贾宏宇1,2,杜修力1,李兰平2,黄胜前2,郑史雄2
(1.北京工业大学城市与工程安全减灾教育部重点实验室,北京 100124;2.西南交通大学 土木工程学院,成都 610031)
摘 要:为了表征地震动随机性对梁体碰撞间隙宽度设计的影响,基于随机振动理论和矩阵系统可靠度运算方法提出一套评价桥梁系统间隙需求宽度的概率方法。首先,建立空间地震激励下的桥梁碰撞间隙需求概率模型;其次,建立了桥梁梁体碰撞的有限元模型,推导了震级与梁体间隙宽度超越概率的关系;最后,基于矩阵系统运算方法得到桥梁系统所有碰撞处(梁体与梁体、梁体与桥台)各碰撞间隙宽度和桥梁系统碰撞概率关系。研究表明:随着震级增加,间隙宽度需求成非线性增加;梁体-桥台碰撞需求基本一致,梁体-梁体的碰撞概率比梁体-桥台碰撞概率要约大 20%;在震级为 7时,三个碰撞点均发生碰撞的超越概率约为 63%,至少两处发生碰撞的概率为95%,至少一处发生碰撞的概率为100%。
关键词:桥梁碰撞;碰撞间隙;矩阵系统可靠度;随机振动;地震作用
历次地震灾后调查发现,地震作用下桥梁设计提供的梁体间隙宽度不足时,不能满足梁体之间的相对位移需求,从而导致梁体之间发生碰撞破坏[1]。当桥梁遭受频遇的小地震时,梁体之间的碰撞可能导致梁体局部破坏。当遭受罕遇的大地震时,梁体之间的碰撞可能导致落梁,甚至在落梁过程中,梁体可能会对桥墩有巨大冲击,造成全桥的垮塌,进而使得灾后桥梁修复困难。如何提供合理的间隙宽度来减轻或避免梁体在地震中的碰撞,已成为桥梁抗震领域研究的关键问题[2,3]。
基于概率理论来研究桥梁碰撞间隙宽度的设计能表征地震动的随机性对间隙宽度的影响。国内外学者对碰撞间隙宽度的研究较少,研究方法基本分为确定性动力时程分析和非确定性的随机振动两种方法[4]。众所周知,动力时程分析方法要体现随机性,则需通过大量的时程积分运算才能得到相对位移响应峰值均值[5]。如要得到桥梁单个构件破坏的条件超越概率,需要计算不同地震强度水平下的峰值响应均值和方差,计算量巨大,更不用说考虑桥梁整个系统的条件超越概率[6―8];同时,随机振动法可方便得到相对位移响应峰值均值,但是因其理论复杂,计算效率低下,在实际工程中应用较少[9―12]。基于随机振动方法研究各种因素对桥梁碰撞间隙宽度设计的影响,主要因素有土层分布[13]、地震空间性[14]、地震非平稳性[15]、桩-土-结构相互作用[16,17]、支座参数(刚度和阻尼)[18]和地震动强度[4]等。但是,上述的研究均未涉及桥梁系统碰撞概率。桥梁结构是一个完整的系统,从系统概率角度来研究桥梁碰撞间隙宽度是非常必要的。
该文基于以上研究,在线弹性范围内提出一套专门评估间隙宽度设计的概率分析方法,将上述研究扩展到桥梁系统的层面,基于振型叠加法在频域内推导了震级与梁体间隙宽度超越概率的关系。基于矩阵系统运算方法得到桥梁系统所有碰撞处(梁体与梁体和梁体与桥台)的碰撞间隙宽度和桥梁系统碰撞概率关系。
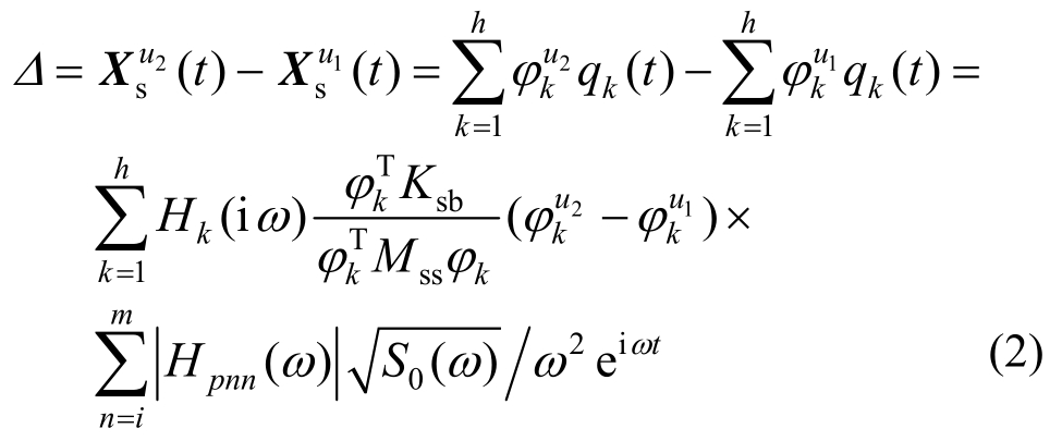
地震作用下桥梁结构系统动力方程可表示为:

式中:Xb为桥梁墩底地面处强迫位移;Xs为桥梁系统节点位移;M、C和K分别为质量矩阵、阻尼矩阵和刚度矩阵;Pb代表桥梁墩底处受到的地震力。为了求解此方程,该文以作者发表的文献[4]为基础,运用绝对位移法直接求解运动方程(1),并借助虚拟激励法提高计算效率,具体方程求解和虚拟地震力构造参见文献[4]。通过振型叠加法求解动力方程,任意两节点(u1,u2)相对位移响应为:

式中:h为桥梁振型阶数,m为桥梁墩底地面处地震输入点个数;Δ表示碰撞体之间的相对位移;φk为结构第k阶振型;qk为结构的第k阶模态响应,与之对应圆频率和模态阻尼比分别为ωk和ξk;H(iω)为频率响应函数。
任意两节点(u1,u2)相对位移功率谱密度函数表示为:

式中:“*”表示复数矩阵共轭;“T”表示复数矩阵转置。第i阶谱矩阵表示为:
基于 Davenport[19]理论,峰值响应的期望和均方差分别为:
峰值期望:
峰值均方差:
式(5)~式(6)中:ye和 σy分别为线性响应 X(t)的峰值和标准差,并定义无量纲参数
;平均频率表示为
E(η)为η的近似峰值期望值表示为
;τ为地震持时,该文取25 s,γ=0.5772为欧拉常数。
基于式(1)~式(6)可得到不同地震强度水平作用下桥梁梁体之间和梁体与桥台之间的相对位移(Δ)的响应峰值,从而得到地震作用下梁体间的间隙宽度平均需求和均方差,为超越碰撞间隙宽度的条件概率需求模型奠定基础。
基于Ruiz和Penzien的研究,结构峰值响应的实际概率分布与极值I型分布一致。因此,在平稳的随机地震激励中,假设相对位移峰值响应Xpeak为随机变量且服从极值I型分布是符合实际的。则Xpeak概率分布函数可表示为:
式中:![]()
不同震级下的相对位移响应峰值均值和均方差由式(5)~式(6)得到并表示为各震级条件下峰值均值和均方差分别为
和
,那么在特定某一震级下超过间隙宽度并使得桥梁发生碰撞的概率被称为条件碰撞概率。条件碰撞超越概率表示如下:
式中:
从式(8)中可知,震级条件下峰值均值
和均方差
已知情况下,Xpk/m的分布可以判断任意间隙宽度时的条件碰撞超越概率。
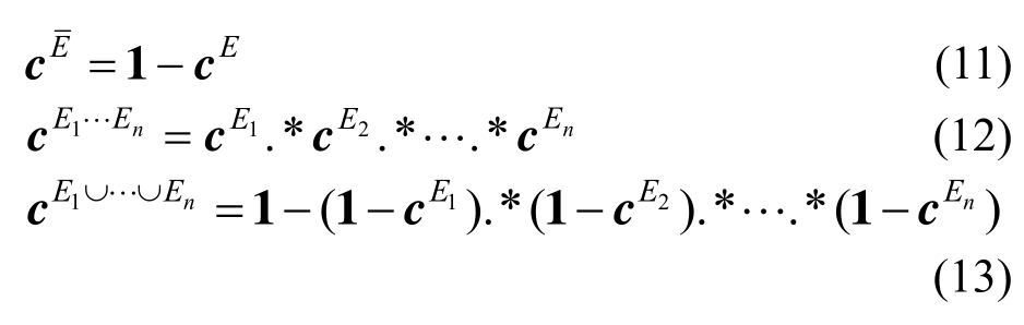
假设桥梁结构在第 i个碰撞点(间隙处)有 di个设计间隙宽度,i=1,2,…,n,则样本空间被划分为
个穷尽互斥基本事件,且用 ej表示,j=1,2,…,m。c表示任意发生碰撞事件的系数向量且由0和1组成。那么,事件ej发生的概率可表示为pj=p(ej),j=1,2,…,m。又因事件ej互斥,则系统事件的概率Esys可表示为ej事件之和。因此,系统概率表示为两向量的内积:
式中:P为概率矩阵的列向量。
桥梁结构系统在任意碰撞点考虑多个设计间隙宽度对系统概率的影响时,那么系统碰撞事件概率可表示为
表示系统概率矩阵,其中,矩阵中i行j列元素Psys(i, j)表示第i个事件在第j个条件下的概率。基于式(9)可以知道,只要确定C和P中各元素,则碰撞系统事件概率就能方便得到,而系数矩阵C通过以下迭代方式得到:

式中:C[n]中的第i列表示第i个事件向量,且0和1表示长度为 2i-1列向量,记为cEi。cEi有如下的运算关系:

同理,概率p也可由矩阵迭代计算得到:

式中: Pi表示第i个事件概率,且![]()
该文采用文献[4]中桥梁模型,具体参数介绍详见文献[4]。地震作用下桥梁碰撞点在梁体-梁体(Δ2)和梁体-桥台(Δ1和 Δ3),如图1。按照实际场地分布情况(中场地、软场地、硬场地、中场地和软场地:M-Medium,S-Soft,F-Firm,M-Medium,S-Soft)考虑地震作用下超越各设计间隙宽度的系统碰撞概率。为了研究需要,假设设计间隙宽度Δ1和 Δ3分别取 10 cm 和 15 cm,Δ2取 20 cm。间隙宽度值设置可根据设计需要进行调整,该文方法无任何限制。
该文输入地震动的场地参数按照文献[4]中实际场地分布选择和取值。选用修正的Kanai-Tajin功率谱模型,硬、中和软三种场地参数见表1。该文用表1体现地震动输入的场地土类型。

图1 桥梁结构及场地分布示意图/m
Fig.1 Schematic layout of bridge structure and site distribution
表1 场地土类型参数
Table 1 Site soil type parameters

修正的 Kanai-Tajin功率谱模型中参数Γ表示谱强度因子,采用刘恢先建议公式(15)建立Γ与震级的关系,且该文用表2考虑场地土与震级的对应关系。

式中:
和I分别为地震地面最大加速度和震级,K为场地系数,硬、中和软场地分别取749.14、984.09和1058.06。
表2 地震动谱强度因子Γ/(cm2/s)
Table 2 Spectral intensity factor of earthquake Γ/(cm2/s)

