预应力混凝土管桩(下文简称PHC管桩)具有单桩竖向承载力高、施工速度快、经济性好等优点[1-3],已广泛应用于岩土工程如基础工程、边坡工程、公路工程等[4-6]。但预应力混凝土管桩抗剪承载力较小[7-11],在基坑支护等工程中存在着一定的局限性[12―13]。为提高预应力混凝土管桩的抗剪性能,可在预应力混凝土管桩中加入一定数量的非预应力钢筋,形成混合配筋预应力混凝土管桩(下文简称PRC管桩)[14―15]。
目前,国内对混合配筋预应力混凝土管桩已有部分研究成果。徐金等[16]对8根预应力混凝土管桩进行了抗弯及抗剪性能试验研究,表明随着非预应力钢筋配筋的增大,开裂弯矩和开裂剪力逐渐减小,极限弯矩逐渐增加。张忠苗等[17]对9根预应力混凝土管桩进行了抗弯及抗剪性能试验研究,表明非预应力钢筋的配置大幅度改善了管桩的抗弯性能,且明显减小了管桩在剪力作用下的变形量。目前研究的不足之处在于:对PRC管桩的抗剪性能试验研究较少,试验样本不足;现有抗剪承载力计算公式仍未考虑轴向压力、纵向配筋率、剪跨比等诸多因素[18]。因此,本文对预应力混凝土管桩进行了抗剪性能试验研究,并对试验数据进行了有限元模拟,配合理论计算和参数分析,提出了考虑因素更为全面的混合配筋预应力混凝土管桩抗剪承载力计算公式,为编制混合配筋预应力混凝土管桩技术规程提供依据。
本文共对 10根预应力混凝土管桩进行了试验研究,包括3根PHC管桩和7根PRC管桩。管桩外径为600 mm,内径为380 mm,混凝土强度等级为 C80,预应力钢筋为
箍筋为
管桩的非预应力钢筋为
文简称 PRC12管桩)。试件中的预应力钢筋均采用 PCB-1570-35-L-HG钢棒,其张拉控制应力均取为钢筋抗拉强度标准值的0.72倍。管桩试件断面尺寸及配筋如图1所示。通过钢筋拉伸试验测得的屈服强度、抗拉强度和伸长率列于表1中。通过对3个与管桩试件同时浇筑、同条件养护的标准立方体试块进行轴压试验,测得混凝土立方体抗压强度的平均值为85.3 N/mm2。试验基本参数已列于表2中。

图1 管桩试件断面尺寸及配筋 /mm
Fig.1 The details of pipe pile test specimens
表1 材性试验数据
Table 1 Data of coupon tensile tests

试样 屈服强度σy/(N/mm2) 抗拉强度σy/(N/mm2)伸长率/(%)预应力钢筋 1530.7 1601.7 5.6非预应力钢筋 401.7 593.5 22.7箍筋 417.9 483.9 14.8
表2 试验基本参数
Table 2 Parameters of pipe pile tests

试件编号 管桩类型 管桩长度/m 轴压力/kN 剪跨比λ抗剪承载力试验值Nu,t/kN PRC-01 PRC12 4 0 1.0 1015.98 PRC-02 PRC12 4 0 1.0 1118.70 PRC-03 PRC12 4 0 1.0 1039.60 PRC-04 PRC12 4 0 1.0 1106.38 PRC-05 PRC12 4 0 1.0 1013.89 PHC-00-01 PHC 4 0 1.2 829.02 PRC-00-01 PRC12 4 0 1.2 858.80 PHC-01-01 PHC 4 1000 1.2 1019.03 PRC-01-01 PRC12 4 1000 1.2 1110.51 PHC-02-01 PHC 4 2000 1.2 1084.80
试验的加载方式根据DBJT 20-60《混合配筋预应力混凝土管桩》[19]确定,采用简支梁对称加载装置,支座一端为固定铰支座,一端为滑动铰支座,可调整支座的距离以实现不同的剪跨比。支座详图如图2所示。通过布置在分配梁上部的力传感器获得荷载的大小,通过位移计量测试件的位移,采集装置使用静态应变测试系统实现数据连续采集。管桩承受的剪力为荷载的一半。试验装置与测点布置如图3所示。

