兰 香1,2,潘 文1,2,白 羽1,2,张龙飞1,2,余文正1,2
(1.昆明理工大学 建筑工程学院,昆明 650500;2.云南省工程抗震研究所,昆明 650500)
摘 要:基于传统消能减震体系力学模型的研究,提出考虑支撑等连接件刚度的实用减震体系力学模型。结合数学方法中的拉普拉斯变换和傅里叶变换,推导实用减震体系的传递函数及其频率特性。再利用频率响应曲线中的定点理论对频率特性进行深入研究,发现频率响应曲线的定点是曲线峰值能够达到的理论最低点,进一步推出实用减震体系的最优阻尼比和频响曲线最低峰值等参数的计算公式。最后通过单自由度体系验证了最优阻尼比的存在性,给出支撑刚度系数的建议取值范围,并通过工程实例说明支撑刚度系数在消能减震结构设计中的重要意义。
关键词:消能减震;实用减震体系;支撑刚度;传递函数;定点理论;最优阻尼比
地震作用对结构会产生不同程度的破坏,为了减轻结构在地震作用下的震动强度,常常会在结构上附加一些特殊的装置,通常称之为消震器或阻尼器。目前常用的阻尼器有速度相关型阻尼器、位移相关型阻尼器和混合型阻尼器三大类。将阻尼器应用于结构工程这一技术我们称之为消能减震技术,我国最早于 2001年将该技术写入《建筑抗震设计规范》(GB 50011―2001),并在新版抗震规范(GB 50011―2010)[1]中进行了补充与完善,2013年更是颁布了专门的《建筑消能减震技术规程》(JGJ 297―2013)[2],标志着消能减震技术在我国的应用将越来越广泛。以上规范中只给出了结构的附加有效阻尼比计算方法,暂时未给出结构的最优阻尼比这一参数的计算,而最优阻尼参数的研究对工程结构的经济性将产生重要影响。因此,能够从理论上推导结构的最优阻尼参数将具有十分重要的意义。
近年来,附加有效阻尼比一直是国内外学者研究的热点问题之一。翁大根和于钢[3]从主体结构与附加消能部件分开设计的思路着手研究了附加黏滞阻尼器减震结构的实用设计方法;王奇等[4]通过线性化等效的原理研究了消能减震结构附加有效阻尼比的计算;巫振弘等[5]、陆伟东等[6]、何文福等[7]研究对比了不同计算附加阻尼比的方法并提出了相应的实用计算方法;王维凝等[8]、吴克川等[9]分别对不同地震水准作用下铅消能阻尼器和屈曲约束支撑结构的附加有效阻尼比计算方法及其取值变化规律进行了研究。Lee等[10]、Lavan等[11-12]也对结构的附加有效阻尼比和阻尼器优化布置进行了研究,并且探讨了附加阻尼器后的建造成本优化这一问题。关于结构最优阻尼参数的研究相对较少,杜永峰和赵国藩[13]研究了非经典阻尼隔震结构中的最佳阻尼比的取值范围;钟立来等[14-15]、Dedomenico和 Ricciardi[16]对非线性调谐质量阻尼器的最佳设计、隔震系统的最佳黏滞阻尼比等内容进行了研究;兰香等[17]详细分析了附加悬臂墙式黏滞阻尼器的减震结构中层间位移利用率对减震效果的影响,提出了基于层间位移利用率方法来修正消能减震结构的附加阻尼;缪志伟等[18]、黄小宁等[19]分别对钢筋混凝土框架和框剪结构采用减震设计后的抗倒塌能力、抗扭性能等减震性能目标进行了详细的研究;Fournier和Chen等[20-21]将阻尼器支撑刚度对结构减震效率的影响作了进一步分析和模拟。
本文从传统减震体系的力学模型的研究出发,首先提出了考虑支撑、悬臂墙等连接构件刚度的实用减震体系力学模型。然后,利用数学变换的方法和振动领域的定点理论,推出了实用减震体系的最优阻尼比和频响曲线最低峰值等参数的计算表达式。最后,利用单自由度体系验证了最优阻尼比的存在性,进一步通过工程实例并结合理论分析了悬臂墙构件的支撑刚度对结构减震效率的影响,以此对消能减震结构的最优设计提供参考。
传统单自由度减震体系[22―24]的力学简化模型如图1(a)所示,图中减震体的质量为m,刚度系数为k,阻尼系数为c,减震体质心位移为x,支座位移为 u。根据达朗贝尔的动平衡原理,建立该减震体系的运动方程,如下所示:
在图1(a)所示的单自由度减震体系中,对系统的固有频率nω、临界阻尼系数cc和阻尼比ζ作如下定义,即:
并将激励频率ω与减震体系的固有频率nω的比值定义为频率比,记为:
则可得到传统减震体系绝对传递率的解析式:


图1 减震体系力学模型
Fig.1 Damping system mechanical model
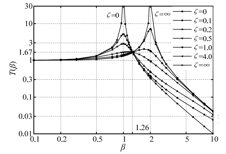
分别选择不同的阻尼比值ζ(取 0,0.05,0.1,0.2,0.5,1.0),按照式(4)计算出的值绘制系统绝对传递率T()β的曲线,横纵坐标均按对数值选取,得到不同阻尼比下体系的频率响应曲线如图2所示。
从图2可以得出以下结论:
1)当频率比约0.5<β< 2时,体系的反应随阻尼比的增加而明显减小;当频率比β> 2时,体系的反应随阻尼比的增加而增加。
2)当频率比β> 2时,随着频率比增加,系统绝对传递率迅速降低,在该段工作较为有利。
3)不同阻尼比下的频率响应曲线均通过一个定点,其频率比为 2,对应的频响曲线值为1.0。
通过以上分析,理想的状态是使结构处在频率比β> 2的范围内工作。但在实际工程中的地震作用下,地震波的频率谱成分相当丰富,与结构自振频率的比值范围就会比较广泛。为此,结构在地震作用等激励下常常是不能避开频率比β< 2这一范围的,甚至在某些情况下在频率比接近β=1的共振状态下运行。故减小减震结构响应的基本思路仍然是增大结构的阻尼比,确保减震结构在较小频率比的范围响应不至过大。

图2 传统减震体系频响曲线图
Fig.2 Traditional damping system frequency response curves
在实际工程中,阻尼器与消能子结构之间常常通过斜撑、悬臂墙等来进行连接。也就是说,更为实用的减震体系中阻尼器与主体结构之间还需要连接构件这一元素,如图3所示,实用减震体系示意图。因此,研究连接构件的支撑刚度对体系减震效果的影响将会是一件十分有意义的工作。在此,假定阻尼器自身刚度为一较大值,以便忽略其对体系减震效果的影响。

图3 实用减震体系示意图
Fig.3 Practical damping system schematic
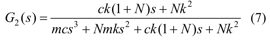
根据结构体系力与位移的基本关系,将连接构件与阻尼器串联起来,再放置于减震体和支座之间,便能得到图1(b)所示的实用减震体系简化力学模型,该力学模型有的学者称之为松弛型减震体系[22]或1.5自由度体系[24]。图中用附加弹簧刚度Nk(N定义为支撑刚度系数)为连接构件的刚度,x1为阻尼器与附加弹簧连接点的位移,其他参数同图1(a)。根据达朗贝尔的动平衡原理,建立图1(b)减震体系的运动方程:
选取零初始条件,将以上方程组进行拉氏变换,得到代数方程组:

式中各函数经拉氏变换后的象函数分别为:
从以上两个代数方程中消去X1(s),得到减震体质心位移x对支座位移u的传递函数:
在式(7)中令s=jω,得到x对u的频率特性。再利用式(3)定义的频率比β,得到实用减震体系绝对传递率的解析表达式:

相比式(4)而言,式(8)中系统传递率增加了一个参数,即支撑刚度系数 N。根据图1(b)可知,当
时,即为无阻尼器的结构体系;当
时即为图1(a)中的传统减震体系。接下来分别绘制了阻尼比ζ = 0.05和ζ = 0.30时,实用减震体系的传递率曲线(即频率响应曲线),如图4、图5所示,为了与无阻尼体系和传统减震体系更好地对比,图中也绘出两种特殊情况的频响曲线。
从图4、图5可以得出以下结论:
1)实用减震体系适用于存在支撑刚度系数(即N≠0)的情形,当N=0时变为无阻尼体系,其频响特性的峰值仍然为无穷大。
2)当频率比较低时,无论阻尼比如何变化,体系的响应几乎不受支撑刚度系数N的影响;当频率比较高,且阻尼比较大时,体系的峰值响应随着支撑刚度系数的增加明显减小。
3)从图5中可知,在较大阻尼比(ζ=0.30)情况下,体系的峰值响应随着支撑刚度系数N的增大而减小,但当N达到一定值后其峰值响应几乎不再减小。

图4 ζ=0.05时不同支撑刚度系数下的频响曲线
Fig.4 Frequency response curves with different additional stiffness coefficients (ζ=0.05)

