陈宗平1,2,刘 祥1,周文祥1
(1.广西大学土木建筑工程学院,南宁 530004;2.广西大学工程防灾与结构安全教育部重点实验室,南宁 530004)
摘 要:为揭示历经高温作用后圆钢管与高强混凝土界面间的黏结滑移性能,设计 17个试件进行推出试验,试验考虑了高强混凝土强度等级、历经最高温度和界面黏结长度3个变化参数,通过试验,观察了试件的破坏过程及形态,得到试件加载端及自由端的荷载-滑移曲线,基于试验实测数据深入分析各变化参数对黏结强度、界面耗能及损伤的影响规律,提出了高温后圆钢管高强混凝土界面黏结强度的计算式以及黏结滑移本构方程。结果表明:随历经温度的升高,圆钢管与高强混凝土界面黏结强度呈现先增大后减小的变化规律;随着历经温度的升高,黏结强度随混凝土强度等级的提高而增大的影响程度逐渐减弱;界面黏结损伤随历经温度的升高有所推迟;界面黏结耗能能力随历经温度与混凝土强度等级的提高而下降。
关键词:高温试验;圆钢管;高强混凝土;黏结强度;滑移性能
圆钢管高强混凝土作为一种高性能组合构件,一方面外包钢管对内部高强混凝土起到了很好的约束作用,从而克服高强混凝土脆性大的缺点,同时内部混凝土的存在能有效避免钢管容易屈曲的弱点,从而使两种材料性能优势互补,性能得到充分发挥[1-2]。大量研究和应用表明该圆钢管高强混凝土结构符合现代工程要求,有着很好的推广应用前景[3-5]。
作为一种由两种不同材料组成的组合结构,圆钢管与内部高强混凝土接触界面间的黏结传力性能的好坏,直接影响到其组合效果,是确保其协同工作的基础。对这一关键问题,国内外学者均十分关注并开展了研究和取得了一定成果[6-7],这对推动圆钢管高强混凝土结构的研究和应用起到了十分重要的作用。
火灾作为一种多发灾害,研究圆钢管高强混凝土结构的火灾行为及灾后力学性能问题,对进一步丰富圆钢管高强混凝土结构的设计理论十分必要。火灾后圆钢管高强混凝土的力学性能如何,首先必须揭示圆钢管与高强混凝土界面间的黏结传力问题,对此开展研究十分必要,然而国内外文献上尚未见相关研究报道。本课题组前期对高温后方钢管、型钢与高强混凝土界面黏结滑移性能进行了初步研究[8-10],但由于截面形式的不同,方钢管径向刚度不均匀,受压时仅四个角部能够有效抵抗混凝土滑移,而圆钢管径向刚度均匀,受压时圆钢管对其周边混凝土的滑移均能起到约束抵抗作用。故不能直接等同于方钢管。为此,本文进行17个圆钢管高强混凝土历经高温后的推出试验,以揭示其内在本质。
制作了 17个试件,考虑了高强混凝土强度等级、历经最高温度和界面锚固长度3个变化参数,试件分4组,每组中均包含有1个用于对比的常温试件,具体参数详见表1。
试验所用钢材均为未经防锈、防火处理的直径165 mm、壁厚4 mm直焊缝圆钢管,几何尺寸及构造如图1所示。
表1 试件设计参数
Table 1 Characteristics of specimens

注:表中T为历经最高温度;t为最高温度恒温时长;H为试件高度;la为界面锚固长度;D为圆钢管直径。

图1 试件几何尺寸
Fig.1 Dimensions of specimens
采用P.O42.5级硅酸盐水泥、中粗河沙和粒径5 mm~25 mm的碎石、萘系高效减水剂、一级粉煤灰、硅灰、城市自来水配制高强混凝土,具体配比见表2。各种强度等级高强混凝土均预留了标准立方体试块,与试件同条件养护和升降温,进行立方体抗压强度测试。常温时实测 C60、C70、C80混凝土立方体抗压强度为 61.8 MPa、70.2 MPa、81.9 MPa,钢管屈服强度 366.8 MPa,极限强度467.5 MPa。
表2 高强混凝土配合比
Table 2 High strength concrete mix proportions

