锈蚀是影响钢结构耐久性的主要原因之一。锈蚀会造成钢材力学性能降低;削弱构件有效截面面积;形成锈坑,引起应力集中,进而导致钢结构构件和整体结构的抗震性能出现不同程度的劣化[1-4]。近海大气环境,由于相对湿度大、氯离子浓度高及干湿循环效应明显等特点,加快了钢材腐蚀速率,从而严重降低了钢结构建筑物的安全使用寿命[5-6]。若结构受到腐蚀且处于高烈度地震区,其腐蚀后的抗震性能更是一个亟待解决的问题。而我国目前对近海大气环境下锈蚀钢结构抗震性能的研究大多集中在材料范畴及理论研究上,构件和结构层面上的试验研究相对较少。
另外,恢复力模型是是进行结构弹塑性地震反应分析的重要基础[7]。近年来,国内外对钢结构构件的恢复力模型研究颇多[8-10],却鲜有涉及锈蚀钢构件的恢复力模型研究。由于锈蚀损伤会引起构件的承载能力及变形能力降低,加速强度、刚度循环退化效应,导致锈蚀构件与未锈蚀构件的滞回曲线存在显著差异。因此,为了更为真实的反应锈蚀构件的滞回性能,并准确进行既有结构的地震响应分析,有必要建立考虑锈蚀影响的钢结构构件恢复力模型。
鉴于此,本文采用人工气候环境试验技术模拟近海大气环境,对5根钢框架梁进行加速腐蚀,并对腐蚀后试件进行了低周往复加载试验,研究了不同锈蚀程度对钢框架梁破坏模式、滞回曲线、强度和刚度退化曲线、延性及耗能能力等抗震性能指标的影响。并在试验研究的基础上,建立了能够反应强度、刚度循环退化效应的锈蚀钢框架梁恢复力模型,为在役钢框架结构非线性地震反应分析提供了理论支持。
人工气候环境能够模拟自然环境的气候作用过程,并强化气候因素的老化作用,以达到与自然环境相同的钢材锈蚀电化学机理和加速锈蚀的目的[11]。因此,本文利用人工气候环境试验技术模拟近海大气环境;试验在西安建筑科技大学结构耐久性试验室进行,采用ZHT/W2300气候模拟实验系统。
依据《人造气氛锈蚀试验-盐雾试验》GB/T 10125-2012[12]规定的中性盐雾试验条件,对该系统进行参数设定以模拟近海大气环境并加速试件锈蚀,见表1。
表1 近海大气环境模拟试验条件
Table 1 Simulation test conditions for offshore atmospheric environment

参数 试验条件试验温度 35℃±2℃试验湿度 ≥95%氯化钠溶液 50 g/L±5 g/L pH 6.5~7.2喷雾方式 喷雾5min,间隔5min盐雾沉降量 1 mL ~2 mL/(80 cm2·h)
为了研究锈蚀钢框架梁的抗震性能,参考现行规范和规程,并结合实际工程常规尺寸及试验室条件,本文设计了5榀1∶2比例的钢框架梁试件。试件全部选用国标热轧 H型钢,截面规格为:HN300×150×6.5×9,材质均为 Q235B。在框架结构中,当侧向水平荷载作用时,梁反弯点可看作转动的铰,故取节点至梁上反弯点这段长度为对象来研究钢框架梁的力学性能;并在试件底端设置相对刚度较大的支座梁。试件详细尺寸如图1所示。

图1 试件详细尺寸
Fig.1 Specimen size
以加速锈蚀时间作为研究参数,并采用失重率进行量化,试件设计参数见表 2。依据《钢及钢产品力学性能试验取样位置及试样制备》GB/T 2975-1998与《金属材料室温拉伸试验方法》GB/T 228-2002,从与试验用钢框架梁试件同一批次的钢材上切取标准试件,并进行加速腐蚀及拉伸试验,钢材实测力学性能结果见表 3。其中,钢材失重率定义为:
式中,W0、W1分别为试件锈蚀前和锈蚀后的质量。
表2 试件设计参数
Table 2 Design parameters of specimens