图5 ζ=0.30时不同支撑刚度系数下的频响曲线
Fig.5 Frequency response curves with different additional stiffness coefficients (ζ=0.30)
图6~图7分别绘出了在不同支撑刚度系数N=0.5和N=3时,实用减震体系的频率响应曲线。从图6~图7可以得到如下结论:
1)随着支撑刚度系数 N的增大,体系频率响应曲线中定点对应的横坐标右移(即频率比的值在增大),纵坐标下移(即传递率的值在减小)。
2)频响曲线中存在一个与阻尼比 ζ无关的点(定点),即任何阻尼比下体系的频响曲线均通过该点;从图中可知,当 N=0.5时该点的坐标为(1.10,5.0),当N=3时该点的坐标为(1.26,1.67)。
3)仔细观察,可以发现在不同支撑刚度系数N下,频响曲线中的定点都是该体系理论上能够达到的最低峰值点,后文中将该最低峰值点所对应的阻尼比称为体系的理论最优阻尼比。当N=0.5时其理论最优阻尼比与ζ=0.2基本对应,当N=3时与ζ=0.5基本对应。

图6 N=0.5时不同阻尼比下的频响曲线
Fig.6 Frequency response curves with different damping ratios (N=0.5)

图7 N=3.0时不同阻尼比下的频响曲线
Fig.7 Frequency response curves with different damping ratios (N=3.0)
2.1节提到,频响曲线中存在一个与阻尼比 ζ无关的点,称之为定点。图6中的点(1.10, 5.0)和图7中的点(1.26, 1.67)都是这样的定点。
参照式(4)和式(8)可以写出一个更一般的频率传递函数表达式:
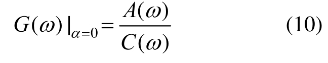
式中:G(ω)为变化过的传递函数,即式(4)中T2(β,ζ) ,式(8)中 T2(β,ζ,N );α 为与阻尼比相关的系数(即阻尼比的平方 ζ2); A ( ω ) ,B (ω ) ,C (ω),D(ω)为激励频率ω的函数。现对α作以下讨论:
1)当α=0时,频率传递函数为:
2)当α=∞时,频率传递函数为:
3)相对α独立的频率传递函数为:

当 α=0、α=∞(即 ζ=0 和 ζ=∞)及 α 为任意值时,频率响应曲线的交点与α无关,该交点就是频响曲线中的定点,是任意阻尼比下频率响应曲线均通过的点。定点的求解可由下式决定:

从图6、图7可以看到,在某一个特定阻尼比下,定点是频率响应曲线峰值能够达到的理论最低点,将该阻尼比称之为理论最优阻尼比。
因而,定点理论可定义为在含有阻尼的振动系统频响曲线上,确定与阻尼比无关的定点,并以该定点所对应的纵坐标值作为频率响应最大值来进行减振装置最优设计的减振理论。
在进行实用减震体系的设计时,可以先选定合适的参数N(即选定合适的支撑刚度Nk),再对式(8)利用定点理论,用以研究实用减震体系理论最优阻尼比、频响曲线峰值最低点等参数的计算方法。
先把式(8)写成以阻尼比ζ为变量的分式:

式中:

按照定点理论,式(14)中的 T2(β,ζ,N)与阻尼比ζ无关的充要条件为与参数β和N相关的系数函数满足如下关系:

求解式(15)的实根 βA,其值便为频率响应曲线中定点A的横坐标,可得实根 βA仅与支撑刚度系数N相关。

另一方面,为了确定频响曲线的峰值点坐标,将式(8)对频率比求导,并令其导数等于零,得到参数方程:
将式(16)确定的定点横坐标 βA代入式(17),消去方程中的β变量,便得到频率响应曲线峰值点与定点重合时的参数ζ与N的关系式。该式确定的阻尼比,能使频响曲线峰值点位于曲线必须经过的定点,这样就保证了频响曲线中的定点是曲线峰值点可能达到的理论最低点。这个阻尼比当然就是定点理论对应的实用减震体系的理论最优阻尼比,可以将其定义为 ζopt。
综合以上分析,得到在相应支撑刚度系数N下,实用减震体系的输出位移与输入位移之比(即频响曲线)达到理论上的最低峰值点时所对应的理论最优阻尼比的计算公式:

将式(16)中确定的βA和式(18)中确定的ζopt一同代入式(8),就能得到实用减震体系频响曲线最低峰值Topt与支撑刚度系数N的关系式:
至此,便可以通过式(16)和式(19)确定频响曲线中定点的坐标值,通过式(18)确定体系的理论最优阻尼比。再如图8所示,按照式(16)和式(18)可计算出当 N=1.0时系统频响曲线中定点的坐标值为(1.15,3.0),理论最优阻尼比ζopt=0.306;同理,可以准确求出图6、图7中定点的坐标值分别为(1.10,5.0)和(1.26,1.67),对应的理论最优阻尼比分别为ζ=0.186和ζ=0.593,与图6、图7中观察得到的0.2和0.5接近。值得注意的是:当体系的阻尼比ζ>ζopt后,体系的反应反而会随着阻尼比的增加而增大,如图6~图8所示。