采用箱式电阻炉对试件进行模拟火灾高温试验,立式放置,升温速率为10℃/min,各设定温度的实测升温过程具体见图2。按照我国《建筑设计防火规范》GBJ16-87的耐火等级规定,试件达到最高温度时恒温60 min,然后自然冷却至常温。

图2 实测升温过程
Fig.2 Heating process
采用图3所示的试验装置进行高温后试件的推出试验,加载制度为位移控制,加载速率为0.001 mm/s。为了量测加载过程中钢管表面的应变变化情况,采用了图4所示的表面粘贴电阻应变计的量测方法。

图3 推出试验加载装置
Fig.3 Push out test device

图4 电阻应变计布置
Fig.4 Setting position of dial indicators
与常温相比,历经高温后圆钢管表面颜色有所差异,常温试件表面浅褐色、混凝土无裂缝,200℃时外表变黄,400℃时表面为棕色,端部混凝土出现裂缝,600℃时,表面呈红棕色、混凝土裂缝变宽,800℃时,表明为红褐色、端部混凝土出现脱皮现象。高温前后试件的外观变化如图5和图6所示。

图5 高温前后试件表观颜色
Fig.5 Specimens color after high temperatures

图6 高温后试件端部混凝土开裂
Fig.6 Concrete crack after high temperatures
对历经高温前后试件实测质量计算,可得质量烧失率。
式中:I为质量烧失率;M为高温前质量;Mf为高温后质量。

图7 烧失率随历经温度的变化
Fig.7 Burning ration varies with high temperature
图7为各不同强度等级高强混凝土历经高温后的质量烧失率情况,由图7可见,随温度的升高,质量烧失率逐渐增大,200℃时,烧失率在1%以内,400℃时在 3.5%左右,800℃时则达到 4.5%~6%。这个变化过程并非线性的,200℃~400℃这一阶段增加较大,这与升温过程中此温度区间有雾气冒出相对应,这可能是水分蒸发所致。不同强度等级高强混凝土的高温质量烧失率总体变化不大。
推出试验过程中,首先在加载端开始滑移,然后逐渐延伸到自由端。不同温度试件其破坏过程有所差异,常温试件,当加载至0.8Pu(Pu为极限荷载值)左右时,发出“咚咚”响音,而高温后的试件,则均为这一现象;但600℃、800℃试件,当加载至0.6Pu~0.8Pu时,圆钢管外表面掉皮并出现 45°滑移线,滑移线呈正负交叉。部分 600℃试件呈现鼓曲破坏形态。部分试件的破坏形态如图8所示。

图8 滑移线和屈曲破坏形态
Fig.8 Slip line and failure pattern of specimens
通过图3所示的加载和量测装置,可得到各试件加载端和自由端的荷载-滑移曲线(P-S曲线)。如图9所示,600℃试件由于破坏形态表现为钢管鼓曲,故只测得P-S曲线的上升段。由图可见,高温后圆钢管高强混凝土试件的荷载-滑移曲线呈现出一定的规律性,对加载端P-S曲线基本呈现上升段、缓慢下降段和平缓段三个阶段;而自由端则体现为无滑移段、上升段、缓慢下降段和平缓段四个阶段。
1)上升段对应着试件的加载初期,黏结力主要由化学胶结力提供,其相对滑移由界面层剪切变形引起,黏结应力随界面层剪切变形的增加而线性增大。
2)当加载至极限荷载后进入缓慢下降段,随着接触界面化学胶结力丧失发生剪切破坏,此时机械咬合力和摩阻力作用增强,并弥补丧失的化学胶结力,此过程伴随着界面混凝土的磨损行为,接触界面形成混凝土碎屑并沉积,导致界面摩擦系数减小。
3)水平段,随着圆钢管与高强混凝土界面摩擦磨损基本稳定,界面的正应力以及由其引起的摩擦阻力接近恒定值,黏结应力趋于稳定,但滑移继续增加,P-S曲线接近水平直线。


图9 各试件荷载-滑移曲线
Fig.9 Load-slip curve of specimens
各试件加载端的典型P-S曲线如图10所示,可分为直线上升段(OA)、下降段(AB)、近似水平段(BC)。而对于 AB段,极限荷载后曲线缓慢下降,持续时间短,下降幅度小。在试件加载初期,滑移随荷载的增大而增大,两者近似成直线关系。过峰值点A后,P-S曲线进入下降段,荷载缓慢减小而滑移不断增大。滑移增大至一定程度后,荷载变化很小(增减1 kN内)而滑移继续增大,曲线进入近似水平段。

