随着我国经济迅猛发展,基础设施建设规模不断扩大,既有建筑规模已超过720亿平方米,其中,使用年限超过30年的既有结构占总量30%以上。近年来,结构耐久性劣化、服役寿命锐减以及建筑材料匮乏等问题逐渐凸显。确保结构在设计使用年限内的安全性和耐久性,延长结构的使用寿命,已成为学术界和工程界重点关注的问题。
混凝土结构是目前使用最广泛的工程结构,针对各种环境条件下混凝土结构出现的耐久性损伤问题,国内外学者自20世纪50年代开始,从耐久性损伤机理、劣化规律以及耐久性修复和提升等方面开展了系统研究,取得了不少成果。然而,上述研究多集中于混凝土材料在单一因素作用下的耐久性,实际工程中的混凝土结构通常是在荷载和环境等多种因素共同作用下工作的,此时结构耐久性劣化并不是各单一因素作用的简单叠加,各因素的共同作用使得混凝土破坏机理更为复杂。为此,20世纪 90年代以来,混凝土科学工作者在早期材料耐久性研究工作的基础上,考虑构件或结构的实际工况,逐步开展了荷载与环境因素共同作用下混凝土结构的耐久性研究,研究内容涵盖了从普通混凝土、高强、高性能到绿色高耐久性混凝土,从单因素,双因素到多因素耦合作用,从材料、构件到结构的研究,获得了诸多有意义的成果,并形成一些较为成熟的评定标准和设计规范[1―2],为工程结构的长期运营提供了有力保障。
本文将从混凝土的抗渗性能、混凝土抗中性化、抗离子侵蚀以及抗冻融循环作用等方面介绍荷载与环境共同作用下的混凝土耐久性研究进展,并对混凝土耐久性研究提出了展望。
混凝土的渗透性一般是指气体、液体或者离子等在受到压力、化学势或电场作用时在混凝土中进行渗透、扩散以及迁移的难易程度。一般认为,混凝土越密实,则渗透性越差,即抗渗性越好,耐久性也越好。
混凝土是由粗细骨料、水泥砂浆基质及其两者粘结界面组成的三相复合材料,其内部不可避免地存在天然或人为的细观缺陷、损伤、裂隙、孔穴以及夹杂等[3]。荷载对混凝土孔结构和微裂缝的形成、扩展和连接有着重要的影响,荷载的存在使孔结构密实或者稀疏,使裂缝闭合、开展或者贯通,继而影响混凝土的渗透性能[4]。
荷载对混凝土孔结构的影响体现在对其孔径分布、孔隙率、最可几孔径等孔隙特征值的改变。混凝土受压且应力水平较低时,其内部微裂缝变化很小,部分微裂缝出现了闭合现象;随着应力水平的增加,微裂缝面积开始增加,当达到 0.3~0.7应力比时,微裂缝迅速扩展,应力水平越高,微裂缝发展越厉害[5];混凝土受拉时,砂浆内小孔孔隙率降低,大孔孔隙率增大,且总孔隙率增大,最可几孔径增大[6],如图 1所示。姜福香等[7]对经受轴拉静载和循环荷载作用后混凝土的孔隙率进行了测试。结果表明:短期静拉荷载和有限次循环荷载作用均会对混凝土产生永久性的损伤。最大荷载水平越高、循环次数越多,微裂缝连通和扩展越明显,混凝土总孔隙率越大,如图2所示。

图1 不同应力水平下的孔隙率和孔隙分布[8]
Fig.1 Porosity and pore distribution under different stress levels

图2 不同荷载循环次数混凝土孔隙率[7]
Fig.2 Porosity of concrete varying with number of applied load cycles
Aldea 等[9―10]、Wang 等[11]通过反馈控制劈裂试验得到不同裂缝宽度的混凝土试件并研究了其渗透性,结果表明:混凝土透水性对裂缝宽度的敏感程度要比氯离子渗透性更高,低水胶比混凝土中的微裂缝为氯离子渗透的主要通道。受荷状态下,当裂缝宽度小于50 μm时,裂缝对混凝土渗透性的影响较小;当宽度在50 μm ~200 μm时,裂缝对混凝土的氯离子渗透量影响不大,但水的渗透量比无裂缝的混凝土明显更高,而当裂缝宽度大于 200 μm时,水的渗透量会急剧升高,裂缝宽度大于250 μm时,低水胶比混凝土氯离子渗透性亦急剧增加,Lim等[12]的研究也得到类似的结论。Hoseini等[13]总结发现,疲劳荷载对混凝土渗透性的劣化作用要远大于单调静载,且裂缝的长度对渗透性的影响要远小于裂缝宽度。方永浩等[14]对受压状态下混凝土渗透性的研究表明,应力比小于0.6时,渗透性会随应力比的增大而略有下降,渗透系数与应力比二者之间大致呈负指数关系,但当应力比大于0.7时,渗透性会迅速提高。Gérard等[15]通过分析,给出了裂缝面积与混凝土渗透性之间的关系:

式中:n为裂缝网格特征参数;D1为给定的离子(或分子)在自由溶液的扩散系数;D0为该介质在匀质(未开裂)材料中扩散系数;D为开裂材料的表观扩散系数;D/D0为材料的等效扩散系数;S=Am/Ac,Ac和Am分别表示与扩散通量方向垂直的裂缝总面积和未开裂材料的总面积。
荷载对混凝土透气性的影响与对透水性的影响相似,Picandet等[16]对单轴受压混凝土试件卸载后的透气性能进行研究发现,压应变达到极限压应变的90%后,混凝土试件的气体渗透性增大了一个数量级。王中平等[17]将单轴压缩作用下混凝土气体渗透系数随压应力比变化的关系表示于图 3,由图可见,随着压应力比值的增加,混凝土渗透系数也缓慢增加,当应力比小于0.40时,渗透系数保持在一个较小的范围内波动;应力比达到0.40~0.50时,渗透系数明显增大,混凝土中的裂缝网络呈连通状态,此时气体几乎无阻碍地穿透混凝土试样内部。

图3 应力比f/fcu与渗透系数D的关系[17]
Fig.3 Relationship between the stress ratef/fcuand the coefficient of permeabilityD
因此,渗透系数存在一个单轴压应力阈值,对普通混凝土而言,应力比阈值f/fcu约为0.40~0.50。该阈值对研究混凝土渗透性有着重要的意义,当测试所得渗透系数迅速增大时,表明混凝土应力已超过该阈值,外界的侵蚀性介质可迅速侵入混凝土内部或抵达钢筋表面,引发钢筋锈蚀。
空气、土壤、地下水等环境中的酸性气体或液体侵入混凝土中,与水泥中的碱性物质发生反应,使混凝土pH值下降的过程即为混凝土的中性化过程。常见的酸性介质为空气中的 CO2、SO2以及汽车尾气中的氮氧化物NOx,它们或直接侵入混凝土中,或溶解在雨水中降落到混凝土表面,并对混凝土腐蚀。
混凝土碳化是指环境中的CO2扩散溶解于混凝土孔隙溶液,与溶液中的Ca(OH)2等碱性物质发生反应,从而降低混凝土碱度的现象。在合理的假设条件下,CO2在混凝土中的扩散近似遵循Fick第一定律[18],碳化深度的理论模型可以简化为:
式中:X为碳化深度;t为碳化时间。k为碳化系数,反映碳化速度快慢的综合参数。
1) 静荷载对混凝土抗碳化性能的影响
混凝土中的微裂缝是CO2向混凝土扩散的快速通道,因此,混凝土结构所受荷载的形式和大小必然影响混凝土的碳化速率。Castel等[19]、袁承斌等[20]、涂永明等[21]、杨林德等[22]、金祖权等[23]、牛荻涛等[24]学者研究了静荷载作用下的混凝土碳化问题,取得了较为一致的结论:与未受力混凝土相比,拉应力引起混凝土微裂缝的扩展加快了CO2气体在混凝土内部的扩散,提高了混凝土的碳化速率;压应力在一定范围内使微裂缝闭合,阻碍了气体在混凝土内部的扩散,延缓了碳化的进行,但超过一定临界值,压应力也会引起混凝土的开裂,降低混凝土的抗碳化性能;随着应力比的增大,裂缝扩展速率增加,碳化产物对裂缝的填充逐渐减弱,碳化速率增量越大。
现有的碳化模型基本可以分为 4类:理论模型[18,25]、经验模型[26―29]、半理论半经验模型[20,22,30]、随机模型[31]。理论模型物理意义明确,但模型参数不易确定,不方便工程使用;经验模型大多基于现场工程调查数据或者加速碳化试验与室外暴露试验,对碳化系数进行修正,这类模型基于特定的材料组分以及环境特征提出的,因此不具有普适性;半理论半经验模型将理论模型与经验模型结合起来,既具有清晰的理论意义,又具有普适性,能较好地解决模型参数不易确定的问题。我国即将颁布的国家标准《既有混凝土结构耐久性评定标准》在考虑了环境温湿度、测试位置、浇注和养护条件的差异、掺合料以及构件的应力状况对混凝土碳化的影响之后,给出了以混凝土强度为主要参数的碳化系数的计算公式:

式中:
为碳化系数;
浓度影响系数,取
为
浓度;Kkl为位置影响系数;Kkt为浇注面影响系数;Kks为工作应力影响系数;KF为粉煤灰取代系数;T为环境温度;RH为环境相对湿度;fcu,e为混凝土抗压强度推定值。
2) 疲劳荷载对混凝土抗碳化性能的影响
疲劳荷载所造成的混凝土内部微裂纹的产生和发展会加剧混凝土的碳化,现有实验条件难以从损伤机理和时间尺度上精确模拟疲劳荷载与碳化环境的耦合作用。因此,国内外研究多采用疲劳损伤后混凝土加速碳化试验来研究其抗碳化性能。
疲劳损伤度常作为混凝土疲劳损伤后的量化指标。Tanaka等[32]测试了不同应力水平疲劳荷载作用后混凝土的动弹性模量、毛细孔体积和碳化深度,将疲劳损伤度D定义为:
式中:σ为采用的弯曲应力;f为抗弯强度;N为循环次数;a、b为常数。结果表明:随D的增大,疲劳损伤累积,10 nm~100 nm 的小毛细孔及 0.1 μm~5.68 μm的中毛细孔体积增大,有害孔增多,同时,微裂缝的数量、长度、宽度大幅增加;疲劳荷载作用区域的碳化深度均大于未受力区,且荷载应力幅越大,作用次数越多,碳化深度越大。周艳霞等[33]通过对不同疲劳损伤度的混凝土试件进行快速碳化试验发现,碳化深度随疲劳损伤度增大而增加;当损伤度D>0.4时,疲劳损伤对碳化的影响愈显著,并且受拉区混凝土碳化程度明显大于受压区混凝土。
残余应变也常用来表征混凝土的疲劳损伤。蒋金洋等[34]引入裂缝间隙因子f来反映混凝土中的裂缝分布,并定义为下式,根据其与残余应变的对应关系来揭示疲劳荷载对混凝土碳化的影响规律。

式中:lc为圆柱体裂缝直径(或单位微元宽度);lm为基体间距(包括裂缝);
为n次疲劳荷载循环作用下混凝土的残余应变。并给出图 4所示混凝土CO2扩散系数随裂缝间隙因子f的变化曲线,疲劳荷载会导致混凝土裂缝间隙因子减小,从而使混凝土 CO2扩散系数随其疲劳损伤程度增加而增大。Jiang等[35]将疲劳损伤考虑到CO2气体扩散系数中,以残余应变作为破坏指标,建立了疲劳荷载下混凝土中性化模型:
式中:xc为碳化深度;Dccon为碳化混凝土中CO2的扩散系数;m0为初始浓度系数;εrm为最大残余应变;Dair为CO2在空气中的扩散系数;t为时间。

图4 混凝土CO2扩散系数随裂缝间隙因子变化曲线[34]
Fig.4 Variation of CO2diffusion coefficient of concrete as a function of f (crack spacing factor)

图5 碳化深度与疲劳损伤度的关系[32]
Fig.5 Relation between carbonation depth and degree of fatigue
随着全球经济高速发展,化石燃料的消耗及汽车保有量逐年增加,SO2和NOx的排放量日益剧增。关于酸雨侵蚀下混凝土的耐久性问题,国内外已经开展了一些研究[36―39],这些研究多数借鉴混凝土碳化的研究思路,通过浸泡、喷淋等方式模拟酸雨环境,对酸雨侵蚀的机理和模型进行研究。
牛荻涛等[40]采用拉杆加载系统对粉煤灰混凝土试件施加弯曲荷载,并进行快速碳化试验、酸雨侵蚀试验以及酸雨和碳化共同作用的试验研究。研究发现,弯曲拉应力加速了混凝土的中性化速度,一定水平的弯曲压应力对混凝土的中性化起到了抑制作用,在荷载和酸雨共同作用下粉煤灰混凝土的中性化预测模型可以表示为:

式中:σα为弯曲荷载应力影响系数;受拉区![]()
,受压区σα=
。Sλ为混凝土中性化酸雨影响系数;m0为单位体积粉煤灰混凝土吸收CO2的量;pε为混凝土水化和碳化后的孔隙率;RH为环境相对湿度;C0为二氧化碳浓度。王艳等[41]采用类似的试验方法,对弯曲荷载和酸雨共同作用下钢纤维混凝土的抗中性化性能开展了研究,发现钢纤维能够降低弯曲拉应力对基体混凝土酸雨侵蚀速度的影响,且中性化弯曲应力影响系数σα与应力水平之间的关系符合下列二次多项式:
弯曲受拉状态:

弯曲受压状态:

混凝土遭受的盐类侵蚀通常为氯盐或硫酸盐侵蚀。氯盐的危害主要是氯离子破坏钢筋表面的钝化膜,加速钢筋的锈蚀;硫酸盐对混凝土的劣化作用主要通过与混凝土水化产物发生化学反应生成膨胀性产物,造成混凝土开裂,加速外界的侵蚀性介质、水分、气体等进入混凝土内部,导致混凝土微观结构破坏和宏观性能降低[42]。
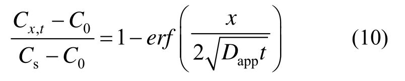
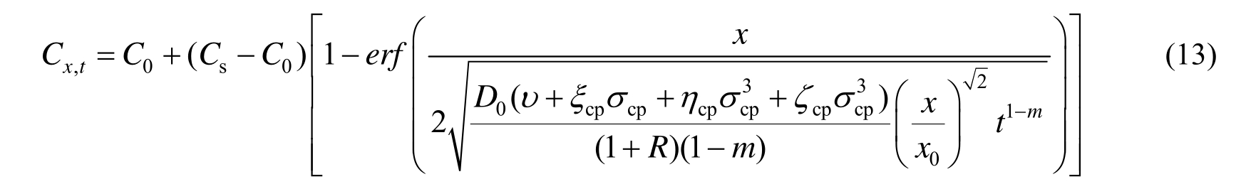
氯离子在混凝土中的传输机理很复杂,当混凝土暴露在氯盐环境中时,氯离子进入混凝土内部的迁移机制通常有吸附、扩散、结合、渗透、毛细作用和弥散等。其中,扩散、毛细作用和渗透是3种主要的迁移方式[43]。1972年Collepardi等[44]建议用Fick第二扩散定律来描述氯离子在混凝土中的表观扩散行为,一维状况下,假定初始条件为:![]()
边界条件为:
;氯离子的扩散模型可写为:

式中:Cx,t为经过时间t之后距暴露面x位置处的氯离子浓度;C0为混凝土中初始氯离子浓度;Cs为混凝土表面氯离子浓度;Dapp为表观氯离子扩散系数,即非稳态扩散系数;erf(z)为高斯(Gauss)误差分布函数,![]()
1) 静荷载对混凝土抗氯盐侵蚀性能的影响
对于轴压荷载,受试验条件的限制,早期研究多数是对混凝土预加载再卸载后进行试验,研究损伤后混凝土抗氯盐侵蚀性能变化。研究表明[12,45],当应力水平小于某一应力水平时,混凝土残余损伤较小,混凝土渗透性增加幅度有限;当应力超过该应力水平时,会引起混凝土氯离子渗透性的激增,如图6所示。Lim等[12]将该应力水平定义为“混凝土临界损伤应力”。为了更切合实际工程,金伟良等[46]采用“电渗-恒电流-干湿循环”的方法对大尺度钢筋混凝土梁进行了持续荷载作用下的加速锈蚀实验。结果显示:随着持续荷载水平的提高,保护层厚度范围内的氯离子质量分数增大,并在钢筋附近聚集;同时,纵向钢筋的锈蚀率增大,钢筋截面的锈蚀不均匀程度明显;导致混凝土梁的极限荷载减小,延性降低,截面曲率延性提高。杜修力等[47]从细观力学的角度,将外荷载作用的影响等效为外荷载引起的混凝土孔隙率的改变,研究了其对混凝土中氯离子扩散特性的影响,得到了氯离子有效扩散系数与压缩应力水平之间的关系式,提出了压缩荷载作用下非均质混凝土氯离子扩散行为的细观模型。