图8 N=1.0时频响曲线中的定点
Fig.8 The fixed-point of frequency response curves (N=1.0)
综上所述:在实用减震体系中,根据已知结构体系的质量m、支座激励频率ω、体系的支撑刚度系数N和体系绝对传递率(频响曲线)容许达到的最大峰值(定点),利用已导出的式(8)、式(16)、式(18)和式(19),便能求出频响曲线最低峰值点对应的理论最优阻尼比 ζopt、定点坐标值、以及实用减震体系的k、c等参数的最优值,用以完成减震结构的最优设计。
第一部分提到,根据图1(b)可知,当支撑刚度系数N→0时即为无阻尼结构体系,当N→∞时即为图1(a)中所示的传统减震体系。传统减震体系与实用减震体系之间的一致性可从以下两个方面来表述。
1)对式(16)进行分析可得:
即频响曲线中定点的横坐标(频率比)的范围为(1, 2)。在实用减震体系中,当N→∞时,频率比的上限为 2,与传统减震体系中的频率比一致,如图2所示。
2)对于式(18)和式(19),随着支撑刚度系数 N逐渐增大,减震体系的最优阻尼比逐渐增大直至趋于∞,频响曲线最低峰值逐渐减小直至趋于 1。极限状态时有如下关系式:
正如图2所示一样,对于支撑刚度系数趋于∞的传统减震体系,当阻尼比越来越大时,其频响曲线的峰值响应则越来越趋近于1。
故本文提出的实用减震体系实质上是更为一般的减震体系,而传统减震体系则是当支撑刚度系数N趋于无穷大时的特殊减震体系。
为了方便研究实用减震体系阻尼比的变化规律,作如下假定:1)主体结构设定为弹性;2)假定结构的固有阻尼比为0;3)采用附加黏滞阻尼器的单自由度体系;4)应用自由振动衰减法计算体系的阻尼比,其理论依据如式(22)所示:

式中:ζ为体系阻尼比;δj为对数衰减率δj=ln(si/si+j),si和si+j分别为单自由度体系第i周和第i+j周振幅;j为两振幅间相隔周期数;ω和ωD分别为无阻尼体系和有阻尼体系的自振频率。
图9为一梁刚度无穷大,质量为m,刚度为k的单自由度体系,假定梁和柱无轴向变形和剪切变形。首先考虑不同支撑刚度系数N时的最优阻尼比ζopt(如表1所示),表中的比值为后一个Ni+1与前一个Ni对应的理论最优阻尼比之比。

图9 附加黏滞阻尼器的单自由度体系
Fig.9 Single-degree of freedom system with additional viscous damper
表1 支撑刚度系数N及其最优阻尼比ζopt
Table 1 Additional stiffness coefficient and N its optimal damping ratio ζopt

从表1可知,随着支撑刚度系数的增加,单自由度体系的理论最优阻尼比也在明显增加,但前后两个N值对应的阻尼比的比值在减小,即最优阻尼比增加得越来越缓慢。当 N=0.2,取较小值时,其理论最优阻尼比仅为9%;当N=1.0时,体系的最优阻尼比达到31%;当N值继续增加时,单自由度体系的最优阻尼比仍在不断增加,但按照现有规范[1-2]的要求,多自由度结构体系的总阻尼比不宜大于30%。以上分析表明:对于单自由度体系而言,支撑刚度系数N的取值范围应尽可能地取大值,当N=6.0时其最优阻尼比达到0.86,当N=8.0时其最优阻尼比达到 0.99,近似等于临界阻尼比 1.0;结合表1中最优阻尼比的比值可知,支撑刚度系数的取值范围宜取N >3,更优的取值范围宜为N >6;结合表1中的最低峰值 Topt可知,当 N<1时,0.5和0.8分别对应5.0和3.5的最低峰值,但N=0.2时对应的最低峰值较大,意味着体系的响应比输入放大了11.0倍。
选取表2中所示的10组不同的阻尼系数C及7组不同的支撑刚度系数N=0.2, 0.5, 0.8, 1.0, 2.0, 3.0,4.0所组成的70个单自由度体系,在一瞬时激励下,采用自由振动衰减法,计算阻尼比ζ及其随阻尼系数 C/(kN/(m/s))的变化规律。各体系计算结果见表2,图10更直观地给出了不同支撑刚度系数N下阻尼比ζ随阻尼系数C的变化规律曲线。
表2 不同支撑刚度系数N下ζ随C的变化
Table 2 The changes of ζ with C in different N