图2 支座详图 /mm
Fig.2 Details of supports


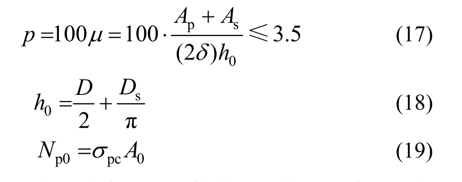
图3 试验加载装置与测点布置图 /mm
Fig.3 Loading set-up and measuring scheme
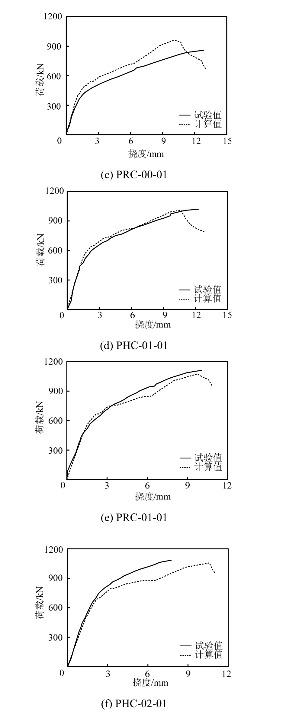
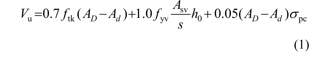
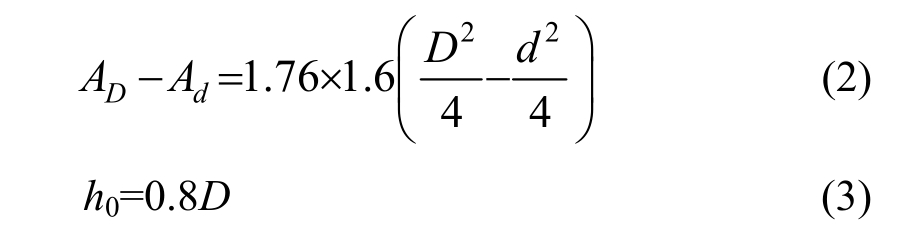
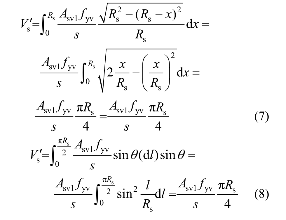
2根PHC管桩轴压抗剪试件为跨中受压区混凝土压碎,其余8根试件均为受剪脆性破坏,试件破坏形态如图4所示。试验加载过程中,试件产生受弯裂缝与受剪裂缝。对于受剪脆性破坏的试件,受剪裂缝先产生于受剪段中部,与水平约呈 45°,随后裂缝逐步向两端延伸,产生一条贯穿的主要斜裂缝,最终受剪段中部的三根箍筋先后断裂,受剪段混凝土压碎,纵向钢筋明显扭曲;受弯裂缝产生于受弯段受拉区边缘,随后逐步向上延伸。对于受压区混凝土压碎的试件,受剪裂缝的发展情况基本相同,但随着受剪裂缝的发展,在管桩中部高度会产生一条沿桩长方向的裂缝并逐渐连通;受弯裂缝产生于受弯段受拉区边缘,但试件最终因受压区混凝土压碎而破坏。试件荷载-挠度曲线如图5所示。

