赵东拂1,2,3,高海静2,3,刘禹辰2,3,刘慧璇2,3,贾朋贺2,3
(1.北京建筑大学北京节能减排关键技术协同创新中心,北京 100044;2.北京建筑大学土木与交通工程学院,北京 100044;3.工程结构与新材料北京市高校工程研究中心,北京 100044)
摘 要:利用电液伺服疲劳试验机,进行了C60高强混凝土的单轴受压疲劳试验,研究了其经100 ℃、400 ℃和700 ℃高温后表观特征、残余应变、疲劳寿命等的变化规律。试验结果表明:高温后高强混凝土的色泽变浅,部分 400 ℃恒温0.5 h、1 h的试块呈铁锈红色,700 ℃时试块外表呈灰白色;在单轴受压疲劳荷载作用下,高温后高强混凝土的残余应变符合三阶段发展规律,较普通混凝土有更长的第二阶段。定义相对残余应变为损伤变量,建立了高温历程与受压疲劳损伤的关系模型,为经历重复荷载作用与不同加温历程等综合工况下高强混凝土疲劳试验研究及疲劳损伤评价奠定了基础。
关键词:高强混凝土;单轴疲劳;疲劳寿命;残余应变;疲劳损伤
相较于普通混凝土,高强混凝土既有强度高、渗透性低、耐久性好等优点,又能适应现代工程向大跨、高耸、重载方向发展的需求,使其广泛应用于现代建筑中。国内外学者对高温后高强混凝土力学性能的研究也有了较为丰硕的成果[1―9]。在实际工程中,高强混凝土结构会承受风、浪、核、车辆、地震等循环荷载的作用,也有遭受火灾或其他高温历程的风险,甚至是以上各种因素的综合工况。目前,国内外对高温后高强混凝土的研究主要集中在剩余强度、弹性模量以及应力-应变曲线等力学性能上,而对于高温后高强混凝土疲劳性能的研究未见报道,相关的研究仅有周新刚、吕培印等对于高温后普通混凝土单轴疲劳性能的研究。这将影响对火灾后高强混凝土结构承受往复荷载能力评估的准确性,应进行深入研究。
本文试验使用 PA-500电液伺服疲劳试验机对经100 ℃、400 ℃和700 ℃高温后C60高强混凝土在不同应力水平下的低周单轴受压疲劳试验。定义相对残余应变为损伤变量,建立了高强混凝土材料所经高温历程与单轴受压疲劳损伤之间的关系模型,为经历重复荷载作用与不同加温历程等综合工况下高强混凝土疲劳试验研究及疲劳损伤评价奠定了基础。
以C60混凝土为试验材料,制作标准立方体试块,减摩后试块的强度平均值fc,T=49.6 MPa。试块的加热温度为100 ℃、400 ℃和700 ℃,每组试块加温至指定温度后分别恒温0.5 h、1 h、2 h、3 h。
高温试验在箱式电阻炉内进行,炉膛尺寸为300 mm×500 mm×200 mm , 允许最高温度为1000 ℃,温度控制精度±1 ℃。升温时,将试块放至电阻炉内,初始温度为室温,以 10 ℃/min的速率将试块按照ISO834标准升温曲线升至设定温度;为防止升温过程中发生爆裂损坏仪器,在其外面包裹耐高温铁丝网。
疲劳试验在 PA-500电液伺服疲劳试验机上进行,试块的竖向采用500 kN作动器施加疲劳荷载,并通过电压表监控压力的大小;试验中采用GTC450全数字电液伺服控制器实时控制并采集数据。采用正弦波加载,加载频率为 10 Hz,最小应力水平Smin=0.10,最大应力水平Smax分别为0.80、0.85及0.90;每个主应力方向必须垂直于试块表面,试块的变形采用50 mm的箔式电阻应变片测量,以应变花形式粘贴于试块相对的两个自由面。所有试验均在减摩条件下进行。