比较表1和表2可知,表2中计算的阻尼比的最大值与表1中的理论最优阻尼比ζopt能够较好地对应,验证了理论最优阻尼比在单自由度体系中的存在性。
从图10中可知:
1)当阻尼系数C较小时,阻尼比ζ随C的增加而增大,直至达到最优阻尼比ζopt后随C的增加而减小。
2)同一结构体系中,当阻尼系数 C相同时,随着支撑刚度系数N增大,其附加给结构的阻尼比增大,故支撑刚度系数N应选择合适的取值范围。

图10 阻尼比ζ随阻尼系数C的变化规律曲线
Fig.10 The variation curves of damping ratio ζ with damping coefficient C
3)支撑刚度系数 N越小,最优阻尼比对应的阻尼系数C范围越大,故需要合理选择阻尼系数C的值来实现最优阻尼比,以达到经济性目的。
通过3.2节的分析可知,单自由度体系的阻尼比能够随着支撑刚度系数N的增大而在很大范围内增加。但对于实际消能减震结构的多自由度而言,规范[1-2]中明确规定,其最大总阻尼比不宜超过30%,否则按照30%计。为了将图10中的现象作进一步的推广,本文以某工程实例在较低阻尼比的情况下来考虑多自由度体系中悬臂墙构件的刚度(即支撑刚度)对消能减震结构减震效率的影响,具体分析如下。
某钢筋混凝土框架结构(如图11(a)所示),该结构地上 7层(不含屋顶层),无地下室,首层层高4.2 m,屋顶层层高3.3 m,标准层层高为3.6 m,结构总高度25.8 m。抗震设防烈度为8度(0.20 g),场地类别为Ⅱ类,设计地震分组为第三组,场地特征周期为Tg=0.45 s。柱截面主要截面尺寸为700 mm×700 mm、600 mm×600 mm,梁截面尺寸主要为300 mm×600 mm、400 mm×600 mm;与阻尼器相连的消能子结构梁柱截面分别为 400 mm×600 mm和700 mm×700 mm;跨度沿x方向为7500 mm,y方向为 6600 mm。结构总质量 5562 t,自振周期1.06 s,周期折减系数0.80。
参照文献[17]中考虑层间位移利用率对结构附加阻尼的修正方法,取结构的期望附加阻尼比5%(即总阻尼比为10%),估算出结构在x向、y向分别需要的附加阻尼系数 C的取值分别为38.30 kN/(mm/s)和36.26 kN/(mm/s);阻尼器布置方案为每层x向、y向均为4个,如图11(b)所示,布置层间位移角最大的第三第四两层,单个阻尼器的阻尼系数 x向、y向分别取为 4800 kN/(m/s)和4500 kN/(m/s)。

图11 框架结构
Fig.11 RC frame structure
通过YJK1.8.2的计算分析可知,结构三四层x向、y向的刚度最大值分别为 584 kN/mm和596 kN/mm,均归并为600 kN/mm;悬臂墙墙厚均为 200 mm,墙宽分别取 750 mm、1000 mm、1250 mm、1400 mm、1900 mm、2400 mm、2800 mm和 3200 mm,按照文献[17]中将悬臂墙弯曲刚度与剪切刚度串联的方法计算悬臂墙刚度,则对应的支撑刚度系数分别为N=0.2、N=0.5、N=0.8、N=1.0、N=2.0、N=3.0、N=4.0 及 N=5.0。
然后,按照《建筑抗震设计规范》第5.1.2条[1]的要求选取 5条天然波和 2条人工波进行时程分析,时程分析的基底剪力与反应谱分析的基底剪力与之比满足规范要求,所得结果如表3所示,图12给出了7条地震波的归一化时程曲线。
表3 7条地震波的选取
Table 3 Select seven seismic waves


图12 7条地震波时程曲线
Fig.12 Seven seismic waves time history curves
在图10中,当支撑刚度一定时,随着阻尼系数C的增加,减震体系的附加阻尼比先增大随后又减小。为此,考虑以C为基准,分别研究阻尼系数分别为2C、3C、4C和5C时支撑刚度对结构附加阻尼比的影响。
然后,采用专业的建筑有限元分析软件ETABS9.7.4对结构体系进行时程分析,求得7条地震波对应的不同支撑刚度系数时结构的附加阻尼比,并取平均值作为代表值。因此,对不同支撑刚度系数N和阻尼系数C下总共40组结构模型进行分析,每组模型包含x向、y向共计14个时程工况;得到各种情形下结构的附加阻尼比及不同支撑刚度下结构附加阻尼比的变化规律,如表4所示;并将表4表示为类似图10中的不同支撑刚度下多自由度结构体系附加阻尼比随阻尼系数的变化规律,如图13所示,结果表明:
表4 不同N及C下结构的附加阻尼比ζ/(%) (时程平均)
Table 4 Additional damping ratio ζ/(%) of the structure with different N and C (time history mean)