图4 抗剪试验管桩破坏形态
Fig.4 Failure modes of test specimens in shear tests

图5 抗剪试验荷载-挠度曲线
Fig.5 Load-midspan deflection curves of shear tests
表2给出了试验结果,结合图4及图5,分析数据可见:
1) PRC管桩的抗剪承载力有一定的提高。无轴压时,PRC管桩的极限剪力比PHC管桩提高了3.6%。
2) PRC管桩的刚度有一定的提高,在同一级竖向荷载作用情况下,PRC管桩跨中挠度比普通预应力管桩减小17%~30%。
3) 剪跨比对管桩的抗剪承载力有明显的影响。PRC管桩在剪跨比为1.0时的抗剪承载力比剪跨比为1.2时提高了23.3%。
4) 轴压力对管桩的抗剪承载力有明显的提高。轴压力为1000kN时,PRC管桩的极限剪力相比于无轴压时提高了29.3%。
利用有限元软件 ABAQUS对预应力混凝土管桩进行模拟研究。混凝土本构模型采用 GB 50010-2010《混凝土结构设计规范》中的应力-应变曲线,弹性阶段泊松比取为 0.2,损伤塑性材料参数中膨胀角取为 30º,流动势偏移量取为 0.11,双轴等压时混凝土的强度与单轴强度之比为1.16,不变量应力比为0.6667,黏性系数取为0.01,损伤因子参考相关文献取值。钢筋本构关系采用的是双折线模型,无刚度退化。计算中各材料指标均取试验实测值。混凝土和钢筋分别采用8节点减缩积分格式的三维实体单元(C3D8R)和2节点三维桁架单元(T3D2)进行分离式建模,并采用Embedded技术进行耦合。采用降温法施加预应力,为预应力钢筋单元给定一个温降值,使之收缩变形并对混凝土产生预压应力。有限元模型单元网格划分如图6所示,试验曲线与有限元模拟曲线的比较如图7所示,试验数据与有限元计算值的比较列于表3中,有限元模型破坏形态与试验结果的比较如图8所示。由图表可知,有限元模拟结果与试验吻合良好,模型破坏模式与试验结果相同,且有限元计算得到的承载力与试验结果基本一致,采用该模型对混合配筋预应力混凝土管桩的抗剪承载力进行分析具有较高的精度,可用于分析此类预应力混凝土管桩的抗剪承载力。

图6 有限元网格划分示意
Fig.6 The finite element meshing diagram


图7 有限元计算曲线与试验曲线比较
Fig.7 Comparison of load versus deflection from FE and test results
表3 抗剪承载力试验值与理论值的比较
Table 3 Comparison between shear capacities from tests and theoretical calculation

管桩试件 试验值Vu,t/kN有限元模拟值Vu,f/kN DBJT20-60公式计算值Vu,c1/kN修正公式计算值Vu,c2/kNVu,f/Vu,tVu,c1/Vu,tVu,c2/Vu,tPRC-01 1015.98 1042.40 524.30 598.60 1.03 0.52 0.76 PRC-02 1118.70 1042.40 524.30 598.60 0.93 0.47 0.69 PRC-03 1039.60 1042.40 524.30 598.60 1.00 0.50 0.75 PRC-04 1106.38 1042.40 524.30 598.60 0.94 0.47 0.70 PRC-05 1013.89 1042.40 524.30 598.60 1.03 0.52 0.76 PHC-00-01 829.02 869.00 530.20 513.40 1.05 0.64 0.84 PRC-00-01 858.80 963.76 524.30 598.60 1.12 0.61 0.90 PHC-01-01 1019.03 1010.27 530.20 541.40 0.99 0.52 0.76 PRC-01-01 1110.51 1073.29 524.30 626.60 0.97 0.47 0.76 PRC-02-01 1084.80 1056.59 530.20 569.40 0.97 0.49 0.78平均值 ― ― ― ― 1.00 0.52 0.77方差 ― ― ― ― 0.06 0.06 0.06

图8 有限元破坏形态与试验比较
Fig.8 Comparison of failure modes from FE and test results
DBJT 20-60《混合配筋预应力混凝土管桩》中给出了管桩极限剪力的计算公式(下文简称DBJT 20-60公式)。混合配筋预应力混凝土管桩的极限剪力按下式计算。

其中:

式中:Vu为管桩极限剪力;D和d分别为管桩的外径和内径;ftk为管桩混凝土抗拉强度;fyv为箍筋抗拉强度;Asv为配置在同一截面内箍筋的横截面面积;s为箍筋的间距;σpc为混凝土有效预应力。抗剪承载力试验值与理论值的对比列于表3。
由DBJT 20-60公式计算值与试验值的对比可知,同样加载条件下,PRC管桩的抗剪承载力公式计算值比 PHC管桩小,这与试验结果严重不符。这是由于DBJT 20-60公式考虑了同等预加力条件下(本试验中管桩试件预应力筋有效预应力计算值均约为 1030.4 N/mm2),PRC管桩的混凝土预压应力小于 PHC管桩,但是未考虑纵向钢筋对抗剪承载力的提高。同时,DBJT 20-60公式也未考虑轴压力和剪跨比对抗剪承载力的影响,导致同类型管桩在不同剪跨比和不同轴压力条件下的抗剪承载力计算值完全相同,这与试验结果也有较大差异。
预应力混凝土管桩的抗剪承载力公式仍采用式(4)的形式。
式中:Vc为管桩斜截面上混凝土所贡献的抗剪承载力;Vs为管桩斜截面上箍筋所贡献的抗剪承载力;Vp为由预加力所提高的管桩抗剪承载力;VN为由轴压力所提高的管桩抗剪承载力。
凌应轩等[20]针对预应力混凝土管桩抗剪公式的箍筋项做了理论推导,假想将箍筋的1/4圆周弧线拉直并假定其提供的竖向分力沿箍筋圆周按线性分布,即1/4箍筋提供的竖向分力沿圆周从0至Asv1fyv/s线性分布,所以1/4箍筋所提供的剪力按式(5)计算。

式中:Asv1为单根箍筋的横截面面积;s为箍筋的间距;fyv为箍筋的抗拉强度;Ds为箍筋中心所在圆周直径。
推导过程中对箍筋竖向分力进行了线性假定的简化计算,此假定以及相应的结论有待于进行验证。矩形截面梁箍筋项是箍筋平均力Asv1fyv/s与斜裂缝水平投影长度h0的乘积,而在管桩公式的箍筋项计算中应考虑箍筋的角度问题,如图9所示。

图9 抗剪公式箍筋项推导
Fig.9 Derivation of stirrup contribution to shear resistance
由图9可知,箍筋项应按下式计算。

将式(6)的积分转化为对坐标积分,可得式(7)。若转化为对曲线积分,可得到式(8)。

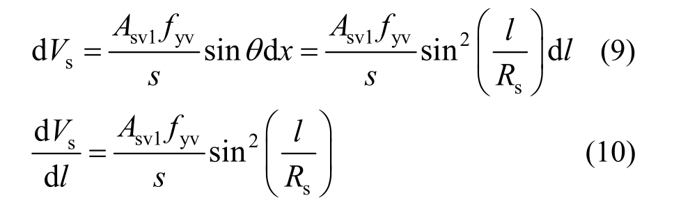
积分计算结果与文献[20]一致,并且两种积分计算方法包含了相应的力学意义。对坐标积分和对曲线积分分别代表了沿斜裂缝水平投影积分和沿箍筋弧线积分,由曲线积分的计算过程可知,dl小段箍筋所对应的剪力由式(9)所示。于是,箍筋所提供的竖向分力沿箍筋弧线的分布函数由式(10)所示,其函数图像如图10所示,为正弦型曲线。

由图可知,文献[20]中提出的线性假定是合理的。考虑到管桩可能配置螺旋箍筋,箍筋项可写为:


图10 箍筋竖向分力
Fig.10 Vertical component of stirrup force
式中:Asv为配置在同一截面内箍筋各肢的全部截面面积;α为箍筋与环形截面中心线的夹角。
对PHC管桩、PRC12管桩和PRC16管桩在预应力钢筋张拉控制应力分别为0.45倍、0.55倍、0.65倍、0.72倍和0.85倍钢筋抗拉强度标准值时的极限剪力进行了有限元计算,计算结果如图 11所示。由图可知,预应力管桩的抗剪承载力随着预加力的增加而增大,总体上成线性关系。考虑到 GB 50010-2010《混凝土结构设计规范》[21]中对混凝梁抗剪承载力的预应力项采取了同样的形式,可以认为预应力项取为0.05Np0是安全的。