图1 仪器与试块
Fig.1 Machine and specimen
2.1.1 高温后试块的表观特征
高强混凝土试块由室温(20 ℃)分别加热到指定温度与恒温时间,试块的表面特征发生了一系列的变化,包括试块的颜色、裂纹、掉皮、缺角和疏松等,具体见表1和图2。高温试验过程中,由于实验炉没有设置相应的观察孔等设备,未能观察到试块在加热过程中明显的实验现象。当温度超过100 ℃时,有刺激性气味产生;温度超过400 ℃后,炉门上方有水雾冒出且刺激性气味加重,实验中听到明显的爆裂声。加温过程结束后,停止加热打开炉门后,可以看到炉门上侧和下侧均有细密的水珠。
如图2所示,试块冷却后,加温至100 ℃的试块颜色与高温前基本无差别。当加热温度为400 ℃时高强混凝土试块整体或者部分颜色会呈现铁锈红,与常温试块的颜色对比非常明显,直至恒温2 h时铁锈红色消失,混凝土表面出现少量细微裂缝。其原因是在此温度段混凝土中的水化铁酸钙(CaO·Fe2O3·H2O)与 Ca(OH)2发生了化学反应,生成了红褐色的Fe(OH)3沉淀物[10]。试块经700℃高温作用后,试块外表呈灰白色,与常温的颜色对比明显,试块表面出现粗大裂缝,有的甚至贯穿整个试块,裂纹之间互相贯通,整体结构比较疏松。
表1 高强混凝土高温冷却后外观特征
Table 1 Appearance characteristics of HSC after cooling


图2 高温后高强混凝土试块的表观变化
Fig.2 The apparent change of HSC after different high temperatures
由文[11]可知,普通混凝土在 300 ℃前试块外观完整,色泽大致与常温时相同,除边角位置偏白;500 ℃时试块表面色泽开始呈淡灰色,有可见的细微裂缝,但无缺角现象;700 ℃时试块出现缺角,表面色泽呈灰白色,出现大量裂纹。可见,经不同高温历程后高强混凝土的表观特征较普通混凝土更显著、更早得损坏。
2.1.2 破坏形态
经不同高温历程后高强混凝土单轴受压疲劳的破坏形态如图3所示。由于受高温作用,高强混凝土在破坏前已有可视细微裂缝,当达到峰值荷载后发生脆性破坏,并伴随剧烈的劈裂声,试块出现严重的爆裂破碎现象。从破坏机理来看,混凝土疲劳破坏和静载作用下的破坏是一致的:都是随着荷载的增加,骨料和砂浆间形成粘接裂纹,微裂纹继续发展形成连续不稳定的贯通裂纹,最后失稳而破坏。由图可以明显地看到,在单轴压应力状态下,高强混凝土试块被劈裂成多个小柱体,试块破坏面平行于压应力方向,垂直于自由面,形成一个或多个破坏面的,具体的形态与施加的应力水平有关。这个结论与文献[12]结果一致。

图3 高温后高强混凝土的受压疲劳破坏形态
Fig.3 Failure mode of HSC under uniaxial compression loads after different high temperatures
测得高强混凝土试块在单轴受压循环荷载下的疲劳寿命如表2所示。由于一般认为混凝土材料的疲劳寿命服从对数正态分布[13―14],因此本文以相同应力水平下试验所得的疲劳寿命均值的对数值作为该工况下的疲劳平均寿命。
表2 高强混凝土疲劳试验结果
Table 2 Results of fatigue tests for HSC

注:P-X-X表示:疲劳试验-加温温度-恒温时间,P-0表示常温的HSC。
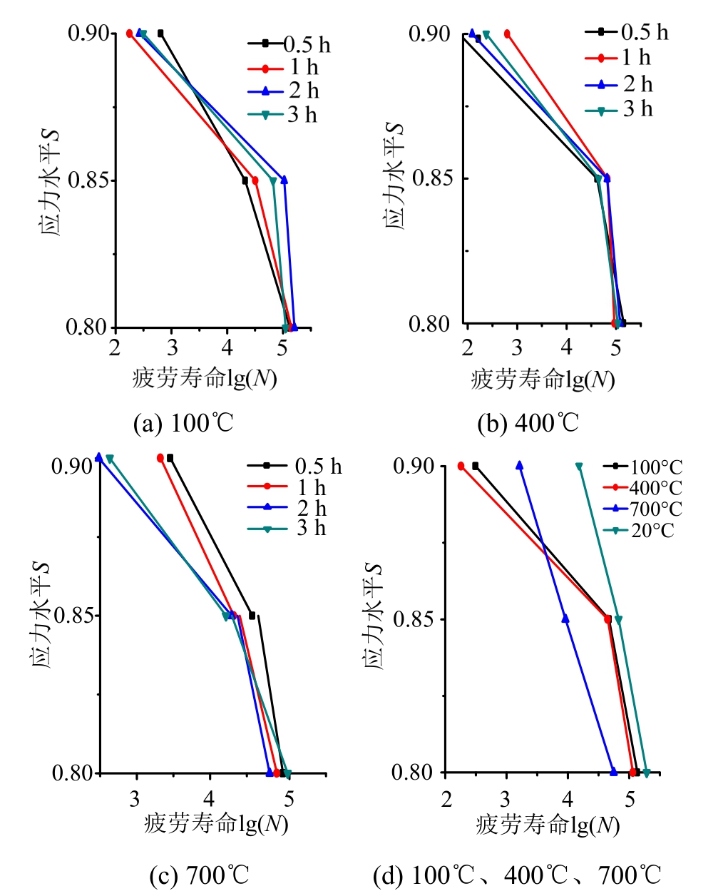
大量的研究表明,混凝土的疲劳强度问题通常归结为S-N曲线方程(也称作Wöhler方程)的建立,S-N曲线定量的描述了应力水平S和疲劳寿命N之间的关系,其数学表达式为:

图4 高强混凝土的疲劳强度与高温历程的关系
Fig.4 Relationship between fatigue strength of HSC with different high temperature history
式中,A和B为相应的系数,对表2及图4中的数据进行线性回归得到式(2)形式的方程为:

以上各式的相关系数分别为 0.859、0.805和0.918,可见具有较好的线性关系。文献[15]进行的普通混凝土单轴疲劳试验中最小应力水平与本文相同,其方程为:
由式(2)计算疲劳荷载循环次数达N=2×106时,高强混凝土疲劳强度折减系数分别为 0.651、0.653和 0.698。由此可以看出,不同加热温度对高强混凝土疲劳强度的影响十分显著。当疲劳荷载循环次数达到200万次时,高强混凝土的疲劳强度折减系数比普通混凝土有所降低,该趋势与其它文献资料所得结果是吻合的,见表3。
表3 疲劳强度折减系数
Table 3 Fatigue strength reduction factor

为便于工程应用和分析,本文在综合分析不同加温历程条件下的S-N曲线后,提出了综合考虑不同高温历程后统一的疲劳强度计算公式,其相关系数为0.922,可见具有较好的线性关系:

高强混凝土的单轴受压疲劳强度折减系数比普通混凝土要小,且随温度的升高而有很大的损失。因此对于可能会遭受火灾或高温作用后的混凝土结构,尤其是使用高强混凝土的结构,如果均按普通混凝土进行取值就不能很好的发挥材料的性能,造成浪费。
2.3.1 常用的概率分布
常用的概率分布函数主要有对数正态分布与威布尔分布统计理论,它们都可以很好应用于工程实际中[21],描述很多自然现象及工程问题,且推导简便、结果较为理想,分别如下所示:

2.3.2 疲劳寿命验证
利用表2中常温(400 ℃)高强混凝土单轴受压疲劳试验结果,对高强混凝土在不同应力水平下的疲劳寿命进行正态分布和威布尔两参数分布检验,结果如表4所示。
表4 400℃后高强混凝土疲劳寿命数据分析
Table 4 Analysis of fatigue life date for HSC after 400℃

由图5线性回归分析表明,相关系数越高,lnNi与Y1、Y2呈越好的线性关系,这也表面400 ℃后高强混凝土单轴受压疲劳寿命较好的服从对数正态分布和两参数Weibull分布。

图5 高强混凝土疲劳寿命的对数正态分布线性回归验证
Fig.5 Testing linearity of regression of lognormal distribution for HSC fatigue life
高强混凝土疲劳寿命的离散性随着最大应力水平的增加而增大,反映在不同回归分析中,则表现为对数正态分布更敏感于Weibull分布,因此也更适合于高强混凝土的疲劳寿命分析。针对疲劳寿命数据离散性大的问题,在试验中,应尽力避免干扰因素,如提高试块养护工艺,增加试验样本量,严格按照试验步骤的相关规范和规定执行等,努力提高试验精度,而在工程评估中则应给出较为保守、可靠的评价。
若以 Xi=lnNi作为横坐标,Y1=ϕ-1[F(lnNi)]为纵坐标,则其对数正态分布回归验证结果如图5(a)所示;若以Xi=lnNi作为横坐标,Y2=ln[ln(1/p)]为纵坐标,则其对数正态分布回归验证结果如图5(b)所示。
2.4.1 残余应变

