施 刚1,王 珣2,高 阳1,张 勇3
(1. 土木工程安全与耐久教育部重点实验室,清华大学土木工程系,北京 100084;2. 华东建筑设计研究院有限公司,上海 200002;3. 北京交通大学土木建筑工程学院,北京 100044)
摘 要:为研究不同荷载作用下国产低屈服点钢的材料力学行为,对LY100、LY160及LY225钢材共46个试件进行了单调拉伸试验及 12种不同加载制度的循环加载试验。对国产低屈服点钢的单调性能、滞回性能、破坏形式、延性特征等进行了分析,并与其他结构钢材的力学性能进行了对比。结果表明,低屈服点钢在循环荷载作用下有明显循环强化现象,塑性变形能力强,且与普通钢材相比延性及耗能能力突出。该试验结果为后续研究低屈服点钢本构模型提供基础。
关键词:钢结构;低屈服点钢;单调加载;循环加载;试验研究
低屈服点钢作为新型高性能钢材,具有良好的延性和变形能力,常用于结构耗能减震构件。地震作用下,结构往往承受的是循环荷载,已有研究表明[1-4],钢材在循环荷载作用下的力学行为与单调荷载作用下的有明显区别。国外学者Peter等[5]对低屈服点钢进行了一系列低周疲劳试验研究,王佼姣等[6-7]对日本产低屈服点钢进行了循环加载试验;王萌等[8-9]及 Xu等[10]对国产低屈服点钢进行了循环加载试验研究,结果均表明低屈服点钢在循环荷载作用下的力学响应与普通钢材具有明显差异,同时与单调性能也存在较大差别。但目前对于国产低屈服点钢在循环荷载作用下的力学行为缺乏全面系统的研究,因此有必要对国产低屈服点钢的循环加载力学行为进行全面深入的研究。
本文对国产低屈服点钢 LY100、LY160及LY225进行单调和不同加载制度下的循环加载试验,研究其单调性能、滞回性能、破坏形式、塑性变形能力、耗能能力等特性,并与其他结构钢材进行对比分析,为后续对低屈服点钢本构模型的研究以及工程应用提供基础。
试验所用材料为鞍钢生产的低屈服点钢,包括LY100、LY160、LY225三种牌号。同一牌号的试件均取自从同一块钢板,且试件长度沿钢板轧制方向。LY100和LY160试件参考文献[5]设计,平行段采用直径为13mm的圆形截面,LY225试件平行段采用矩形截面,截面长为14 mm,宽为10 mm,两种试件平行段长度均为 14 mm,夹持段长度均为60mm,过渡段圆弧半径为25mm,具体试件尺寸如图1所示。试验过程中采用了两种不同形式的试件,其原因主要是因为在率先进行的LY225循环加载试验中,部分板状试件在压应变较大时发生了屈曲,导致试验数据无效。为避免上述现象发生,在LY100和LY160试件的设计和加工过程中对原有方案进行了调整,后续试验情况表明,设计成棒状试件能有效的避免试件屈曲,但仍有部分试件由于不可避免的初弯曲、初偏心等原因而发生屈曲。
试验加载装置为Instron Model 8801拉压扭万能疲劳试验机,试验通过引伸计测得的应变控制加载,引伸计标距为12.5 mm,量程为40%,试验装置如图2所示。试验包括单调拉伸试验及12种不同加载制度的循环加载试验,具体循环加载制度如表1和图3所示,其中L代表LY100,M代表LY160,H代表LY225。每种钢材取3根~4根试件进行单调拉伸试验,每种循环加载制度下均取1根试件进行试验。以上加载制度中包含了等幅与变幅循环、中心与偏心循环、移幅循环、随机加载,同时考虑了不同循环加载制度之间的结合以及循环次数的影响,具有一定的代表性。

图1 试件尺寸图/mm
Fig.1 Dimensions of specimens

图2 试验装置图
Fig.2 Test equipment
表1 试验加载制度
Table 1 Loading programs of test specimens