试件编号 截面规格/mm 锈蚀时间/h 失重率DW/(%)B-1 HN300×150×6.5×9 0 0 B-2 HN300×150×6.5×9 480 2.11 B-3 HN300×150×6.5×9 960 4.30 B-4 HN300×150×6.5×9 1920 7.50 B-5 HN300×150×6.5×9 2880 11.28
表3 钢材力学性能
Table 3 Mechanical properties of steel

注:力学性能指标均为两个标准试件试验结果的平均值。
板厚/ 锈蚀时间/ 失重率/ 屈服应力 极限应力 伸长率 弹性模量mm h (%)fy/MPafu/mmδ/mmE/MPa 0 0 335.23 482.34 27.68 206386 6.5 240 1.32 330.54 487.04 27.38 206126 480 2.54 332.86 478.23 25.54 205003 960 5.15 320.13 459.47 26.00 199548 1440 6.99 309.52 449.45 24.69 198368 1920 8.99 308.39 441.40 24.02 190684 2400 11.35 303.17 439.30 23.79 186684 2880 13.51 291.66 419.50 22.45 178984 0 0 341.38 495.96 26.09 205881 9 240 0.93 344.23 489.69 25.86 204111 480 1.81 336.54 480.54 25.63 200684 960 3.72 330.58 476.97 24.89 199844 1440 5.02 324.84 474.57 24.12 192336 1920 6.49 322.16 458.92 23.81 191558 2400 8.24 322.33 454.68 22.35 188955 2880 9.76 311.94 447.94 21.30 185684
试验采用悬臂梁式加载方案,低周往复加载装置如图2所示。梁端采用30 t MTS电液伺服作动器施加水平往复荷载,梁底通过压梁及地脚螺栓固定于刚性地面上。同时,在试件两侧加设侧向支撑以防止加载过程中试件发生平面外失稳。

图2 试验加载装置
Fig.2 Test loading device
水平加载采用美国《钢结构抗震规范》(ANSI/AISC 341-10)[13]位移加载制度,如图3所示。加载点位移角为0.375%、0.5%、0.75%时,每级往复循环 6次;加载点位移角为 1%时,往复循环 4次;之后加载点位移角每增加1%即循环2次,直至试件水平荷载下降至峰值荷载的 85%或出现明显破坏而无法承受竖向荷载时,停止加载。
试验钢框架梁的荷载-位移曲线由MTS系统自动采集,同时在梁底部翼缘及腹板上布置应变片以考察加载过程中塑性铰的发展规律。

图3 试验加载制度
Fig.3 Loading procedure
试件B-1~B-5破坏过程基本相似,在加载过程中均经历了弹性、弹塑性、塑性破坏三个阶段。加载初期,各试件处于弹性阶段,梁端荷载随位移呈正比例增加,试件各部位均为明显变化。当加载位移角θ为1%左右时,因不同程度的锈蚀损伤,各试件荷载-位移曲线相继出现转折,进入弹塑性阶段。当加载位移角θ为 2%~3%时,试件底端左、右翼缘出现轻微的局部屈曲,如图4(a)所示。当加载位移角θ为 3%~4%时,试件两侧翼缘局部屈曲现象明显,表现为梁一侧翼缘向内凹,另一侧向外凸出;腹板亦发生一定程度的鼓曲,见图4(b)。此时,梁底部塑性铰形成,并且水平荷载达到最大值。持续加载,试件塑性变形越来越大,而承载力开始下降,试件进入塑形破坏阶段。当加载位移角θ为5%~5.5%时,梁腹板根部焊缝在焊孔位置处出现细微裂纹,并向翼缘快速发展。当加载位移角为 6%时,受拉侧翼缘根部裂缝贯通,承载力急剧下降,试件宣告破坏。
不同之处在于:随着锈蚀程度的增加,相同位移幅值下,试件水平承载能力逐步降低;同时,试件底端翼缘屈曲、腹板鼓曲及塑性铰形成所对应的位移逐渐减小。反映出随着锈蚀程度的增加,试件延性降低的规律。各试件最终破坏形态如图 5(a)~图5(e)所示。