图6 高温后高强混凝土受压疲劳残余应变
Fig.6 Residual strain of HSC for compressive fatigue with high temperature
本文试验中每隔一定次数进行高温后高强混凝土残余应变的测量,得到残余应变和循环次数的发展历程如图6所示。文[11、22―24]指出:随着疲劳次数的增长,混凝土单轴应力状态下的残余应变与疲劳总应变一样,都呈三阶段发展规律;而且疲劳破坏时的残余应变值不受应力水平的影响,也与加载历程无关,为常量。
对图6中的残余应变 εr与相对疲劳次数 N/Nf进行非线性回归,得到不同应力水平下的回归方程形式为:
其中:εr,T代表经高温后高强混凝土的疲劳残余应变;T表示加热温度,即100 ℃、400 ℃和700 ℃;t表示恒温时间,即 0.5 h~3 h;
为相对疲劳寿命;a、b、c、d、e为系数,见表5。
表5 式(6)系数表达式
Table 5 Expressions for coefficients of formula (6)

为便于工程应用和分析,本文在综合分析各种应力水平下高温后高强混凝土残余应变与相对疲劳寿命关系,提出了统一的计算公式:
当Smax=0.80,Smax=0.10时:

当Smax=0.85,Smax=0.10时:

当Smax=0.90,Smax=0.10时:

由图6及式(7)可知,高强混凝土的疲劳破坏时的残余应变与加热温度的高低、恒温时间的长短有关,与应力水平的大小和疲劳循环次数的多少关系不大,这与文献[11]得到的普通混凝土单轴疲劳残余应变的发展规律基本相同。100 ℃、400 ℃、700 ℃高温后高强混凝土疲劳破坏时的残余应变分别为:303 με、927 με、和 1116 με,其取值比普通混凝土单轴疲劳破坏时的残余应变值要大,此可以作为不同高温历程后高强混凝土疲劳破坏准则。
2.4.2 疲劳损伤模型
混凝土的疲劳损伤是由于其内部微裂纹不断扩展达到不稳定的状态,因此以疲劳残余应变作为疲劳损伤的度量是科学、合理的。根据损伤力学基本概念[25],定义相对残余应变,即残余应变εr,T与疲劳破坏极限残余应变
为损伤变量,损伤方程为:

式中:εr,T表示高温后高强混凝土的疲劳残余应变;
表示疲劳破坏极限残余应变;a、b、c为方程的系数,与加载工况及εr0有关。
图7给出了高温后高强混凝土损伤变量与相对疲劳次数的关系。该疲劳损伤模型可用于高强混凝土经不同温度历程后的低周单轴受压疲劳累积损伤分析。
考虑式(7)、式(8),对图5~图6的进行非线性回归,得到便于工程应用的损伤方程:


图7 高温后高强混凝土损伤与相对疲劳次数的关系
Fig.7 Relationship between damage and relative fatigue cycles of HSC with high temperature
(1)高温后高强混凝土的色泽逐渐变浅。加温至 100 ℃的试块颜色与高温前基本无差别,400 ℃时高强混凝土试块整体或者部分颜色会呈现铁锈红,与常温试块的颜色对比非常明显,直至恒温2h时铁锈红色消失,混凝土表面出现少量细微裂缝;700 ℃高温作用后试块外表呈灰白色,试块表面出现粗大裂缝。
(2)400 ℃后高强混凝土的单轴受压疲劳寿命较好的服从于对数正态分布和两参数Weibull分布。高强混凝土疲劳寿命的离散性随应力水平的增加而增大,反映在不同回归分析中表现为对数正态分布更敏感于 Weibull分布,因此也更适合于高强混凝土的疲劳寿命分析。
(3)高温后高强混凝土的残余应变的发展基本不受加载历程的影响,其变化特点与总应变的发展一样稳定。高强混凝土疲劳破坏时的残余应变值与高温历程有关,而与应力水平和疲劳寿命关系不大。对残余应变εr,T和相对疲劳次数N/Nf进行了非线性回归,分别得到了不同高温后高强混凝土疲劳破坏时的残余应变
,此可以作为不同高温历程后高强混凝土疲劳破坏准则。
(4)以相对残余应变为损伤变量,建立了高温历程与受压疲劳损伤的关系模型,其物理意义明确且符合损伤力学理论,可用于高强混凝土经不同高温历程后的单轴受压疲劳累积损伤分析。
参考文献:
[1]范维澄, 王清安, 姜冯辉, 等. 火灾学简明教程[M].合肥: 中国科学技术大学出版社, 1995 Fan Weichen, Wang Qingan, Jiang Fenghui. Brief tutorial on fire science[M]. Hefei: China University of Science and Technology Press, 1995. (in Chinese)
[2]李敏, 钱春香, 王珩, 等. 混凝土受火后力学性能变化规律的研究[J]. 硅酸盐学报, 2003, 31(11): 1116―1120.Li Min, Qian Chunxiang, Wang Heng, et al. Mechanical properties of high-strength concrete after fire [J]. Journal of The Chinese Ceramic Society, 2003, 31(11): 1116―1120. (in Chinese)
[3]何振军, 宋玉普. 高强高性能混凝土多轴拉压力学性能[J]. 力学学报, 2010, 27(10): 190―195 He Zhenjun, Song Yupu. Multiaxial tension-compressive mechanical behavior of plain high-strength high-performance concrete [J]. Engineering Mechanics,2010, 27(10): 190―195. (in Chinese)
[4]Kim GyuYong, Kim YoungSun, Lee TaeGyu. Mechanical properties of high-strength concrete subjected to high temperature by stressed test [J]. Transactions of Nonferrous Metals Society of China, 2009, 19: 128―133.
[5]Lu Xiao-bin, Thomas Hsu, Cheng-Tzu. Behavior of high strength concrete with and without steel fiber reinforcement in triaxial compression [J]. Journal of Materials in Civil Engineering, 2007, 19 (3): 261―268.
[6]Paula Folino, Guillermo Etse, Adrian Will. Performance dependent failure criterion for normal-and high-strength concretes [J]. Journal of Engineering Mechanics, 2009,135(12): 1393―1409.
[7]周新刚. 高温后混凝土轴压疲劳性能初探[J]. 工业建筑, 1996, 26(5): 33―36.Zhou Xingang, Wu Jiandong. Preliminary research on fatigue behavior of concrete after exposed to high temperature [J]. Industrial Construction, 1996, 26(5):33―36. (in Chinese)
[8]Long T Phan, Nicholas J Carino. Fire performance of high strength concrete: research needs [C]. Advanced technology in structural engineering. Structure congress,2000: 1―8.
[9]Cheng FuPing, Kodur V K R, Wang TienChih.Stress-strain curves for high strength concrete at elevated temperatures [J]. Journal of Materials in Civil Engineering, 2004, 16(1): 84―90.
[10]赵东拂, 刘梅. 高强混凝土高温后剩余强度及无损检测试验研究[J]. 建筑结构学报, 2015, 36: 365―372.Zhao Dongfu, Liu Mei. Experimental study on residual strength and nondestructive testing of high strength concrete after high temperature [J]. Journal of Building Structures, 2015, 36(2): 365―372.(in Chinese)
[11]资伟. 高温作用后混凝土结构力学性能及耐久性能研究[D]. 长沙: 中南大学, 2012.Zi Wei. Study on mechanical properties and durability of concrete structure after exposure to high temperature [D].Changsha: Zhongnan University, 2012. (in Chinese)
[12]吕培印. 混凝土单轴、双轴动态强度和变形试验研究[D]. 大连: 大连理工大学, 2002.Lü Peiyin. Experimental study on dynamic strength and deformation of concrete under uniaxial and biaxial action[D]. Dalian: Dalian University of Technology, 2002. (in Chinese)
[13]Cheong H K, Hong Zeng. Stress-strain relationship for concrete confined by lateral steel reinforcement [J]. ACI Materals Journal, 2002, 99(3):250―255.
[14]McCall John T. Probability of fatigue failure of plain concrete [J]. ACI Journal, Proceedings, 1958, 55(2):233―244.
[15]Bennett E W, Muir J. Some fatigue tests of high strength concrete in axial compression [J]. Magazine of Concrete Research, 1967.
[16]Nishiyame M, Muguruma H, Watanabe F. On the low cycle fatigue behaviors of concrete and concrete menbers under submerged condition [C]. High Strength Conference, Stavanger, Norway, June 1987.
[17]Zhao Dongfu, Gao Haijing. Fatigue properties of plain concrete under triaxial tension-compression-compression cyclic loading [J]. Shock and Vibration, 2017,2017, 10pages.