图11 预应力项
Fig.11 Prestress contribution to shear resistance
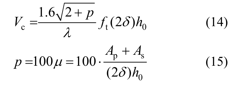
DBJT 20-60公式中利用AD-Ad代替环形截面面积的做法有待商榷。吕志涛等[22]根据东南大学以及前苏联的钢筋混凝土环形截面抗剪试验结果,提出的环形截面梁的抗剪承载力计算公式的混凝土项为:
式中:δ为环形截面的壁厚;h0为当量有效高度。文献[22]中建议当量有效高度取受拉区所在的半圆中所有钢筋的重心到受压区边缘的距离,按式(13)进行计算。

此面积计算针对环形截面提出,仍未考虑纵向配筋率对抗剪承载力的影响,而在欧洲规范(EN 1992-1-1)[23]、英国规范(BS 8110-1)[24]以及中国的《铁路桥涵混凝土结构设计规范》(TB 10092-2017)[25]中的抗剪承载力公式均考虑了纵向配筋率对抗剪承载力的提高,但其公式形式均较为复杂。张开敬等[26]针对 T形截面梁提出了抗剪承载力公式,其混凝土项系数考虑了剪跨比和纵向配筋率等因素。本文的修正公式参考了其公式形式,但针对管桩的环形截面而言,混凝土项系数与剪跨比和纵向配筋率的关系有待于研究。
现对 PRC12管桩和 PRC16管桩在剪跨比1.0~3.0情况下的抗剪承载力进行了有限元计算。计算结果如图 12所示。由图可知,混凝土项系数随剪跨比的增大而减小,总体上成反比关系。对不同纵向配筋率的预应力混凝土管桩抗剪承载力进行有限元计算,计算结果如图13所示。图中横坐标p为纵向配筋率,按式(15)计算。由图可知,当p<3.5时,系数随p的增大而增大,采用
为参数拟合良好。

图12 混凝土项剪跨比因素
Fig.12 Influence of shear span ratio on concrete contribution to shear resistance

图13 混凝土项纵向配筋率因素
Fig.13 Influence of longitudinal reinforcement ratio on concrete contribution to shear resistance
综上所述,预应力混凝土管桩抗剪公式混凝土项可按式(14)~式(15)计算。

根据有限元的计算结果,不同类型的预应力混凝土管桩抗剪承载力与轴向压力的变化规律基本一致。以PRC12管桩为例,计算结果如图14所示。由图可知,管桩的承载力随轴力的增大呈先增大后减小的规律。当轴压比 0.3~0.5之间时,轴力的增大会使管桩由受剪破坏转变为小偏心受压的破坏情况,斜截面抗剪承载力达到最大值。所以,在公式中一般对轴力进行限制,当N>0.3fcA时,取N=0.3fcA。当轴压比小于0.3时,抗剪承载力与轴力为线性相关关系。

图14 PRC12管桩抗剪承载力与轴压比的关系
Fig.14 Relationship between shear capacities of PRC12 piles and axial compression ratio
根据大量的有限元试算,轴力项系数影响因素主要为预应力与剪跨比。预应力因素分析模型同前,计算结果如图 15所示。由图可知,预应力对轴力项系数的影响较小,除个别算例外,大多数轴力项系数在0.06~0.08范围内。

图15 轴力项预应力因素
Fig.15 Influence of prestress on axial force contribution to shear resistance
根据不同剪跨比下PRC12和PRC16的抗剪承载力的有限元计算,轴力项系数受剪跨比因素影响较大,系数与剪跨比关系如图16所示。