为了研究设计的间隙宽度对桥梁碰撞概率的影响,分析了不同震级地震作用下超出每一个设计梁体间隙宽度的概率分布情况;对于桥梁系统而言,分析了桥梁系统中至少一个间隙处发生碰撞的条件超越概率,至少有两个间隙处发生碰撞的系统条件超越概率,三处都发生碰撞的系统条件超越概率。根据1.3节理论,算例中发生碰撞的间隙数量i=3;假设每一个间隙处仅设计有1个间隙宽度值,那么就有发生碰撞和不发生碰撞 2个独立状态且di=2;样本空间 S被分为
=8个基本事件,则第j个基本事件
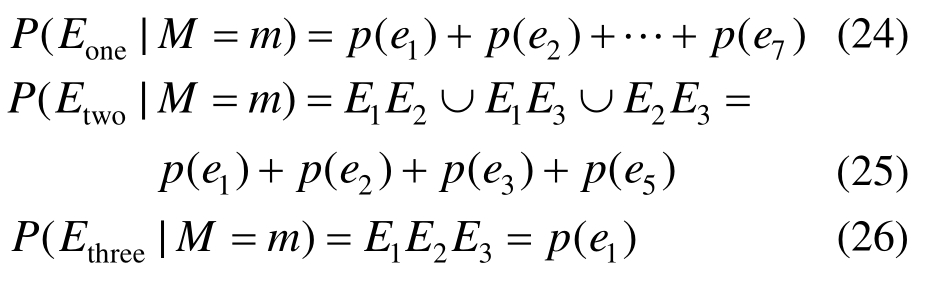
桥梁碰撞事件样本空间见图2。桥梁碰撞系统事件的概率Esys可表示为ej( j=1,2, …, 8)事件概率之和。设碰撞间隙Δ1处超过间隙宽度发生碰撞的概率事 件 分 别 为 EΔ 1=1 0= E1,同理, EΔ 2= 2 0= E2和EΔ 3=1 5= E3。那么,对每一个间隙宽度值,在地震作用下的条件超越概率可表示为P(Ei|M =m),i = 1 ,2,3,M表示震级。故该文工况1~工况4设置如下:
1)任意一个碰撞间隙处发生碰撞的条件超越概率:
2)至少一个碰撞间隙处发生碰撞的条件超越概率:
3)至少两个间隙处发生碰撞的条件超越概率:
4)三个碰撞间隙处发生碰撞的条件超越概率:
2.3.1 确定系数向量矩阵
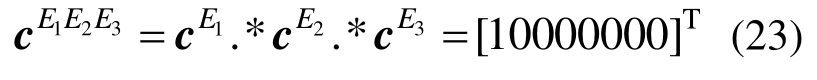
工况1~工况4中系数向量矩阵由式(11)~式(13)可计算得到,假设 cE表示事件的系数向量,则工况1中系数向量表示为:
由图2可知,![]()
![]()
工况2中系数向量表示为:

工况3中系数向量表示为:

工况4中系数向量表示为:

图2 桥梁系统碰撞样本空间
Fig.2 Sample space for bridge pounding system
基于上述推导,简单的系统事件可以从图2直接得到系数向量,但是对于复杂的系统事件,系数向量的运算式(11)~式(13)就非常重要,且计算快速。为了验证式(21)~式(23)运算的正确性,该文给出了由图2直接可得出系统概率事件工况2~工况4的表达式分别为:

从式(24)~式(26)中容易看出基本事件概率前系数与式(21)~式(23)中系数一致,说明了本方法的正确性。
2.3.2 确定概率向量矩阵
地震作用下,假设超过设计间隙宽度值桥梁就发生碰撞且相互独立。概率向量长度等于系统基本事件个数,那么当基本事件多而复杂时,如果逐个求解概率将是一个极其复杂的工作,而且效率极低,所以该文采用矩阵迭代方法且在具有矩阵运算优势的MATLAB中实现,方便快捷。设![]()
同理:![]()
![]()

为了研究桥梁系统的碰撞概率,该文基于2.3.1节和2.3.2节推导分别得到系数向量C和概率向量P,则系统事件概率就可根据Psys=CTP得到。同时,该文也给出不同震级水平下三个碰撞点的间隙宽度需求。
从图3可知,随着震级增加,间隙宽度需求成非线性增加;碰撞间隙Δ1和碰撞间隙Δ3是桥梁桥台处间隙需求,这两线几乎重合,说明梁体-桥台碰撞需求基本一致,该桥两端桥台处间隙需求宽度可有相同设置;碰撞间隙Δ2为梁体-梁体的碰撞,此处需求比桥台处需求要约大 20%,需要考虑减震措施;该图也给出了各震级下间隙宽度需求的均值,为桥梁抗震设计提供参考,但是此图未体现间隙宽度需求的概率特性。