图6 不同应力比下混凝土的抗氯离子侵蚀性能[12]
Fig.6 Rapid chloride permeability of concrete at different stress-strength ratio
在弯曲荷载作用下,混凝土构件中的受压区和受拉区表现出不同的抗氯离子侵蚀能力。Francois等[48]、Caste 等[49]、Gowripalan 等[50]、赵尚传等[51]通过研究发现,氯离子在受拉区的渗透显著大于受压区的渗透,渗透区域为裂缝附近的狭窄区域,并且随着荷载水平的提高,受拉区混凝土抗氯离子侵蚀能力降低,受压区混凝土抗氯离子侵蚀能力则有所提高。邢锋等[52]给出了长期荷载作用下,荷载水平和氯离子渗透深度的关系,如图7所示。荷载水平在20%以内时,荷载对渗透性的影响很小;当荷载水平达到50%时,荷载的影响非常显著,当荷载水平大于60%以后,渗透深度增长幅度可达100%以上,即氯离子渗透能力随荷载水平的提高而逐步加速增大,何世钦等[53]的试验也得到类似的结论。袁承斌等[54]对其试验数据拟合得到应力状态下氯离子扩散系数的经验公式:
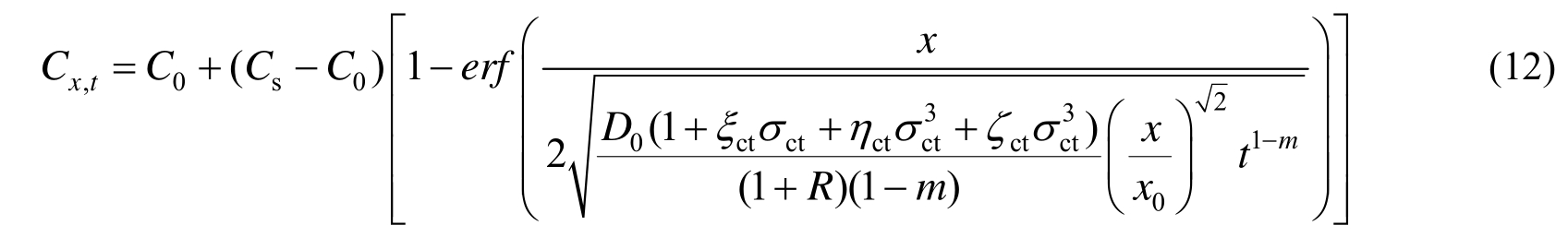
式中:Dσ为拉/压应力状态下氯离子的有效扩散系数;De为无应力状态下氯离子的有效扩散系数;σ为名义拉/压应力值;A1、A2为经验系数。涂永明等[55]基于Fick第二定律,考虑了扩散时间、Cl-结合能力和Cl-在混凝土中的扩散效用等因素,建立了应力状态下混凝土的氯离子侵蚀模型。
拉应力状态:

压应力状态:

式中:D0为初始条件下Cl-的等效扩散系数;m为与水灰比w/c有关的经验系数,m=2.50w/c-0.60;x0为基准点深度;R为常数。

图7 龄期 300 d时渗透深度与荷载水平之间的实测与模型对比关系[52]
Fig.7 Relationship between chloride penetration depth and load level at 300 days of age
2) 疲劳荷载对混凝土抗氯盐侵蚀性能的影响
疲劳荷载作用下的累积损伤会加速氯离子渗透,氯离子侵蚀导致的结构性能劣化也加速了疲劳损伤。与轴压荷载相似,多数研究也是对疲劳损伤后混凝土试件进行氯离子渗透试验。Saito等[56]的研究表明,循环荷载作用后混凝土的氯离子渗透性主要取决于混凝土的残余应变,应力水平和循环次数对混凝土渗透性的影响仍可归因于对残余应变的改变,即随着残余应变的增加,混凝土氯离子的渗透性逐渐增大;经多次循环加载后卸载,混凝土氯离子渗透性开始明显增加时所需的应力水平,比经一次加载后卸载混凝土的低,这与循环荷载作用下混凝土内部损伤逐渐累积相一致,Nakhi等[57]、Gontar等[58]、Tran等[59]等的研究也验证了上述结论。
随着测试手段的进步,Wang等[60]、苏林王等[61]通过自制的耦合试验装置,实现了盐雾环境和疲劳荷载共同作用的模拟。研究发现,在加载频率相同的情况下,应力水平越大,相同深度下的氯离子含量越大;在应力水平为0.30及0.50的情况下,加载频率越大,扩散系数越大;受拉区氯离子的传输速度较受压区更明显。孙伟等[62]通过对不同残余应变的混凝土试件进行 NaCl干湿循环试验,获得了不同弯曲疲劳程度下的混凝土的氯离子扩散系数,如图8所示,在弯曲疲劳荷载作用下,混凝土氯离子扩散系数均增加,当残余应变超过 60×10-6时,增长非常显著,残余应变达到120×10-6时,混凝土氯离子扩散系数是未疲劳损伤混凝土的两倍以上。蒋金洋等[63]采用残余拉应变
与疲劳破坏时的极限拉应变
的比值定义混凝土损伤变量F,得到氯离子扩散系数D随混凝土残余拉应变增加而增大的规律:

牛荻涛等[64]在此基础上开展了盐雾环境下弯曲疲劳损伤混凝土的氯离子侵蚀试验,并通过引入疲劳荷载影响系数k给出了混凝土不同应力区氯离子扩散系数的计算方法:
式中:D(F)为疲劳损伤变量为F时的氯离子扩散系数;D0为未损伤时氯离子扩散系数。对于弯曲疲劳受拉区k=0.6249+0.3557e1.3854F,对于弯曲疲劳受压区k=0.9566+0.0270e3.6069F。

图8 不同疲劳损伤程度下的混凝土的氯离子扩散系数[62]
Fig.8 Effect of different residual strain on chloride ion diffusion coefficient of concrete
硫酸盐侵蚀破坏过程是一个复杂的物理化学力学变化过程[65―66]。混凝土在荷载作用下遭受硫酸盐侵蚀的过程与无应力状态下不同,荷载产生的裂缝将加速硫酸盐侵蚀,而硫酸盐侵蚀的结果又将改变裂缝结构。各国学者对荷载与硫酸盐共同作用下混凝土损伤开展了大量研究,从应力水平、溶液浓度及离子种类、混凝土配合比以及试件构造等方面对混凝土性能劣化进行了分析。
1) 静荷载对混凝土抗硫酸盐侵蚀性能的影响
与其他侵蚀性介质相似,受压混凝土抗硫酸盐侵蚀性能与临界压应力水平有关,而拉应力在任何情况下都能引起混凝土渗透性增大,降低其抗硫酸盐腐蚀能力。Živica等[67]的研究表明,若压应力低于临界应力水平,应力作用将使混凝土内部结构更加密实,从而降低硫酸盐的侵蚀作用;而当压应力超过临界应力水平,应力作用将造成混凝土内部出现更多裂缝,裂缝的存在加速了硫酸盐的扩散速度。Piasta等[68]给出了临界应力水平:压应力水平大于0.65时将加速硫酸盐的侵蚀;而压应力水平小于0.275时则减缓硫酸盐的侵入;当压应力水平介于两者之间时,侵蚀速率随压应力的增大而增大,薛耀东等[69]的研究也验证了上述结论。
弯曲荷载在混凝土中产生的拉压应力对混凝土的抗硫酸盐侵蚀能力亦有相似的影响。在硫酸盐作用下,弯曲荷载加剧了混凝土初始微裂缝的扩展,加速了混凝土硫酸盐侵蚀[70-71],且随着弯曲荷载应力水平的提高,破坏加速作用呈递增趋势,当弯曲荷载应力比由0增加到25%,混凝土破坏时间降低 15%;应力比增加到 50%,其破坏时间降低25%~35%,如图9所示[72],纤维的掺入对多因素损伤有一定的抑制作用[73]。另外,溶液中硫酸根离子的浓度对侵蚀速率的影响显著[74],在高浓度硫酸根离子作用下,弯曲荷载对侵蚀过程有明显的加速作用,而在硫酸根离子浓度较低时,应力对混凝土硫酸盐侵蚀的加速作用相对较小。