图4 试件破坏过程
Fig.4 Failure process of specimens

图5 试件破坏形态
Fig.5 Failure patterns of specimens
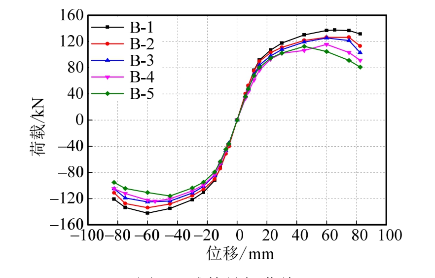
各试件荷载-位移滞回曲线如图6所示。从图6可以看出:
1) 各试件的滞回性能基本相同:屈服前,滞回曲线近似呈直线。屈服后至峰值荷载前,滞回曲线出现明显弯曲,滞回环面积逐渐增大,但此时试件塑形变形小,损伤较轻,试件承载力仍不断提高;且同一级位移水平下,试件强度、刚度随着循环次数的增加退化不明显,甚至因钢材循环硬化现象而有所提升。达到峰值荷载后,试件塑形变形充分发展,累积损伤不断增大,试件的强度、刚度随着位移幅值和循环次数的增加而明显降低,但滞回曲线仍呈饱满的梭形形状,并无捏拢现象,表明锈蚀试件仍具有较好的耗能能力。


图6 试件滞回曲线
Fig.6 Hysteresis curves of specimens
2) 随着锈蚀程度的增加,试件承载力及抗侧刚度逐渐降低;滞回曲线饱满程度和滞回环面积不断减小;强度、刚度退化现象逐步加重,表明试件的承载能力、变形能力及耗能能力均随锈蚀程度的增加而逐渐降低。
各试件骨架曲线如图7所示。由图7可知,加载初期,骨架曲线呈线性发展,表明试件处于弹性阶段;随着位移幅值的不断增大,骨架曲线开始弯曲,且逐步趋于平缓,表明试件进入弹塑性阶段,塑性变形越来越大导致试件抗侧刚度不断降低;达到峰值荷载后,试件塑性变形充分发展,抗侧刚度出现负值,试件进入破坏阶段。

图7 试件骨架曲线
Fig.7 Skeleton curves of specimens
同一试件正、负向骨架曲线并不完全对称,负向荷载略大,这主要是由于包辛格效应。同时,随着锈蚀程度增加,试件屈服平台变短,峰值荷载不断降低,下降段亦逐渐变陡,即试件最终破坏时的梁端水平位移逐渐减小,表明试件的承载力及延性随着锈蚀程度的增加而减小。
由骨架曲线进一步分析得到各试件实测特征值及位移延性系数,见表4。其中屈服点按截面边缘屈服确定,极限点由峰值荷载的85%所对应的点确定。
由表4可知,随着锈蚀程度的增加,试件各项力学性能均呈降低趋势。相比未锈蚀试件 B-1,锈蚀试件B-5的平均峰值荷载、平均极限位移及平均延性系数分别下降了18.31%、11.09%和2.27%。
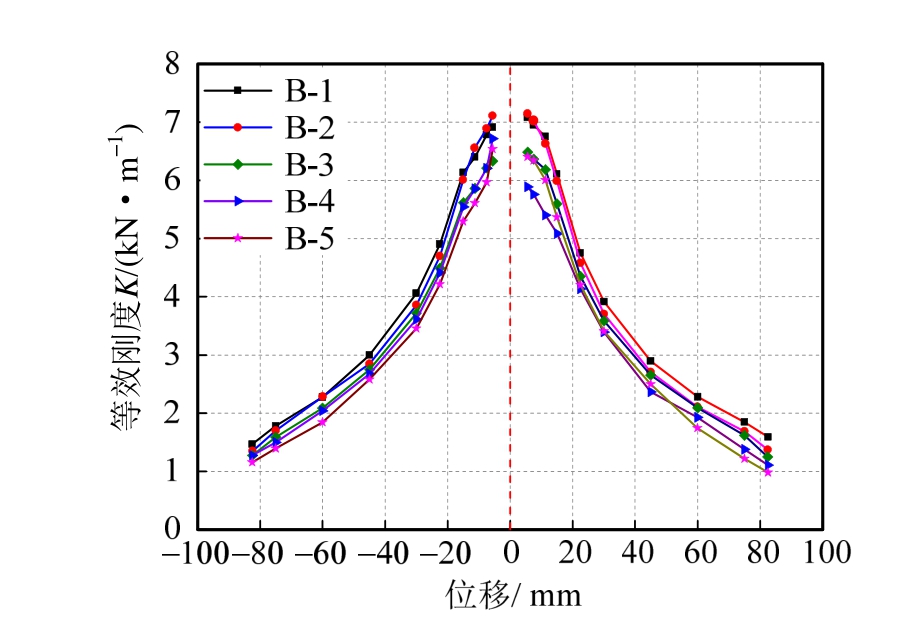
图8和图9分别给出了各试件的强度衰减曲线和等效刚度退化曲线。从图8可知,峰值荷载前,同一位移级幅值下的试件强度随着循环次数的增加无明显变化;峰值荷载后,同一位移幅值下的试件强度随着循环次数的增加显著降低,并且随着锈蚀程度的增加退化逐渐加快,表明锈蚀对构件下降段强度退化现象影响显著。