续表


图3 循环加载制度
Fig.3 Cyclic loading schemes
单调拉伸试验过程中,试件均出现明显颈缩现象,断裂时无明显声响,图4以L-1-1与H-1-1试件为例记录了试件破坏时的典型现象,可看出试件破坏前塑性变形明显,截面收缩程度较高,钢材表面出现较为明显的交错状锈迹剥落线,表现出很好的延性。
由于考虑到引伸计的量程限制(40%),在单调加载中应变控制加载至35%后采用位移加载,此后应变数值未给出。三种钢材单调加载试验结果如图5及表2所示,其中 E为弹性模量(根据弹性段1/3fy~2/3fy范围内直线段斜率确定),fy为下屈服强度,fu为抗拉强度,A为断后伸长率,εu为抗拉强度所对应极限应变。从图5及表2可以看出:1)3种低屈服点钢均有明显屈服平台,但平台段较短;2)低屈服点钢延性较好,试件极限应变均超过20%,当应变达到35%时,3种钢材均未出现明显下降段;3)3种钢材屈服后强化段明显,屈强比较小,具有良好的承载潜能;4)LY160和LY225两种牌号的钢材极限荷载、断后伸长率、屈强比等指标较为接近。

图4 试件断裂
Fig.4 Specimen at fracture

图5 低屈服点钢单调拉伸曲线
Fig.7 Monotonic loading curves of low yield point steels
表2 单调荷载下试件主要力学性能参数
Table 2 Mechanical properties of specimens under monotonic loading

循环加载试验中少数试件在受压阶段出现了屈曲现象,如图6所示,屈曲导致试件强度和刚度提前下降,使得数据未能真实反应钢材本构,因此在后续分析中将屈曲发生后的数据舍弃。

图6 试件屈曲
Fig.6 Buckling of specimen
为从宏观上对比上述三种国产低屈服点钢材在单调和循环荷载作用下的性能差异,图7以单调拉伸试件L/M/H-1-1以及L/M/H-2为例对比了三种钢材的单调曲线和滞回曲线。结果表明,上述三种钢材在单调和循环荷载下受力性能存在明显差异,由于材料的循环硬化,使得循环加载下骨架曲线以及后期拉伸曲线明显高于单调拉伸曲线,且对比可知,钢材强度等级越低循环强化现象越明显。同时,由于循环加载导致的材料损伤积累等原因,循环加载后单调拉伸时,与单调拉伸试件相比,其更早的达到极限荷载。

图7 单调及循环曲线对比
Fig.7 Comparison between monotonic and hysteretic curves
图8、图9、图10分别汇总了三种钢材所有试件试验所得应力-应变曲线。从整体上来说,所有试件滞回曲线均非常饱满,说明国产低屈服点钢具有很好的变形和耗能能力。在第一圈应变幅值较大时,初始循环滞回曲线与单调拉伸曲线类似,产生屈服点现象,即应力达到屈服点后,屈服面快速收缩,随后应力逐渐提高,出现明显循环强化现象。低屈服点钢的应力强化综合了等向强化和随动强化两种特征,但等向强化现象较随动强化更为明显,具体表现为屈服面的均匀扩大。对比三种钢材滞回曲线可看出,与LY160和LY225相比,LY100初始屈服应力较低,但后期应力强化程度较高。为了更直观地对比不同牌号低屈服点钢应力强化程度,本文通过定义最大循环圈应力幅值σmax与初始圈应力幅值0σ的比值K来定量表示应力强化程度,其中最大循环圈应力幅值表示在等幅循环中最大拉应力与最大压应力(负)的差值的最大值,而初始圈应力幅值则表示在初始循环圈中最大拉应力与最大压应力(负)的差值,表3给出了三种钢材在1%、2%及3%等应变幅循环作用下的应力强化值K。

图8 LY100循环应力-应变曲线
Fig.8 Cyclic stress-strain curves of LY100
表3 低屈服点钢应力强化值K
Table 3 Stress hardening coefficient K of low yield point steels

正如前文所述,低屈服点钢常用于结构的耗能减震构件,而对于此类构件(如防屈曲耗能支撑等),其在循环荷载下的累积塑性变形往往是评价构件性能的重要指标[11],反映到材料层面,则表现为材料的累积塑性应变。参考已有文献[12]中对节点累积塑性转角定义方法,在此定义累积塑性应变
,如图11所示。