图16 轴力项系数与剪跨比的关系
Fig.16 Influence of shear span ratio on axial force contribution to shear resistance
由图可知,随着剪跨比的增加,轴力项系数逐渐减小,基本成反比关系。若将轴力系数取为0.07,在剪跨比较大的情况下公式计算值不安全,高估了轴向压力对抗剪承载力的提高作用。图中曲线的公式系数取为0.11/λ,与有限元计算值吻合良好。
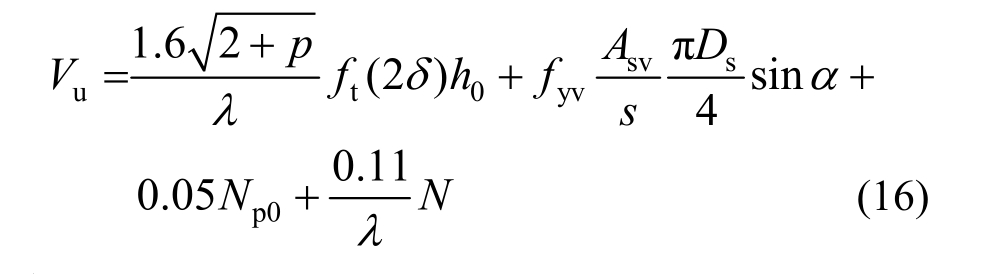
针对 10根预应力混凝土管桩的抗剪试验数据进行有限元模拟,配合相应的理论分析和有限元模型的计算结果,提出混合配筋预应力混凝土管桩的抗剪承载力修正计算公式如式(16)~式(19)所示。

其中:

式中:Vu为预应力混凝土管桩的抗剪承载力;μ为斜截面受拉区纵向钢筋的配筋率,当p>3.5时,取p=3.5;λ为剪跨比,当λ<1.5时,取1.5,当λ>3时,取3;δ为环形截面的壁厚;h0为当量有效高度;D为管桩直径;Ds为箍筋中心线所围成的圆周直径;α为箍筋与环形截面中心线的夹角;Np0为预加力;N为轴向压力,当N>0.3fcA时,取N=0.3fcA。
针对抗剪性能试验中的 10根预应力混凝土管桩,修正公式和DBJT 20-60公式的计算值已列于表3中。修正计算公式在DBJT 20-60公式的基础上,针对管桩环形截面的特点进行了一定的修改,并考虑了纵向配筋率、剪跨比和轴向压力对抗剪承载力的影响。修正公式计算值在与试验数据更加接近的同时,仍具有较大的安全储备。
(1) 开展10组预应力混凝土管桩的抗剪性能试验,研究表明,在 PHC管桩中加入非预应力钢筋可以提高管桩的抗剪承载力和抗剪刚度,轴向压力也对管桩的抗剪承载力有明显的提高。
(2) 针对试验构件进行了有限元数值模拟,计算结果与试验结果吻合良好,此有限元模型可用于进一步分析此类混合配筋预应力混凝土管桩的抗剪承载力。
(3) 通过公式计算值与试验值的对比可以发现,DBJT 20-60《混合配筋预应力混凝土管桩》算式的计算值中,非预应力钢筋的增大会减小管桩的抗剪承载力,这与试验结果不符。而且现有公式未考虑轴向压力等因素对抗剪承载力的影响。
(4) 在试验数据和有限元模拟的基础上进行了理论推导和有限元参数分析,提出了混合配筋预应力混凝土管桩的抗剪承载力的修正公式,考虑了纵向配筋率、剪跨比和轴向压力对抗剪承载力的影响。修正公式计算值与试验数据吻合良好,可以为编制混合配筋预应力混凝土管桩技术规程提供参考。
[1]郭宏磊, 贺雯, 胡亦兵, 等. PHC桩的竖向极限承载力的预测[J]. 工程力学, 2004, 21(3): 78-83.Guo Honglei, He Wen, Hu Yibing, et al. Prediction of vertical ultimate bearing capacity of PHC piles [J].Engineering Mechanics, 2004, 21(3): 78-83. (in Chinese)
[2]蒋建平. 管桩承载性状的数学描述[J]. 工程力学,2008, 25(5): 189-195.Jiang Jianping. Mathematic description of bearing behavior of pipe piles [J]. Engineering Mechanics, 2008,25(5): 189-195. (in Chinese)
[3]赵俭斌, 王志斌, 史永强. 静压 PHC管桩群桩效应的数值模拟分析[J]. 工程力学, 2014, 31(增刊1): 139-144.Zhao Jianbin, Wang Zhibin, Shi Yongqiang. Numerical simulation analysis on efficiency of static pressed PHC pipe pile group [J]. Engineering Mechanics, 2014,31(Suppl 1): 139-144. (in Chinese)
[4]Kou H L, Guo W, Zhang M. Field Study of Set-up Effect in Open-ended PHC Pipe Piles [J]. Marine Georesources& Geotechnology, 2016, 35(2): 208-215.
[5]Park J B, Sim Y J, Chun Y S, et al. Assessment of Optimum Reinforcement of Rebar for Joint of PHC Pile and Foundation Plate [J]. Journal of Urology, 2010, 1(1):289-293.
[6]杨志坚, 李帼昌, 王琦. 轴力作用下预应力高强混凝土管桩抗弯性能研究[J]. 工程力学, 2017, 34(增刊1):185-191.Yang Zhijian, Li Guochang, Wang Qi. Nonlinear bending behavior of prestressed high strength concrete pile under axial and lateral loading [J]. Engineering Mechanics,2017, 34(Suppl 1): 185-191. (in Chinese)
[7]Akiyama M, Abe S, Aoki N, et al. Flexural test of precast high-strength reinforced concrete pile prestressed with unbonded bars arranged at the center of the cross-section[J]. Engineering Structures, 2012, 34(1): 259-270.
[8] Mohamed N, Soliman A M, Nehdi M L. Mechanical performance of full-scale precast steel fibre-reinforced concrete pipes [J]. Engineering Structures, 2015, 84(2):287-299.
[9]Mohamed N, Nehdi M L. Rational finite element assisted design of precast steel fibre reinforced concrete pipes [J].Engineering Structures, 2016, 124(10): 196-206.
[10] Shiraishi I, Hayashi S, Kuwabara F, et al. A study on failure mechanism and ultimate strength of large diameter PHC pile [J]. Concrete Research & Technology,1997, 8(1): 85-93.
[11] Carbonell-Márquez J F, Gil-Martín L M, Fernández-Ruíz M A, et al. Effective area in tension stiffening of reinforced concrete piles subjected to flexure according to Eurocode 2 [J]. Engineering Structures, 2014, 76(10):62-74.
[12] 赵升峰, 黄广龙, 马世强, 等. 预制混凝土支护管桩在深基坑工程中的应用[J]. 岩土工程学报, 2014, 36(增刊1): 91-96.Zhao Shengfeng, Huang Guanglong, Ma Shiqiang, et al.Application of precast concrete pipe piles in a deep excavation project [J]. Chinese Journal of Geotechnical Engineering, 2014, 36(Suppl 1): 91-96. (in Chinese)