图8 试件强度衰减曲线
Fig.8 Intensity attenuation curves of specimens
表4 试件实测特征值及延性系数
Table 4 Experimental characteristic values and ductility coefficients of specimens

试件编号 屈服点 峰值点 极限点 延性系数µPy/kNΔy/mmPm/kNΔm/mmPu/kNΔu/mm正向 95.46 16.45 137.52 65.47 116.89 86.42 5.25 B-1负向 -100.07 -18.38 -142.21 -59.99 -120.88 -82.52 4.49均值 97.77 17.42 139.87 62.73 118.89 84.47 4.85 B-2 B-3 B-4 B-5正向 93.57 16.98 126.46 59.97 107.49 85.02 5.00负向 -94.64 -17.21 -136.95 -59.98 -116.41 -80.17 4.66均值 94.11 17.10 131.71 59.98 111.95 82.60 4.83正向 89.62 17.85 125.37 60.04 106.56 80.79 4.53负向 -86.68 -15.94 -125.04 -60.00 -106.28 -81.49 5.11均值 88.15 16.90 125.21 60.02 106.42 81.14 4.80正向 82.03 17.45 115.65 59.98 98.30 74.93 4.29负向 -83.76 -15.44 -124.01 -54.98 -105.41 -81.53 5.28均值 82.90 16.45 119.83 57.48 101.86 78.23 4.76正向 83.47 16.67 112.48 45.00 95.61 70.07 4.20负向 -79.47 -15.00 -116.03 -44.99 -98.63 -80.12 5.34均值 81.47 15.84 114.26 45.00 97.12 75.10 4.74

图9 等效刚度退化曲线
Fig.9 Equivalent stiffness degradation curves
从图9可知,各试件刚度退化趋势基本一致:锈蚀损伤造成试件初始刚度退化,并在后续加载过程中,加快刚度退化速率。这是由于锈蚀削弱了构件截面尺寸,使得塑性变形更为充分。
图10给出了各试件的累积耗能图。由图10可知,各试件累积耗能发展规律一致,呈指数函数递增。但随着锈蚀程度的增加,试件累积耗能逐渐降低;相比未锈蚀试件B-1,锈蚀试件B-2~B-5破坏时的累积耗能分别下降了 7.09%、10.65%、18.64%和21.93%。

图10 试件累积耗能图
Fig.10 Cumulative energy dissipation of specimens
恢复力模型是进行结构弹塑性地震反应分析的重要基础,主要包括骨架曲线和滞回规则两大部分[7]。根据试验结果可知,未锈蚀和锈蚀钢框架梁恢复力模型几何形状相似,但由于锈蚀损伤使得循环荷载作用下强度、刚度退化程度不同,进而导致模型相关参数有所差异。
根据试验骨架曲线的特征,本文采用三折线骨架曲线简化模型,并假定正、负向骨架曲线对称,如图11所示。其中,A点为构件截面边缘屈服点,B点为峰值点,C点为极限点。