图9 LY160循环应力-应变曲线
Fig.9 Cyclic stress-strain curves of LY160

图10 LY225循环应力-应变曲线
Fig.10 Cyclic stress-strain curves of LY225
图12给出了不同牌号低屈服点钢材在不同循环加载制度下的累积塑性应变情况。整体上看,低屈服点钢材塑性变形能力较强,不同牌号等级的国产低屈服点钢在同一加载制度下累积塑性应变相差不大,但多数情况下LY100累积塑性应变稍大一些。不同加载制度对上述3种低屈服点钢材累积塑性应变的影响分析如下:1)对比 L/M/H-3与L/M/H-2可知,相同的幅值,前者每级循环3圏,后者每级循环 1圏,LY100、LY160、LY225的累积塑性应变前者分别为后者的2.96倍、2.95倍、3.15倍,数值均在3附近,说明低屈服点钢材塑性变形能力在一定范围内受荷载循环圈数影响不大;2)对比 1%、2%和 3%等应变幅值循环加载的试件L/M/H4~L/M/H6,LY100、LY160与LY225三种钢材在3%与2%等幅循环下累积塑性应变分别为1%时的3.15倍、3.19倍、3.05倍和2.07倍、2.10倍、2.10倍,分别接近于3和2,说明在一定范围内等幅循环中应变幅值对低屈服点钢的塑性变形能力影响不大;3)对比应变幅值等幅增加(L/M/H-2)与应变幅值等幅减小(L/M/H-7)两种变幅循环加载制度,前者累积塑性应变与后者的比值对 LY100、LY160、LY225钢材分别为1.02、1.02、0.94,均接近 1,说明低屈服点钢在等幅增加的变幅循环加载与等幅减小的变幅循环加载下塑性变形能力相差不大; 4)对比压应变幅值不变而拉应变幅值等幅增加(L/M/H-8)与拉应变幅值不变而压应变幅值等幅增加(L/M/H-11)两种循环加载制度下不同低屈服点钢材的累积塑性应变,对LY100、LY160、LY225牌号的低屈服点钢材,前者与后者的比值分别为0.98、0.98与1.10,均接近1,表明上述3种低屈服点钢材在拉、压受力状态下塑性变形能力差异不大。以上分析表明,低屈服点钢塑性变形能力在一定程度上受加载制度影响较小,同时,上述结果也进一步说明低屈服点钢循环强化以等向强化为主。

图11 累积塑性应变定义
Fig.11 Definition of cumulative plastic strain

图12 不同加载制度下累积塑性应变对比
Fig.12 Comparison of cumulative plastic strain in different loading schemes
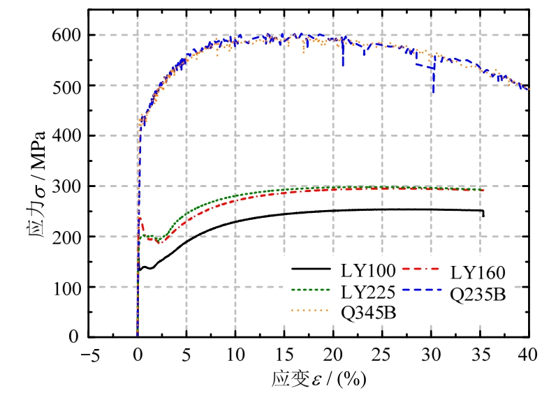
图13对比了低屈服点钢与普通钢(Q235B、Q345B)[1]的单调拉伸应力应变曲线,可看出低屈服点钢屈服强度明显低于普通钢材,但屈服后应力强化程度与普通钢材相当,屈强比反而小于普通钢材。极限应力所对应的应变明显大于普通钢,约为普通钢材的两倍,说明低屈服点钢的延性更好。

图13 不同钢材单调拉伸曲线对比
Fig.13 Comparison of monotonic curves with different steels
为了对比不同钢材的耗能能力,本文通过计算试件每个滞回圈的能量耗散系数Ep来评定不同钢材的耗能能力并进行对比。根据规范JGJ101―2015《建筑抗震试验方法规程》[13],能量耗散系数可通过式(1)计算得到:

其中:SABC为滞回曲线上半部分的面积;SCDA为滞回曲线下半部分的面积;SOBE和SODF为由虚线围成的三角形面积,如图14所示。根据能量耗散系数定义,当滞回曲线为矩形时取得上限值4。Ep值越大则表示滞回曲线越饱满,耗能能力越好。图15收集了日本产低屈服点钢 LYP100[6]、普通钢 Q235B和Q345B[1]及高强钢Q460D[2]的滞回曲线,同时计算得到各试件能量耗散系数随应变幅值的变化,并与国产低屈服点钢进行了对比,如表4及图16所示。可看出相对于普通钢材和高强钢,不论是国产还是日本产的低屈服点钢的能量耗散系数更大,说明低屈服点钢耗能能力更好。国产低屈服点钢中,LY100的能量耗散系数略大于LY160和LY225,耗能能力较好。同时可看出日本产低屈服点钢LYP100的能量耗散系数稍稍高于同强度等级的国产低屈服点钢LY100,但相差不大,说明国产低屈服点钢与日本产低屈服点钢耗能能力相当。

图14 能量耗散系数计算简图
Fig.14 Calculation sketch of energy dissipation coefficient


图15 其他钢材滞回曲线[1-2,6]
Fig.15 Hysteretic curves of other steels

图16 不同钢材能量耗散系数对比
Fig.16 Comparison of energy dissipation coefficients for different steels
表4 不同钢材能量耗散系数对比
Table 4 Comparison of energy dissipation coefficients for different steels