图9 不同应力水平下普通混凝土经5% Na2SO4溶液干湿循环后动弹性模量随时间的变化[72]
Fig.9 Damage curves of OPC and HSC with different stress ratios in 5% Na2SO4solution and drying-immersion
硫酸盐侵蚀机理复杂。Atkinson等[75]基于硫酸盐扩散机理,考虑硫酸根离子与混凝土中含铝相物质发生反应的过程以及腐蚀产物膨胀导致的混凝土开裂与剥落,给出了Atkinson模型。该模型也是美国混凝土学会(American Concrete Institute)下属ACI Committee 365委员会发布报告《Service-Life Prediction》[76]唯一与硫酸盐腐蚀有关的模型。该模型认为硫酸盐腐蚀产物导致了固相反应产物体积的增加,但就整个包含孔隙在内的水泥基材料而言,生成的固相反应产物可能填充于水泥基材料的孔隙内部,其体积不一定同比例增加,同时,该模型忽略了徐变引起的应力释放、腐蚀产物可能对腐蚀反应的抑制作用以及外荷载对混凝土孔隙的影响。现有考虑荷载与硫酸盐协同作用的模型多依据试验数据拟合得到,从腐蚀龄期[77]、强度、钢纤维掺量和弯曲应力水平等[78]角度建立混凝土抗硫酸盐侵蚀的损伤衰减模型。陈栓发等[79]研究了10.0%硫酸钠溶液中混凝土的应力腐蚀性能,建立了粉煤灰混凝土在应力和腐蚀双重作用下弯拉强度随应力水平变化的衰减规律:
未掺粉煤灰的混凝土试件弯拉强度为:
掺加粉煤灰的混凝土试件弯拉强度为:
式中:fstc为混凝土在应力腐蚀作用下的强度;P为应力水平。
2) 疲劳荷载对混凝土抗硫酸盐侵蚀性能的影响
限于现有试验条件,国内外研究更多集中于持续恒荷载作用下的混凝土硫酸盐腐蚀损伤,而对疲劳荷载与硫酸盐腐蚀共同作用下混凝土损伤研究较少,现有研究也多关注于疲劳损伤后混凝土抗硫酸盐侵蚀性能。李培荣[80]、关博文等[81]等研究了道路混凝土在疲劳荷载和硫酸盐共同作用下的劣化过程,结果显示,疲劳荷载作用并没有改变硫酸盐的腐蚀劣化机理,但加速了硫酸盐的侵蚀进程;硫酸盐浓度越高、疲劳荷载应力水平越大,混凝土水灰比越高,道路混凝土性能降低越严重。陈栓发等[82]通过对硫酸盐扩散路径进行划分,对裂缝均匀化处理,建立了疲劳过程中裂纹因子与残余变形的函数关系,推导出了疲劳损伤混凝土硫酸根离子扩散系数Dt表达式:

式中:Dm、Dc分别为硫酸盐在混凝土基体材料和裂纹中的扩散系数;
为混凝土疲劳损伤过程中第二发展阶段结束时对应的残余应变;α、β为实验常数。关博文[83]在此基础上建立了考虑疲劳荷载影响的硫酸盐侵蚀寿命预测模型:

式中:T为疲劳荷载与硫酸盐共同作用下的混凝土寿命;f为疲劳荷载加载频率;S为疲劳荷载应力水平;U为外界硫酸盐浓度;w/c为混凝土水灰比。
从20世纪30年代开始,各国学者从各个方面对混凝土冻融耐久性做了大量的研究工作,发展了较为完整的冻融破坏理论,包括静水压理论[84―85]、渗透压理论[86]、冰晶形成理论[87]、临界饱水度理论[88]、Litvan冻融破坏理论[89]等。一般认为,冻融循环使混凝土内部反复经受膨胀压和渗透压等,导致混凝土酥松剥落。荷载和冻融循环同时作用下的混凝土受到荷载应力、膨胀压和渗透压等的几何叠加作用。当应力水平较高时,荷载在冻融引起的微裂缝处引起应力集中,使微裂缝迅速扩展造成混凝土破坏;应力水平较低时,混凝土孔隙水压力在基材中形成均匀微裂缝是混凝土破坏的主要原因,破坏速度较慢。近年来,国内外对于荷载与环境共同作用下混凝土抗冻融性能进行了大量研究,获得了诸多有意义的成果。
1) 静荷载对混凝土抗冻融性能的影响
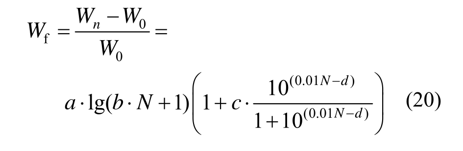
东南大学孙伟院士团队[90―92]对一系列混凝土(包括普通混凝土、高强混凝土、高性能混凝土、钢纤维增强高强高性能混凝土和高强高模聚乙烯纤维增强高强高性能混凝土等)在多重破坏因素(包括弯曲荷载、化学腐蚀、冻融循环等)作用下的性能进行了研究,结果表明:在荷载和冻融循环共同作用下,混凝土能经受的冻融循环次数随应力水平的增大而减小;对于水灰比较大的非引气混凝土,应力水平越高,动弹性模量损失越快,而引气混凝土和水灰比较小的非引气混凝土的动弹性模量在荷载和冻融循环双因素作用下没有显著的下降;在多重破坏因素作用后,普通混凝土动弹性模量下降迅速,试件表面剥落严重,重量损失大[93―94],高强高性能混凝土表现则相对较好,在 1600次多重破坏因素作用下混凝土抗压强度的下降规律如图 10所示,余红发等[92]给出了多重破坏因素作用下降低抗压强度的弯曲荷载比阈值,分析了掺合料及钢纤维对损伤混凝土力学性能的稳定作用,慕儒[93]提出了冻融循环单独作用或与外部弯曲应力、氯化钠溶液、硫酸钠溶液复合作用下混凝土的重量损失方程:

式中:Wf为重量损失率;W0为冻融循环前混凝土试件的重量;Wn为冻融循环N次后混凝土试件的重量;N为冻融循环次数;a、b、c、d为由实验确定的材料特性参数。

图10 弯曲荷载比对高强度等级混凝土在1600次多重破坏因素作用下相对抗压强度的变化[92]
Fig.10 Effect of flexural load on relative compressive strength of high strength concrete under the action of 1600 cycles of multiple damage factors
材料劣化直接影响到混凝土构件的承载能力。研究表明[95],持续弯曲荷载会加速盐冻循环作用下钢筋混凝土梁的性能劣化,并且随着荷载的增加,梁的受弯承载能力、受剪承载能力和变形能力降低。普通混凝土和高强混凝土梁在盐冻循环与弯曲荷载等因素共同作用下,损伤规律相似但损伤速率却有显著差异,多因素共同作用导致的构件损伤远大于单因素作用下的损伤[96―97]。预应力钢筋混凝土梁冻融后的表面剥落损伤与预应力大小无直接关系,同一预应力等级下,随着冻融循环次数的增加,钢筋混凝土梁的开裂时间提前,开裂弯矩减小,承载力降低,且降低速率越来越大,同时构件开裂荷载及抗裂性能也明显降低,而高预应力等级下钢筋混凝土梁在经历较少的冻融循环用后承载力降低明显[98]。严安等[99]考虑了荷载和冻融循环双重因素下临界裂缝扩展破坏的突然性,从结构安全性考虑,进行了混凝土在荷载作用下抗冻融循环的可靠性分析,给出了混凝土在荷载及冻融循环共同作用下混凝土可靠度计算公式,同时引入“等效冻融循环寿命”的概念,推导了无应力状态下的混凝土冻融循环寿命和不同应力状况下的混凝土冻融循环寿命的关系:

式中:nre为无应力状态下等效冻融循环周期数;n1为无应力状态下的冻融寿命;nr为应力比为r时的冻融寿命。
2) 疲劳荷载对混凝土抗冻融性能的影响
受实验条件的限制,现有研究大多先将混凝土试件预加疲劳荷载或冻融至一定循环次数,再进行冻融或疲劳试验。Trottier等[100]、Forgeron等[101]、Lappa等[102]等对疲劳荷载和冻融循环交互作用下的混凝土性能进行研究发现,疲劳荷载与冻融循环作用之间没有明显的协同关系,交互作用下混凝土的残余性能甚至高于单独作用下的性能,这与很多研究者的结论相悖。李文婷[103]采用声发射和中子成像技术研究了疲劳荷载和冻融循环共同作用下箱梁混凝土的损伤劣化,研究结果表明,疲劳荷载改变了混凝土内部裂缝的扩展路径,并且骨料界面周围气孔的生成具有取向性,裂缝宽度越大,渗透速率越大,裂缝附近也越容易达到饱和。她利用有限元程序,考虑疲劳荷载裂缝对混凝土渗透性的影响,建立了疲劳损伤和冻融损伤耦合模型。Hasan等[104―105]考虑了冻融循环作用对加载、卸载过程的影响,采用塑性应变来表征冻融损伤,基于 Maekawa的断裂模型,提出了冻融循环作用与混凝土疲劳性能之间的关系,建立了冻融循环后混凝土受压本构模型。刘荣桂等[106]对预应力混凝土梁受疲劳荷载后的抗冻性能进行研究发现,疲劳荷载对冻融损伤有明显的影响,他运用损伤理论,引入疲劳效应影响因子并结合Aas-Jakobsen的混凝土材料疲劳寿命公式建立了相对动弹模冻融损伤模型:

式中:m为疲劳损伤因子;n为冻融循环次数;Nf为疲劳寿命。
实际环境中混凝土因耐久性劣化丧失使用性能往往是荷载与环境共同作用的结果,随着研究方法的完善、研究手段的进步以及人们认知水平的提高,荷载与环境共同作用的混凝土耐久性问题已逐步受到学术界和工程界的重视,国内外许多高校和科研院所都开展了相关研究工作,目前也积累了一些研究成果。但由于多因素耐久性问题的复杂性,仍有许多问题需要进一步研究。
无论是传统的混凝土材料耐久性研究,还是考虑荷载与环境共同作用的混凝土结构耐久性研究,单一破坏因素作用下混凝土的耐久性及损伤机理是研究多因素共同作用下混凝土的耐久性及损伤机理的基础。因此,在进行荷载与环境共同作用下混凝土耐久性研究的同时,应继续对各种单一破坏因素的损伤机理进行更深层次的研究,通过材料微细观分析与结构宏观性能相结合、室内加速试验与工程现场试验相结合、理论分析与试验研究相结合,揭示混凝土的耐久性能劣化规律。
混凝土耐久性影响因素复杂,研究范围广,多个因素共同作用下混凝土的耐久性劣化机理的研究更是一项长期而艰苦的工作。在多因素共同作用下混凝土耐久性的研究中,影响因素的种类和影响强度、因素间的定量组合、试验方法的确定、原材料的选择、混凝土配合比的设计以及各种工况下的破坏标准等,还需要大量的实验与现场数据的积累、统计分析确定。目前,各研究机构的所采取的试验机制还没有一个统一的标准,应逐步研究建立多因素共同作用下混凝土耐久性的试验规范,建立数据和知识的共享平台,才能使研究工作有章可循,研究效率得以提高,研究成果更具普适性。
[1]CECS 220: 2007, 混凝土结构耐久性评定标准[S]. 北京: 中国建筑工业出版社, 2007.CECS 220: 2007, Standard for Durability Assessment of Concrete Structures [S]. Beijing: China Architecture Industry Press, 2007. (in Chinese)
[2]GB/T 50476―2008, 混凝土结构耐久性设计规范[S].北京: 中国建筑工业出版社, 2009.GB/T 50476―2008, Code for durability design of concrete structures [S]. Beijing: China Architecture Industry Press, 2009. (in Chinese)
[3]杜修力, 金浏. 含孔隙混凝土复合材料有效力学性能研究[J]. 工程力学, 2012, 29(06): 70―77.Du Xiuli, Jin Liu. Research on effective mechanical properties of concrete composite material with pores [J].Engineering Mechanics, 2012, 29 (06): 70―77. (in Chinese)
[4]Hoseini M, Bindiganavile V, Banthia N. The effect of mechanical stress on permeability of concrete: A review[J]. Cement and Concrete Composites, 2009, 31(4):213―220.
[5]刘洪珠, 赵铁军, 曹承伟, 等. 轴压荷载作用对混凝土微裂缝和渗透性影响研究[J]. 混凝土, 2016(3): 1―4.Liu Hongzhu, Zhao Tiejun, Cao Chengwei, et al.Research on the micro-crack and permeability of concrete under axial compressive load [J]. Concrete,2016(3): 1―4. (in Chinese)
[6]李琴琴. 碳化-荷载耦合作用下混凝土微结构的研究[D]. 南京: 东南大学, 2012.Li Qinqin. Investigation on microstrucmre of concrete under carbonation and coupling action of load and carbonation [D]. Nanjing: Southeast University, 2012. (in Chinese)
[7]姜福香, 朱方之, 赵铁军. 动静轴拉荷载损伤对混凝土孔隙率的影响及其自愈合效果研究[J]. 公路交通科技, 2012, 29(1): 64―69.Jiang Fuxiang, Zhu Fangzhi, Zhao Tiejun. Influence of static and dynamic uniaxial tensile load induced damage on porosity of concrete and the effect of self-healing [J].Journal of Highway and Transportation Research and Development, 2012, 29(1): 64―69. (in Chinese)
[8]张平, 王曙光, 韩建德, 等. 静力荷载作用下混凝土抗碳化性能及微观结构演化[J]. 混凝土, 2017(10): 45-51.Zhang Ping, Wang Shuguang, Han Jiande, et al.Carbonation resistance and microstructure evolution of concrete under static load test [J]. Concrete, 2017(10):45―51. (in Chinese)
[9]Aldea C M, Shah S P, Karr A. Effect of Cracking on Water and Chloride Permeability of Concrete [J]. Journal of Materials in Civil Engineering, 1999, 11(3): 181―187.
[10]Aldea C M, Shah S P, Karr A. Permeability of cracked concrete [J]. Materials & Structures, 1999, 32(5): 370―376.
[11]Wang K, Jansen D C, Shah S P, et al. Permeability study of cracked concrete [J]. Cement and Concrete Research,1997, 27(3): 381―393.
[12]Lim C C, Gowripalan N, Sirivivatnanon V. Microcracking and chloride permeability of concrete under uniaxial compression [J]. Cement & Concrete Composites, 2000,22(5): 353―360.
[13]Hoseini M, Bindiganavile V, Banthia N. The effect of mechanical stress on permeability of concrete: A review[J]. Cement and Concrete Composites, 2009, 31(4):213―220.
[14]方永浩, 李志清, 张亦涛. 持续压荷载作用下混凝土的渗透性[J]. 硅酸盐学报, 2005, 33(10): 106―111.Fang Yonghao, Li Zhiqing, Zhang Yitao. Permeability of concrete under sustained compressive load [J]. Journal of the Chinese Ceramic Society, 2005, 33(10): 106―111.(in Chinese)
[15]Gérard B, Breysse D, Ammouche A, et al. Cracking and permeability of concrete under tension [J]. Materials and Structures, 1996, 29(3): 141―151.
[16]Picandet V, Khelidj A, Bastian G. Effect of axial compressive damage on gas permeability of ordinary and high-performance concrete [J]. Cement and Concrete Research, 2001, 31(11): 1525―1532.
[17]王中平, 吴科如, 阮世光. 单轴压缩作用对混凝土气体渗透性的影响[J]. 建筑材料学报, 2001, 4(2): 127―131.Wang Zhongping, Wu Keru, Ruan Shiguang. Study of gas permeability of concrete under uniaxial compression[J]. Journal of Building Materials, 2001, 4(2): 127―131.(in Chinese)
[18]Papadakis V G. Fundamental modeling and experimental investigation of concrete carbonation [J]. ACI Material Journal, 1991, 88(4): 363―373.
[19]Castel A, François R, Arliguie G. Effect of loading on carbonation penetration in reinforced concrete elements[J]. Cement and Concrete Research, 1999, 29(4): 561―565.
[20]袁承斌, 张德峰, 刘荣桂, 等. 混凝土在不同应力状态下的碳化[J]. 建筑结构, 2004, 34(4): 32―34.Yuan Chengbin, Zhang Defeng, Liu Ronggui, et al.Carbonization of concrete under different stress states [J].Building Structure, 2004, 34(4): 32―34. (in Chinese)
[21]涂永明, 吕志涛. 应力状态下混凝土的碳化试验研究[J]. 东南大学学报(自然科学版), 2003, 33(5): 573―576.Tu YongMing, Lv ZhiTao. Experiment and research of presteressed concrete structure in carbonation corrosive environments [J]. Journal of Southeast University(Natural Science Edition), 2003, 33(5): 573―576. (in Chinese)
[22]杨林德, 潘洪科, 祝彦知, 等. 多因素作用下混凝土抗碳化性能的试验研究[J]. 建筑材料学报, 2008, 11(3):345―348.Yang Linde, Pan Hongke, Zhu Yanzhi, et al.Experimental study of concrete's carbonization resistance under combined action of factors [J]. Journal of Building Materials, 2008, 11(3): 345―348. (in Chinese)
[23]金祖权, 孙伟, 张云升, 等. 荷载作用下混凝土的碳化深度[J]. 建筑材料学报, 2005, 8(2): 179―183.Jin Zuquan, Sun Wei, Zhang Yunsheng, et al. Study on carbonation of concrete under loading [J]. Journal of Building Materials, 2005, 8(2): 179―183. (in Chinese)
[24]牛荻涛. 混凝土结构耐久性与寿命预测[M]. 北京: 科学出版社, 2003.Niu Ditao. Durability and life prediction of concrete structure [M]. Beijing: Science Press, 2003. (in Chinese)
[25]黄可信, 吴兴祖, 蒋仁敏, 等. 钢筋混凝土结构中钢筋腐蚀与保护[M]. 北京: 中国建筑工业出版社, 1983:78―91.Huang Kexin, Wu Xingzu, Jiang Renmin, et al.Corrosion and protection of steel bar in reinforced concrete structure [M]. Beijing: China Architecture Industry Press, 1983: 78―91. (in Chinese)
[26]朱安民. 混凝土碳化与钢筋混凝土耐久性[J]. 混凝土,1992(6): 18―22.Zhu Anming. Carbonization of concrete and durability of reinforced concrete[J]. Concrete, 1992(6): 18―22. (in Chinese)