图3 不同震级需求间隙宽度
Fig.3 Demand required distance at different ground motion intensity
图4为间隙宽度Δ1=10 cm、Δ2=20 cm 和Δ3=15 cm时在各震级下的条件超越概率。碰撞间隙Δ1的条件碰撞概率比碰撞间隙Δ2和碰撞间隙Δ3要大,这是因为碰撞间隙Δ1处的间隙距离是10 cm比其他碰撞点要小,所以不同水平地震作用下的条件超越概率大;碰撞间隙Δ2在小于7度时的条件超越概率较碰撞间隙Δ3小,在大于7度后,条件超越概率比碰撞间隙Δ3处大,因为随着震级的增加,碰撞间隙Δ2的超过间隙宽度20 cm的递增加速度比碰撞间隙Δ3超过间隙宽度15 cm要大。因此,此桥根据7度设防为分界点,需重视碰撞间隙Δ2和碰撞间隙Δ3的间隙宽度设置和采取合理的减隔震措施。

图4 间隙宽度条件碰撞概率(工况1)
Fig.4 Conditional pounding probability of separation distance(Case 1)
图5中工况2为至少一个碰撞间隙处发生碰撞的条件超越概率,如桥梁系统有一个碰撞间隙处发生碰撞就认为该桥发生了碰撞破坏,则工况2表示桥梁系统碰撞破坏的条件超越概率曲线。从图5可知,系统条件超越概率(工况2)比任意单个碰撞间隙的超越概率都要大。图6给出了工况2、工况3和工况4的对比,参与碰撞的点越多,则系统碰撞超越概率越小。根据地震危害性分析报告,该桥的设防等级为7级。从图5可知,在震级为7时,三个碰撞间隙处均发生碰撞的超越概率约为63%,至少两处发生碰撞的概率为95%,至少一处发生碰撞的概率为100%。

图5 系统条件碰撞概率(工况2)
Fig.5 Conditional pounding probability of system (Case 2)