本文对国产低屈服点钢 LY100、LY160及LY225进行了单调及不同加载制度下的循环加载试验,分别对钢材的单调性能、滞回性能、塑性变形能力、延性特征等进行了分析,主要结论如下:
(1)低屈服点钢试件断裂时无明显声响,且发生明显颈缩现象,极限应变大于20%,约为普通钢材的2倍,说明低屈服点钢具有很好的延性。
(2)低屈服点钢在循环荷载作用下初始屈服点较低,随着循环数增加强度明显提高,表现出明显循环硬化特征,且等向强化较随动强化更为明显,起主要控制作用。
(3)低屈服点钢材塑性变形能力较强,受不同加载制度影响较小,能够较好地应用于防屈曲支撑等耗能减震构件。
(4)低屈服点钢的能量耗散系数明显大于普通钢及高强钢,具有良好的耗能能力,其中LY100的能量耗散系数略大于LY160和LY225。国产低屈服点钢的能量耗散系数与日本产低屈服点钢相近,两者耗能能力相当。
参考文献:
[1]石永久, 王萌, 王元清. 循环荷载作用下结构钢材本构关系试验研究[J]. 建筑材料学报, 2012, 15(3): 293―300.Shi Yongjiu, Wang Meng, Wang Yuanqing. Experimental Study of Structural Steel Constitutive Relationship under Cyclic Loading [J]. Journal of Building Materials, 2012,15(3): 293―300. (in Chinese)
[2]施刚, 王飞, 戴国欣, 等. Q460D高强度结构钢材循环加载试验研究[J]. 土木工程学报, 2012, 45(7): 48―55.Shi Gang, Wang Fei, Dai Guoxin, et al. Experimental Study on High Strength Structural Steel Q460D under Cyclic Loading [J]. China Civil Engineering Journal,2012, 45(7): 48―55. (in Chinese)
[3]王宇航, 吴强, 熊光亮. 不同参数下低屈服点钢剪切板耗能元件受力性能试验研究[J]. 工程力学, 2017, 34(7):21―29.Wang Yuhang, Wu Qiang, Xiong Guangliang. Test study on mechanical properties of shear panel energydissipation components using low yield point steel with different parameters [J]. Engineering Mechanics, 2017,34(7): 21―29. (in Chinese)
[4]Wang M, Fahnestock L A, Qian F X, et al. Experimental cyclic behavior and constitutive modeling of low yield point steels [J]. Construction & Building Materials, 2016,131.
[5]Peter Dusicka, Ahmad M. Itani, Ian G. Buckle. Cyclic response of plate steels under large inelastic strains [J].Journal of Constructional Steel Research, 2007, 63(2):156―164.
[6]王佼姣, 石永久, 王元清, 等. 低屈服点钢 LYP100循环加载试验研究[J]. 浙江大学学报(工学版), 2015,49(8): 1401―1409.Wang Jiaojiao, Shi Yongjiu, Wang Yuanqing, et al.Experimental Study on the Low Yield Point Steel LYP100 under Cyclic Loading [J]. Journal of Zhejiang University (Engineering Science), 2015, 49(8): 1401―1409. (in Chinese)
[7]石永久, 王佼姣, 王元清, 等. 循环荷载下低屈服点钢材LYP225的力学性能[J]. 东南大学学报(自然科学版),2014, 44(6): 1260―1265.Shi Yongjiu, Wang Jiaojiao, Wang Yuanqing, et al.Mechanical performance of low-yield-point steel LYP225 under cyclic loading [J]. Journal of Southeast University(Natural Science Edition), 2014, 44(6): 1260―1265. (in Chinese)
[8]王萌, 钱凤霞, 杨维国. 低屈服点 LYP160钢材本构关系研究[J]. 建筑结构学报, 2017, 38(2): 55―62.Wang Meng, Qian Fengxia, Yang Weiguo. Constitutive behavior of low yield point steel LYP160 [J]. Journal of Building Structures, 2017, 38(2): 55―62. (in Chinese)
[9]王萌, 钱凤霞, 杨维国, 杨璐. 低屈服点钢与Q345B和Q460D钢材本构关系对比研究[J]. 工程力学, 2017,34(2): 60―68.Wang Meng, Qian Fengxia, Yang Weiguo, et al.Comparison study on constitutive relationship of low yield point steels, Q345B steel and Q460D steel [J].Engineering Mechanics, 2017, 34(2): 60―68. (in Chinese)
[10]Xu L Y, Nie X, Fan J S, et al. Cyclic hardening and softening behavior of the low yield point steel BLY160:Experimental response and constitutive modeling [J].International Journal of Plasticity, 2016, 78: 44―63.
[11]SEAONC (Structural Engineers Association of Northern California). Recommended provisions for buckling restrained braced frames. SEAONC: San Francisco, 2001.
[12]Nakashima M, Suita K, Morisako K, Maruoka Y. Tests of welded beam-column subassemblies I: global behavior[J]. Journal of Structural Engineering, 1998, 124(11):1236―1244.
[13]JGJ101―2015, 建筑抗震试验方法规程[S]. 北京: 中国建筑工业出版社, 2015.JGJ101―2015, Specification for seismic test of building[S]. Beijing: China Architecture & Building Press, 2015.(in Chinese)
EXPERIMENTAL STUDY ON DOMESTIC LOW YIELD POINT STEELS UNDER CYCLIC LOADING
SHI Gang1, WANG Xun2, GAO Yang1, ZHANG Yong3
(1. Key Laboratory of Civil Engineering Safety and Durability of China Education Ministry,Department of Civil Engineering, Tsinghua University, Beijing 100084, China;2. East China Architectural Design & Research Institute Co., Ltd., Shanghai 200002, China;3. School of Civil Engineering, Beijing JiaoTong University, Beijing 100044, China)
Abstracts:To investigate the mechanical behavior of low-yield-point steels produced in China under various loadings, 46 specimens of LY100, LY160, and LY225 were tested under monotonic tensile loading and 12 cyclic loading programs. The monotonic loading behavior, hysteretic behavior, failure modes and ductility performance of low-yield-point steels were analyzed and compared with other structural steels. The results indicate that low-yield-point steel shows obvious cyclic hardening characteristic and high capability of plastic deformation.Compared with other structural steels, the low-yield-point steel has better ductility and energy dissipation capacity. The results will provide the basis for future studies on the constitutive model of low-yield-point steels.
Key words:steel structure; low yield point steel; monotonic loading; cyclic loading; experimental study
中图分类号:TU391
文献标志码:A
doi:10.6052/j.issn.1000-4750.2017.08.0617
文章编号:1000-4750(2018)08-0030-09
收稿日期:2017-08-11;修改日期:2017-11-14
基金项目:国家自然科学基金优秀青年科学基金项目(51522806);国家自然科学基金项目(51478244)
通讯作者:施刚(1977―),男,安徽铜陵人,教授,博士,博导,主要从事钢结构的研究(E-mail: shigang@tsinghua.edu.cn).
作者简介:
王珣(1992―),女,江苏南通人,硕士,主要从事钢结构的研究(E-mail: wangxun9272@163.com);
高阳(1994―),男,江西吉安人,博士生,主要从事钢结构的研究(E-mail: gaoyang248@foxmail.com);
张勇(1970―),男,安徽阜阳人,副教授,博士,从事钢结构方面研究(E-mail: 13601222805@139.com).