图10 典型荷载-滑移曲线分类
Fig.10 Typical classification of load-slip curves
通过图4的量测装置可得到试件推出过程中的应变分布情况,如图11所示,图中x为测点距加载端距离。由图可见,加载初期荷载较小时,钢管应变大致呈直线分布;而荷载较大后,钢管应变大致呈指数分布。

图11 圆钢管纵向应变分布
Fig.11 Strain distribution of steel tube
表3给出了试件受力破坏过程中的特征点参数,表中定义P-S曲线的峰点荷载为极限荷载Pu,P-S曲线上平缓段对应荷载为残余荷载Pr。与其相对应的界面应力为极限黏结强度(简称黏结强度)τu和残余黏结强度τr。
式中:s为接触界面周长;la界面黏结长度。
各国规范对于圆钢管与混凝土界面黏结强度设计要求取值有所差异,中国规范 DBJ 13-61-2004[11]和日本规范AIJ[12]则均取0.225 MPa;英国规范 BS 540025[13]为 0.40 MPa;欧洲规范EC 4[14]则为 0.55 MPa。
对比表3数据和各国规范取值,发现,历经高温后圆钢管与高强混凝土界面间的黏结强度(τu和τr)均能满足规范要求。
表3 试件特征值
Table 3 Characteristic values of specimens

图12给出了圆钢管高强混凝土试件历经最高温度与界面黏结强度的关系曲线。由图可见,随历经温度T的升高,试件的黏结强度
和残余黏结强度
均表现为先升高后降低的变化过程。与常温时
和
相比,200 ℃时为1.16和1.18倍;400℃时为1.94和1.90倍;800 ℃为1.43和1.47倍。
出现这种先增大后减小的现象,这与圆钢管混凝土约束内部高强混凝土的机理有关:界面黏结强度由化学胶结力、机械咬合力及摩擦力三部分组成;高温作用导致高强混凝土损伤退化,使得其化学胶结力降低;受热胀冷缩影响,高强混凝土和圆钢管体积会发生变化,混凝土高温膨胀会引起内部裂缝的进一步发展,并且裂缝的不可逆性导致降温过程中混凝土的收缩量小于圆钢管的,进而阻碍钢管收缩,在两者之间产生一对挤压力。在一定温度范围内,历经高温和降温后两种材料的收缩差越大,挤压力就越大,由此能有效提高,界面间的机械咬合力和摩擦力,故,会表现出黏结强度变大。但当温度过高时,比如 800℃,过高温度使得高强混凝土损伤过大,接触界面一定厚度范围内混凝土易破碎,容易形成滚动摩擦层,导致黏结强度和残余黏结强度降低。

图12 历经温度对黏结强度的影响
Fig.12 Effect of max high temperature
圆钢管高强混凝土试件的混凝土强度等级与界面黏结强度之间的柱状图,如图13所示(分析中对相同强度等级、不同历经高温试件取平均值)。由图可见,随着混凝土强度等级的提高,试件的黏结强度和残余黏结强度变化不大,这与文献[15]中关于常温黏结强度随混凝土强度等级提高而增大的研究结论有所差异,这可能是由于高强混凝土高温损伤引起其材料性能差异受到削弱所致。

图13 混凝土强度等级对黏结强度的影响
Fig.13 Effect of concrete strength grade on bond strength
圆钢管高强混凝土试件的界面接触长度与黏结强度之间的柱状图,如图14所示,由图可见,相同混凝土强度等级下,黏结强度和残余黏结强度随界面接触长度的增大而降低。接触长度 la由250 mm 增大至 400 mm 时,20℃试件,
降低27.3%,
降低30.7%;400℃试件,
降低23.0%,
降低13.5%。