图11 骨架曲线简化模型
Fig.11 Simplified model of skeleton curve
各特征点计算方法如下:
1) 屈服点。
以截面边缘屈服作为弹性极限计算梁底端弯矩Me,此时截面应力分布如图12(a)所示。

图12 截面应力分布图
Fig.12 Sectional stress distribution diagram
则试件屈服荷载为:
而梁端屈服位移可由材料力学推导为:

在试验过程中,支座梁出现的受力变形、滑动等现象均使得试件底端无法达到完全刚性要求,导致试件屈服时的实际位移大于理论位移,试验刚度偏低,故结合试验结果(表4)对屈服位移进行修正,取:
则弹性刚度为:

式中:Wn为H型钢梁截面模量;I为截面惯性矩;E为钢材弹性模量;fy为钢材实测屈服强度;L为钢梁长度。
同时,依据表4可拟合出考虑锈蚀影响的屈服荷载Py′及屈服位移yΔ′的表达式:

2) 峰值点。
以全截面屈服作为塑性极限计算梁底端弯矩
此时截面应力分布如图12(b)所示。
其中:
由于钢材存在硬化阶段,试验中最终弯矩必将超过Mp值,并且平截面假定不再成立,此时已很难从理论上推导峰值点弯矩Mmax,故结合试验结果(表4)取为:
则试件峰值荷载为:
式中:Wp为H型钢梁全塑性截面模量;B为H型钢截面宽度;H为截面高度;tf为翼缘板厚;tw为腹板厚度。
对表4试验结果进行统计分析,回归得到考虑锈蚀影响的峰值荷载Pm′ax的表达式:
并且得到峰值位移与屈服位移的比值随锈蚀率的变化关系式:

3) 极限点。
极限荷载可取峰值荷载的85%,即:
而依据表4可得极限位移与屈服位移的比值随锈蚀率的变化关系如下:

1) 循环退化指数。
为了有效体现锈蚀钢框架梁试件力学性能的循环退化效应,本文引入Rahnama和Krawinkle[14]提出的循环退化指数,即:

式中:c为循环退化速率(1≤c≤2),本文取值为3/2;
为第i次循环加载时试件耗散的能量
为第i次循环加载之前试件累积耗散的能量;Et为试件能量耗散能力,其值可取为[8]:

式中:Λ为试件累积塑性转角,可按经验公式(19)确定;My为有效屈服弯矩,取值为
为腹板宽厚比;bf/tf为翼缘宽厚比;
为单位转换系数,当采用毫米和兆帕时取值为1;fy为钢材实测屈服强度。
2) 强度退化规则。
试件进入弹塑性阶段后,其屈服荷载随着位移幅值及循环次数的增加而逐级递减;并且同一位移幅值下滞回环峰值荷载亦随着循环次数的增加而不断降低,其退化规律可定义为:

式中:
为第i次循环加载时试件的屈服荷载;
为第i-1次循环加载时试件的屈服荷载;Pj,i为第j级位移、第i次循环加载时试件的峰值荷载;
为第j级位移、第i-1次循环加载时试件的峰值荷载。上标“±”表示加载方向,其中“+”为正向加载,“-”表示反向加载。图 13为强度退化规则的示意图。
3) 刚度退化规则
在往复荷载作用下,试件的卸载刚度亦不断退化,可用下式描述:
此外,依据试验滞回曲线可知,再加载刚度是在其上次循环卸载刚度基础上进行退化的,其退化规律可由下式表示:
式中:Ku,i为第i次循环加载时试件的卸载刚度;
为第i-1次循环加载时试件的卸载刚度;Kr,i为第i次循环加载时试件的再加载刚度。图14为构件刚度退化规则示意图。