1)当阻尼系数为5初始计算的C值时,结构的附加阻尼比与期望值 5%较为一致;当阻尼系数分别为2C、3C、4C和5C时,对于较大支撑刚度的情况结构的附加阻尼比在增加,但对于较小支撑刚度的情况结构附加阻尼在减小,说明当采用较大的阻尼系数时,与之匹配的支撑刚度系数也应该随之增加。
2)当阻尼系数相同时,随着支撑刚度系数 N的增加,结构的附加阻尼比逐渐增大;当支撑刚度系数较大时随阻尼系数的增加结构的阻尼比增加并不显著。
3)图13实际上主要呈现了多自由度体系在较低阻尼比下与图10相对应的后半部分下降的现象,即当结构达到一个合理的最优阻尼比后其阻尼比将会随着阻尼系数的增加而减小。

图13 附加阻尼比ζ随阻尼系数C的变化规律曲线
Fig.13 The variation curves of additional damping ratio ζ with damping coefficient C
关于结构最优阻尼参数的研究是一个比较复杂的问题,本文以支撑阻尼器的斜撑、悬臂墙等的刚度为支撑刚度建立实用减震体系进行减震分析。首先对实用减震体系的理论最优阻尼比和频响曲线最低峰值等参数进行了研究;然后通过单自由度体系对理论最优阻尼参数的存在性进行了验证;最后扩展到对较低阻尼比下具体工程实例中支撑构件刚度对消能减震结构减震效率的影响进行分析与研究。主要得到以下结论和建议:
(1)在传统减震体系中,当频率比
时,体系的反应随阻尼比的增加而明显减小,当频率比
时,体系的反应随阻尼比的增加而增加;但地震波频率成分相当丰富,结构在地震激励下通常不能避开频率比β< 2这一范围,故通常需要提高减震体系的阻尼比以降低地震响应。
(2)在实用减震体系中,当频率比较低时,无论阻尼比如何变化,体系的峰值响应几乎不受支撑刚度系数N的影响;当频率比较高,且阻尼比较大时,体系的峰值响应随着支撑刚度系数的增加明显减小。
(3)频率响应曲线中的定点是体系反应峰值能够达到的理论最低点;基于定点理论能够计算实用减震体系的理论最优阻尼比和频响曲线峰值最低点,可为消能减震结构的最优设计提供指导。
(4)在单自由度体系中,阻尼比ζ随阻尼系数C的变化规律表明体系最优阻尼比的存在性;在相同阻尼系数C时,选择较优的支撑刚度系数N的范围,能够增加结构的附加阻尼比,提高结构体系的减震效果;支撑刚度系数可取的范围宜为N > 3,更优的取值宜为N > 6。
(5)通过对较低阻尼比下某工程实例的分析可知:当结构的附加阻尼系数一定时,随着支撑构件的刚度系数N增加结构的阻尼比明显增大;随着阻尼系数的增加,较大支撑刚度时结构的附加阻尼比增加,较小支撑刚度时结构的附加阻尼比减小,说明采用较大阻尼系数时,与之匹配的支撑刚度系数也应相应增加;充分地说明了支撑构件刚度在消能减震结构设计中的重要性。
参考文献:
[1]GB 50011―2010, 建筑抗震设计规范[S]. 北京: 中国建筑工业出版社, 2010.GB 50011―2010, Code for seismic design of buildings[S]. Beijing: China Architecture & Building Press, 2010.(in Chinese)
[2]JGJ 297―2013, 建筑消能减震技术规程[S]. 北京: 中国建筑工业出版社, 2013.JGJ 297―2013, Technical specification for seismic energy dissipation of building [S]. Beijing: China Architecture & Building Press, 2013. (in Chinese)
[3]翁大根, 张超, 吕西林, 等. 附加黏滞阻尼器减震结构实用设计方法研究[J]. 振动与冲击, 2012, 31(21): 80―88.Weng Dagen, Zhang Chao, Lü Xilin, et al. Practical design procedure for a energy-dissipated structure with viscous dampers [J]. Journal of Vibration and Shock,2012,31(21): 80―88. (in Chinese)
[4]王奇, 干钢. 基于线性化等效方法的消能减震结构有效附加阻尼比计算[J]. 建筑结构学报, 2012, 33(11):46―52.Wang Qi, Gan Gang. Calculation of effective additional damping ratio of energy dissipation structure based on linear equivalent method [J]. Journal of Building Structures, 2012, 33(11): 46―52. (in Chinese)
[5]巫振弘, 薛彦涛, 王翠坤, 等. 多遇地震作用下消能减震结构附加阻尼比计算方法[J]. 建筑结构学报, 2013,34(12): 19―25.Wu Zhenhong, Xue Yantao, Wang Cuikun, et al.Research on additional damping ratio calculation methods under frequent earthquake [J]. Journal of Building Structures, 2013, 34(12): 19―25. (in Chinese)
[6]陆伟东, 刘伟庆, 汪涛. 消能减震结构附加等效阻尼比计算方法[J]. 南京工业大学学报(自科版), 2009,31(1): 97―100.Lu Weidong, Liu Weiqing, Wang Tao. Calculation method for additional equivalent damping ratio of energy dissipation structure [J]. Journal of Nanjing University of Technology (Natural Science Edition), 2009, 31(1): 97―100. (in Chinese)
[7]何文福, 陈承渊, 刘阳, 等. 黏滞阻尼器结构等效阻尼比计算方法比较研究[J]. 结构工程师, 2016, 32(1):10―16.He Wenfu, Chen Chengyuan, Liu Yang, et al.Comparative study of equivalent damping ratio calculation methods for a structure with viscous dampers[J]. Structural Engineers, 2016, 32(1): 10―16. (in Chinese)