图14 界面接触长度对黏结强度的影响
Fig.14 Effect of interface length on bond strength
为定量描述试件损伤发展过程,采用文献[16]的损伤度计算方法。
式中:Kt为加载端P-S曲线任意点切线斜率;K为弹性阶段黏结剪切刚度。
图15给出了4个C60试件损伤度随相对滑移S/la的发展情况。由图15可见,其他参数相同的前提下,随温度的升高,试件的损伤发展过程推迟,常温时损伤较早发生,400 ℃和 800 ℃损伤发展最晚,其原因是经历升降温后混凝土产生了残余膨胀变形,外包圆钢管对内部混凝土由于温度涨缩变形差产生了相互作用的挤压力既“套箍作用”,内部混凝土因受外包圆钢管的约束作用,从而延缓了其损伤发展。

图15 不同历经温度试件的损伤发展
Fig.15 The damage of different temperature specimens
试件黏结失效的过程伴随着能量吸收与消耗,从耗能方面也能反映出试件的黏结损伤程度。参考文献[16]采用 η对界面黏结滑移耗能能力进行定量描述。
式中:SOHJG为图16中阴影面积;SOEFG为矩形OEFG的面积。

图16 耗能面积模型
Fig.16 Energy dissipation area model
图17给出了各试件耗能因子柱状图,由图可见,随着历经温度的升高,界面黏结耗能逐渐降低;随着混凝土强度等级的提高,界面黏结耗能逐渐减小。

图17 耗能因子
Fig.17 Energy dissipation factor of specimens
剪切刚度是反映圆钢管和高强混凝土界面抵抗荷载而产生滑移的主要指标。本文取拐点(0.8Pu)与原点割线的斜率作为弹性阶段黏结剪切刚度K。图18为各试件剪切刚度K的分布图。由图可见,随历经温度的升高,剪切刚度先上升后下降,400℃时达到最大值,800℃时降至略高于常温时的水平。

图18 试件的黏结剪切刚度
Fig.18 Shear stiffness of specimens
将圆钢管实测应变数据进行统计回归和拟合,可得各级荷载下应变分布情况,如图19所示。


图19 沿钢管长度方向的应变分布
Fig.19 Strain distribution along steel length direction
由图19可见,钢管应变呈指数函数分布。
式中,a、b、c为钢管应变分布特征值。
取一微段钢管进行受力分析,如图20所示,列力的平衡方程:

图20 钢管微段内力分布
Fig.20 Stress distribution along the micro steel

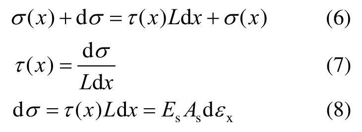
联解式(7)、式(8)得黏结应力与圆钢管应变的关系为:
将式(5)代入式(9)中,则有:
式中:τ(x)为x处的黏结应力;Es为钢材弹性模量;As为钢管截面面积;L为钢管截面周长。
由式(10)可知,黏结应力沿钢管长度也呈指数分布。


图21 黏结应力沿钢管长度分布
Fig.21 Bond stress distribution along steel embedment length
图21给出了界面黏结应力沿钢管长度方向的分布,由图可见,当荷载较小时,黏结应力沿钢管长度呈指数分布,而随着荷载的加大,式(10)中ebx逐渐趋于常数 1,黏结应力由指数型分布向均布型分布转变,靠近试件自由端界面黏结应力最大。
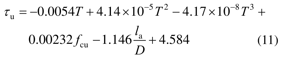
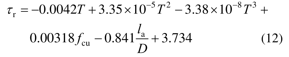
基于试验结果并参考以往相关领域研究成果,提出了以历经温度、混凝土强度及黏结长度等为变化参数的黏结强度计算式。
表4 计算与试验值比较
Table 4 Calculation and experimental results comparison

黏结强度公式:

残余黏结强度公式:

式中:T为历经温度,取值范围20 ℃~800 ℃;fcu/MPa为常温时混凝土的抗压强度;la/mm为黏结长度;D/mm为圆钢管直径。
表4为计算与试验实测结果的对比。由表可见,计算值与试验值总体吻合较好。
基于试验实测加载端P-S曲线呈现近似直线上升段、缓降段、水平段三个阶段,且下降段下降幅度很小的特点,本文采用忽略下降段,简化为两阶段的办法构建τ-S本构模型,如图22所示。

图22 两线式本构关系
Fig.22 Two lines model of constitutive relation

式中:τ/MPa为黏结应力;S/mm为加载端的滑移值;τu/MPa为黏结强度,其值由式(11)计算;Su/mm为极限荷载对应滑移量。
图23为式(13)计算值与试验值的对比情况,尽管两者之间有一定差异,但总体上还是吻合良好,本文提出的本构方程,可近似用于该类构件的数值模拟分析中。