[18]Simes A J M. Miner’s rule with respect to plain concrete[C]. Heron, 1979, 24(1).
[19]R.Tepfers and T.Kutti. Fatigue strength of plain ordinary and lightweight concrete [J]. ACI Journal, May, 1979.
[20]吴佩刚, 赵光仪, 白利明. 高强混凝土抗压疲劳性能研究[J]. 土木工程学报, 1994, 27(3): 33―40.Wu Peigang, Zhao Guangyi, Bai Liming. Fatigue behavior of high strength concrete under compressive cyclic loading [J]. China Civil Engineering Journal,1994, 27(3):33―40. (in Chinese)
[21]张伟. 混凝土疲劳特性研究[D]. 天津: 河北工业大学,2016.Zhang Wei. Study of concrete fatigue characteristic [D].Tianjin: Hebei University of Technology, 2016. (in Chinese)
[22]赵东拂. 混凝土多轴疲劳破坏准则研究[D]. 大连: 大连理工大学, 2002.Zhao Dongfu. Study on fatigue criterion of plain concrete under multiaxial fatigue loading [D]. Dalian: Dalian University of Technology, 2002. (in Chinese)
[23]曹伟, 宋玉普, 刘海成. 混凝土三轴变幅压疲劳性能试验研究[J]. 工程力学, 2006, 23 (3): 111―117.Cao Wei, Song Yupu, Liu Haicheng. Fatigue properties of plain concrete under triaxial variable-amplitude tension-compression cyclic loading [J]. Engineering Mechanics, 2006, 23(3): 111―117. (in Chinese)
[24]赵东拂, 高海静, 杨健辉. 混凝土双轴拉压、三轴拉压压变幅疲劳性能研究[J]. 工程力学, 2017, 8(34): 154―160.Zhao Dongfu, Gao Haijng, Yang Jianhui. Variableamplitude fatigue properties of plain concrete under biaxial tension-compression and triaxial tension compression-compression cyclic loading [J]. Engineering Mechanics, 2017, 8(34): 154―160. (in Chinese)
[25]余寿文, 冯西桥. 损伤力学[M]. 北京: 清华大学出版社, 1997.Yu Shouwen, Feng Xiqiao. Damage mechanics [M].Beijing: Tsinghua University Press, 1997. (in Chinese)
RESEARCH ON THE COMPRESSIVE FATIGUE PROPERTIES OF HIGH STRENGTH CONCRETE AFTER HIGH TEMPERATURE
ZHAO Dong-fu1,2,3, GAO Hai-jing2,3, LIU Yu-chen2,3, LIU Hui-xuan2,3, JIA Peng-he2,3
(1. Beijing Collaborative Innovation Center of Energy Conservation and Emissions Reduction Technology,Beijing University of Civil Engineering and Architecture, Beijing 100044, China;2. School of Civil and Transportation Engineering, Beijing University of Civil Engineering and Architecture, Beijing 100044, China;3. Engineering Structure and New Materials of Beijing University Engineering Research Center, Beijing 100044, China)
Abstract:Fatigue tests are performed on 100 mm×100 mm×100 mm cubic specimens of plain high-strength concrete (HSC, 60 MPa) subjected to compression cyclic loading using aelectro-hydraulic servo fatigue testing machine. The effects of 100 ℃, 400 ℃ and 700 ℃ on the compressive strength, fatigue strain, residual strain,fatigue deformation modulus, fatigue life and so on are studied. The results show that the color of HSC becomes shallow after high temperature process, i.e., the test block is rust and red after 1h with 400 ℃ constant temperature, and the appearance of the test piece is gray at 700 ℃. Under the uniaxial compression fatigue load,the residual strain of concrete is in accordance with the three-stage development law, and the second stage is longer than that of the ordinary concrete. The relative residual strain is defined as the damage variable, and the relationship between the high temperature process and the fatigue damage is established. The results will be useful for the fatigue damage analysis of HSC subjected to comprehensive working conditions with repeated loading and different high temperature process.
Key words:high strength concrete (HSC); uniaxial fatigue; fatigue life; residual strain; fatigue damage
中图分类号:TU528.31
文献标志码:A
doi:10.6052/j.issn.1000-4750.2017.04.0316
文章编号:1000-4750(2018)08-0201-07
收稿日期:2017-04-26;修改日期:2017-09-05
基金项目:国家自然科学基金项目(51378045)
通讯作者:高海静(1992―),男,山西人,硕士,主要从事混凝土材料疲劳性能研究(E-mail: baboon007@126.com).
作者简介:
赵东拂(1967―),男,辽宁人,副教授,博士,硕导,主要从事混凝土疲劳和结构灾后评价研究(E-mail: zhaodongfu@bucea.edu.cn);
刘禹辰(1992―),男,北京人,硕士,主要从事混凝土材料疲劳性能研究(E-mail: liuyuchen118@126.com);
刘慧璇(1993―),女,江西人,硕士,主要从事混凝土材料疲劳性能研究(E-mail: mushroom0620@163.com);
贾朋贺(1990―),男,河南人,硕士,主要从事混凝土材料疲劳性能研究(E-mail: 18800161811@163.com).