[27]龚洛书, 柳春圃. 混凝土的耐久性及其防护修补[M].北京: 中国建筑工业出版社, 1990: 23―35.Gong Luoshu, Liu Chupu. Durability and protective repair of concrete [M]. Beijing: China Architecture Industry Press, 1990: 23―35. (in Chinese)
[28]邸小坛, 周燕. 混凝土碳化规律的研究[C]//第四届全国混凝土耐久性学术交流会. 苏州: 中国土木工程学会混凝土及预应力混凝土分会, 1996: 193―198.Di Xiaotan, ZhouYan. Study on the law of concrete carbonization [C]// Fourth National Symposium on Concrete Durability Academic Symposiums. Suzhou:Concrete and Prestressed Concrete Branch of China Civil Engineering Society, 1996: 193―198. (in Chinese)
[29]李立, 黄士元. 混凝土碳化的预测[J]. 混凝土与水泥制品, 1988(3): 5―8.Li Li, Huang Shiyuan. Prediction of carbonization of concrete [J]. China Concrete and Cement Products,1988(3): 5―8. (in Chinese)
[30]张誉, 蒋利学. 基于碳化机理的混凝土碳化深度实用数学模型[J]. 工业建筑, 1998, 28(1): 16―19.Zhang Yu, Jiang Lixue. A practical mathematical model of concrete carbonation depth based on the mechanism[J]. Industrial Construction, 1998, 28(1): 16―19. (in Chinese)
[31]牛荻涛, 董振平. 预测混凝土碳化深度的随机模型[J].工业建筑, 1999, 29(9): 41―45.Niu Ditao Dong Zhenping Pu Yuxiu. Random model of predicting the carbonated concrete depth [J]. Industrial Construction, 1999, 29(9): 41―45. (in Chinese)
[32]Tanaka K, Jeon J H, Nawa T, et al. Effect of fatigue by flexure on pore structure and carbonation of concrete and mortar [J]. Journal of Structural & Construction Engineering, 2000, 65(538): 15―19.
[33]周艳霞, 牛荻涛, 苗元耀, 等. 疲劳损伤混凝土碳化试验研究[J]. 工业建筑, 2016, 46(8): 123―126.Zhou Yanxia, Niu Ditao, Miao Yuanyao, et al. An experimental study of carbonation of concrete under flexural fatigue [J]. Industrial Construction, 2016, 46(8):123―126. (in Chinese)
[34]蒋金洋, 孙伟, 金祖权, 等. 疲劳载荷与碳化耦合作用下结构混凝土寿命预测[J]. 建筑材料学报, 2010,13(3): 304―309.Jiang Jinyang, Sun Wei, Jin Zuquan, et al. Service life prediction of structural concrete under coupled interactions of fatigue loading and carbonation factor [J].Journal of Building Materials, 2010, 13(3): 304―309.(in Chinese)
[35]Jiang C, Gu X, Zhang W, et al. Modeling of carbonation in tensile zone of plain concrete beams damaged by cyclic loading [J]. Construction and Building Materials,2015, 77: 479―488.
[36]胡晓波. 酸雨侵蚀混凝土的试验模拟分析[J]. 硅酸盐学报, 2008, 36(增刊1): 147―152.Hu Xiaobo. Analysis for simulation test on acid rain attacking concrete [J]. Journal of the Chinese Ceramic Society, 2008, 36(Suppl1): 147―152. (in Chinese)
[37]谢绍东, 周定, 岳奇贤, 等. 模拟酸雨对混凝土影响的研究[J]. 环境科学, 1995, 16(5): 22―26.Xie Shaodong, Zhou Ding, Zhou Qixian, et al. Study on the effect of simulated acid rain on concrete [J].Environmental Science, 1995, 16(5): 22―26. (in Chinese)
[38]张虎元, 高全全, 董兴玲, 等. 酸雨对混凝土的类碳化作用[J]. 混凝土, 2008(2): 12―14.Zhang Huyuan, Gao Quanquan, Dong Xingling, et al.Pseudo-carbonization of concrete by acid rain [J].Concrete, 2008(2): 12―14. (in Chinese)
[39]刘惠玲, 周定, 谢绍东. 我国西南地区酸雨对混凝土性能影响的研究[J]. 哈尔滨工业大学学报, 1997,29(6): 101―104.Liu Huiling, Zhou Ding, Xie Shaodong. Study on the Influence of Acid Rain on Concrete Performance in Southwest China [J]. Journal of Harbin Institute of Technology, 1997, 29(6): 101―104. (in Chinese)
[40]牛荻涛, 周浩爽, 牛建刚. 承载混凝土酸雨侵蚀中性化试验研究[J]. 硅酸盐通报, 2009, 28(3): 411―415.Niu Ditao, Zhou Haoshuang, Niu Jiangang. Investigation of neutralization of concrete under loads by accelerated acid rain test [J]. Bulletin of the Chinese Ceramic Society, 2009, 28(3): 411―415. (in Chinese)
[41]王艳, 牛荻涛, 宋占平. 弯曲荷载与酸雨侵蚀共同作用下钢纤维混凝土的耐久性能[J]. 材料导报, 2014,28(24): 120―124.Wang Yan, Niu Ditao, Song Zhanping. Durability of steel fiber reinforced concrete under combined effect of flexural loading and acid rain erosion [J]. Materials Review, 2014, 28(24): 120―124. (in Chinese)
[42]Mehta P K, Monteiro P. Concrete: Structure, Properties and materials [M]. Prentice-Hall, 2013: 499.
[43]余红发, 孙伟. 混凝土氯离子扩散理论模型[J]. 东南大学学报(自然科学版), 2006, 36(增刊2): 68―76.Yu Hongfa, Sun wei. Model research on chloride ion diffusion in concretes [J]. Journal of Southeast University(Natural Science Edition), 2006, 36(Suppl2): 68―76. (in Chinese)
[44]Collepardi M, Marcialis A, Turriziani R. Penetration of chloride ions into cement pastes and concretes [J].Journal of the American Ceramic Society, 1972, 55(10):534―535.
[45]Samaha H R, Hover K C. Influence of microcracking on the mass transport properties of concrete [J]. ACI Materials Journal. 1992, 89(4): 416―424.
[46]金伟良, 王毅. 持续荷载与氯盐作用下钢筋混凝土梁力学性能试验[J]. 浙江大学学报(工学版), 2014, 48(2):221―227.Jin Weiliang, Wang Yi. Experimental study on mechanics behaviors of reinforced concrete beams under simultaneous chloride attacks and sustained load [J].Journal of Zhejiang University (Engineering Science),2014, 48(2): 221―227. (in Chinese)
[47]杜修力, 金浏, 张仁波. 压缩荷载作用下混凝土中氯离子扩散行为细观模拟[J]. 建筑材料学报, 2016,19(1): 65―71.Du Xiuli, Jin Liu, Zhang Renbo, Meso-scale simulation of chloride diffusivity in concrete subjected to compressive stress [J]. Journal of Building Materials,2016, 19(1): 65―71. (in Chinese)
[48]Francois R, Maso J C. Effect of damage in reinforced concrete on carbonation or chloride penetration [J].Cement & Concrete Research, 1988, 18(6): 961―970.
[49]Castel A, Francy O, Francois R, et al. Chloride diffusion in reinforced concrete beam under sustained loading [C].Farmington Hills: American Concrete Institute, 2001:647―661.
[50]Gowripalan N, Sirivivatnanon V, Lim C C. Chloride diffusivity of concrete cracked in flexure [J]. Cement and Concrete Research, 2000, 30(5): 725―730.
[51]赵尚传, 贡金鑫, 水金锋. 弯曲荷载作用下水位变动区域混凝土中氯离子扩散规律试验[J]. 中国公路学报,2007, 20(04): 76―82.Zhao Shangchuan, Gong Jinxin, Shui Jinfeng. Test of chloride diffusion rules in concrete at tidal zone under flexural load [J]. China Journal of Highway and Transport, 2007, 20(04): 76―82. (in Chinese)
[52]邢锋, 冷发光, 冯乃谦, 等. 长期持续荷载对素混凝土氯离子渗透性的影响[J]. 混凝土, 2004(5): 3―8.Xing Feng, Leng Faguang, Feng Naiqian, et al. The influence of long-term sustaining load on the permeability of plain concrete to chloride ion [J].Concrete, 2004(5): 3―8. (in Chinese)