图23 实测曲线与计算曲线对比
Fig.23 Comparison between measured and calculated results
(1)历经高温后,圆钢管高强混凝土推出试验的加载端和自由端荷载-滑移全过程曲线形状相似,加载端滑移较自由端早。
(2)历经高温后,圆钢管与高强混凝土界面间黏结强度随历经温度的升高呈现先增大后减小的变化规律,并且随接触长度的增大而减小。
(3)历经高温后,混凝土强度等级的变化对黏结强度的影响作用逐渐减弱。
(4)历经高温后,圆钢管高强混凝土试件的黏结损伤发展随温度的升高逐渐较迟;界面黏结耗能随混凝土强度等级和历经温度的升高而逐渐减弱;界面黏结剪切刚度则随历经温度的升高呈现先升后降的变化过程。
(5)提出了高温后圆钢管高强混凝土黏结强度计算公式,计算值与试验值吻合良好。
参考文献:
[1]蔡绍怀. 现代钢管混凝土结构[M]. 北京: 人民交通出版社, 2003: 1―15.Cai Shaohuai. Modern times structures of concrete filled steel tube [M]. Beijing: China Communications Press,2003: 1―15. (in Chinese)
[2]钟善桐. 钢管混凝土结构[M]. 3 版. 北京: 清华大学出版社, 2003: 1―8.Zhong Shantong. Structures of concrete filled steel tube[M]. 3rd ed. Beijing: Tsinghua University Press, 2003:1―8. (in Chinese)
[3]马恺泽, 梁兴文, 李斌. 高轴压比方钢管高强混凝土柱抗震性能研究[J]. 工程力学, 2010, 27(3): 155―162.Ma Kaize, Liang Xingwen, Li Bin. Aseismic behavior of high strength concrete - filled rectangular steel tubular columns with high axial load ratio [J]. Engineering Mechanics, 2010, 27(3): 155―162. (in Chinese)
[4]Xiong M X, Xiong D X, Liew J Y R. Axial performance of short concrete filled steel tubes with high and ultra -high - strength materials [J]. Engineering Structures,2017, 136: 494―510.
[5]白亮, 谢鹏飞, 周天华, 等. 钢管约束高强混凝土剪力墙压弯承载力及截面变形能力设计方法研究[J]. 工程力学, 2017, 34(11): 175―183.Bai Liang, Xie Pengfei, Zhou Tianhua, et al. Study on design method of axial force-moment capacity and sectional deformation capacity of steel tube confined high-strength concrete shear walls [J]. Engineering Mechanics, 2017, 34(11): 175―183. (in Chinese)
[6]Hamad B S, Haidar E Y A. Bond studies of high-strength concrete joints confined with stirrups, steel fibers, or fiber-reinforced polymer sheets [J]. Journal of Structural Engineering, 2016, 142(1): 04015098.
[7]康希良, 程耀芳, 涂昀, 等. 钢管混凝土粘结-滑移性能试验研究及数值分析[J]. 工程力学, 2010, 27(09):102―106.Kang Xiliang, Chen Yaofang, Tu Yun, et al. Experimental study and numerical analysis of bond - slip performance for concrete filled steel tube [J]. Engineering mechanics,2010, 27(09): 102―106. (in Chinese)
[8]陈宗平, 刘祥, 徐金俊, 等. 高温后方钢管高强混凝土界面黏结性能试验研究[J]. 建筑结构学报, 2017,38(6): 133―143.Chen Zongping, Liu Xiang, Xu Jinjun, et al. Study on interface bond behavior of high strength concrete filled square steel tube after high temperatures [J], Journal of Building Structures, 2017, 38(6): 133―143. (in Chinese)
[9]陈宗平, 周文祥, 徐金俊. 高温后型钢高强混凝土界面黏结滑移性能试验研究[J]. 建筑结构学报, 2015,36(12): 106―115.Chen Zongping, Zhou Wenxiang, Xu Jinjun.Experimental study on bond-slip behavior of steel reinforced high strength concrete after high temperature[J]. Journal of Building Structures, 2017, 38(06): 133―143. (in Chinese)
[10]周文祥. 高温后钢与高强混凝土界面黏结滑移性能试验研究[D]. 广西: 广西大学, 2016.Zhou Wenxiang. Experimental study on bond-slip behavior of steel and high strength concrete after high temperature [D]. Guangxi: Guangxi University, 2016. (in Chinese)
[11]DBJ 13-61-2004, 钢-混凝土混合结构技术规程[S]. 福州.DBJ 13-61-2004, Technical specification for steel-concrete mixed structure [S]. Fuzhou (in Chinese)