[8]王维凝, 闫维明, 彭凌云. 不同水准地震作用下铅消能器附加给结构的有效阻尼比及其设计取值研究 [J].工程力学, 2014, 31(3): 173―180.Wang Weining, Yan Weiming, Peng Lingyun. Study on the additional damping ratio provided by lead dampers and its design values under different seismic levels [J].Engineering Mechanics, 2014, 31(3): 173―180. (in Chinese)
[9]吴克川, 陶忠, 韦光兰, 等. 地震作用下防屈曲支撑减震结构附加有效阻尼比计算及变化规律研究[J]. 振动与冲击, 2016, 35(2): 146―152.Wu Kechuan, Tao Zhong, Wei Guanglan, et al.Calculation of the additional damping ratio of buckling-restrained brace structure and its variation under earthquake [J]. Journal of Vibration and Shock,2016, 35(2): 146―152. (in Chinese)
[10]Lee S H, Min K W, Hwang J S, et al. Evaluation of equivalent damping ratio of a structure with added dampers [J]. Engineering Structures, 2004, 26(3): 335―346.
[11]Lavan O. Optimal design of viscous dampers and their supporting members for the seismic retrofitting of 3D irregular frame structures [J]. Journal of Structural Engineering, 2015, 141(11): 1―15.
[12]Pollini N, Lavan O, Amir O. Towards realistic minimum-cost optimization of viscous fluid dampers for seismic retrofitting [J]. Bulletin of Earthquake Engineering, 2016, 14(3): 971―998.
[13]杜永峰, 赵国藩. 隔震结构中非经典阻尼影响及最佳阻尼比分析[J]. 地震工程与工程振动, 2000, 20(3):100―107.Du Yongfeng, Zhao Guofan. Analysis of effect of non-classical damping on isolated structure and optimum dmping [J]. Earthquake Engineering and Engineering Vibration, 2000, 20(3): 100―107. (in Chinese)
[14]钟立来, 吴赖云, 黄旭辉, 等. 非线性调谐质量阻尼器之最佳化设计公式[J]. 结构工程, 2009, 24(2): 55―90.Zhong Lilai, Wu Laiyun, Huang Xuhui, et al. Optimized design formula of nonlinear tuned mass dampers [J].Structural Engineering, 2009, 24(2): 55―90. (in Chinese)
[15]钟立来, 吴赖云, 高培修, 等. 结构隔震系统之最佳黏滞阻尼比[J]. 结构工程, 2011, 26(3): 21―46.Zhong Lilai, Wu Laiyun, Gao Peixiu, et al. Optimal viscous damping ratio of structural isolation system [J].Structural Engineering, 2011, 26(3): 21―46. (in Chinese)
[16]Dedomenico D, Ricciardi G. An enhanced base isolation system equipped with optimal tuned mass damper inerter(TMDI) [J]. Earthquake Engineering & Structural Dynamics, 2017(1): 1―24.
[17]兰香, 潘文, 况浩伟, 等. 基于层间位移利用率法修正消能减震结构的附加阻尼[J]. 振动与冲击, 2017,36(20): 64―71.Lan Xiang, Pan Wen, Kuang Haowei, et al. Correction additional damping of an energy-dissipated structure based on a story drifts utilization ratio method [J].Journal of Vibration and Shock, 2017, 36(20): 64―71.(in Chinese)
[18]缪志伟, 宋前恩, 李爱群. 减震设计与抗震设计RC框架结构抗地震倒塌能力对比[J]. 工程力学, 2016,33(8): 24―31.Miao Zhiwei, Song Qian’en, Li Aiqun. Comparison of collapse-resistance capacities of RC frames with and without dampers [J]. Engineering Mechanics, 2016,33(8): 24―31. (in Chinese)
[19]黄小宁, 杜永峰, 李慧. 平面不规则RC框剪结构基于性能的减震设计方法[J]. 工程力学, 2017, 34(3): 68―75.Huang Xiaoning, Du Yongfeng, Li Hui. Performancebased design method for irregular plane RC frame-shear-wall structure with dissipation devices [J].Engineering Mechanics, 2017, 34(3): 68―75. (in Chinese)