[53]何世钦, 贡金鑫. 弯曲荷载作用对混凝土中氯离子扩散的影响[J]. 建筑材料学报, 2005, 8(2): 134―138.He Shiqin, Gong Jinxin. Influence of flexural loading on permeability of chloride ion in concrete [J]. Journal of Building Materials, 2005, 8(2): 134―138. (in Chinese)
[54]袁承斌, 张德峰, 刘荣桂, 等. 不同应力状态下混凝土抗氯离子侵蚀的研究[J]. 河海大学学报(自然科学版),2003, 31(1): 50―54.Yuan Chengbin, Zhang Defeng, Liu Ronggui, et al.Diffusivity of chloride in concrete in different stress states [J]. Journal of Hohai University (Natural Science Edition), 2003, 31(1): 50―54. (in Chinese)
[55]涂永明, 吕志涛. 应力状态下混凝土结构的盐雾侵蚀试验研究[J]. 工业建筑, 2004, 34(5): 1―3, 10.Tu Yongming, Lv Zhitao. The experimental research on prestressed concrete structure under salt fog corrosion environment [J]. Industrial Construction, 2004, 34(5):1―3, 10. (in Chinese)
[56]Saito M, Ishimori H. Chloride permeability of concrete under static and repeated compressive loading [J]. コンクリート工学年次論文報告集, 1995, 19(4): 803―808.
[57]Nakhi A E, Xi Y, Willam K, et al. The effect of fatigue loading on chloride penetration in non-saturated concrete[C]. Barcelona, Spain: ECCOMAS, 2000: 1―8.
[58]Gontar W A, Martin J P, Popovics J S. Effects of cyclic loading on chloride permeability of plain concrete [C].Austin: American Society of Civil Engineering, 2000,302: 95―109.
[59]Tran V M, Stitmannaithum B, Nawa T. Prediction of chloride diffusion coefficient of concrete under flexural cyclic load [J]. Computers & Concrete, 2011, 8(3):343―355.
[60]Wang C, Sun W, Jing J, et al. The Transport Properties of Concrete under the Simultaneous Coupling of Fatigue Load and Environment Factors [J]. Journal of Wuhan University of Technology (Materials Science Edition),2012, 27(01): 181―186.
[61]苏林王, 蔡健, 刘培鸽, 等. 盐雾环境与交变荷载下混凝土梁的试验研究[J]. 华南理工大学学报(自然科学版), 2017, 45(05): 97―104.Su Linwang, Cai Jian, Liu Peige, et al. Experimental investigation into RC beam under the action of alternating load in salt-spray environment [J]. Journal of South China University of Technology (Natural Science Edition), 2017, 45(5): 97―104. (in Chinese)
[62]孙伟, 蒋金洋, 王晶, 等. 弯曲疲劳载荷作用下 HPC和 HPFRCC抗氯离子扩散性能研究[J]. 中国材料进展, 2009, 28(11): 19―25.Sun Wei, Jiang Jinyang, Wang Jing, et al. Resistance to chloride ion diffusion of HPC and HPFRCC under bending fatigue load [J]. Materials China, 2009(11):19―25. (in Chinese)
[63]蒋金洋, 孙伟, 王晶, 等. 弯曲疲劳载荷作用下结构混凝土抗氯离子扩散性能[J]. 东南大学学报(自然科学版), 2010, 40(2): 362―366.Jiang Jinyang, Sun Wei, Wang Jing, et al. Resistance to chloride ion diffusion of structural concrete under bending fatigue load [J]. Journal of Southeast University(Natural Science Edition), 2010, 40(2): 362―366. (in Chinese)
[64]牛荻涛, 陆炫毅, 苗元耀, 等. 盐雾环境下疲劳损伤混凝土氯离子扩散性能[J]. 西安建筑科技大学学报(自然科学版), 2015, 47(5): 617―620.Niu Ditao, Lu Xuanyi, Miao Yuanyao, et al. Diffusion of chloride ions into fatigue-damaged concrete in salt spray environment Journal of Xi'an university of architecture & technology (Natural Science Edition), 2015, 47(5):617―620. (in Chinese)
[65]冯乃谦, 邢锋, 刘崇熙. 混凝土与混凝土结构的耐久性[M]. 北京: 机械工业出版社, 2009: 248―270.Feng Naiqian, Xing Feng. Durability of concrete and concrete structure [M]. Beijing: Mechanical Industry Press, 2009: 248―270. (in Chinese)
[66]张誉, 蒋利学, 张伟平, 等. 混凝土结构耐久性概论[M]. 上海: 上海科学技术出版社, 2003: 132―135.Zhang Yu, Jiang Lixue, Zhang Weiping, et al. Durability of concrete structures [M]. Shanghai:Shanghai Scientific & Technical Publishers, 2003: 132―135. (in Chinese)
[67]Živica V, Szabo V. The behaviour of cement composite under compression load at sulphate attack [J]. Cement and Concrete Research, 1994, 24(8): 1475―1484.
[68]Piasta W G, Schneider U. The behaviour of concrete under Na2SO4solution attack and sustained compression or bending [J]. Magazine of Concrete Research, 1991,43(157): 281―289.
[69]薛耀东, 曹怀建, 李清, 等. 不同应力状态下混凝土硫酸盐侵蚀试验研究[J]. 施工技术, 2014, 43(增刊 2):299―302.Xue Yaodong, Cao Huaijian, Li Qing, et al. Experiment research on concrete with different prestress corroded by sulfate [J]. Construction Technology, 2014, 43(Suppl2):299―302. (in Chinese)
[70]Yang D, Luo J. The damage of concrete under flexural loading and salt solution [J]. Construction and Building Materials, 2012, 36: 129―134.
[71]Gao J, Yu Z, Song L, et al. Durability of concrete exposed to sulfate attack under flexural loading and drying-wetting cycles [J]. Construction and Building Materials, 2013, 39: 33―38.
[72]Jin Z, Sun W, Jiang J, et al. Damage of concrete attacked by sulfate and sustained loading [J]. Journal of Southeast University (English Edition), 2008, 24(1): 69―73.
[73]慕儒, 孙伟, 缪昌文. 荷载作用下高强混凝土的硫酸盐侵蚀[J]. 工业建筑, 1999, 29(8): 54―57.Mu Ru, Sun Wei, Miao Changwen. Sulphate attack of high strength concrete on the action of pre-loading [J].Industrial Construction, 1999, 29(8): 54―57. (in Chinese)
[74]李金玉, 林莉, 曹建国, 等. 高浓度和应力状态下混凝土硫酸盐侵蚀性的研究[C]. 大连: 中国土木工程学会, 2000: 281―290.Li Jinyu, Lin Li, Cao Jianguo, et al. Study on high concentration sulfate attack of stress concrete [C]. Fifth National Symposium on Concrete Durability of Concrete. Dalian: China Civil Engineering Society, 2000:281―290. (in Chinese)
[75]Atkinson A, Hearne J A. Mechanistic model for the durability of concrete barriers exposed to sulfate-bearing groundwaters [C]. Pittsburgh: Materials Research Society, 1990, 176: 149―156.
[76]Clifton J R. Predicting the service life of concrete [J].ACI Materials Journal. 1993, 90(6): 611―617.
[77]Schneider U, Chen S W. Modeling and empirical formulas for chemical corrosion and stress corrosion of cementitious materials [J]. Materials & Structures, 1998,31(10): 662―668.
[78]钟海明. 荷载—干湿循环作用下混凝土抗硫酸盐侵蚀性能研究[D]. 广州: 广州大学, 2012.Zhong Haiming. Study on the performance of concrete resistance to sulfate attack under combined cyclic environments and flexural loading [D]. Guangzhou:Guangzhou University, 2012. (in Chinese)
[79]陈拴发, 郑木莲, 王秉纲. 粉煤灰混凝土应力腐蚀特性试验研究[J]. 中国公路学报, 2005, 18(03): 14―17.Chen Shuanfa, Zheng Mulian, Wang Binggang.Experimental research on stress corrosion character of fly-ash-cement concrete [J]. China Journal of Highway and Transport, 2005, 18(03): 14―17.