[13] Liu H L, Kong G Q, Ding X M, et al. Performances of large-diameter cast-in-place concrete pipe piles and pile groups under lateral loads [J]. Journal of Performance of Constructed Facilities, 2013, 27(2): 191-202.
[14] 姚大立, 贾金青, 余芳. 有腹筋预应力超高强混凝土梁受剪承载力试验研究[J]. 湖南大学学报(自科版),2015, 42(3): 23-30.Yao Dali, Jia Jinqing, Yu Fang. Experimental study of the shear capacity of prestressed ultra-high reinforced concrete beams with stirrups [J]. Journal of Hunan University: Natural Sciences, 2015, 42(3): 23-30. (in Chinese)
[15] 王铁成, 杨志坚, 赵海龙, 等. PHC 管桩与承台连接节点试验研究与有限元分析[J]. 天津大学学报: 自然科学与工程技术版, 2015, 48(6): 527-534.Wang Tiecheng, Yang Zhijian, Zhao Hailong, et al.Experimental investigation and finite element analysis of prestressed high strength concrete pipe-pile cap connections [J]. Journal of Tianjin University (Science and Technology), 2015, 48(6): 527-534. (in Chinese)
[16] 徐金, 何晶. 增加非预应力筋的混凝土管桩抗弯抗剪性能研究 [J]. 工业建筑, 2016, 46(10): 109-112.Xu Jin, He Jing. Research on flexural and shear behavior of prestressed concrete pipe pile with non-prestressed reinforcement [J]. Industrial Construction, 2016, 46(10):109-112. (in Chinese)
[17] 张忠苗, 刘俊伟, 谢志专, 等. 新型混凝土管桩抗弯剪性能试验研究[J]. 岩土工程学报, 2011, 33(增刊 2):271-277.Zhang Zhongmiao, Liu Junwei, Xie Zhizhuan, et al.Experimental study on flexural and shearing properties of modified concrete pipe piles [J]. Chinese Journal of Geotechnical Engineering, 2011, 33(Suppl 2): 271-277.(in Chinese)
[18] 楼志军, 吴江斌, 宋青君, 等. 预应力高强混凝土管桩桩身抗剪承载力试验[J]. 上海大学学报(自然科学版),2012, 18(6): 645-650.Lou Zhijun, Wu Jiangbin, Song Qingjun, et al. Test of shear capacity of pre-stressed high-strength concrete pipe piles [J]. Journal of Shanghai University: Natural Sciences, 2012, 18(6): 645-650. (in Chinese)
[19] DBJT 20-60, 混合配筋预应力混凝土管桩[S]. 四川:四川省建筑标准设计办公室, 2013: 5-12.DBJT 20-60, Prestressed concrete pipe pile with hybrid reinforcement [S]. Sichuan: Sichuan Standard Architectural Design Office, 2013: 5-12. (in Chinese)
[20] 凌应轩, 李建宏, 黄晨. 预应力混凝土管桩抗剪承载力计算方法[J]. 工程与建设, 2007, 21(1): 73-75.Ling Yingxuan, Li Jianhong, Huang Cheng. Calculation method of shear capacities for prestressed concrete piles[J]. Engineering and Construction, 2007, 21(1): 73-75.(in Chinese)
[21] GB 50010-2010, 混凝土结构设计规范[S]. 北京: 中国建筑工业出版社, 2010: 54-64.GB 50010-2010, Code for design of concrete structures[S]. Beijing: China Architecture and Building Press,2010: 54-64. (in Chinese)
[22] 吕志涛, 石平府, 周燕勤. 圆形、环形截面钢筋混凝土构件抗剪承载力的试验研究[J]. 建筑结构学报, 1995,16(3): 13-20.Lü Zhitao, Shi Pingfu, Zhou Yanqin. Experimental research on shear strength of reinforced concrete beams with circular and ring section [J]. Journal of Building Structures, 1995, 16(3): 13-20. (in Chinese)
[23] EN 1992-1-1, Eurocode 2: Design of concrete structures–Part 1.1: General rules and rules for buildings [S].Brussels: CEN, 2003: 84-94.
[24] BS 8110-1, Structural use of concrete – Part 1: Code of practice for design and construction [S]. London: BSI,1997: 96-98.
[25] TB 10092-2017, 铁路桥涵混凝土结构设计规范[S]. 北京: 中国铁道出版社, 2017: 103-105.TB 10092-2017, Code for design of concrete structures of railway bridge and culvert [S]. Beijing: China Railway Publishing House, 2017: 103-105. (in Chinese)
[26] 张开敬, 马忠国. 部分预应力混凝土约束箱梁斜截面抗剪强度的试验研究[J]. 土木工程学报, 1992, 25(1):21-28.Zhang Kaijing, Ma Zhongguo. Experimental investigation of shear strength of restrained PPC box girder [J]. China Civil Engineering Journal, 1992, 25(1):21-28. (in Chinese)
EXPERIMENTAL STUDY ON SHEAR BEHAVIOR OF PRESTRESSED CONCRETE PIPE PILE WITH HYBRID REINFORCEMENT