[20]Fournier J A, Cheng S H. Impact of damper stiffness and damper support stiffness on the efficiency of a linear viscous damper in controlling stay cable vibrations [J].Journal of Bridge Engineering, 2014, 19(4): 1―12.
[21]Chen Y, Chai Y H. Effects of brace stiffness on performance of structures with supplemental Maxwell model-based brace–damper systems [J]. Earthquake Engineering & Structural Dynamics, 2011, 40(1):75―92.
[22]丁文镜. 减振理论[M]. 北京: 清华大学出版社, 2014.Ding Wenjing. Theory of vibration reduction [M].Beijing: Tsinghua University Press, 2014. (in Chinese)
[23]Anil K Chopra. Dynamics of structures: Theory and applications to earthquake engineering [M]. 4th ed.Englewood Cliffs, New Jersey: Prentice Hall, 2012.
[24]马立新, 李孜. 结构振动控制[M]. 北京: 机械工业出版社, 2010.Ma Lixin, Li Zi. Vibration control of structure [M].Beijing: Machinery Industry Press, 2010. (in Chinese)
RESEARCH ON OPTIMUM DAMPING PARAMETERS OF AN ENERGY DISSIPATION STRUCTURE BASED ON THE SUPPORT STIFFNESS
LAN Xiang1,2, PAN Wen1,2, BAI Yu1,2, ZHANG Long-fei1,2, YU Wen-zheng1,2
(1. Faculty of Civil Engineering and Mechanics, Kunming University of Science and Technology, Kunming 650500, China;2. Yunnan Earthquake Engineering Research Institute, Kunming 650500, China)
Abstract:A practical mechanical model of damping system considering the stiffness of the connection element was proposed, based on the research of mechanical models of traditional energy dissipation system. Firstly, the transfer function and frequency characteristic of the practical damping system were derived using the Laplace transform and the Fourier transform of the mathematical method. Subsequently, the fixed-point theory was used in the frequency response curves to examine the frequency characteristic. The results showed that the fixed-point of the frequency response curves was the theoretical lowest point the curves’ peak value could reach. The optimal damping ratio and the minimum peak value of the frequency response curves were derived. Finally, the existence of the optimal damping ratio was verified by using a single degree of freedom system. A recommended range of the support stiffness coefficient was provided. Moreover, the importance of the support stiffness coefficient in energy dissipation structure designing was revealed by studying a project example.
Key words:energy dissipation; practical damping system; support stiffness; transfer function; fixed-point theory; optimal damping ratio
中图分类号:TU352.1;TU311.3
文献标志码:A
doi:10.6052/j.issn.1000-4750.2017.11.0810
文章编号:1000-4750(2018)08-0208-10
收稿日期:2017-11-02;修改日期:2018-02-07
基金项目:国家自然科学基金项目(51368027,51168024)
通讯作者:潘 文(1968―),男,江苏人,教授,博士,博导,主要从事结构抗震和防灾减灾研究(E-mail: panwen@vip.sina.com).
作者简介:
兰 香(1989―),男,云南人,博士生,主要从事消能减震结构设计与研究(E-mail: lx523947015@sina.com);
白 羽(1964―),男,云南人,教授,博士,博导,主要从事结构抗震和防灾减灾研究(E-mail: 645022414@qq.com);
张龙飞(1983―),男,河北人,博士生,主要从事消能减震结构设计与研究(E-mail: 80154369@qq.com);
余文正(1985―),男,湖北人,博士生,主要从事消能减震结构设计与研究(E-mail: 254810607@qq.com).