[80]李培荣. 疲劳荷载与硫酸盐腐蚀耦合作用下道路水泥混凝土劣化研究[J]. 公路, 2016(11): 41―46.Li Peirong. Research on the damage of road concrete subjected to the coupling effect of fatigue load and sulfate corrosion [J]. Highway, 2016(11): 41―46. (in Chinese)
[81]关博文, 於德美, 马慧, 等. 疲劳荷载作用下道路混凝土硫酸盐侵蚀及防护[J]. 表面技术, 2016, 45(3): 127―133.Guan Bowen, Yu Demei, Ma Hui, et al. Sulfate corrosion and corrosion protection of road concrete under fatigue load [J]. Surface Technology, 2016, 45(3): 127―133. (in Chinese)
[82]陈拴发, 李华平, 李祖仲, 等. 交变荷载对硫酸盐侵蚀混凝土速率影响研究[J]. 武汉理工大学学报, 2011,33(6): 44―49.Chen Shuanfa, Li Huaping, Li Zuzhong, et al. Study on the influence of alternation loading to the speed of sulfate corrosion concretes [J]. Journal of Wuhan University of Technology, 2011, 33(6): 44―49. (in Chinese)
[83]关博文. 交变荷载与硫酸盐腐蚀作用下水泥混凝土疲劳损伤机制[D]. 长安: 长安大学, 2012.Guan Bowen. Study on the fatigue damage of cement concrete subjected to sulfate corrosion and alternating stresses [D]. Chang’an: Chang’an University, 2012. (in Chinese)
[84]Power T C. A working hypothesis for further studies of frost resistance of concrete [J]. Journal of ACI, 1945,16(4): 245―272.
[85]Powers T C. The air requirement of frost-resistant concrete [C]. Washington, D. C.: Highway Research Board, 1949: 184―211.
[86]Powers T C, Helmuth R A. Theory of volume changes in hardened Portland cement pastes during freezing [C].Washington, D. C.: Highway Research Board, 1953:285―297.
[87]Collins A R. The destruction of concrete by frost [J].Journal of the Institution of Civil Engineers, 1944, 23(1):29―41.
[88]Fgaerlund G. Significance of critical degrees of saturation at freezing of porous and brittle materials [C]/.Detroit: American Concrete Institute, 1975: 13―65.
[89]Litvan G G. Frost action in cement paste [J]. Matériaux Et Construction, 1973, 6(4): 293―298.
[90]Sun W, Zhang Y M, Yan H D, et al. Damage and its restraint of concrete with different strength grades under double damage factors [J]. Cement and Concrete Composites, 1999, 21(5): 439―442.
[91]Sun W, Zhang Y M, Yan H D, et al. Damage and damage resistance of high strength concrete under the action of load and freeze-thaw cycles [J]. Cement and Concrete Research, 1999, 29(9): 1519―1523.
[92]余红发, 孙伟, 李美丹. 荷载对混凝土在腐蚀-冻融作用下强度的影响[J]. 哈尔滨工业大学学报, 2010,42(2): 297―301.Yu Hongfa, Sun Wei, Li Meidan. Effect of flexural stress on strength development of concrete subjected to combined actions of freezing-thawing cycles and chemical attack [J]. Journal of Harbin Institute of Technology, 2010, 42(2): 297―301. (in Chinese)
[93]慕儒. 冻融循环与外部弯曲应力、盐溶液复合作用下混凝土的耐久性与寿命预测[D]. 南京: 东南大学,2000.Mu Ru. Durability and service life prediction of concrete subjected to the combined action of freezing-thawing,sustained external flexural stress and salt solution [D].Nanjing: Southeast University, 2000. (in Chinese)
[94]曹银, 王玲, 王振地, 等. 弯拉荷载-冻融循环-氯盐侵蚀作用下混凝土的劣化[J]. 建筑材料学报, 2016,19(5): 821―825.Cao Yin, Wang Ling, Wang Zhendi, et al. Deterioration of concrete caused by freeze-thaw cycles combined with chloride attack under flexural load [J]. Journal of Architectural Structure, 2016, 19(5): 821―825. (in Chinese)
[95]刁波, 孙洋, 马彬. 混合侵蚀和冻融交替作用下持续承载钢筋混凝土梁试验[J]. 建筑结构学报, 2009(增刊2): 281―286.Diao Bo, Sun Yang, Ma Bin. Experiment of persistent loading reinforced concrete beams under alternative action sofa mixed aggressive solution and freeze-thaw cycles [J]. Journal of Architectural Structure,2009(Suppl2): 281―286. (in Chinese)
[96]黄鹏飞, 包亦望, 姚燕. 在盐冻循环、钢锈与弯曲荷载协同作用下钢筋混凝土的损伤失效研究[J]. 工业建筑,2005, 35(5): 63―67.Huang Pengfei, Bao Yiwang, Yao Yan. Damages of reinforced concrete under synergistic effects of cyclic freeze-thaw, deicing-salt attack, rebar corrosion and bending load [J]. Industrial Construction, 2005, 35(5):63―67. (in Chinese)
[97]黄鹏飞. 钢筋混凝土在环境腐蚀与弯曲荷载协同作用下的损伤失效研究[D]. 北京: 中国建筑材料科学研究院, 2004.Huang Pengfei. Study on damage and failure of reinforced concrete under the combined action of environmental corrosion and bending load [D]. Beijing:China Academy of Building Materials Science, 2004. (in Chinese)
[98]朱江. 预应力混凝土梁在冻融循环后的受力性能研究[D]. 扬州: 扬州大学, 2006.Zhu Jiang. Study on mechanical properties of prestressed concrete beams after freeze-thaw cycles [D]. Yangzhou:Yangzhou University, 2006. (in Chinese)
[99]严安, 李启令, 吴科如. 高性能混凝土在荷载作用下的冻融性能及其可靠性分析[J]. 混凝土与水泥制品,2000(3): 3―6.Yan An, Li Qiling, Wu Keru. Freeze-thaw performance and reliability analysis of high performance concrete under load [J]. China Concerete and Cement Products,2000(3): 3―6. (in Chinese)
[100]Trottier J F, Forgeron D. Cumulative effects of flexural fatigue loading and freezing and thawing cycles on the flexural toughness of fiber reinforced concrete [C].Canada: Routledge Press, 2001: 18―20.
[101]Forgeron D P, Trottier J F. Evaluating the effects of combined freezing and thawing and flexural fatigue loading cycles on the fracture properties of FRC [M]//Brebbia, C A, De Wilde, W P. High Performance Structures and Materials II. Southampton: WIT Press,2004: 177―187.
[102]Lappa E S. High strength fiber reinforced concrete static and fatigue behavior in bending [D]. Netherlands:Technique University Delft, 2007.
[103]李文婷. 疲劳荷载与冻融循环在混凝土损伤劣化过程中的耦合作用规律与机理[D]. 南京: 东南大学, 2012.Li Wenting. The coupling law and mechanism of fatigue load and freeze-thaw cycle in damage deterioration of concrete [D]. Nanjing: Southeast University, 2012. (in Chinese)
[104]Hasan M, Okuyama H, Sato Y, et al. Stress-strain model of concrete damaged by freezing and thawing cycles [J].Journal of Advanced Concrete Technology, 2004, 2(1):89―99.
[105]Hasan M, Ueda T, Sato Y. Stress-strain relationship of frost-damaged concrete subjected to fatigue loading [J].Journal of Materials in Civil Engineering, 2008, 20(1):37―45.
[106]刘荣桂, 刘涛, 周伟玲, 等. 受疲劳荷载作用后的预应力混凝土构件冻融循环试验与损伤模型[J]. 南京工业大学学报(自然科学版), 2011, 33(3): 22―27.Liu Ronggui, Liu Tao, Zhou Weiling, et al. Freeze-thaw cycle test and damage mechanics model of PC members after fatigue loads [J]. Journal of Nanjing University of Technology (Natural Science Edition), 2011, 33(3): 22―27. (in Chinese)
RESEARCH PROGRESS ON DURABILITY OF STRESSED CONCRETE UNDER ENVIRONMENTAL ACTIONS