[12]AIJ. Recommendations for design and construction of concrete filled steel tubular structure [S]. Tokyo:Architectural Institute of Japan, 1997.
[13]BS 540025: 2005, Steel concrete and composite bridges:Part 5: Code of Practice for the Design of Composite Bridges [S]. London: British Standard Institute, 2005.
[14]Eurocode 4 (EC4). Design of composite steel and concrete structures-Part1-1: General Rules and Rules for Buildings [S]. Brussels: CEN, 2004.
[15]郑山锁, 李磊, 邓国专, 等. 型钢高强高性能混凝土梁粘结滑移行为研究[J]. 工程力学, 2009, 26(1): 104―112.Zheng Shansuo, Li Lei, Deng Guozhuan, et al.Experimental study on bond-slip behavior between shaped steel and HSHP concrete in steel reinforced HSHP concrete beams [J]. Engineering Mechanics, 2009,26(1): 104―112. (in Chinese)
[16]徐金俊, 陈宗平, 薛建阳, 等. 圆钢管再生混凝土界面黏结失效的推出试验研究[J]. 建筑结构学报, 2013,34(7): 148―156.Xu Jinjun, Chen Zongping, Xue Jianyang, et al. Failure mechanism of interface bond behavior between circular steel tube and recycled aggregate concrete by push-out test [J]. Journal of Building Structures, 2013, 34(7):148―156. (in Chinese)
INTERFACE BOND BEHAVIOR BETWEEN CIRCLE STEEL TUBE AND HIGH STRENGTH CONCRETE AFTER HIGH TEMPERATURES
CHEN Zong-ping1,2, LIU Xiang1, ZHOU Wen-xiang1
(1. College of Civil Engineering and Architecture, Guangxi University, Nanning 530004, China;2. Key Laboratory of Disaster Prevention and Structural Safety of China Ministry of Education, Guangxi University Nanning 530004, China)
Abstract:In order to reveal the interface bond behavior between a circle steel tube and high strength concrete(HCST) after high temperatures, a total of 17 circle steel tubes filled high strength concrete specimens were designed for a push-out test after high temperatures, by considering three parameters such as high strength concrete grade, max high temperature and of bond length. The load-slip curves, bond strain distribution and parameters of feature points were obtained. After that, the computational formulas for residual bond strength were gained by regression. The influence of change factors on the slip behavior of HCST specimens was analyzed, and the bond slip constitutive formula was put forward. The results show that: the bond strength decreases with the increase of temperature, the effect of bond strength increases with the strengthen of concrete subsided after temperature; the bond damage process was postponed with the increase of temperature; the energy dissipation capacity of the bonding interface increased with the rise of concrete strength grade and temperature.
Key words:high temperature test; circle steel tube; high strength concrete; bond strength; slip behavior
中图分类号:TU398.9
文献标志码:A
doi:10.6052/j.issn.1000-4750.2017.03.0226
文章编号:1000-4750(2018)08-0192-09
收稿日期:2017-03-21;修改日期:2018-06-08
基金项目:国家自然科学基金项目(51578163);广西自然科学基金项目(2016GXNSFDA380032);广西高等学校高水平创新团队及卓越学者计划资助项目(桂教人[2017]38号)
通讯作者:陈宗平(1975―),男,广西人,教授,博士,博导,主要从事钢-混凝土组合结构、再生混凝土结构、异形柱结构等方面的研究(E-mail: zpchen@gxu.edu.cn).
作者简介:
刘 祥(1991―),男,河北人,博士生,主要从事钢-混凝土组合结构受力性能研究(E-mail: 276723135@qq.com);
周文祥(1990―),男,湖南人,工程硕士,主要从事钢-混凝土组合结构受力性能研究(E-mail: 1248040249@qq.com).