图13 强度退化规则示意图
Fig.13 Illustration for strength degradation

图14 刚度退化规则示意图
Fig.14 Illustration for stiffness deterioration
确定了骨架曲线模型及滞回规则后,便可建立锈蚀钢框架梁滞回模型,如图15所示。
1) 屈服前(0段~1段):加、卸载路径重合。
2) 屈服后至峰值荷载前:加载路径沿着骨架曲线进行(1段~2段)。从2点开始卸载,卸载刚度取为初始弹性刚度Ke;继续反向加载至负向屈服点4,屈服荷载及再加载刚度分别由式(20)和式(23)确定。加载至骨架曲线上负向目标点5卸载,此时,卸载刚度按式(22)确定;而正向再加载时(6段~7段),屈服荷载及再加载刚度由式(20)和式(23)重新确定。
当进行本级位移第二圈循环加载时,滞回环正向峰值荷载点退化至8点,其荷载值按式(21)计算,位移值不变。从8点开始卸载,卸载刚度根据式(22)重新确定;继续反向加载(9段~10段),则负向屈服荷载、再加载刚度由式(20)和式(23)再重新确定;滞回环负向峰值荷载点退化至 11点,其荷载值按式(21)计算,位移值不变。当再次卸载时,卸载刚度按式(22)再重新确定。
3) 峰值荷载后:每个加载级别路径的计算方法与阶段(2)类似,区别在于滞回环存在“软化段”。例如13段~15段,正向骨架曲线峰值荷载点退化至14点,其荷载值可按式(21)计算,而目标点15在骨架曲线上,其荷载值等于14点的荷载值。

图15 锈蚀钢框架梁恢复力模型
Fig.15 Restoring force model of corroded steel frame beam
依据本文提出的恢复力模型计算各试件的滞回曲线,并与试验滞回曲线进行对比,如图 16所示。可以看出,计算滞回曲线与试验滞回曲线吻合较好,能够反应锈蚀钢框架梁的强度、刚度循环退化效应,验证了该恢复力模型的适用性。