图6 系统条件碰撞概率(工况2~工况4)
Fig.6 Conditional pounding probability of system(Case 2~Case 4)
基于概率论提出了一套评价桥梁系统间隙需求宽度的概率方法,建立了不同震级地震强度下桥梁系统超过间隙宽度值而发生碰撞的条件超越概率。分析了地震作用下,桥梁各间隙处发生碰撞和桥梁系统发生碰撞的条件超越概率,该文结论如下:
(1)该文提出了评价桥梁系统间隙需求宽度的概率方法,可计算不同地震强度下不同间隙宽度下发生碰撞的条件超越概率,表征了地震作用下桥梁碰撞分析的概率特性;
(2)引入矩阵运算方法从理论上提高系统条件超越概率的计算效率,只需改变系数矩阵C就可计算不同情况下的系统概率,而P矩阵则不需要任何改变;
(3)随着震级增加,该文选用桥梁的间隙宽度需求成非线性增加,该桥在震级为7度时,三个碰撞间隙处均发生碰撞的超越概率约为63%,至少两处发生碰撞的概率为95%,至少一处发生碰撞的概率为100%。
参考文献:
[1]Kawashima K, Takahashi Y, Ge H, et al. Reconnaissance report on damage of bridges in 2008 Wenchuan, China,Earthquake [J]. Journal of Earthquake Engineering, 2009,13(7): 965―996.
[2]Hao H. A parametric study of the required seating length for bridge decks during earthquake [J]. Earthquake Engineering & Structural Dynamics, 1998, 27(1): 91―103.
[3]Hao H, Zhang S R. Spatial ground motion effect on relative displacement of adjacent building structures [J].Earthquake Engineering & Structural Dynamics, 1999,28(4): 333―349.
[4]贾宏宇, 杜修力, 李晰, 等. 地震作用下高墩铁路桥梁梁体碰撞间隙宽度需求机理分析[J]. 工程力学, 2017,34(2): 207―215.Jia Hongyu,Du Xiuli,Li Xi,et al. Demand mechanism analysis on pounding separation distance of high pier railway bridges subjected to earthquake excitations [J].Engineering Mechanics, 2017, 34(2): 207―215. (in Chinese)
[5]李青宁, 尹俊红, 张瑞杰, 等. 桥梁碰撞振动台试验及参数敏感性分析[J]. 长安大学学报(自然科学版),2016, 36(4): 58―65.Li Qingning,Yin Junhong,Zhang Ruijie,et al. Shaking table test of bridge pounding and analysis on parameter sensitivity [J]. Journal of Chang’an University (Natural Science Edition), 2016, 36(4): 58―65. (in Chinese)
[6]Dezfuli F H, Alam M S. Effect of different steel-reinforced elastomeric isolators on the seismic fragility of a highway bridge [J]. Structural control &Health Monitoring, 2017, 2(24):1―15.
[7]Rao A S, Lepech M D, Kiremidjian A S, et al. Simplified structural deterioration model for reinforced concrete bridge piers under cyclic loading [J]. Structure and infrastructure Engineering, 2017, 13(1): 55―66.
[8]Castaldo P, Palazzo B, Mariniello A. Effects of the axial force eccentricity on the time-variant structural reliability of aging r.c. cross-sections subjected to chloride-induced corrosion [J]. Engineering Structures, 2017, 130: 261―274.
[9]贾宏宇, 郑史雄. 基于场地效应的山区高墩桥梁随机地震响应分析[J]. 公路交通科技, 2012(6): 93―97.Jia Hongyu,Zheng Shixiong. Analysis of random seismic response of high-rise pier bridge in mountain area based on site effect [J]. Journal of Highway and Transportation Research and Development, 2012(6): 93―97. (in Chinese)
[10]贾宏宇, 郑史雄, 阳栋, 等. 非平稳多维多点虚拟激励法的快速模拟方法[J]. 振动与冲击, 2013(18): 108―112.Jia Hongyu, Zheng Shixiong, Yang Dong, et al. Fast simulation technique for non-stationary multidimensional and multi-support pseudo excitation method[J]. Journal of Vibration and Shock, 2013(18): 108―112.(in Chinese)
[11]贾宏宇, 郑史雄. 直接求解多维多点地震动方程的虚拟激励法[J]. 工程力学, 2013, 30(3): 341―346.Jia Hongyu, Zheng Shixiong. Pseudo excitation method of direct solving ground motion equation of multi-dimensional and multi-support excitation [J].Engineering Mechanics, 2013, 30(3): 341―346. (in Chinese)
[12]李忠献, 岳福青, 周莉. 基于随机振动理论确定桥梁地震碰撞的临界间隙[J]. 地震工程与工程振动, 2006,26(4): 156―161.Li Zhongxian, Yue Fuqing, Zhou Li, et al. Determination of critical gap length of seismic pounding for bridges based on random vibration theory [J]. Earthquake Engineering and Engineering Vibration, 2006, 26(4):156―161. (in Chinese)
[13]Zhang Deyi, Jia Hongyu, Zheng Shixiong, et al. A highly efficient and accurate stochastic seismic analysis approach for structures under tridirectional nonstationary multiple excitations [J]. Computers & Structures, 2014,145: 23―35.
[14]Bi K, Hao H, Chouw N. Required separation distance between decks and at abutments of a bridge crossing a canyon site to avoid seismic pounding [J]. Earthquake Engineering & Structural Dynamical, 2010, 39(3): 303―323.
