C. Experimental Evidence and Theoretical Approaches in Unsaturated Soils :Proceedings of An International Workshop on Unsaturated Soils. Trento, Italy: A. A. Balkema, 2000:121―138.
[34]赵成刚, 张雪东. 非饱和土中功的表述以及有效应力与相分离原理的讨论[J]. 中国科学(E辑: 技术科学),2008, 38(9): 1453―1463.Zhao Chenggang, Zhang Xuedong. Expression of work in unsaturated soil and discussion of the principle of effective stress and phase separation [J]. Science in China (Series E: Technological Sciences), 2008, 38(9):1453―1463. (in Chinese)
[35]赵成刚, 刘艳. 连续孔隙介质土力学及其在非饱和土本构关系中的应用[J]. 岩土工程学报, 2009, 31(9):1324―1335.Zhao Chenggang, Liu Yan. Continuum porous medium soil mechanics and its application in constitutive relationship of unsaturated soils [J]. Chinese Journal of Geotechnical Engineering, 2009, 31(9): 1324―1335. (in Chinese)
[36]赵成刚, 蔡国庆. 非饱和土广义有效应力原理[J]. 岩土工程, 2009, 30(11): 3232―3236.Zhao Chenggang, Cai Guoqing. The principle of generalized effective stress for unsaturated soils [J]. Rock and Soil Mechanics, 2009, 30(11): 3232―3236. (in Chinese)
[37]黄义, 张引科. 非饱和土本构关系的混合物理论(I)—非线性本构方程和场方程[J]. 应用数学与力学,2003, 24(2): 111―123.Huang Yi, Zhang Yinke. Constitutive relation of unsaturated soil by use of the mixture theory(I)―Nonlinear constitutive equations and field equations[J]. Applied Mathematics and Mechanics, 2003, 24(2):111―123. (in Chinese)
[38]黄义, 张引科. 非饱和土本构关系的混合物理论(II)—线性本构方程和场方程[J]. 应用数学与力学,2003, 24(2): 124―137.Huang Yi, Zhang Yinke. Constitutive relation of unsaturated soil by use of the mixture theory (II) -Linear constitutive equations and field equations [J]. Applied Mathematics and Mechanics, 2003, 24(2): 124―137. (in Chinese)
[39]Loret B, Khalili N. A three-phase model for unsaturated soils [J]. International Journal for Numerical and Analytical Methods in Geomechanics, 2000, 24(11):893―927.
[40]Carroll M M. An effective stress law for anisotropic elastic deformation [J]. Journal of Geophysical Research,1979, 84(B13): 7510―7512.
[41]Coussy O. Mechanics and physics of porous solids [M].Hoboken: John Wiley and Sons, 2010: 68―71.
[42]费康, 张建伟. ABAQUS在岩土工程中的应用[M]. 北京: 中国水利水电出版社, 2013: 169.Fei Kang, Zhang Jianwei. Applied rock and soil mechanics with ABAQUS application [M]. Beijing:China Water & Power Press, 2013: 169. (in Chinese)
[43]吴意谦, 朱彦鹏. 考虑疏干带非饱和土影响下基坑降水引起地面沉降的计算[J]. 工程力学, 2016, 33(3):179―187.Wu Yiqian, Zhu Yanpeng. Calculation of settlement considering unsaturated soil influence on the dewatering of foundation pits [J]. Engineering Mechanics, 2016,33(3): 179―187. (in Chinese)
[44]杨骁, 蒋志云, 张敏. 爆炸荷载作用下深埋圆形隧洞饱和土-衬砌系统的动力响应[J]. 工程力学, 2015,32(5): 138―146.Yang Xiao, Jiang Zhiyun, Zhang Min. Dynamical analysis of a saturated soil-lining system with a deeply buried circular tunnel subjected to a blast load [J].Engineering Mechanics, 2015, 32(5): 138―146. (in Chinese)
[45]邸元, 康志江, 代亚非, 等. 复杂多孔介质多重介质模型的表征单元体[J]. 工程力学, 2015(12): 33―39.Di Yuan, Kang Zhijiang, Dai Yafei, et al. Representative elementary volume of the multiple-continuum model for complex porous media [J]. Engineering Mechanics,2015(12): 33―39. (in Chinese)
[46]Saurabh S, Harpalani S. The effective stress law for stress-sensitive transversely isotropic rocks [J].International Journal of Rock Mechanics & Mining Sciences, 2018, 101: 69―77.
[47]Ma J. Wetting collapse analysis on partially saturated oil chalks by a modified cam clay model based on effective stress [J]. Journal of Petroleum Science and Engineering,2018, 167: 44―53.
GENERALIZED EFFECTIVE STRESS LAW FOR MULTI-POROSITY MEDIA UNSATURATED WITH MULTIPHASE FLUIDS
林伯韬(1983―),男,福建人,副教授,博士,博导,主要从事石油工程地质力学研究(E-mail: linbotao@cup.edu.cn);