图16 计算滞回曲线与试验滞回曲线对比
Fig.16 Comparisons between computational hysteretic curves and experimental curves
(1) 在低周往复荷载作用下,各钢框架梁试件均经历了弹性、弹塑性、塑性破坏三个阶段,但随着锈蚀程度的增加,试件水平承载能力逐步降低;试件底端翼缘屈曲、腹板鼓曲及塑性铰形成所对应的位移亦逐渐减小。
(2) 峰值荷载前,试件塑形变形小,损伤较轻,同级位移水平下,试件强度、刚度随着循环次数的增加退化不明显,甚至因钢材循环硬化现象而有所提升;峰值荷载后,试件塑形变形充分发展,累积损伤不断增大,试件的强度、刚度随着位移幅值和循环次数的增加而明显降低,并且随着锈蚀程度的增加退化逐渐加快。
(3) 锈蚀是影响钢框架梁抗震性能的重要因素:锈蚀造成钢材力学性能降低,引起试件截面应力集中和有效截面面积减小,进而导致钢框架梁试件抗震性能出现劣化。随着锈蚀程度的增加,试件承载力及延性逐渐降低;滞回曲线饱满程度和滞回环面积不断减小,耗能不断降低;强度、刚度退化显著。
(4) 采用理论分析及试验数据回归相结合的方法,提出了可以考虑锈蚀影响的骨架曲线简化模型,并给出了各特征点值的计算公式。
(5) 引入循环退化指数,建立了能够考虑循环退化效应的锈蚀钢框架梁恢复力模型;且计算滞回曲线与试验滞回曲线吻合较好,能够真实反映锈蚀钢框架梁的滞回性能,在一定程度上验证了该恢复力模型的适用性。研究成果为在役钢框架结构非线性地震反应分析提供了理论依据。
[1]史炜洲, 童乐为, 陈以一, 等. 腐蚀对钢材和钢梁受力性能影响的试验研究[J]. 建筑结构学报, 2012, 33(7):53―60.Shi Weizhou, Tong Lewei, Chen Yiyi, et al. Experimental study on influence of corrosion on behavior of steel material and steel beams [J]. Journal of Building Structures, 2012, 33(7): 53―60. (in Chinese)
[2]Sultana S, Wang Y, Sobey A J, et al. Influence of corrosion on the ultimate compressive strength of steel plates and stiffened panels [J], Thin-Walled Structures,2015, 96(2015): 95―104.
[3]王仁华, 方媛媛, 林振东, 等. 点蚀损伤下海洋平台结构剩余强度的多尺度分析方法[J]. 工程力学, 2016,33(1): 238―245.Wang Renhua, Fang Yuanyuan, Lin Zhendong, et al.Multi-scale analysis of residual strength of offshore platforms with pitting corrosion [J]. Engineering Mechanics, 2016, 33(1): 238―245. (in Chinese)
[4]郑山锁, 张晓辉, 王晓飞, 等. 近海大气环境下多龄期钢框架柱抗震性能的试验研究[J]. 土木工程学报,2016, 49(4): 69―77.Zheng Shansuo, Zhang Xiaohui, Wang Xiaofei, et al.Experimental research on seismic behaviors of multi-aged steel frame columns under offshore atmospheric environment [J]. China Civil Engineering Journal, 2016, 49(4): 69―77. (in Chinese)
[5]Wang Y, Wharton J A, Shenoi R A. Ultimate strength analysis of aged steel-plated structures exposed to marine corrosion damage: A review[J], Corrosion Science, 2014,86(9): 42―60.
[6]. Apostolopoulos C A, Demis S, Papadakis V G.Chloride-induced corrosion of steel reinforcement-Mechanical performance and pit depth analysis [J],Construction & Building Materials, 2013, 38(2): 139―146.
[7]殷小溦, 吕西林, 卢文胜. 配置十字型钢的型钢混凝土柱恢复力模型[J]. 工程力学, 2014, 31(1): 97―103.Yin Xiaowei, Lü Xilin, Lu Wensheng. Resilience model of SRC columns with cross-shaped encase steel [J].Engineering Mechanics, 2014, 31(1): 97―103. (in Chinese)
[8]李海锋, 罗永峰, 李德章, 等. 大跨度空间结构箱形钢柱的恢复力模型[J]. 四川大学学报(工程科学版),2013, 45(3): 40―49.Li Haifeng, Luo Yongfeng, Li Dezhang, et al. Restoring force model of steel box column in large span spatial structures [J]. Journal of Sichuan University(Engineering science Edition), 2013, 45(3): 40―49. (in Chinese)
[9]李国强, 王彦博, 陈素文, 等. Q460C高强度结构钢焊接H形和箱形截面柱低周反复加载试验研究[J]. 建筑结构学报, 2013, 34(3): 80―86.Li Guoqiang, Wang Yanbo, Chen Suwen, et al.Experimental study of Q460C high strength steel welded H-section and box-section columns under cyclic loading[J]. Journal of Building Structures, 2013, 34(3): 80―86.(in Chinese)
[10] Lignos D G, Krawinkler H. Deterioration modeling of steel components in support of collapse prediction of steel moment frames under earthquake loading [J].Journal of Structural Engineering, 2010, 137(11): 1291―1302.
[11] 袁迎曙, 章鑫森, 姬永生. 人工气候与恒电流通电法加速锈蚀钢筋混凝土梁的结构性能比较研究[J]. 土木工程学报, 2006, 39(3): 42―46.Yuan Yingshu, Zhang Xinsen, Ji Yongsheng. A comparative study on structural behavior of deteriorated reinforced concrete beam under two different environments [J]. China Civil Engineering Journal, 2006,39(3): 42―46. (in Chinese)
[12] GB/T 10125-2012, 人造气氛腐蚀试验-盐雾试验[S].北京: 中国标准出版社, 2013.GB/T 10125-2012, Corrosion tests in artifical atmospheres-Salt spray tests [S]. Beijing: Standards Press of China, 2013. (in Chinese)
[13] ANSI/AISC 341-10, Seismic provisions for structural steel buildings [S]. Chicago, Illinois, US: American Institute of Steel Construction, 2010.
[14] Rahnama M, Krawinkler H. Effects of soft soil and hysteresis model on seismic demands [R]. Stanford University: Blume Earthquake Engineering Center, 1993.
EXPERIMENTAL AND RESTORING FORCE MODEL RESEARCH ON THE SEISMIC BEHAVIOR OF CORRODED STEEL FRAME BEAMS IN OFFSHORE ATMOSPHERIC ENVIRONMENT