[15]贾宏宇. 非平稳地震激励下山区高墩桥梁随机响应计算理论及应用研究[D]. 成都: 西南交通大学, 2013.Jia Hongyu. Random response computational theory and application research of high pier bridges subjected to non-stationary earthquake excitations in the mountains[D]. Chengdu: Southwest Jiaotong University, 2013. (in Chinese)
[16]Chouw N, Hao H. Significance of SSI and non-uniform near-fault ground motions in bridge response II: Effect on response with modular expansion joint [J].Engineering Structures, 2008, 30(1): 154―162.
[17]李忠献, 周莉, 岳福青. 地震动空间效应与土-基础相互作用效应对隔震桥梁临界碰撞间隙的影响[J]. 土木工程学报, 2010, 43(7): 85―90.Li Zhongxian, Zhou Li, Yue Fuqing. Effects of spatial variation of ground motion and soil foundation interaction on critical pounding gap length of seismic isolated bridges [J]. Journal of Civil Engineering, 2010,43(7): 85―90. (in Chinese)
[18]Bi K, Hao H, Chouw N. Influence of ground motion spatial variation, site condition and SSI on the required separation distances of bridge structures to avoid seismic pounding [J]. Earthquake Engineering & Structural Dynamical, 2011, 40(9): 1027―1043.
[19]Davenport A G. Note on the distribution of the largest value of a random function with application to gust loading [J]. Proceedings of the Institution of Civil Engineers, 2015, 28(2): 187―196.
PROBABILITY ANALYSIS OF POUNDING SEPARATION DISTANCE OF BRIDGES SUBJECTED TO EARTHQUAKE EXCITATIONS
JIA Hong-yu1,2, DU Xiu-li1, LI Lan-ping2, HUANG Sheng-qian2, ZHENG Shi-xiong2
(1. The Key Laboratory of Urban Security and Disaster Engineering, Beijing University of Technology, Beijing 100124, China;2. School of Civil Engineering, Southwest Jiaotong University, Chengdu 610031, China)
Abstract:To characterize the influence of randomness of ground motion on the pounding separation distance, based on the stochastic vibration theory and the matrix system reliability computing method, a probabilistic approach was proposed to evaluate the required separation length of a bridge system. Firstly, a probability model was developed on pounding separation distance of a bridge under spatially varying seismic loads. Secondly, the finite element model of the bridge pounding system was built, and the conditional exceedance probability relation of the separation distance between the adjacent bridge decks and the earthquake magnitude was obtained. Finally, by using the matrix system reliability computing method, the pounding probability relation of the bridge system and separation lengths of all pounding points (deck-deck and deck-abutment) was obtained. Some important conclusions were drawn that the demand of the separation length nonlinearly increases with the increase in the magnitude; the demand of pounding separation distance on deck-abutment at two ends of employed bridge was almost in agreement and the pounding probability at deck-deck pounding point was about 20% larger than that at deck-abutment pounding point. At a magnitude of 7, the probability of all three pounding points triggered was about 63%, the probability of at least two collision was 95%, and the probability of at least one collision was 100%.
Key words:bridge pounding; pounding separation length; matrix system reliability; random vibration; seismic action
中图分类号:TU311.3
文献标志码:A
doi:10.6052/j.issn.1000-4750.2017.03.0263
文章编号:1000-4750(2018)08-0039-07
收稿日期:2017-03-31;修改日期:2017-09-18
基金项目:中国博士后基金项目(2015M580031);国家自然科学基金项目(51308465)
通讯作者:杜修力(1963―),男,四川人,教授,博士,主要从事地震工程领域研究(E-mail: duxiuli@bjut.edu.cn)
作者简介:
贾宏宇(1981―),男,四川人,副教授,博士,主要从事结构动力学领域研究(E-mail: Hongyu1016@swjtu.edu.cn);
李兰平(1986―),男,四川人,讲师,博士生,主要从事桥梁抗震领域研究(E-mail: lilanping@swjtu.edu.cn);
黄胜前(1983―),男,四川人,讲师,博士,主要从事桥梁抗震领域研究(E-mail: huangshengqian@swjtu.edu.cn);
郑史雄(1965―),男,浙江人,教授,博士,主要从事桥梁抗震与抗风领域研究(E-mail: Zhengsx@swjtu.edu.cn).